Fertility Assessment and Risk Management in Tea Plantations: Role of P-Promoted Metals’ Availability
Abstract
1. Introduction
2. Materials and Methods
2.1. Sample Collection and Pretreatment
2.2. Chemical Analysis
2.3. Integrated Evaluation of Soil Fertility Quality
2.4. Statistical Analysis
3. Results and Discussion
3.1. Soil pH Value and Available Concentrations of N, P, and K
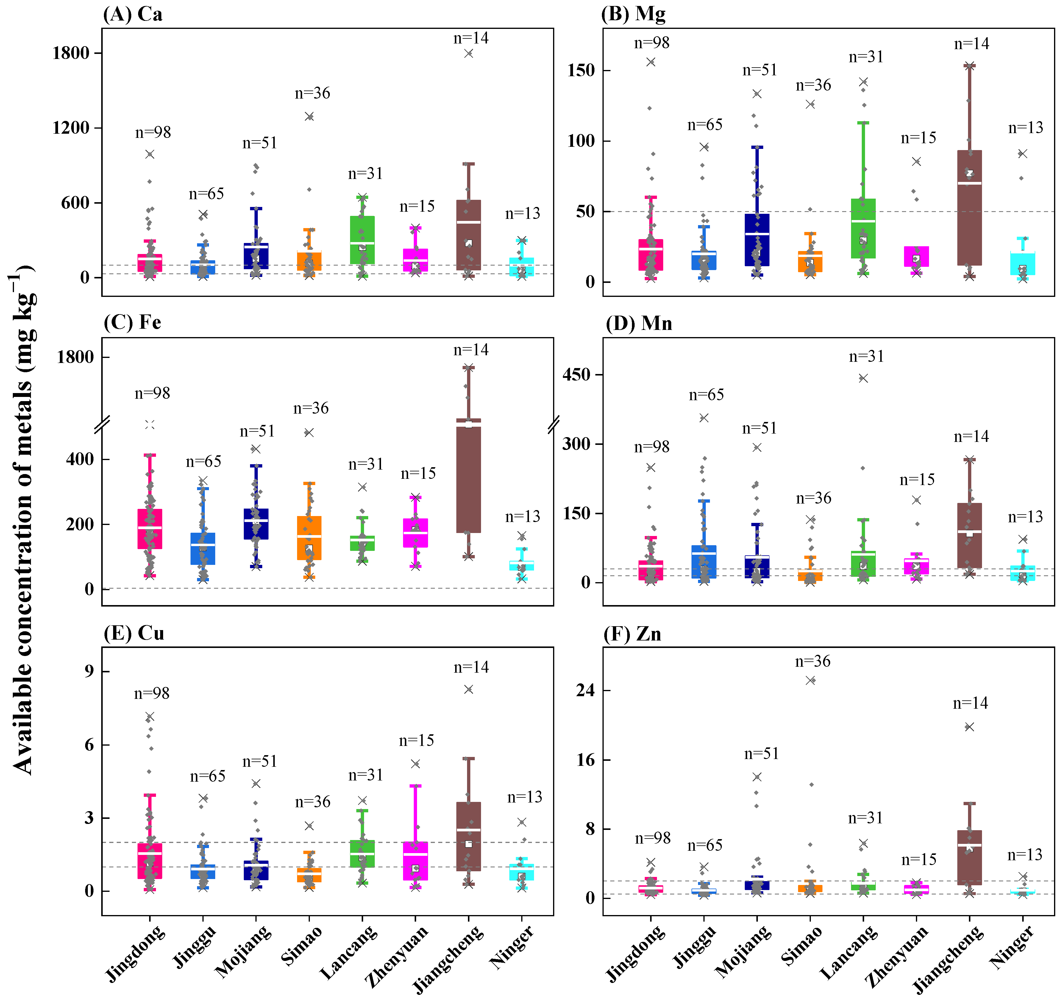
3.2. Available Concentrations of Macro-Metals
3.3. Soil-Available Trace Metal Concentrations
3.4. Integrated Fertility Evaluation of Tea Plantations
3.5. Correlation Analysis
4. Conclusions
Supplementary Materials
Author Contributions
Funding
Institutional Review Board Statement
Data Availability Statement
Acknowledgments
Conflicts of Interest
References
- Brzezicha-Cirocka, J.; Grembecka, M.; Ciesielski, T.; Flaten, T.P.; Szefer, P. Evaluation of macro- and microelement levels in black tea in view of its geographical origin. Biol. Trace Elem. Res. 2016, 176, 429–441. [Google Scholar] [CrossRef] [PubMed]
- Caputo, J.; Beier, C.M.; Sullivan, T.J.; Lawrence, G.B. Modeled effects of soil acidification on long-term ecological and economic outcomes for managed forests in the Adirondack region (USA). Sci. Total Environ. 2016, 565, 401–411. [Google Scholar] [CrossRef]
- Yang, X.D.; Ni, K.; Shi, Y.Z.; Yi, X.Y.; Zhang, Q.F.; Fang, L.; Ma, L.F.; Ruan, J.Y. Effects of long-term nitrogen application on soil acidification and solution chemistry of a tea plantation in China. Agric. Ecosyst. Environ. 2018, 252, 74–82. [Google Scholar] [CrossRef]
- Orimadegun, B.E.; Bolajoko, E.B.; Onyeaghala, A.A.; Ademola-Aremu, O.O. Quantitative analyses of phytochemical and trace elements contents of daily detox, herbal tea consumed in Nigeria. J. Med. Plants Res. 2018, 12, 289–295. [Google Scholar] [CrossRef]
- Yan, P.; Wu, L.Q.; Wang, D.H.; Fu, J.Y.; Shen, C.; Li, X.; Zhang, L.P.; Zhang, L.; Fan, L.C.; Han, W.Y. Soil acidification in Chinese tea plantations. Sci. Total Environ. 2020, 715, 136963–136969. [Google Scholar] [CrossRef]
- Brzezicha-Cirocka, J.; Grembecka, M.; Szefer, P. Monitoring of essential and heavy metals in green tea from different geographical origins. Environ. Monit. Assess. 2016, 188, 183–193. [Google Scholar] [CrossRef]
- Zhang, J.; Yang, R.; Chen, R.; Peng, Y.; Wen, X.; Gao, L. Accumulation of heavy metals in tea leaves and potential health risk assessment: A case study from Puan County, Guizhou Province, China. Int. J. Environ. Res. Public Health 2018, 15, 133. [Google Scholar] [CrossRef]
