Next Article in Journal
The Short-Term Efficacy of Straw Incorporation on Soil Detachment in Sloping Farmland
Previous Article in Journal
Are Rural Residents Willing to Pay for Sanitation Improvements? Evidence from China’s Toilet Revolution
 
 
Font Type:
Arial Georgia Verdana
Font Size:
Aa Aa Aa
Line Spacing:
Column Width:
Background:
Article

Analysis of Soil Fungal Community Characteristics of Morchella sextelata Under Different Rotations and Intercropping Patterns and Influencing Factors

1
Zhejiang Key Laboratory of Biological Breeding and Exploitation of Edible and Medicinal Mushrooms, Institute of Horticulture, Zhejiang Academy of Agricultural Sciences, Hangzhou 310021, China
2
College of Horticulture, Zhejiang Agriculture and Forestry University, Hangzhou 311300, China
*
Author to whom correspondence should be addressed.
These authors contributed equally to this work.
Agriculture 2025, 15(8), 823; https://doi.org/10.3390/agriculture15080823
Submission received: 16 February 2025 / Revised: 28 March 2025 / Accepted: 31 March 2025 / Published: 10 April 2025
(This article belongs to the Section Agricultural Soils)

Abstract

Morchella rotation and intercropping is a new and efficient ecological planting mode, which not only contributes to economic growth, but also promotes the sustainable development of agriculture and has high ecological benefits. Morchella sextelata is an edible mushroom that relies on soil-based cultivation. Understanding the composition and dynamics of soil fungal communities under different cropping systems is crucial for optimising its cultivation. This study investigated the fungal community characteristics of Morchella spp. under different rotation and intercropping patterns, together with the associated environmental factors. Using Illumina NovaSeq high-throughput sequencing coupled with ecological and statistical analyses, the relative abundance, alpha diversity index, beta diversity, and intergroup differences in fungal communities were assessed. Additionally, key soil physical and chemical properties were evaluated across four cultivation systems: conventional Morchella spp. cultivation, Morchella sextelata—ginger rotation, vine—Morchella sextelata intercropping, and mulberry tree—Morchella sextelata intercropping. Our results indicate that Morchella spp. cultivation leads to a significant decline in soil fungal diversity compared to uncultivated soils This indicates that cultivation with Morchella spp. simplifies the soil fungal community structure to some extent. Furthermore, distinct variations in fungal community structure were observed across the different cropping systems. Regarding major pathomycete, the relative abundance of Paecilomyces penicillatus increases in vine intercropping soil (VIS), whereas Botryotrichum atrogriseum and Paecilomyces sp. are more abundant in ginger rotation soil (GRS). Similarly, Fusarium solani and Mortierella sp. exhibit higher relative abundance in mulberry tree intercropping soil (MTIS) and fallow soil (FS) compared to natural soil (NS). Functional prediction analysis indicated a general increase in the relative abundance of potential animal and plant pathogenic fungi across all the soil samples, excluding the VIS. This increase was most pronounced in GRS. Further study revealed that the physical and chemical properties of covering soil, including pH, available potassium (AK), available phosphorus (AP), and total phosphorus (TP), significantly influence fungal community diversity and structure. A significant negative correlation was observed between pH and the relative abundance of Fusarium fungi. These findings provide valuable data for further exploration of the ecological mechanisms underlying Morchella spp. cultivation, including rotation constraints and disease dynamics. Ultimately, this research aims to support the development of sustainable and high-quality Morchella spp. production.

1. Introduction

Morchella spp. is a rare edible and medicinal fungus of Ascomycota, which is mainly divided into black type (M. angusticeps) and yellow type (M. esculenta). Its honeycomb fruiting body has unique morphological characteristics and is widely distributed in the northern temperate deciduous forest area [1]. The sporophores of Morchella spp. are rich sources of proteins, minerals, vitamins, and essential amino acids, conferring significant nutritional value. This species exhibits a range of beneficial properties, including immune enhancement, organ protection, anti-fatigue, anti-oxidation, lipid-lowering, and anti-tumour [2]. Consequently, Morchella spp. is considered a valuable mushroom for culinary and medicinal applications [3]. Due to its considerable potential in the food and pharmaceutical industries, the market demand for Morchella spp. continues to rise, exceeding the supply from wild sources. The widespread adoption of exogenous nutrient bag technology has facilitated the rapid expansion of cultivated Morchella spp. production in China, particularly for the black series varieties. However, the limited availability of suitable cultivation areas presents challenges. To optimise land use efficiency and maximise economic returns, researchers and agricultural practitioners across China have explored and promoted Morchella spp. rotation systems that incorporate various crops, including the grape [4], ginger [5], and mulberry trees [6].
Intensive, continuous greenhouse cropping is a common strategy employed to maximise yields and economic returns. However, such highly intensive systems can lead to a decline in productivity over time and increase the risk of soil-borne pests and diseases [7]. Morchella spp., as a soil-dependent fungus, is particularly vulnerable to complex soil conditions and diverse pest pressures encountered in open-field cultivation. These challenges, often intensified by continuous cropping practices, present significant obstacles to the sustainable development of the Morchella spp. industry. For example, between 2020 and 2021, 80–90% of the cultivated areas in Chengdu Plain and Yunnan Gongshan Valley experienced total crop failures [8]. Cropping systems such as rotation and intercropping effectively enhance multiple cropping indices and improve economic returns. However, the complex interactions between different crops introduce a range of uncertainties. Investigating these uncertainties is difficult due to several challenges, including determining the best way to balance soil fertility, the increased risk of insect infestations, and the limitations of crop rotation schedules. These challenges limit the widespread adoption and effective implementation of these potentially beneficial cropping systems.
Soil plays a crucial role in enhancing the physical and chemical properties of a substrate, including factors such as porosity, water retention, temperature, and nutrient availability [9]. More importantly, soil microorganisms influence the mycelial growth and fruiting of Morchella spp. [10]. The mechanism of the continuous cropping obstacle of Morchella spp. is very complex, which may be related to the imbalance of soil microbial flora and the increase in harmful microorganisms. It has been reported that the diseases caused by continuous cropping obstacles are generally closely related to the microbial community structure of the soil [11]. The main reason for the high incidence of diseases caused by continuous cropping of crops is the reduction in beneficial microorganisms and the accumulation of pathogens [12]. M. esculenta rotation and intercropping can allow other crops to decompose the secretions of the last M. esculenta mycelium and establish a microbial flora suitable for the growth of M. esculenta mycelium. However, due to the complexity of the microbial system, the interaction between different crops and M. esculenta may form dominant colonies in the soil, thereby inhibiting the growth of other microorganisms, and the harmful microorganisms that feed on specific crop roots and M. esculenta hyphae will also accumulate in large quantities, which may eventually lead to a decrease in microbial diversity. Therefore, different crops in rotation or intercropping systems may bring unpredictable changes to soil microbial communities. While previous research on soil microorganisms in Morchella spp. cultivation has predominantly focused on bacteria, fungal diseases represent a more significant threat to the production of Morchella spp. Studies have linked the incidence of Morchella spp. canker disease to the presence of Fusarium incarnatum and F.equiseti in soils [13]. Furthermore, He et al. [14] identified Paecilomyces penicillatus as the causative agent of white mould disease, a common disease of Morchella spp. Research by Su Wenying [15] and Huang Hui [16] et al. revealed that Diploöspora longispora is responsible for pileus rot and pythium disease. Therefore, analysing soil fungal community structures and diversity is crucial for identifying potential fungal pathogens, understanding their impact on edible mushroom growth and development, and ultimately addressing yield and quality limitations in Morchella spp. cultivation.
Limited research has explored the effects of rotation and intercropping with different crops on the abundance and community structure of soil microorganisms in Morchella spp. cultivation. This study addresses this gap by investigating fungal diversity, community composition, and the presence of harmful taxa in Morchella spp. cultivation soils under different cropping patterns using high-throughput sequencing technology. Additionally, the physicochemical properties of the soils were analysed to identify potential correlations with microbial communities. This study aimed to identify disease-associated microorganisms in Morchella spp. cultivation soils and provide a theoretical basis for mitigating succession barriers in practical production.

