Exploring Soil Hydro-Physical Improvements Under No-Tillage: A Sustainable Approach for Soil Health
Abstract
1. Introduction
2. Materials and Methods
2.1. Study Area
2.2. Experimental Design and Treatments
2.3. Soil Sampling and Analysis
2.4. Statistical Analysis
3. Results and Discussion
3.1. Influence of the Tillage System on Bulk Density (BD)
3.2. Influence of the Tillage System on Soil Pore Network
3.3. Influence of the Tillage System on Soil Hydraulic Conductivity (Ksat)
3.4. Influence of the Tillage System on Water-Stable Aggregates (WSA) and Distribution of Soil Aggregates
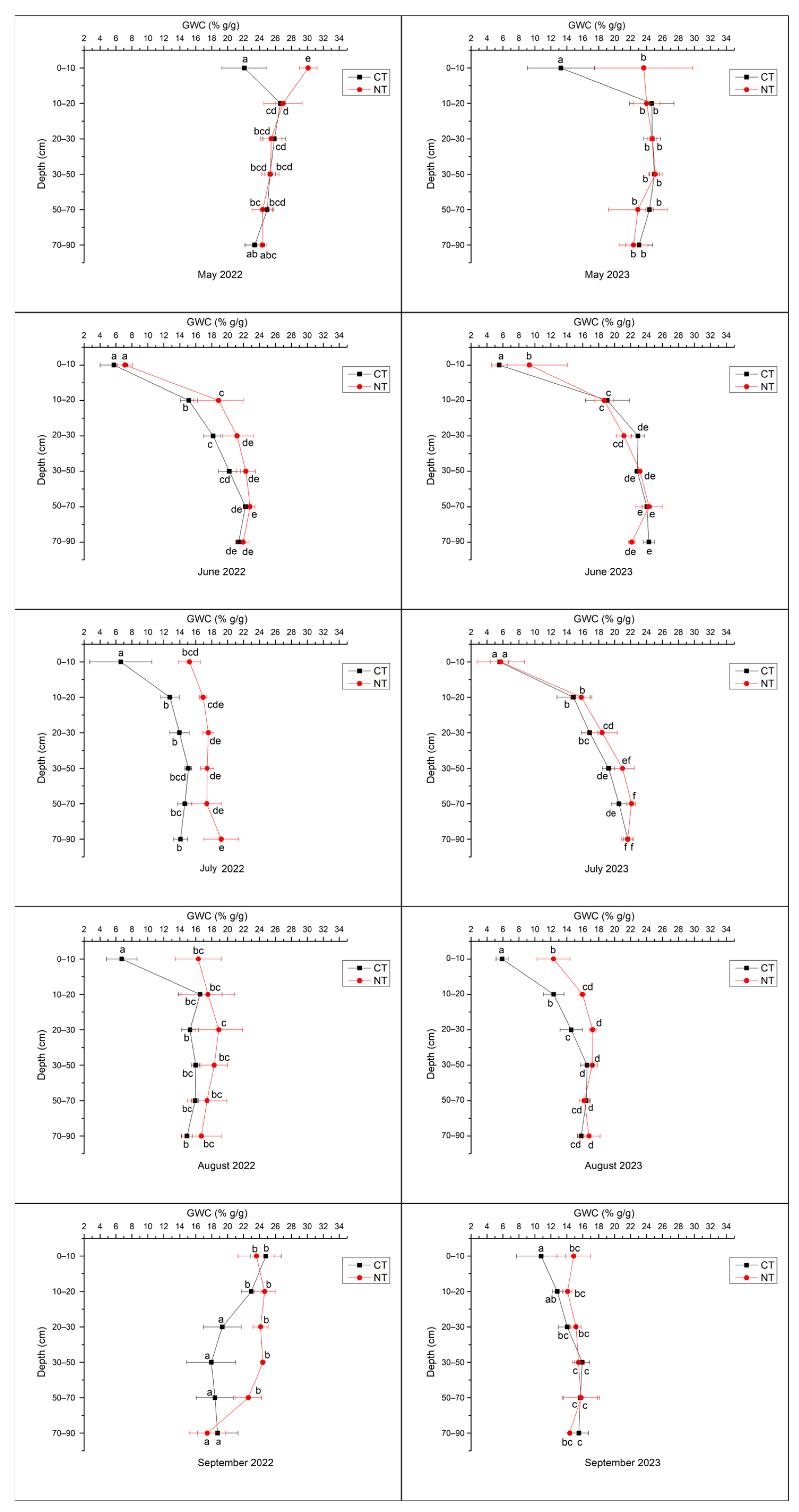
3.5. Influence of the Tillage System on Soil Gravimetric Water Content (GWC)
3.6. Influence of the Tillage System on the Soil Volumetric Water Content (VWC)
4. Conclusions
Author Contributions
Funding
Institutional Review Board Statement
Data Availability Statement
Conflicts of Interest
References
- Walthall, C.L.; Hatfield, J.; Backlund, P.; Lengnick, L.; Marshall, E. Climate Change and Agriculture in the United States: Effects and Adaptation; USDA Technical Bulletin; United States Department of Agriculture: Washington, DC, USA, 2013. [Google Scholar]
- Loecke, T.D.; Burgin, A.J.; Riveros-Iregui, D.A.; Ward, A.S.; Thomas, S.A. Weather whiplash in agricultural regions drives deterioration of water quality. Biogeochemistry 2017, 133, 7–15. [Google Scholar]
- FAO. Save and Grow: A Policymaker’s Guide to the Sustainable Intensification of Smallholder Crop Production; Food and Agriculture Organization of the United Nations (FAO): Rome, Italy, 2011. [Google Scholar]
- Kassam, A.; Friedrich, T.; Derpsch, R.; Kienzle, J. Overview of the worldwide spread of conservation agriculture. Field Actions Sci. Rep. 2015, 8, 1–11. [Google Scholar]
- Kassam, A.; Friedrich, T.; Derpsch, R. Successful Experiences and Lessons from Conservation Agriculture Worldwide. Agronomy 2022, 12, 769. [Google Scholar] [CrossRef]
- Kainiemi, V.; Arvidsson, J.; Kätterer, T. Effects of autumn tillage and residue management on soil respiration in a long-term field experiment in sweden. J. Plant Nutr. Soil Sci. 2015, 178, 189–198. [Google Scholar]
- Bahmani, O. Evaluation of the short-term effect of tillage practices on soil hydro-physical properties. Pol. J. Soil Sci. 2019, 52, 43. [Google Scholar]