- Alnaimat, A.S.; Barciela-Alonso, M.C.; Herbello-Hermelo, P.; Dominguez-Gonzalez, R.; Bermejo-Barrera, P. In vitro assessment of major and trace element bioaccessibility in tea samples. Talanta 2021, 225, 122083–122091. [Google Scholar] [CrossRef]
- Laik, R.J.; Singh, S.K.; Pramanick, B.; Kumari, V.; Nath, D.; Dessoky, E.S.; Attia, A.O.; Hassan, M.M.; Hossain, A. Improved method of boron fertilization in rice (Oryza sativa L.)–Mustard (Brassica juncea L.) cropping system in upland calcareous soils. Sustainability 2021, 13, 5037. [Google Scholar] [CrossRef]
- Kelepertzis, E. Accumulation of heavy metals in agricultural soils of Mediterranean: Insights from Argolida basin, Peloponnese, Greece. Geoderma 2014, 221–222, 82–90. [Google Scholar] [CrossRef]
- Li, Y.; Liu, K.H.; Zhu, J.; Jiang, Y.R.; Huang, Y.Y.; Zhou, Z.M.; Chen, C.S.; Yu, F.M. Manganese accumulation and plant physiology behavior of Camellia oleifera in response to different levels of nitrogen fertilization. Ecotoxicol. Environ. Saf. 2019, 184, 109603–109611. [Google Scholar] [CrossRef] [PubMed]
- Yan, P.; Shen, C.; Fan, L.C.; Li, X.; Zhang, L.P.; Zhang, L.; Han, W.Y. Tea planting affects soil acidification and nitrogen and phosphorus distribution in soil. Agric. Ecosyst. Environ. 2018, 254, 20–25. [Google Scholar] [CrossRef]
- Qiao, C.L.; Mia, S.; Wang, Y.Q.; Hou, J.J.; Xu, B. Assessing the effects of nitrification inhibitor DMPP on acidification and inorganic N leaching loss from tea (Camellia sinensis L.) cultivated soils with increasing urea–N rates. Sustainability 2021, 13, 994. [Google Scholar] [CrossRef]
- Lucas, R.W.; Klaminder, J.; Futter, M.N.; Bishop, K.H.; Egnell, G.; Laudon, H.; Hogberg, P. A meta-analysis of the effects of nitrogen additions on base cations: Implications for plants, soils, and streams. Forest Ecol. Manag. 2011, 262, 95–104. [Google Scholar] [CrossRef]
- Wen, B.; Li, L.; Duan, Y.; Zhang, Y.; Shen, J.; Xia, M.; Wang, Y.; Fang, W.; Zhu, X. Zn, Ni, Mn, Cr, Pb and Cu in soil-tea ecosystem: The concentrations, spatial relationship and potential control. Chemosphere 2018, 204, 92–100. [Google Scholar] [CrossRef]
- Ye, F.X.; Luo, Z.W.; Ju, Y.W.; Huan, Q.; Liu, X. Roles of N and P in soil acidification, metals mobilization and bioavailable concentration-based soil fertility assessment in tea plantations in Yunnan, China. Agriculture 2025, 15, 543. [Google Scholar] [CrossRef]