2. Materials and Methods

2.1. Experimental Design and Sample Acquisition

The field experiment was conducted at Junlin Tianxia Ecological Farm in Pan’an County, Zhejiang Province, Eastern China (28.884132° N, 120.387460° E, elevation: 326 m). The area is sandy loam soil, and the air permeability and water permeability are good. Ginger, grape, and mulberry are planted all year round. We took measures according to local conditions. Morchella spp. was cultivated in natural soil, in the spaces between grape vines, and among mulberry trees within the same greenhouse plot on 15 October 2023. Following the harvest on 30 April 2024, ginger was planted in some of the fields. Soil samples were collected five months after sowing, in 2024. The local temperature was 27 °C, the air humidity was 70%, and the soil humidity was 80% before the commencement of the next cropping cycle. Specifically, soil samples were collected from five distinct experimental treatments: natural soil (NS, uncultivated control), fallow soil (FS, post-Morchella sextelata cultivation), ginger rotation soil (GRS, Morchella spp. rotated with ginger), vine intercropping soil (VIS, Morchella spp. intercropped with grapevines), and mulberry tree intercropping soil (MTIS, Morchella spp. intercropped with mulberry trees). For each treatment, five sampling points were randomly selected within the plot following a five-point sampling method. At each point, surface soil was carefully removed using a sterilised shovel, and soil samples were collected from a depth of 3–5 cm. The collected soils were thoroughly mixed and divided into two portions. A portion (approximately 300 g) was used to analyse the physicochemical properties of the soil. The other portion was sieved through a 2 mm mesh, and 50 g of the screened soil was immediately transferred into sterilised tubes. These tubes were labelled and promptly placed in a container with dry ice to preserve the samples. All the soil samples were transported to the laboratory without delay. The soil samples in sterile tubes were then stored at −80 °C for DNA extraction. Subsequently, the samples were flash-frozen in liquid nitrogen and sent to Shanghai Donghuan Biotech Co., Ltd. (Shanghai, China) for NovaSeq PE250 sequencing. In order to reduce the experimental error, the soil physical and chemical properties and high-throughput sequencing were repeated six times. The total number of sequencing samples was 30.

2.2. Test of Physical and Chemical Properties of Covering Soils

The soil chemical properties were determined following established NY/T and LY/T reference methods [17,18]. Soil organic carbon content was measured using the potassium dichromate oxidation–external heating method. The total salt content was determined by the deionised water extraction–mass method. Total nitrogen (TN) was analysed using an elemental analyser. Soil pH and available phosphorus (AP) were measured using the sodium bicarbonate (NaHCO3) extraction–molybdenum-antimony (Mo-Sb) colourimetric method. Available potassium (AK) was determined by ammonium acetate extraction and flame photometry. Ammonium nitrogen content was determined using potassium chloride solution extraction–indophenol blue colourimetry, and nitrate nitrogen content was measured using potassium chloride solution extraction–double wavelength colourimetry.

2.3. DNA Extraction and ITS High-Throughput Sequencing

The soil genomic DNA was extracted using the FastDNATMSpin Kit (MP Biomedicals, Santa Ana, CA, USA) for Soil. DNA fragment size was assessed using agarose gel electrophoresis (AGE). Additionally, DNA concentration and purity were measured using a NanoDrop One spectrophotometer (Thermo Fisher, Waltham, MA, USA) to ensure that the samples met the quality requirements for sequencing. The qualified samples were then sent to Shanghai Donghuan Biotech Co., Ltd. for NovaSeq PE250 sequencing. The ITS region was amplified using the primers ITS1 (5′-CTTGGTCATTTAGAGGAAGTAA-3′) and ITS2 (5′-GCTGCGTTCTTCATCGATGC-3′). PCR conditions: pre-denaturation at 98 °C for 30 s; denaturation at 98 °C for 10 s, renaturation at 58 °C for 30 s, and extension at 72 °C for 1 min, 28 cycles; and extension at 72 °C for 2 min.

2.4. Data Analysis and Visualisation

To investigate species diversity within the samples, the filtered sequence data were analysed using Illumina NovaSeq 6000 (San Diego, CA, USA). The sequence underwent a series of processing steps, including filtering, quality control, chimaera removal, integration of double-end sequences, and noise reduction using DADA2. This process generated Amplicon Sequence Variants (ASVs), which represent feature information. The specific processing steps are as follows: remove reads containing low-quality bases (mass value ≤ 15) exceeding a certain proportion (default set to 40 bp); remove reads with a certain proportion of N bases (default is set to 10 bp); and remove reads that overlap with the Adapter exceeding a certain threshold (default is set to 10 bp). For taxonomic classification, the UNITE reference database (version 8.0) was clustered at 99% similarity and used to train a classifier. Subsequently, analyses of relative abundance, alpha diversity, beta diversity, and intergroup differences were conducted to determine species richness and evenness within the samples, as well as to identify shared and unique species among the different samples or groups. In addition, differences in community structures among various samples and groups were analysed and visualised using principal coordinates analysis (PCoA) and the unweighted pair group method with an arithmetic mean (UPGMA) sample clustering tree. To further investigate community structural differences among different groups, statistical analysis methods such as permutational analysis of variance (PERMANOVA) using the Adonis test and analysis of similarities (ANOSIM) were employed. The linear discriminant analysis effect size (LEfSe) was used to identify differentially abundant taxa. ITS raw data have been uploaded to NCBI, and the accession number is PRJNA1234878.