- Steponavičienė, V.; Bogužas, V.; Sinkevičienė, A.; Skinulienė, L.; Vaisvalavičius, R.; Sinkevičius, A. Soil water capacity, pore size distribution, and CO2 emission in different soil tillage systems and straw retention. Plants 2020, 11, 614. [Google Scholar]
- Farahani, E.; Emami, H.; Forouhar, M. Effects of tillage systems on soil organic carbon and some soil physical properties. Land Degrad. Dev. 2022, 33, 1307–1320. [Google Scholar]
- Chen, X.; Shi, X.; Liang, A.; Zhang, X.; Fan, R.; Wei, S. Least limiting water range and soil pore-size distribution related to soil organic carbon dynamics following zero and conventional tillage of a black soil in northeast China. J. Agric. Sci. 2014, 153, 270–281. [Google Scholar]
- Franchini, J.; Debiasi, H.; Balbinot, A.; Tonon, B.; Farias, J.; Oliveira, M.; Torres, E. Evolution of crop yields in different tillage and cropping systems over two decades in southern Brazil. Field Crops Res. 2012, 137, 178–185. [Google Scholar]
- Obalum, S.E.; Chibuike, G.U.; Peth, S.; Ouyang, Y. Soil organic matter as sole indicator of soil degradation. Environ. Monit. Assess. 2017, 189, 176. [Google Scholar]
- Kahlon, M.S.; Lal, R.; Ann-Varughese, M. Twenty-two years of tillage and mulching impacts on soil physical characteristics and carbon sequestration in Central Ohio. Soil Tillage Res. 2013, 126, 151–158. [Google Scholar]
- Rabot, E.; Wiesmeier, M.; Schlüter, S.; Vogel, H.J. Soil structure as an indicator of soil functions: A review. Geoderma 2018, 314, 122–137. [Google Scholar]
- Basche, A.; DeLonge, M. Comparing infiltration rates in soils managed with conventional and alternative farming methods: A meta-analysis. BioRxiv 2019, 14, e0215702. [Google Scholar]
- Flynn, K.; Bagnall, D.; Morgan, C. Evaluation of slakes, a smartphone application for quantifying aggregate stability, in high-clay soils. Soil Sci. Soc. Am. J. 2020, 84, 345–353. [Google Scholar]
- Thirkell, T.; Charters, M.; Elliott, A.; Sait, S.; Field, K. Are mycorrhizal fungi our sustainable saviours? considerations for achieving food security. J. Ecol. 2017, 105, 921–929. [Google Scholar]
- Lv, L.; Gao, Z.; Liao, K.; Zhu, Q.; Zhu, J. Impact of conservation tillage on the distribution of soil nutrients with depth. Soil Till. Res. 2023, 225, 105527. [Google Scholar]