- Milani, R.F.; Morgano, M.A.; Saron, E.S.; Silva, F.F.; Cadore, S. Evaluation of direct analysis for trace elements in tea and herbal beverages by ICP-MS. J. Braz. Chem. Soc. 2015, 26, 1211–1217. [Google Scholar] [CrossRef]
- Aitta, A.; Aitta, A.; El-Ramady, H.; Alshaal, T.; El-Henawy, A.; Shams, M.; Talha, N.; Elbehiry, F.; Brevik, E.C. Seasonal and spatial distribution of soil trace elements around Kitchener drain in the northern Nile Delta, Egypt. Agriculture 2019, 9, 152. [Google Scholar] [CrossRef]
- Liu, X.; Fu, J.W.; Tang, N.; da Silva, E.B.; Cao, Y.; Turner, B.L.; Chen, Y.S.; Ma, L.Q. Phytate induced arsenic uptake and plant growth in arsenic-hyperaccumulator Pteris vittata. Environ. Pollut. 2017, 226, 212–218. [Google Scholar] [CrossRef]
- Santos, W.P.D.; Silva, M.L.N.; Avanzi, J.C.; Acuna-Guzman, S.F.; Candido, B.M.; Cirillo, M.A.; Curi, N. Soil quality assessment using erosion-sensitive indices and fuzzy membership under different cropping systems on a Ferralsol in Brazil. Geoderma Reg. 2021, 25, e00385–e00394. [Google Scholar] [CrossRef]
- Orhan, D.; Serkan, I.; Fikret, S.; Ali, I. Assessment of soil quality index for tea cultivated soils in Ortaçay Micro catchment in Black Sea region. J. Agric. Sci. 2020, 26, 42–53. [Google Scholar]
- Qi, D.H.; Wieneke, X.W.; Tao, J.P.; Zhou, X.; Desilva, U. Soil pH is the primary factor correlating with soil microbiome in karst rocky desertification regions in the Wushan county, Chongqing, China. Front. Microbiol. 2018, 9, 1027–1038. [Google Scholar] [CrossRef] [PubMed]
- Peng, C.Y.; Zhu, X.H.; Hou, R.Y.; Ge, G.F.; Hua, R.M.; Wan, X.C.; Cai, H.M. Aluminum and heavy metal accumulation in tea leaves: An interplay of environmental and plant factors and an assessment of exposure risks to consumers. J. Food Sci. 2018, 83, 1165–1172. [Google Scholar] [CrossRef]
- Ruan, J.Y.; Gerendas, J.; Hardter, R.; Sattelmacher, B. Effect of nitrogen form and root-zone pH on growth and nitrogen uptake of tea (Camellia sinensis) plants. Ann. Bot. 2007, 99, 301–310. [Google Scholar] [CrossRef] [PubMed]
- Aslani, M.; Souri, M.K. Growth and quality of green bean (Phaseolus vulgaris L.) under foliar application of organic-chelate fertilizers. Open Agric. 2018, 3, 146–154. [Google Scholar] [CrossRef]
- Marco, M.; Linus, K.M.; William, B.; Sean, C.; Thomas, H.H.; Patrick, A.N. Soil fertility and land sustainability in Usangu Basin-Tanzania. Heliyon 2021, 7, e07745–e07756. [Google Scholar]
- McKenzie, N.N.; Jacquier, D.D.; Isbell, R.R.F.; Brown, K.K. Australian Soils and Landscapes: An Illustrated Compendium; CSIRO: Collingwood, BC, Canada, 2004; pp. 62–64.