3. Results

3.1. Diversity of Fungal Community in Soils Covered with Morchella spp. Under Different Cropping Patterns

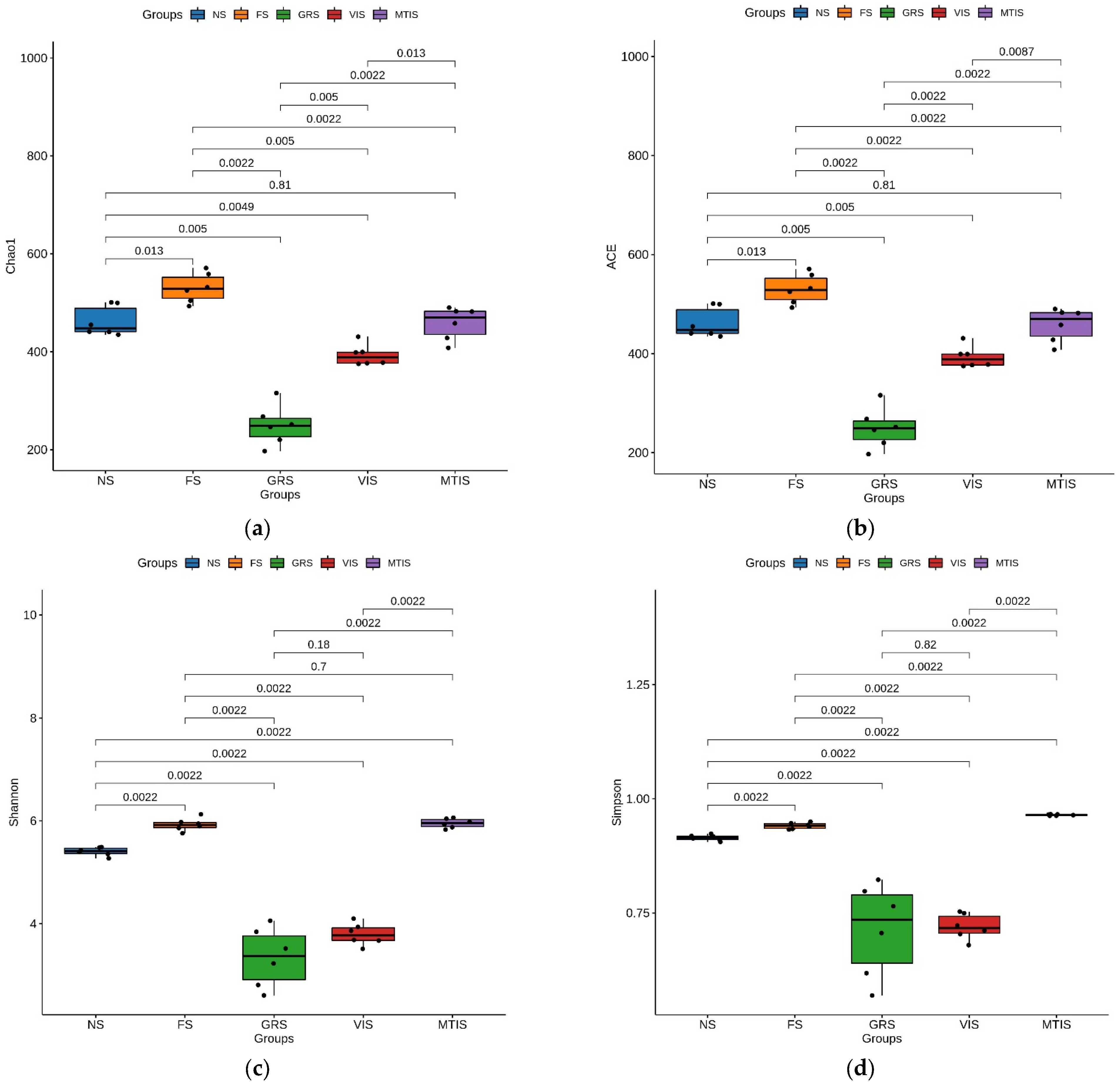
An alpha (α) diversity analysis was performed to assess the microbial diversity within individual samples, providing insights into the abundance and diversity of microbial communities by evaluating a single sample’s composition. The Chao1 and Ace indices measure species richness, whereas the Shannon and Simpson indices quantify species diversity. It can be seen from Figure 1 that in the planting system, the fungal diversity of GRS was the lowest and FS was the highest, as shown by Chao1, ACE, Shannon, and Simpson indices.

3.2. The Number of Soil Fungal Communities Covered with Morchella spp. Under Different Cropping Patterns

A total of 5759 operational taxonomic units (OTUs) were identified across the NS, FS, GRS, VIS, and MTIS groups, and their species distribution was analysed using a Venn diagram. The number of OTUs detected in the NS, FS, GRS, VIS, and MTIS was 1463, 659, 1280, 1259, and 1098, respectively. Among these, 996 OTUs were unique to NS, 388 to FS, 802 to VIS, and 688 to MTIS. Additionally, 51 OTUs were common to all five samples, representing a core set of microbial taxa shared across all the cropping systems.
As shown in Figure 2, the number of OTUs in the soil samples followed the following order: NS > GRS > VIS > MTIS > FS. This pattern indicates that fungal community abundance is highest in NS, whereas soils under different cropping patterns exhibit varying degrees of decline in fungal abundance. Notably, FS displays the lowest fungal community abundance among all the samples.

3.3. Fungal Community Structure and β Diversity of Soils Cultivated with Morchella spp. Under Different Cropping Patterns

The fungal community structure of the soils cultivated with Morchella spp. was analysed using PCoA based on Bray–Curtis distance (Figure 3). In PCoA plots, greater distances between sample points indicate greater dissimilarity in fungal community structure and diversity. Conversely, shorter distances reflect more similar fungal communities. The results show that the principal coordinate axes PC1 and PC2 account for 33.11% and 22.37% of the variation in fungal community structure, respectively. The analysis reveals that the FS, GRS, VIS, and MTIS occupy distinct quadrants and are located far from the NS. This spatial distribution indicates significant differences in fungal community structure and diversity among the soils cultivated with Morchella spp. under different cropping patterns. It is hypothesised that these differences arise due to the selective influence of root systems from different crops on soil fungal species.

3.4. UPGMA Clustering of Fungal Community in Soils Cultivated with Morchella spp. Under Different Cropping Patterns

Figure 4 illustrates that the FS and MTIS cluster within the same branch, indicating the shortest distance between them. This close clustering reflects a high degree of similarity in their fungal community structures. However, FS and MTIS were positioned far from the other soil samples, indicating significant differences in fungal community composition compared to the remaining groups.