- Holland, J.M. The environmental consequence of adopting conservation tillage in Europe: Reviewing the evidence. Agric. Ecosyst. Environ. 2004, 103, 1–25. [Google Scholar]
- Rahman, M.; Aravindakshan, S.; Hoque, M.A.; Rahman, M.A.; Gulandaz, A.; Rahman, J.; Islam, T. Conservation tillage (CT) for climate-smart sustainable intensification: Assessing the impact of CT on soil organic carbon accumulation, greenhouse gas emission and water footprint of wheat cultivation in Bangladesh. Environ. Sustain. Ind. 2021, 10, 100106. [Google Scholar]
- Rusu, M.; Filip, M.; Cara, I.G.; Țopa, D.; Jităreanu, G. Soil Nutrient Dynamics and Farming Sustainability Under Different Plum Orchard Management Practices in the Pedoclimatical Conditions of Moldavian Plateau. Agriculture 2025, 15, 509. [Google Scholar] [CrossRef]
- Moraru, P.I.; Rusu, T.; Gus, P.; Bogdan, I.; Pop, A.I. The role of minimum tillage in protecting environmental resources of the Transylvanian Plain, Romania. Rom. Agric. Res. 2015, 32, 127–135. [Google Scholar]
- Rusu, T. Energy efficiency and soil conservation in conventional, minimum tillage and no-tillage. Int. Soil Water Conserv. Res. 2014, 2, 42–49. [Google Scholar]
- Rusu, T.; Bogdan, I.; Moraru, P.I.; Pop, A.I.; Duda, B.M.; Coste, C. 2015. Research results on conservative tillage systems in the last 50 years at USAMV Cluj-Napoca. ProEnvironment 2015, 8, 105–111. [Google Scholar]
- FieldClimate. Available online: www.fieldclimate.com (accessed on 3 February 2025).
- Mihu, G.D.; Ursu, A.; Filip, M.; Țopa, D.; Jitǎreanu, G. The influence of tillage systems on nutrients supply in soil on corn crop at the Ezareni farm, Iasi County. Res. J. Agric. Sci. 2022, 54, 93–100. [Google Scholar]
- Canarache, A. Agricultural Soil Physics; Ceres Bucharest Publishing House: Bucharest, Romania, 1990; pp. 49–76. (In Romanian) [Google Scholar]
- Calistru, A.E.; Cara, I.G.; Topa, D.; Jitareanu, G. Analyzing soil porosity under different tillage systems using X-ray microtomography. Lucr. Stiințifice 2016, 59, 201–204. [Google Scholar]
- Kemper, W.D.; Rosenau, R.C. Aggregate Stability and Size Distribution. In Methods of Soil Analysis; Klute, A., Ed.; John Wiley & Sons, Ltd.: Hoboken, NJ, USA, 1986; pp. 425–442. ISBN 9780891188643. [Google Scholar]
- Spectrum Tehnologies WaterScout SM100. Available online: https://www.specmeters.com/WaterScout-SM100-Soil-Moisture-Sensor-20-Cable (accessed on 6 February 2025).
