Wheat, Barley, and Triticale Response to Nitrogen Fertilization in Pannonian Environment
Abstract
1. Introduction
2. Materials and Methods
2.1. Experimental Site
2.2. Experimental Design
2.3. Crop Measurements and Data Analysis
3. Results
3.1. Grain Yield and Nitrogen Uptake
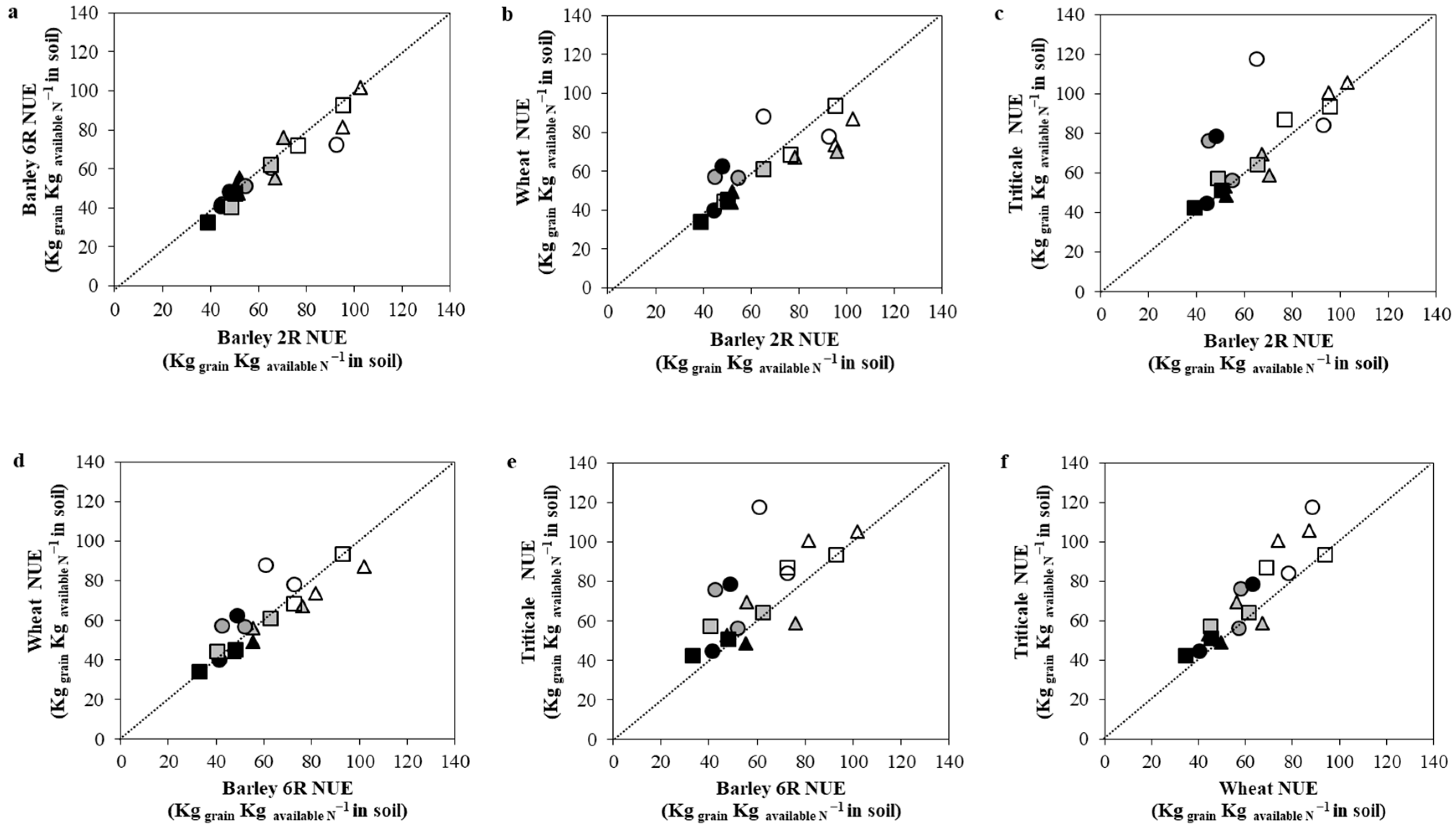