- George, T.S.; Turner, B.L.; Gregory, P.J.; Cade-Menun, B.J.; Richardson, A.E. Depletion of organic phosphorus from Oxisols in relation to phosphatase activities in the rhizosphere. Eur. J. Soil Sci. 2006, 57, 47–57. [Google Scholar] [CrossRef]
- Ndakidemi, P.A.; Semoka, J.M.R. Soil fertility survey in western Usambara mountains, northern Tanzania. Pedosphere 2006, 16, 237–244. [Google Scholar] [CrossRef]
- Mhoro, L.; Semu, E.; Amuri, N.; Msanya, B.; Munishi, J.A.; Malley, Z. Growth and yield responses of rice, wheat and beans to Zn and Cu fertilizers in soils of Mbeya region, Tanzania. Int. J. Agric. Pol. Res. 2015, 3, 402–441. [Google Scholar]
- Chang, C.T.; You, C.F.; Aggarwal, S.K.; Chung, C.H.; Chao, H.C.; Liu, H.C. Boron and strontium isotope ratios and major/trace elements concentrations in tea leaves at four major tea growing gardens in Taiwan. Environ. Geochem. Health 2016, 38, 737–748. [Google Scholar] [CrossRef]
- Ozyazici, M.A.; Ozyazici, G.; Dengiz, O. Determination of micronutrients in tea plantations in the eastern Black Sea region, Turkey. Afr. J. Agric. Res. 2011, 6, 5174–5180. [Google Scholar]
- Liu, J.; Wu, L.C.; Chen, D.; Yu, Z.G.; Wei, C.J. Development of a soil quality index for Camellia oleifera forestland yield under three different parent materials in Southern China. Soil Tillage Res. 2018, 176, 45–50. [Google Scholar] [CrossRef]
- Tian, K.; Zhang, B.E.; Zhang, H.D.; Huang, B.; Darilek, J.L.; Zhao, Y.C.; Yang, J.S. Evaluation of soil quality in major grain-producing region of the north China plain: Integrating minimum data set and established critical limits. Ecol. Indic. 2020, 117, 106613–106622. [Google Scholar] [CrossRef]
- Xie, L.W.; Zhong, J.; Chen, F.F.; Cao, F.X.; Li, J.J.; Wu, L.C. Evaluation of soil fertility in the succession of karst rocky desertification using principal component analysis. Solid Earth 2015, 6, 515–524. [Google Scholar] [CrossRef]
- Chen, J.; Qu, M.K.; Zhang, J.L.; Xie, E.Z.; Huang, B.; Zhao, Y.C. Soil fertility quality assessment based on geographically weighted principal component analysis (GWPCA) in large-scale areas. Catena 2021, 201, 105197–105207. [Google Scholar] [CrossRef]
- Bolan, N.S.; Adriano, D.C.; Naidu, R. Role of phosphorus in (im) mobilization and bioavailability of heavy metals in the soil-plant system. Rev. Environ. Contam. T. 2003, 177, 1–44. [Google Scholar]
- Liu, Y.L.; Zhang, M.; Li, Y.; Zhang, Y.R.; Huang, X.C.; Yang, Y.H.; Zhu, H.Q.; Xiong, H.; Jiang, T.M. Influence of nitrogen fertilizer application on soil acidification characteristics of tea plantations in karst areas of southwest China. Agriculture 2023, 13, 849. [Google Scholar] [CrossRef]