- Wang, Y.; Zou, L.; Lou, C.; Geng, X.; Zhang, S.; Chen, X.; Liang, A. No-tillage with straw retention influenced maize root growth morphology by changing soil physical properties and aggregate structure in Northeast China: A ten-year field experiment. Geoderma Reg. 2024, 38, e00840. [Google Scholar]
- Blanco-Canqui, H.; Ruis, S.J. No-tillage and soil physical environment. Geoderma 2018, 326, 164–200. [Google Scholar]
- Jabro, J.D.; Stevens, W.M.; Evans, R.G.; Mikha, M.M.; Allen, B.L. Physical and hydraulic properties of a sandy loam soil under zero, shallow and deep tillage practices. Soil Till. Res. 2016, 159, 67–72. [Google Scholar]
- Afzalinia, S.; Zabihi, J. Soil compaction variation during corn growing season under conservation tillage. Soil Till. Res. 2014, 137, 1–6. [Google Scholar]
- Lv, Q.; Zhou, B.; Wang, P. Effects of no-tillage on root traits and yield of maize and soil physical properties: A meta-analysis. Chin. J. Ecol. 2020, 39, 3492–3499. [Google Scholar]
- Topa, D.; Cara, I.G.; Jităreanu, G. Long term impact of different tillage systems on carbon pools and stocks, soil bulk density, aggregation and nutrients: A field meta-analysis. Catena 2021, 199, 105102. [Google Scholar]
- Gao, L.; Wang, B.; Li, S.; Wu, H.; Wu, X.; Liang, G.; Gong, D.; Zhang, X.; Cai, D.; Degr´e, A. Soil wet aggregate distribution and pore size distribution under different tillage systems after 16 years in the Loess Plateau of China. Catena 2019, 173, 38–47. [Google Scholar]
- Galdos, M.V.; Pires, L.F.; Cooper, H.V.; Calonego, J.C.; Rosolem, C.A.; Mooney, S.J. Assessing the long-term effects of zero-tillage on the macroporosity of Brazilian soils using X-ray Computed Tomography. Geoderma 2019, 337, 1126–1135. [Google Scholar] [PubMed]
- Wardak, D.L.R.; Padia, F.N.; de Heer, M.I.; Sturrock, C.J.; Mooney, S.J. Zero-tillage induces significant changes to the soil pore network and hydraulic function after 7 years. Geoderma 2024, 447, 116934. [Google Scholar]
- Cooper, H.V.; Sj¨ogersten, S.; Lark, R.M.; Girkin, N.T.; Vane, C.H.; Calonego, J.C.; Rosolem, C.; Mooney, S.J. Long-term zero-tillage enhances the protection of soil carbon in tropical agriculture. Eur. J. Soil Sci. 2021, 72, 2477–2492. [Google Scholar]
- Seguel, Ó.; Díaz-Domínguez, D.; Acevedo, E.; Silva, P.; Homer, I.; Seitz, S. Hydraulic conductivity in a soil cultivated with wheat-rapeseed rotation under two tillage systems. J. Soil Sci. Plant Nutr. 2020, 20, 2304–2315. [Google Scholar]
- Mangalassery, S.; Sjögersten, S.; Sparkes, D.L.; Sturrock, C.J.; Craigon, J.; Mooney, S.J. To what extent can zero tillage lead to a reduction in greenhouse gas emissions from temperate soils? Sci. Rep. 2014, 4, 4586. [Google Scholar]
- Pöhlitz, J.; Rücknagel, J.; Koblenz, B.; Schlüter, S.; Vogel, H.-J.; Christen, O. Computed tomography and soil physical measurements of compaction behaviour under strip tillage, mulch tillage and no tillage. Soil Tillage Res. 2018, 175, 205–216. [Google Scholar]