3.5. Fungal Community Differences in Soils Cultivated with Morchella spp. Under Different Cropping Patterns

To provide a comprehensive understanding of the fungal community structure in the soils cultivated with Morchella spp., the fungal communities were analysed at various taxonomic levels. As shown in Figure 5, at the phylum level, Ascomycota, Basidiomycota, and Mortierellomycota were the three dominant phyla across all the soil samples. Specifically, Ascomycota exhibited the highest relative abundance in GRS (96.05%), while Basidiomycota had the lowest relative abundance (0.69%). Conversely, in VIS, the relative abundance of Ascomycota was the lowest (18.78%) and that of Basidiomycota was the highest (67.23%). The FS group, when compared to the control (NS), displayed similar relative abundances of these dominant phyla.
At the species level, as depicted in Figure 6, Acremonium_chrysogenum, Mortierellales, and Myriococcum praecox were the dominant species in NS. The heatmap reveals significant changes in the fungal community structures among the soil samples. Notably, specific trends in relative abundance were observed: Paecilomyces penicillatus exhibited increased abundance in VIS, while Botryotrichum atrogriseum and Paecilomyces sp. increased in GRS. Similarly, Fusarium solani and Mortierella sp. showed higher relative abundances in MTIS and FS, respectively.

3.6. LEfSe Analysis of Fungal Communities in Soils Cultivated with Morchella spp. Under Different Cropping Patterns

A circular tree map generated through the LEfSe analysis was used to visualise intergroup differences in fungal community composition. The concentric circles, arranged from the innermost to the outermost regions, represent taxonomic ranks. As shown in Figure 7, certain taxa exhibited notably high relative abundances in specific soil types: Mortierellales_fam_Incertae_sedis in NS, Mortierellales in FS, Botryotrichum and Botryotrichum atrogriseum in GRS, and Mortierellaceae_gen_Incertae_sedis in MTIS. In VIS, relatively high abundances of Paecilomyces sp., Agaricus, Pluteaceae, and Mortierella were observed.
LEfSe was used to assess the differential effects of various treatments on the relative abundance of individual fungal taxa. A linear discriminant analysis (LDA) based discrimination bar chart was used to identify the key taxa (species with an LDA score ≥ 6) across various treatments. Higher LDA scores indicate a stronger influence of different treatments on the relative abundance of specific species within the fungal community.
At the class level, the t-test analysis (Figure 8) revealed that Mortierellomycetes was the dominant class in the NS, significantly differentiating its fungal community structure from the other samples. This class exhibited a high degree of influence (LDA score = 5). In the FS group, Rozellomycota, Leotiomycetes, and Eurotiales were identified as the key taxa driving significant differences among the treatments. Sordariomycetes and Eurotiomycetes strongly influenced (LDA score = 4) community differences in GRS. Orbiliomycetes and Ramicandelaberomycetes were the primary fungal classes responsible for the significant differences between the MTIS and the other soil samples. Finally, VIS was significantly differentiated from the other soil samples by Aricomycetes.

3.7. Potential Function Prediction of Fungi in Soils Cultivated with Morchella spp. Under Different Cropping Patterns

To further investigate the functional roles of microbial communities in soils under crop rotation with Morchella spp., data with a confidence level of “Possible” were excluded, while data classified as “Highly Probable” and “Probable” were retained for analysis. FUNGuild was then used to analyse the functional profiles of the fungal communities before and after planting. The reliability of the data was ensured by confidence screening. FUNGuild was used to realise functional annotation. Combined with abundance statistics and intergroup comparison, the effects of crop rotation on soil fungal functional communities, especially the dynamic changes in saprophytic and pathological microorganisms, were revealed.
As illustrated in Figure 9a, the fungal communities in the soils associated with Morchella spp. were predominantly composed of saprophytic fungi, while symbiotic and pathogenic fungi represented the smallest proportion of the community. Notably, the most significant differences in fungal types were observed between GRS and VIS. In both soil types, saprophytic fungi were predominant, with relative abundances of 76.33% and 80.20%, respectively. The proportion of pathological nutrition type is the lowest and their relative abundance is lower than 15%.
It can be seen from Figure 9b that the saprophytic nutrition type, soil rot fungi, coprotrophic fungi, and plat rot fungi in all the soil samples cultivated with Morchella spp. decreased continuously compared with those in NS. Pathogenic fungi constituted the smallest proportion, with relative abundances below 15% in both soil types.

3.8. Effects of Soil Physical and Chemical Properties on Fungal Community Structure Under Different Cropping Patterns

As shown in Table 1, significant differences were observed in the ammonium nitrogen, nitrate nitrogen, AK, and total salt content between NS and all the soil samples associated with Morchella spp., except for VIS. Specifically, GRS exhibited the lowest pH but the highest levels of organic matter, TN, ammonium nitrogen, nitrate nitrogen, AP, AK, and total salt. In contrast, VIS had the highest pH but the lowest organic matter, TN, ammonium nitrogen, nitrate nitrogen, and total salt levels. FS recorded the lowest values for AP and AK among the soil types analysed. Notably, ammonium nitrogen and nitrate nitrogen levels in FS, GRS, and MTIS were significantly higher than those in NS. Specifically, ammonium nitrogen concentrations in FS, GRS, and MTIS were 2.85, 3.85, and 1.78 times higher, respectively, than those in NS, while nitrate nitrogen levels were 11.89, 20.93, and 9.31 times higher, respectively. The increase in nitrate nitrogen is more pronounced than that in ammonium nitrogen in these samples. However, VIS showed a different trend. While ammonium nitrogen increased slightly, nitrate nitrogen decreased to the lowest level (11.66 mg/kg) observed across all the soil samples.
To investigate the influence of soil physicochemical properties on fungal community composition under the different cropping patterns, all the measured soil properties were included in a redundancy analysis (RDA). As shown in Figure 10, pH emerged as a significant factor influencing fungal community structure, whereas AK, AP, and ammonium nitrogen primarily influenced the fungal community in GRS. In MTIS, the total salt content, organic matter, TN, and nitrate nitrogen were identified as significant drivers of fungal community variation. Collectively, these measured soil properties explained 61.62% of the observed variation in fungal community composition across the different soil samples.
Pearson correlation analysis was performed to investigate the relationships between soil physicochemical properties and fungal community α-diversity (Table 2). The pH of all the samples, except VIS, was below 7.5. Ammonium nitrogen, nitrate nitrogen, AP, and AK showed negative correlations with fungal community α-diversity. Specifically, AP showed strong negative correlations with Chao1 (–0.79, p < 0.01), ACE (−0.79, p < 0.01), and Shannon indices (−0.57, p < 0.05). Similarly, AK exhibited strong negative correlations with Chao1 (−0.80, p < 0.01), ACE (−0.80, p < 0.01), and Shannon indices (−0.53, p < 0.05). These results indicate that fungal community abundance and diversity decreased with increasing AP and AK levels.
Furthermore, a Spearman correlation analysis was conducted to examine the relationships between the 30 most abundant fungal genera and soil physicochemical properties. The results presented in Figure 11 indicate that 27 genera exhibit significant correlations with eight soil properties. Specifically, Nigrospora, Clonostachys, Bionectriaceae, and Leucoagaricus showed negative correlations with pH, whereas organic matter, total nitrogen, and AP were positively correlated with pH. Fusarium exhibited a negative correlation with pH.