- Zhao, Z.; Yan, S.; Duan, M.; Fu, J.; Tong, Y. Assessing heavy metal pollution and potential ecological risk of tea plantation soils. Int. J. Agric. Biol. Eng. 2019, 12, 185–191. [Google Scholar] [CrossRef]





| (A) Classification | pH | N | P | K | Ca | Mg | Fe | Mn | Cu | Zn |
|---|---|---|---|---|---|---|---|---|---|---|
| (mg kg−1) | ||||||||||
| I | 4.5–5.5 | >100 | >20 | >120 | >1000 | >300 | >4.5 | >30 | >2 | >2 |
| II | 4–4.5 or 5.5–6.5 | 80–100 | 5–20 | 80–120 | 300–1000 | 50–300 | >4.5 | 15–30 | 1–2 | 0.5–2 |
| III | >6.5 or <4 | <80 | <5 | <80 | <300 | <50 | <4.5 | <15 | <1 | <0.5 |
| (B) Classification | pH | Turning point value of membership curve (mg kg−1) | ||||||||
| X1 | 4.0 | 60 | 2 | 5 | 50 | 10 | 50 | 1 | 0.3 | 0.5 |
| X2 | 4.5 | 200 | 30 | 50 | 300 | 50 | 150 | 10 | 2 | 5 |
| X3 | 5.5 | – | ||||||||
| X4 | 6.0 | – | ||||||||
| (C) Region | Soil nutrients membership value (Ni) | |||||||||
| Jingdong | 1 | 0.1 | 0.273 | 1 | 0.46 | 0.406 | 1 | 1 | 0.756 | 0.236 |
| Jinggu | 1 | 0.1 | 0.168 | 1 | 0.291 | 0.327 | 0.883 | 1 | 0.423 | 0.187 |
| Mojiang | 1 | 0.1 | 0.396 | 1 | 0.802 | 0.645 | 1 | 1 | 0.508 | 0.444 |
| Simao | 1 | 0.1 | 1 | 1 | 0.687 | 0.296 | 1 | 1 | 0.319 | 0.464 |
| Lancang | 1 | 0.1 | 0.425 | 1 | 1 | 1 | 1 | 1 | 0.751 | 0.346 |
| Zhenyuan | 1 | 0.1 | 0.141 | 1 | 0.417 | 0.469 | 1 | 1 | 0.741 | 0.192 |
| Jiangcheng | 0.766 | 0.1 | 0.544 | 1 | 1 | 1 | 1 | 1 | 1 | 1 |
| Ninger | 1 | 0.1 | 0.182 | 1 | 0.277 | 0.354 | 0.391 | 1 | 0.428 | 0.189 |
| Overall | 1 | 0.1 | 0.383 | 1 | 0.633 | 0.539 | 1 | 1 | 0.608 | 0.334 |
| (D) Region | Soil nutrients average value of correlation coefficient (Vi) | |||||||||
| Jingdong | 0.25 | 0.203 | 0.257 | 0.248 | 0.259 | 0.284 | 0.307 | 0.22 | 0.249 | 0.367 |
| Jinggu | 0.156 | 0.075 | 0.202 | 0.147 | 0.26 | 0.303 | 0.225 | 0.241 | 0.134 | 0.217 |
| Mojiang | 0.289 | 0.186 | 0.485 | 0.464 | 0.414 | 0.523 | 0.064 | 0.422 | 0.396 | 0.412 |
| Simao | 0.262 | 0.287 | 0.357 | 0.433 | 0.443 | 0.402 | 0.204 | 0.34 | 0.2 | 0.238 |
| Lancang | 0.425 | 0.128 | 0.149 | 0.201 | 0.438 | 0.481 | 0.108 | 0.416 | 0.349 | 0.363 |
| Zhenyuan | 0.214 | 0.342 | 0.525 | 0.514 | 0.514 | 0.434 | 0.381 | 0.416 | 0.15 | 0.513 |
| Jiangcheng | 0.367 | 0.251 | 0.424 | 0.622 | 0.491 | 0.562 | 0.546 | 0.587 | 0.401 | 0.452 |
| Ninger | 0.272 | 0.398 | 0.523 | 0.41 | 0.414 | 0.311 | 0.279 | 0.406 | 0.369 | 0.452 |
| Overall | 0.189 | 0.043 | 0.166 | 0.381 | 0.331 | 0.403 | 0.335 | 0.312 | 0.221 | 0.305 |
| (E) Region | Soil nutrients weight coefficient (Wi) | |||||||||
| Jingdong | 0.095 | 0.077 | 0.097 | 0.094 | 0.098 | 0.107 | 0.116 | 0.083 | 0.094 | 0.139 |
| Jinggu | 0.08 | 0.038 | 0.103 | 0.075 | 0.133 | 0.155 | 0.115 | 0.123 | 0.068 | 0.111 |
| Mojiang | 0.079 | 0.051 | 0.133 | 0.127 | 0.113 | 0.143 | 0.018 | 0.115 | 0.108 | 0.113 |