- De Moraes, M.T.; Debiasi, H.; Carlesso, R.; Franchini, J.C.; da Silva, V.R.; da Luz, F.B. Soil physical quality on tillage and cropping systems after two decades in the subtropical region of Brazil. Soil Tillage Res. 2016, 155, 351–362. [Google Scholar]
- Schlüter, S.; Großmann, C.; Diel, J.; Wu, G.-M.; Tischer, S.; Deubel, A.; Rücknagel, J. Long-term effects of conventional and reduced tillage on soil structure, soil ecological and soil hydraulic properties. Geoderma 2018, 332, 10–19. [Google Scholar]
- Blanchy, G.; Albrecht, L.; Bragato, G.; Garré, S.; Jarvis, N.; Koestel, J. Impacts of soil management and climate on saturated and near-saturated hydraulic conductivity: Analyses of the open tension-disk infiltrometer meta-database (OTIM). Hydrol. Earth Syst. Sci. 2023, 27, 2703–2724. [Google Scholar]
- Amami, R.; Ibrahimi, K.; Sher, F.; Milham, P.; Ghazouani, H.; Chehaibi, S.; Hussain, Z.; Iqbal, H.M.N. Impacts of different tillage practices on soil water infiltration for sustainable agriculture. Sustainability 2021, 13, 3155. [Google Scholar] [CrossRef]
- Sanaullah, M.; Usman, M.; Wakeel, A.; Cheema, S.A.; Ashraf, I.; Farooq, M. Terrestrial ecosystem functioning affected by agricultural management systems: A review. Soil Tillage Res. 2020, 196, 104464. [Google Scholar]
- Castellini, M.; Fornaro, F.; Garofalo, P.; Giglio, L.; Rinaldi, M.; Ventrella, D.; Vonella, A. Effects of no-tillage and conventional tillage on physical and hydraulic properties of fine textured soils under winter wheat. Water 2019, 11, 484. [Google Scholar] [CrossRef]
- García-Tomillo, A.; Figueiredo, T.; Almeida, A.; Rodrigues, J.; Dafonte, J.; González, A.; Hernández, Z. Comparing effects of tillage treatments performed with animal traction on soil physical properties and soil electrical resistivity: Preliminary experimental results. Open Agric. 2017, 2, 317–328. [Google Scholar]
- Steponavičienė, V.; Bogužas, V.; Sinkevičienė, A.; Skinulienė, L.; Sinkevičius, A.; Klimas, E. Soil physical state as influenced by long-term reduced tillage, no-tillage and straw management. Zemdirb.-Agric. 2020, 107, 195–202. [Google Scholar]
- Schmidt, E.S.; Villamil, M.B.; Amiotti, N.M. Soil quality under conservation practices on farm operations of the southern semiarid pampas region of Argentina. Soil Tillage Res. 2018, 176, 85–94. [Google Scholar]
- Tagar, A.A.; Gujjar, M.A.; Adamowski, J.; Leghari, N.; Soomro, A. Assessment of implement efficiency and soil structure under different conventional tillage implements and soil moisture contents in a silty loam soil. Catena 2017, 158, 413–420. [Google Scholar]
- Răus, L.; Jităreanu, G.; Ailincăi, C.; Pârvan, L.; Ţopa, D. Impact of different soil tillage systems and organo-mineral fertilization on physical properties of the soil and on crops yield in pedoclimatic conditions of Moldavian Plateau. Rom. Agric. Res. 2016, 33, 111–122. [Google Scholar]