4. Discussion

Morchella spp. is an indigenous fungal species whose mycelium is densely distributed in soil, resembling a mushroom bed [19]. Soil serves as a crucial growth medium for Morchella spp., providing an essential environment for its life cycle. Rich organic matter and diverse microbial communities within soil contribute to increased yields of Morchella spp. and support ecological restoration and sustainable development [20]. However, inappropriate cropping practices during soil management have led to the emergence of rotation barriers for Morchella spp. These unsuitable rotations intensify the incidence of plant diseases and pests, significantly affecting both yield and quality [21]. Common canker and white mould disease are among the most prevalent fungal infections affecting Morchella spp. cultivation. Therefore, this study investigated soils cultivated with Morchella spp. under different cropping patterns using NS as a control. The characteristics of the fungal communities in these soil samples, along with the factors influencing them, were investigated using high-throughput sequencing technology with multiple ecological and statistical correlation analyses. The findings of this research provide a theoretical basis for understanding the causes and potential pathogenic mechanisms of fungal diseases affecting Morchella spp. under different cropping patterns. Li Xuesong et al. found that the dominant microbial groups in the soil of diseased Morchella spp. were Paecilomyces, Fusarium, Trichoderma, etc., which were all related groups of macrofungal pathogens. [22]
The results revealed a significant decrease in fungal community diversity in all the Morchella spp.-associated soil samples (VIS, GRS, MTIS, and FS) compared with the unplanted control (NS). This reduction in diversity may be attributed to Morchella spp. becoming the dominant organism during its growth, thereby suppressing the diversity of other background microorganisms. This observation is consistent with previous studies [23,24]. Prior research has also reported that approximately 98% of the fungi in soil ecosystems belong to the phyla Ascomycota and Basidiomycota, with Ascomycota being more abundant than Basidiomycota [25]. At the phylum level, fungal community structures vary significantly among different cropping patterns. However, Ascomycota, Basidiomycota, and Mortierella are the dominant fungal taxa in all the groups. At the phylum level, the distribution of soil fungi under different cropping patterns is characterised by the presence of common species. However, at the genus level, the fungal community structure and functional types exhibited significant variation. Previous studies have identified fungi that cause physiological diseases in Morchella spp. rotation, including Paecilomyces penicillatus, Fusarium solani [12], Mortierella [26], and Botryotrichum_atrogriseum [27]. An analysis of the genus level showed that the pathogenic fungi showed a specific enrichment of cultivation patterns: the relative abundance of Paecilomyces_penicillatus in grape intercropping soil was higher, which may lead to a high incidence of white mould disease by destroying the mycelial structure through infection; the co-occurrence of Botryotrichum_atrogriseum and Paecilomyces_sp in ginger rotation soil was significantly increased, which may aggravate rhizosphere micro-damage through synergistic effect. The synergistic pathogenic mode is highly similar to the pathogen interaction network in the continuous cropping obstacle of Panax notoginseng [28]. These findings further verify the applicability of the “pathogen complex” theory in the continuous cropping system of edible fungi. In both FS and MTIS, functional prediction analysis further revealed an increase in pathogenic fungi, particularly animal and plant pathogens, in all the soil samples except VIS compared with natural soil (NS). This trend was especially pronounced in GRS. The abundance of pathogenic fungi exerts stress on rhizosphere cells, affecting the growth of aerial plant parts and leading to significant rotation barriers.
Yinglian et al. [29] found that alterations in soil physicochemical properties are a key factor that contributes to crop rotation challenges. The occurrence of Morchella spp. is closely linked to soil mineral element content. Zhao Yongchang et al. [30] investigated mineral element concentrations in soils from the origin of Morchella spp. and concluded that high levels of phosphorus and potassium are essential for its growth. In this study, FS exhibited the lowest levels of AP and AK, indicating that the application of phosphorus and potassium fertilisers in later stages could help maintain the nutrient balance and support Morchella spp. cultivation. The research by Tan Hao’s team revealed the complex regulation mechanism of nitrogen forms in the cultivation system of Morchella. It was found that in the conventional cultivation system, the ratio of ammonium nitrogen to nitrate nitrogen was significantly negatively correlated with yield, which may be due to the fact that nitrate nitrogen was more conducive to maintaining soil pH stability and promoting the absorption of trace elements by mycelia. It is worth noting that except for the grape intercropping system, the increase in nitrate nitrogen in the other cultivation systems was significantly higher than that of ammonium nitrogen, but there was a unique reverse response in the grape intercropping system. For this special phenomenon, it is speculated that it may be due to the secretion of specific phenolic acids (such as phlorizin, caffeic acid, etc.) by grape roots. Based on the above findings, it is recommended to implement a nitrate nitrogen supplementation strategy in the grape intercropping system, which can not only improve the imbalance of nitrogen forms, but also alleviate the continuous cropping obstacles.

5. Conclusions

This study integrated the analysis of fungal diversity and soil physicochemical properties to further elucidate the factors driving fungal community changes. The results indicate that soil pH has a significant impact on fungal community structure. Weakly acidic soil conditions are generally considered favourable for the growth of harmful fungi, such as Fusarium, while alkaline soils tend to inhibit their growth [31]. This phenomenon is closely related to the pH-dependent physiological characteristics of fungi: the activity of pathogenic factors such as pectinase and cellulose produced by Fusarium spp. is significantly enhanced in a weakly acidic environment [32]. In addition, the alkaline environment induces the proliferation of chitinase-producing bacteria to form biological antagonism [33]. The correlation analysis between soil fungi and chemical elements indicated a significantly negative correlation between Fusarium and pH. This observation aligns with previous studies. The Pearson correlation analysis between the α-diversity of fungal communities and soil physicochemical properties revealed that the pH of all the soil samples, excluding VIS, was below 7.5. It is speculated that the increase in the Fusarium solani content in MTIS and FS is related to pH. This verifies the research by Song et al. (2022) on the correlation between Morchella spp. disease and soil acidification [34]. It is recommended to apply lime (CaCO3) in the mulberry intercropping system to increase the pH to the range of 7.2–7.5, which can not only inhibit the growth of Fusarium, but also maintain the neutral microenvironment required by Morchella spp. so as to achieve the synergistic effect of disease prevention and control and yield improvement. Tang Jie et al. [35] reported that Morchella spp. continuously accumulates secondary metabolites by absorbing soil mineral elements, which promotes its growth while altering the structure of soil microorganisms, thereby influencing its yield. Variations in soil organic matter, nitrogen, and other nutrients can lead to differences in the relative abundance of fungal phyla, subsequently causing changes in the fungal community structure [36]. These findings align with the conclusions of this study, which demonstrated significant variations in the organic matter, TN, ammonium nitrogen, nitrate nitrogen, AP, AK, and total salt content under the different cropping patterns. Such differences may substantially impact the fungal community. These research results will contribute to a deeper understanding of soil microorganisms in Morchella spp. cultivation.
Given that many fungal species are also pathogenic, the disease management of Morchella spp. cultivation is challenging. The established fungal diseases are often difficult to treat, highlighting the critical importance of preventative measures [37]. This study employed high-throughput amplicon sequencing and bioinformatics analysis to investigate the relationship between fungal diversity and the physicochemical properties of soil cultivated with Morchella spp. By analysing these data, the study aimed to identify the potential disease pressures on Morchella spp. under different cropping regimes. Furthermore, the research sought to identify the potential fungal pathogens of Morchella spp., providing a basis for understanding disease development and mechanisms. These findings can contribute to improved disease management strategies and promote the sustainable development of the Morchella spp. industry.