| Simao | 0.083 | 0.091 | 0.113 | 0.137 | 0.14 | 0.127 | 0.064 | 0.107 | 0.063 | 0.075 |
| Lancang | 0.139 | 0.042 | 0.049 | 0.066 | 0.143 | 0.157 | 0.035 | 0.136 | 0.114 | 0.119 |
| Zhenyuan | 0.053 | 0.085 | 0.131 | 0.128 | 0.128 | 0.108 | 0.095 | 0.104 | 0.037 | 0.128 |
| Jiangcheng | 0.078 | 0.053 | 0.09 | 0.132 | 0.104 | 0.119 | 0.116 | 0.125 | 0.085 | 0.096 |
| Ninger | 0.071 | 0.104 | 0.136 | 0.107 | 0.108 | 0.081 | 0.073 | 0.106 | 0.096 | 0.118 |
| Overall | 0.07 | 0.016 | 0.062 | 0.142 | 0.123 | 0.15 | 0.125 | 0.116 | 0.082 | 0.114 |
| (A) Region | pH | N | P | K | Ca | Mg | Fe | Mn | Cu | Zn | |||||||||||||||
|---|---|---|---|---|---|---|---|---|---|---|---|---|---|---|---|---|---|---|---|---|---|---|---|---|---|
| (mg kg−1) | |||||||||||||||||||||||||
| Jingdong | 4.97 | 20.8 | 7.39 | 50.2 | 150 | 23.6 | 190 | 35.7 | 1.54 | 1.18 | |||||||||||||||
| Jinggu | 5.05 | 24.4 | 4.1 | 77.6 | 103 | 20.1 | 137 | 63.1 | 0.91 | 0.94 | |||||||||||||||
| Mojiang | 4.94 | 19.3 | 11.2 | 84.4 | 245 | 34.2 | 212 | 55.1 | 1.07 | 2.22 | |||||||||||||||
| Simao | 4.58 | 18.5 | 34.2 | 99.1 | 213 | 18.7 | 163 | 25.2 | 0.71 | 2.32 | |||||||||||||||
| Lancang | 5.17 | 31.7 | 12.1 | 137 | 419 | 52.9 | 153 | 61 | 1.53 | 1.73 | |||||||||||||||
| Zhenyuan | 5.26 | 24.7 | 3.27 | 104 | 138 | 26.4 | 174 | 47.4 | 1.51 | 0.96 | |||||||||||||||
| Jiangcheng | 4.37 | 21.6 | 15.8 | 521 | 444 | 84.3 | 1060 | 111 | 2.51 | 6.14 | |||||||||||||||
| Ninger | 5.10 | 19.3 | 4.55 | 59.3 | 99.1 | 21.3 | 82.3 | 25.2 | 0.92 | 0.94 | |||||||||||||||
| Overall | 4.95 | 22.2 | 10.8 | 98.2 | 198 | 29.5 | 209 | 48.9 | 1.26 | 1.67 | |||||||||||||||
| (B) Region | pH | N | P | K | Ca | ||||||||||||||||||||
| I | II | III | I | III | I | II | III | I | II | III | I | II | III | ||||||||||||
| Jingdong | 86.7 | 12.2 | 1.02 | 100 | 8.16 | 10.2 | 81.6 | 4.08 | 8.16 | 87.8 | 9.18 | 90.8 | |||||||||||||
| Jinggu | 96.9 | 3.08 | 3.08 | 96.9 | 6.15 | 13.8 | 80 | 23.1 | 12.3 | 64.6 | 4.62 | 95.4 | |||||||||||||
| Mojiang | 84.3 | 13.7 | 1.96 | 100 | 11.8 | 17.6 | 70.6 | 15.7 | 23.5 | 60.8 | 1.96 | 17.6 | 80.4 | ||||||||||||
| Simao | 50 | 47.2 | 2.78 | 100 | 33.3 | 16.7 | 50 | 25 | 16.7 | 58.3 | 5.56 | 11.1 | 83.3 | ||||||||||||
| Lancang | 83.9 | 12.9 | 3.23 | 100 | 12.9 | 19.4 | 67.7 | 48.4 | 25.8 | 25.8 | 3.23 | 35.5 | 61.3 | ||||||||||||
| Zhenyuan | 73.3 | 26.7 | 100 | 26.7 | 73.3 | 26.7 | 26.7 | 46.7 | 13.3 | 86.7 | |||||||||||||||
| Jiangcheng | 35.7 | 50 | 14.3 | 100 | 14.3 | 71.4 | 14.3 | 71.4 | 7.14 | 21.4 | 7.14 | 35.7 | 57.1 | ||||||||||||
| Ninger | 92.3 | 7.69 | 100 | 7.69 | 7.69 | 84.6 | 23.1 | 76.9 | 100 | ||||||||||||||||
| Overall | 81.4 | 16.7 | 1.86 | 0.62 | 99.4 | 11.5 | 17 | 71.5 | 21.1 | 14.6 | 64.4 | 1.55 | 13.3 | 85.1 | |||||||||||