- Zhang, Y.; Li, X.; Gregorich, E.G.; Mclaughlin, N.B.; Zhang, X.; Guo, Y.; Liang, A.; Fan, R.; Sun, B. No-tillage with continuous maize cropping enhances soil aggregation and organic carbon storage in Northeast China. Geoderma 2018, 330, 204–211. [Google Scholar]
- Hati, K.M.; Jha, P.; Dalal, R.C.; Jayaraman, S.; Dang, Y.P.; Kopittke, P.M.; Menzies, N.W. 50 years of continuous no-tillage, stubble retention and nitrogen fertilization enhanced macro-aggregate formation and stabilisation in a Vertisol. Soil Tillage Res. 2021, 214, 105163. [Google Scholar]
- Page, K.L.; Dang, Y.P.; Dalal, R.C.; Reeves, S.; Thomas, G.; Wang, W.; Thompson, J.P. Changes in soil water storage with no tillage and crop residue retention on a Vertisol: Impact on productivity and profitability over a 50 years period. Soil Till. Res. 2019, 194, 104319. [Google Scholar]
- Jat, H.S.; Datta, A.; Sharma, P.C.; Kumar, V.; Yadav, A.K.; Choudhary, M.; Choudhary, V.; Gathala, M.K.; Sharma, D.K.; Jat, M.L.; et al. Assessing soil properties and nutrient availability under conservation agriculture practices in a reclaimed sodic soil in cereal-based systems of North-West India. Arch. Agron. Soil Sci. 2018, 64, 531–545. [Google Scholar]
- Wegner, B.R.; Osborne, S.L.; Lehman, R.M.; Kumar, S. Seven-year impact of cover crops on soil health when corn residue. BioEnerg. Res. 2018, 11, 239–248. [Google Scholar]
- Obalum, S.E.; Nwite, J.C.; Oppong, J.; Igwe, C.A.; Wakatsuki, T. Comparative topsoil characterization of sawah rice fields in selected inland valleys around Bida, north-central Nigeria: Textural, structural and hydrophysical properties. Paddy Water Environ. 2011, 9, 291–299. [Google Scholar]
- Zúñiga, F.; Horn, R.; Rostek, J.; Peth, S.; Uteau, D.; Dörner, J. Anisotropy of intensity–capacity parameters on Aquands with contrasting swelling– shrinkage cycles. Soil Tillage Res. 2019, 193, 101–113. [Google Scholar]
- Ke, S.; Yang, J.; Yong, X.; Lv, W.; Zheng, X.; Pan, J. Influence of tillage practices and stubble incorporation on soil aggregates, organic carbon, and crop yields in a rice-wheat rotation system. Sci. Rep. 2016, 6, 36602. [Google Scholar]
- Yin, B.Z.; Zhen, W.C.; Ma, Y.H. Effects of subsoiling-seeding on soil water, temperature and microbial characteristics of summer maize field. Chin. J. Eco-Agric. 2015, 23, 285–293. [Google Scholar]
- Moreira, W.H.; Tormena, C.A.; Karlen, D.L.; da Silva, Á.P.; Kellere, T.; Betioli, E., Jr. Stageal changes in soil physical properties under long-term no-tillage. Soil Tillage Res. 2016, 160, 53–64. [Google Scholar]
- Burke, J.A.; Lewis, K.L.; Ritchie, G.L.; DeLaune, P.B.; Keeling, J.W.; Acosta-Martinez, V.; McLendon, T. Net positive soil water content following cover crops with no tillage in irrigated semi-arid cotton production. Soil Tillage Res. 2021, 208, 104869. [Google Scholar]