Author Contributions

Conceptualisation, W.F. and J.W.; methodology, W.F., Q.J. and W.C.; software, J.W., W.F. and Z.G.; validation, J.W. and W.F.; formal analysis, J.W.; investigation, W.F., Q.J. and W.C.; resources, W.F.; data curation, W.F. and Q.J.; writing—original draft preparation, W.F. and J.W.; writing—review and editing, W.F., J.W. and Z.G.; visualisation, J.W. and W.C.; supervision, W.F. and Q.J.; project administration, W.F.; funding acquisition, W.F. All authors have read and agreed to the published version of the manuscript.

Funding

This work was supported by the China Agriculture Research System (grant number: 2022SNJF044), China Agriculture Research System (grant number: PKT202204), and the Zhejiang Science and Technology Major Program on Agriculture New Variety Breeding (grant number: 2021C02073).

Institutional Review Board Statement

Not applicable.

Data Availability Statement

The sequencing data were submitted to NCBI (https://www.ncbi.nlm.nih.gov/sra (accessed on 12 March 2025)), login number PRJNA1234878 (BioProject).

Conflicts of Interest

The authors declare no competing financial interests.

References

  1. Du, X.H.; Zhao, Q.; O’Donnell, K.; Rooney, A.P.; Yang, Z.L. Multigene molecular phylogenetics reveals true morels (Morchella) are especially species-rich in China. Fungal Genet. Biol. 2012, 49, 455–469. [Google Scholar] [PubMed]
  2. Cai, Y.; Ma, X.; Liu, L. Review of nutrition value and health efficacy of Morel. Edible Med. Fungi 2021, 29, 20–27. [Google Scholar]
  3. Zhang, J.; Jia, L.; Li, G.; Zhou, X.; Zhu, Q.; Li, J. Research Progress of Bio-characteristics and Bioactivities of Morchella spp. Shandong Agric. Sci. 2021, 53, 149–156. [Google Scholar]
  4. Zhang, Y.; Guo, Y.; Han, B.; Zhang, D.; Xu, K. Cultivation Technology of Grape Interplanting Morchella in Multi-span Plastic Cold Shed. Vegetables 2024, 11, 79–83. [Google Scholar]
  5. Zhang, M.; Fan, S. Ningjin County Skillfully Plays Characteristic Cards to Help Farmers Increase Income. Xingtai Daily, 11 November 2021. [Google Scholar]
  6. Tan, W.; Ye, L.; Li, X.; Tang, J.; Zhou, J.; Yan, S.; Zhang, B. Model Construction, Technology Integration and Demonstration Effect of Mulberry-Morchella Intercropping in Hilly Region of Northeast Sichuan. Chin. Agric. Bull. 2024, 40, 63–67. [Google Scholar]
  7. Cao, Y.; Yang, X. Cultivation mode of morel fungus and prevention and control of continuous cropping obstacles. Northwest Hortic. 2024, 7, 19–21. [Google Scholar]
  8. Zhao, Q.; Liv, M.; Li, L.; Huang, W.; Zhang, Y.; Hao, H. Temptation and Trap of Morel Industry in China. Res. Fungi 2021, 19, 1232–1237. [Google Scholar]
  9. Xi, L.; Hu, C.; Li, C.; Guo, T.; Bao, D.; Yang, R. The roles of bacteria in casing soil during the cultivation of edible fungi. J. Biol. 2023, 40, 101–106. [Google Scholar]
  10. Orlofsky, E.; Zabari, L.; Bonito, G.; Masaphy, S. Changes in soil bacteria functional ecology associated with Morchella rufobrunnea fruiting in a natural habitat. Environ. Microbiol. 2021, 23, 6651–6662. [Google Scholar]
  11. Duan, D.; Lin, C.; Zhang, Y.; Chen, Y.; Chen, S.; Deng, X.; Rong, T. Research Progress on the Causes and Technologies of Control of Continuous Cropping Obstacle of Morchella. Vegetables 2023, 11, 30–34. [Google Scholar]
  12. Wu, H.; Lin, W. A commentary and development perspective on the consecutive monoculture problems of medicinal plants. Chin. J. Eco-Agric. 2020, 28, 775–793. [Google Scholar]
  13. Guo, M.P.; Chen, K.; Wang, G.Z.; Bian, Y.B. First report of stipe rot disease on Morchella importuna caused by Fusarium incarnatum–F. equiseti species complex in China. Plant Dis. 2016, 100, 2530. [Google Scholar] [CrossRef]
  14. He, X.L.; Peng, W.H.; Miao, R.Y.; Tang, J.; Chen, Y.; Liu, L.X.; Wang, D.; Gan, B.C. White mold on cultivated morels caused by Paecilomyces penicillatus. FEMS Microbiol. Lett. 2017, 364, fnx037. [Google Scholar] [CrossRef] [PubMed]
  15. Su, W.; Liu, X.; Ji, W.; Liang, C.; Zhao, S.; Ren, L. Pathogen identification and biological characteristics of Morchella esculenta. Zhejiang Agric. Sci. 2023, 64, 204–208. [Google Scholar]
  16. Huang, H.; Zhang, X.; Zheng, H.; Cai, Q.; Luo, J.; Luo, K.; Li, S.; Yang, Y. Identification and cultural characterization of Diploöspora longispora associated with pileus rot disease on cultivated morel. Plant Prot. 2022, 48, 66–72. [Google Scholar]
  17. NY/T 1121.6-2006; Soil Testing—Part 6: Method for Determination of Soil Organic Matter. Ministry of Agriculture and Rural Affairs, China Agriculture Press: Beijing, China, 2006.
  18. LY/T 1237-1999; Determination of Forest Soil Organic Matter and Calculation of Carbon to Nitrogen Ratio. National Forestry and Grassland Administration, Standards Press of China: Beijing, China, 1999.
  19. Ogawa, M. Microbial ecology of shiro in Tricholoma matsutake and its allied species part 5 tricholoma matsutake in tsuga sieboldii forests. Trans. Mycol. Soc. Jpn. 1977, 18, 34–46. [Google Scholar]
  20. Cui, H.; Liu, Y.; Zuo, X.; Wei, J.; Zhang, G.; Chen, Q.; Zhang, W. Physicochemical properties and microbial communities of soil growing Morchella in different habitats. Microbiol. Bull. 2022, 1–18. [Google Scholar] [CrossRef]
  21. Wang, M.; Wang, M.; Li, X. Research Progress on Prevention and Control of Morchella esculenta. Vegetables 2023, 2, 38–42. [Google Scholar]
  22. Li, X.; Sun, D.; Hua, R.; Li, J.; Yue, W.; Liu, S. Diversity analysis of pathogenic microorganisms in soil with continuous cropping obstacles of morel mushrooms. Chin. J. Edible Fungi 2024, 43, 96–106. [Google Scholar] [CrossRef]
  23. Chen, C.; Li, Q.; Huang, W.; Wang, J.; Fu, R.; Luo, X.; Lu, D. Effects of Morchella white mold disease on soil fungal community structure. Microbiol. Bull. 2017, 44, 2652–2659. [Google Scholar]
  24. Shen, H.; Wang, H.; Zhao, Y.; Feng, A.; Chen, M.; Pan, Y. Analysis of Fungal Communities Present in Morchella Growth Soil Using Denaturing Gradient Gel Electrophoresis. J. Edible Fungi 2009, 16, 6–12. [Google Scholar]
  25. Thorsten, H.L. Ascomycota has a faster evolutionary rate and higher species diversity than Basidiomycota. Sci. China (Life Sci.) 2010, 53, 1163–1169+1263–1270. [Google Scholar]
  26. Zheng, X.; Xiang, Z.; Kang, C.; Li, P.; Wang, J.; Yang, L. Investigation and Isolation Identification of Fungal Diseases in Morchella. South. Agric. 2020, 14, 135–136. [Google Scholar]
  27. Wang, B. Identification of Pathogenic Fungi and Preliminary Exploration of Biological Control in the Cultivation of Morel Mushrooms. Master’s Thesis, Xihua Normal University, Nanchong, China, 2021. [Google Scholar]
  28. Liu, Z.; Liu, Y.; Chen, J.; Wei, Y.; Zi, F.; Tan, Y. Variation trends and drivers of bacterial, fungal, and protist communities in the soil with continuous cultivation of Panax notoginseng. Microbiol. China 2024, 52, 1148–1165. [Google Scholar]
  29. Deng, Y.; Zhao, C. Soil Bacterial Community Structure and Diversity of Morchella in Jianchuan of Dali in Yunnan Province Based on High-throughput Sequencing. Chin. Agric. Bull. 2023, 39, 79–87. [Google Scholar]
  30. Zhao, Y.; Chai, H.; Chen, W.; Zhao, Z.; Kong, L. Developmental biology of Morchella fruiting body (I). Chin. Agric. Bull. 2023, 39, 79–87. [Google Scholar]