| Region | Mg | Fe | Mn | Cu | Zn | IFI a | Fertility level | ||||||||||||||||||
| I | II | III | I | I | II | III | I | II | III | I | II | III | |||||||||||||
| Jingdong | 9.18 | 90.8 | 100 | 39.8 | 23.5 | 36.7 | 24.5 | 29.6 | 45.9 | 11.2 | 86.7 | 2.04 | 0.62 | II | |||||||||||
| Jinggu | 6.15 | 93.8 | 100 | 49.2 | 15.4 | 35.4 | 6.15 | 21.5 | 72.3 | 3.08 | 81.5 | 15.4 | 0.54 | II | |||||||||||
| Mojiang | 23.5 | 76.5 | 100 | 47.1 | 17.6 | 35.3 | 11.8 | 29.4 | 58.8 | 21.6 | 78.4 | 0.69 | II | ||||||||||||
| Simao | 5.56 | 94.4 | 100 | 22.2 | 11.1 | 66.7 | 2.78 | 22.2 | 75 | 16.7 | 83.3 | 0.70 | II | ||||||||||||
| Lancang | 3.23 | 29 | 67.7 | 100 | 51.6 | 22.6 | 25.8 | 25.8 | 51.6 | 22.6 | 22.6 | 77.4 | 0.83 | I | |||||||||||
| Zhenyuan | 20 | 80 | 100 | 53.3 | 26.7 | 20 | 26.7 | 13.3 | 60 | 93.3 | 6.67 | 0.56 | II | ||||||||||||
| Jiangcheng | 71.4 | 28.6 | 100 | 78.6 | 21.4 | 50 | 21.4 | 28.6 | 71.4 | 28.6 | 0.89 | I | |||||||||||||
| Ninger | 15.4 | 84.6 | 100 | 30.8 | 15.4 | 53.8 | 15.4 | 23.1 | 61.5 | 7.69 | 76.9 | 15.4 | 0.47 | III | |||||||||||
| Overall | 0.31 | 15.8 | 83.9 | 100 | 44 | 19.2 | 36.8 | 17.3 | 27.9 | 54.8 | 14.9 | 80.5 | 4.64 | 0.73 | II | ||||||||||
Disclaimer/Publisher’s Note: The statements, opinions and data contained in all publications are solely those of the individual author(s) and contributor(s) and not of MDPI and/or the editor(s). MDPI and/or the editor(s) disclaim responsibility for any injury to people or property resulting from any ideas, methods, instructions or products referred to in the content. |
© 2025 by the authors. Licensee MDPI, Basel, Switzerland. This article is an open access article distributed under the terms and conditions of the Creative Commons Attribution (CC BY) license (https://creativecommons.org/licenses/by/4.0/).
Share and Cite
Luo, Z.; Ju, Y.; Chen, L.; Yang, X.; Long, Y.; Liu, X. Fertility Assessment and Risk Management in Tea Plantations: Role of P-Promoted Metals’ Availability. Agriculture 2025, 15, 953. https://doi.org/10.3390/agriculture15090953
Luo Z, Ju Y, Chen L, Yang X, Long Y, Liu X. Fertility Assessment and Risk Management in Tea Plantations: Role of P-Promoted Metals’ Availability. Agriculture. 2025; 15(9):953. https://doi.org/10.3390/agriculture15090953
Chicago/Turabian StyleLuo, Ziwen, Yongwang Ju, Linbo Chen, Xiangde Yang, Yaqin Long, and Xue Liu. 2025. "Fertility Assessment and Risk Management in Tea Plantations: Role of P-Promoted Metals’ Availability" Agriculture 15, no. 9: 953. https://doi.org/10.3390/agriculture15090953
APA StyleLuo, Z., Ju, Y., Chen, L., Yang, X., Long, Y., & Liu, X. (2025). Fertility Assessment and Risk Management in Tea Plantations: Role of P-Promoted Metals’ Availability. Agriculture, 15(9), 953. https://doi.org/10.3390/agriculture15090953