- Dai, L.; Fu, R.; Guo, X.; Du, Y.; Zhang, F.; Cao, G. Soil Moisture Variations in Response to Precipitation Across Different Vegetation Types on the Northeastern Qinghai-Tibet Plateau. Front. Plant Sci. 2022, 13, 854152. [Google Scholar]
- Rasheed, M.W.; Tang, J.; Sarwar, A.; Shah, S.; Saddique, N.; Khan, M.U.; Imran Khan, M.; Nawaz, S.; Shamshiri, R.R.; Aziz, M.; et al. Soil Moisture Measuring Techniques and Factors Affecting the Moisture Dynamics: A Comprehensive Review. Sustainability 2022, 14, 11538. [Google Scholar] [CrossRef]
- Müller, M.; Kurz, G.; Yaramanci, U. Influence of tillage methods on soil water content and geophysical properties. Near Surf. Geophys. 2009, 7, 27–36. [Google Scholar]
- Schwartz, R.C.; Baumhardt, R.L.; Evett, S.R. Tillage effects on soil water redistribution and bare soil evaporation throughout a season. Soil Tillage Res. 2010, 110, 221–229. [Google Scholar]
- Cullum, R.F. Influence of tillage on maize yield in soil with shallow fragipan. Soil Tillage Res. 2012, 119, 1–6. [Google Scholar]
- Liu, S.; Gao, Y.; Lang, H.; Liu, Y.; Zhang, H. Effects of conventional tillage and no-tillage systems on maize (Zea mays L.) growth and yield, soil structure, and water in loess plateau of China: Field experiment and modeling studies. Land 2022, 11, 1881. [Google Scholar] [CrossRef]








| Tillage Systems | Sampling Depth (cm) | pH | P (ppm) | K (ppm) | Humus (%) |
|---|---|---|---|---|---|
| CT | 0–10 | 6.8 | 30 | 200 | 3.25 |
| 10–20 | 6.8 | 25 | 210 | 3.13 | |
| 20–30 | 6.8 | 16 | 213 | 2.47 | |
| 30–40 | 7.2 | 3 | 187 | 1.65 | |
| NT | 0–10 | 6.2 | 28 | 285 | 3.46 |
| 10–20 | 6.5 | 14 | 178 | 2.38 | |
| 20–30 | 6.5 | 11 | 182 | 1.28 | |
| 30–40 | 7.1 | 4 | 114 | 0.73 |
| Tillage System | Depth (cm) | Closed Porosity (%) | Open Porosity (%) | Total Porosity (%) |
|---|---|---|---|---|
| CT | 0–10 | 0.71 ± 0.28 ab | 10.27 ± 0.36 a | 10.91 ± 0.61 a |
| 10–20 | 0.63 ± 0.17 ab | 10.00 ± 8.20 a | 10.57 ± 8.24 a | |
| 20–30 | 0.72 ± 0.01 ab | 20.69 ± 2.06 abc | 21.25 ± 2.05 abc | |
| 30–40 | 0.62 ± 0.13 ab | 18.91 ± 7.24 ab | 19.41 ± 7.14 ab | |
| NT | 0–10 | 0.42 ± 0.16 a | 40.69 ± 8.52 bc | 41.01 ± 8.36 bc |
| 10–20 | 1.06 ± 0.06 b | 11.20 ± 0.84 a | 12.19 ± 0.84 a | |
| 20–30 | 1.10 ± 0.40 b | 43.13 ± 16.29 c | 43.81 ± 15.88 c | |
| 30–40 | 0.72 ± 0.88 ab | 24.89 ± 10.49 abc | 25.43 ± 10.44 abc |
| Tillage System | Depth (cm) | 2022 | 2023 | ||
|---|---|---|---|---|---|
| Sowing | Harvesting | Sowing | Harvesting | ||
| CT | 0–10 | 2.64 ± 0.38 d | 2.28 ± 0.17 cd | 2.38 ± 0.26 cd | 2.78 ± 0.72 d |
| 10–20 | 2.16 ± 0.14 abc | 1.80 ± 0.18 ab | 2.08 ± 0.14 bc | 1.75 ± 0.80 bc | |
| 20–30 | 2.03 ± 0.08 a | 2.05 ± 0.22 bc | 1.81 ± 0.25 ab | 0.82 ± 0.10 a | |
| 30–40 | 2.31 ± 0.09 abc | 1.73 ± 0.05 a | 1.91 ± 0.15 ab | 1.29 ± 0.60 ab | |