  31. Lan, J.; Xiao, R.; Liu, B.; Zhu, Y.; Che, J.; Lin, K. Growth kinetic model of Fusarium oxysporum under different pH. Chin. J. Ecol. Agric. 2012, 20, 1532–1538. [Google Scholar]
  32. Han, H.; Cheng, S.; Liu, J.; Ma, C. Screening and identification of cellulase-producing strain of Fusarium sp. and its enzymological properties. Chin. J. Eco-Agric. 2014, 34, 61–65. [Google Scholar]
  33. Zhao, J.; Wang, Q.; Song, K.; Chen, T.; Wang, F.; Yang, J.; Gao, Z. Enzymatic Properties of Antifungal Endochitinase and Its Function in the Preparation of Chitosan Oligosaccharides. China Biotechnol. 2024, 45, 49–58. [Google Scholar]
  34. Song, F.; Duan, Y.; Sang, Y.; Wang, J.; Peng, R.; Sun, N.; Li, Y. Characteristics of the Mycosphere Microbial Community in Diseased and Healthy Morchella spp. Soil. Biotechnol. Bull. 2025, 41, 1–12. [Google Scholar]
  35. Tang, J.; Wang, Y.; Xu, Y.; Tan, H.; He, X.; Yu, Y.; Chen, Y.; Peng, W. Research Progress on Key Issues of Morel Industry Development. Microb. Res. 2021, 19, 217–231. [Google Scholar]
  36. Lauber, C.L.; Strickland, M.S.; Bradford, M.A.; Fierer, N. The influence of soil properties on the structure of bacterial and fungal communities across land-use types. Soil Biol. Biochem. 2008, 40, 2407–2415. [Google Scholar]
  37. Li, J.; Hua, R.; Sun, D.; Wen, X.; Li, X.; Ma, M.; Gao, Z.; He, Y.; Liu, S. Research on White Mold Disease on Morchella spp. and Fungal Community Structure of Soil Samples. Chin. Edible Fungi 2022, 41, 50–54. [Google Scholar]
Figure 1. (a) Chao1 index of soils cultivated with Morchella spp. (b) ACE index of soils cultivated with Morchella spp. (c) Shannon index of soils cultivated with Morchella spp. (d) Simpson index of soils cultivated with Morchella spp.
Figure 1. (a) Chao1 index of soils cultivated with Morchella spp. (b) ACE index of soils cultivated with Morchella spp. (c) Shannon index of soils cultivated with Morchella spp. (d) Simpson index of soils cultivated with Morchella spp.
Agriculture 15 00823 g001
Figure 2. Venn diagram of fungal community abundance in soils covered with Morchella spp.
Figure 2. Venn diagram of fungal community abundance in soils covered with Morchella spp.
Agriculture 15 00823 g002
Figure 3. Analysis of fungal community structure in different patterns of Morchella spp. cultivation soil based on PCoA.
Figure 3. Analysis of fungal community structure in different patterns of Morchella spp. cultivation soil based on PCoA.
Agriculture 15 00823 g003
Figure 4. UPGMA clustering map of fungal community in soils cultivated with Morchella spp.
Figure 4. UPGMA clustering map of fungal community in soils cultivated with Morchella spp.
Agriculture 15 00823 g004
Figure 5. Distribution map of soil fungal communities in the soils cultivated with Morchella spp. under the different cropping patterns based on the phylum level.
Figure 5. Distribution map of soil fungal communities in the soils cultivated with Morchella spp. under the different cropping patterns based on the phylum level.
Agriculture 15 00823 g005
Figure 6. Distribution map of fungal communities in soils cultivated with Morchella spp. under different cropping patterns based on species level.
Figure 6. Distribution map of fungal communities in soils cultivated with Morchella spp. under different cropping patterns based on species level.
Agriculture 15 00823 g006
Figure 7. Circular tree diagram illustrating LEfSe analysis of fungal communities in soils cultivated with Morchella spp.
Figure 7. Circular tree diagram illustrating LEfSe analysis of fungal communities in soils cultivated with Morchella spp.
Agriculture 15 00823 g007
Figure 8. T-test analysis chart of soil fungal communities in soils covered with Morchella spp. based on class level.
Figure 8. T-test analysis chart of soil fungal communities in soils covered with Morchella spp. based on class level.
Agriculture 15 00823 g008
Figure 9. (a,b) Potential function prediction maps of soil fungi of Morchella spp. under different cultivation modes.
Figure 9. (a,b) Potential function prediction maps of soil fungi of Morchella spp. under different cultivation modes.
Agriculture 15 00823 g009
Figure 10. RDA of the physical and chemical properties of soil samples.
Figure 10. RDA of the physical and chemical properties of soil samples.
Agriculture 15 00823 g010
Figure 11. Spearman correlation analysis chart of the 30 genera with the highest relative abundance and the physical and chemical properties of soils. (* indicated significant correlation (p < 0.05); ** indicated extremely significant correlation (p < 0.01)).
Figure 11. Spearman correlation analysis chart of the 30 genera with the highest relative abundance and the physical and chemical properties of soils. (* indicated significant correlation (p < 0.05); ** indicated extremely significant correlation (p < 0.01)).
Agriculture 15 00823 g011
Table 1. The richness index of soil fungal community under different cultivation modes of Morchella spp. (Different lowercase letters in the same column indicated significant difference (p < 0.05)).
Table 1. The richness index of soil fungal community under different cultivation modes of Morchella spp. (Different lowercase letters in the same column indicated significant difference (p < 0.05)).
TreatmentpHOrganic Matter
(g/kg)
Total Nitrogen
(g/kg)
Ammonium Nitrogen
(mg/kg)
Nitrate Nitrogen
(mg/kg)
Available Phosphorus
(mg/kg)
Available Potassium
(mg/kg)
Total Salt
(g/kg)
NS6.20 ± 0.03e39.3 ± 0.51b0.48 ± 0.06b2.33 ± 0.32d13.05 ± 0.25d160.6 ± 2.04b206.31 ± 1.41c0.4 ± 0.00d
FS6.95 ± 0.04c31.5 ± 0.45c0.40 ± 0.02c6.64 ± 0.23b155.11 ± 3.70b26.8 ± 0.28e180.18 ± 0.97d1.4 ± 0.01b
GRS6.37 ± 0.02d40.8 ± 0.50a0.68 ± 0.05a8.96 ± 0.58a273.11 ± 5.33a401.5 ± 1.39a598.89 ± 7.06a1.5 ± 0.01a
VIS7.58 ± 0.01a20.6 ± 0.47e0.24 ± 0.03d2.50 ± 0.14d11.66 ± 0.79d51.2 ± 0.71d207.74 ± 1.33c0.4 ± 0.00d
MTIS7.25 ± 0.02b23.4 ± 0.41d0.46 ± 0.02bc4.15 ± 0.55c121.56 ± 2.13c76.4 ± 0.67c309.52 ± 2.26b0.8 ± 0.00c
Table 2. Pearson correlation analysis between α diversity of fungal communities and physical and chemical properties of soils.
Table 2. Pearson correlation analysis between α diversity of fungal communities and physical and chemical properties of soils.
Physical and Chemical PropertiesChao1ACEShannonPielou_eSimpsonSimpson_eFaith_pd
pH0.180.18−0.00−0.05−0.180.140.07
OM (g/kg)−0.26−0.26−0.09−0.050.07−0.24−0.17
TN (g/kg)−0.44−0.44−0.10−0.020.090.12−0.44
NH4+-N (mg/kg)−0.39−0.39−0.19−0.14−0.07−0.04−0.47
NO3-N (mg/kg)−0.42−0.42−0.17−0.10−0.030.10−0.53 *
AP (mg/kg)−0.79 **−0.79 **−0.57 *−0.50−0.38−0.32−0.75 **
AK (mg/kg)−0.80 **−0.80 **−0.53 *−0.46−0.36−0.12−0.83 **
TS (g/kg)−0.19−0.19−0.020.020.070.05−0.29
TN: total nitrogen; OM: organic matter; TS: total salt; AP: available phosphorus; NH4+-N: ammonium nitrogen; NO3-N: nitrate nitrogen; AK: available potassium; * p < 0.05, ** p < 0.01.
Disclaimer/Publisher’s Note: The statements, opinions and data contained in all publications are solely those of the individual author(s) and contributor(s) and not of MDPI and/or the editor(s). MDPI and/or the editor(s) disclaim responsibility for any injury to people or property resulting from any ideas, methods, instructions or products referred to in the content.

Share and Cite

MDPI and ACS Style

Feng, W.; Wang, J.; Jin, Q.; Guo, Z.; Cai, W. Analysis of Soil Fungal Community Characteristics of Morchella sextelata Under Different Rotations and Intercropping Patterns and Influencing Factors. Agriculture 2025, 15, 823. https://doi.org/10.3390/agriculture15080823

AMA Style

Feng W, Wang J, Jin Q, Guo Z, Cai W. Analysis of Soil Fungal Community Characteristics of Morchella sextelata Under Different Rotations and Intercropping Patterns and Influencing Factors. Agriculture. 2025; 15(8):823. https://doi.org/10.3390/agriculture15080823

Chicago/Turabian Style

Feng, Weilin, Jiawen Wang, Qunli Jin, Zier Guo, and Weiming Cai. 2025. "Analysis of Soil Fungal Community Characteristics of Morchella sextelata Under Different Rotations and Intercropping Patterns and Influencing Factors" Agriculture 15, no. 8: 823. https://doi.org/10.3390/agriculture15080823

APA Style

Feng, W., Wang, J., Jin, Q., Guo, Z., & Cai, W. (2025). Analysis of Soil Fungal Community Characteristics of Morchella sextelata Under Different Rotations and Intercropping Patterns and Influencing Factors. Agriculture, 15(8), 823. https://doi.org/10.3390/agriculture15080823

Note that from the first issue of 2016, this journal uses article numbers instead of page numbers. See further details here.

Article Metrics

Back to TopTop