| NT | 0–10 | 2.34 ± 0.26 bc | 2.54 ± 0.35 d | 1.99 ± 0.18 b | 2.89 ± 0.07 d |
| 10–20 | 2.05 ± 0.19 ab | 2.13 ± 0.22 c | 1.65 ± 0.02 a | 2.23 ± 0.06 cd | |
| 20–30 | 2.14 ± 0.13 abc | 2.24 ± 0.17 c | 2.51 ± 0.35 d | 2.01 ± 0.06 c | |
| 30–40 | 2.41 ± 0.09 cd | 2.32 ± 0.08 cd | 2.05 ± 0.12 b | 2.36 ± 0.37 cd | |
| Tillage System | Depth (cm) | 2022 | 2023 | ||
|---|---|---|---|---|---|
| Sowing | Harvesting | Sowing | Harvesting | ||
| CT | 0–10 | 57.56 ± 0.65 a | 50.36 ± 0.91 a | 64.66 ± 0.65 b | 76.17 ± 1.45 ab |
| 10–20 | 68.24 ± 0.57 b | 55.36 ± 0.79 b | 55.01 ± 1.89 a | 73.63 ± 3.6 ab | |
| 20–30 | 65.55 ± 0.76 a | 61.16 ± 0.74 c | 59.0 ± 0.80 ab | 57.82 ± 5.91 a | |
| 30–40 | 75.97 ± 2.56 cd | 76.54 ± 1.10 e | 80.30 ± 0.42 d | 63.54 ± 3.0 ab | |
| NT | 0–10 | 74.36 ± 0.57 c | 80.13 ± 0.59 f | 70.29 ± 0.33 c | 76.66 ± 2.24 ab |
| 10–20 | 83.02 ± 0.29 c | 77.20 ± 0.31 ef | 77.27 ± 0.37 d | 82.21 ± 1.66 b | |
| 20–30 | 80.91 ± 0.44 de | 79.23 ± 0.71 ef | 77.44 ± 2.06 d | 69.24 ± 7.34 ab | |
| 30–40 | 74.53 ± 1.51 c | 70.35 ± 0.37 d | 76.42 ± 0.32 d | 79.21 ± 3.13 b | |
Disclaimer/Publisher’s Note: The statements, opinions and data contained in all publications are solely those of the individual author(s) and contributor(s) and not of MDPI and/or the editor(s). MDPI and/or the editor(s) disclaim responsibility for any injury to people or property resulting from any ideas, methods, instructions or products referred to in the content. |
© 2025 by the authors. Licensee MDPI, Basel, Switzerland. This article is an open access article distributed under the terms and conditions of the Creative Commons Attribution (CC BY) license (https://creativecommons.org/licenses/by/4.0/).
Share and Cite
Mihu, G.-D.; Aostăcioaei, T.G.; Ghelbere, C.; Calistru, A.-E.; Țopa, D.C.; Jităreanu, G. Exploring Soil Hydro-Physical Improvements Under No-Tillage: A Sustainable Approach for Soil Health. Agriculture 2025, 15, 981. https://doi.org/10.3390/agriculture15090981
Mihu G-D, Aostăcioaei TG, Ghelbere C, Calistru A-E, Țopa DC, Jităreanu G. Exploring Soil Hydro-Physical Improvements Under No-Tillage: A Sustainable Approach for Soil Health. Agriculture. 2025; 15(9):981. https://doi.org/10.3390/agriculture15090981
Chicago/Turabian StyleMihu, Gabriel-Dumitru, Tudor George Aostăcioaei, Cosmin Ghelbere, Anca-Elena Calistru, Denis Constantin Țopa, and Gerard Jităreanu. 2025. "Exploring Soil Hydro-Physical Improvements Under No-Tillage: A Sustainable Approach for Soil Health" Agriculture 15, no. 9: 981. https://doi.org/10.3390/agriculture15090981
APA StyleMihu, G.-D., Aostăcioaei, T. G., Ghelbere, C., Calistru, A.-E., Țopa, D. C., & Jităreanu, G. (2025). Exploring Soil Hydro-Physical Improvements Under No-Tillage: A Sustainable Approach for Soil Health. Agriculture, 15(9), 981. https://doi.org/10.3390/agriculture15090981