3.2. Nitrogen Use Efficiency
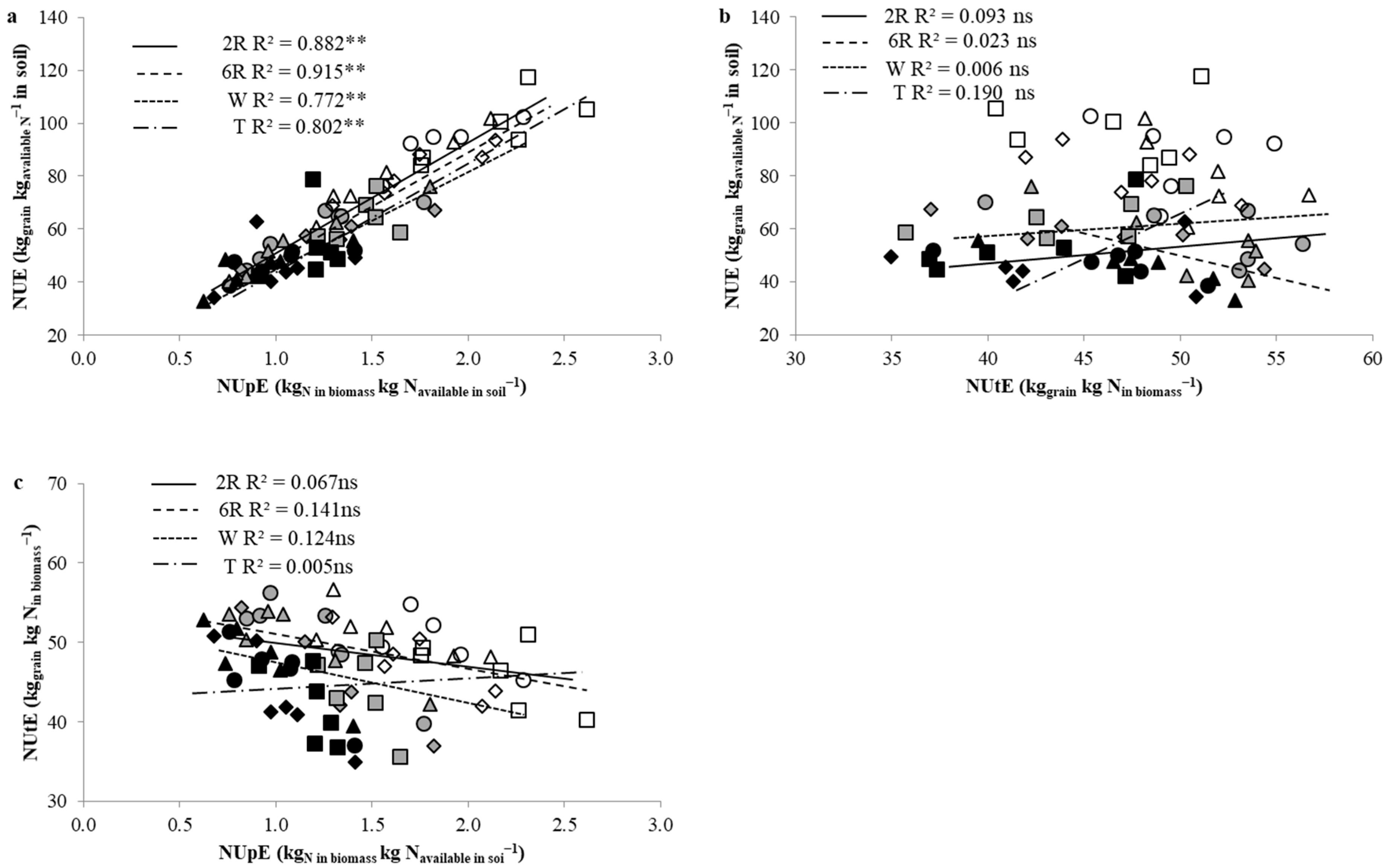
3.3. Nitrogen Uptake and Utilization Efficiency
4. Discussion
4.1. Wheat, Barley, and Triticale Difference in Grain Yield
4.2. Wheat, Barley, and Triticale Difference in NUE
5. Conclusions
Supplementary Materials
Author Contributions
Funding
Data Availability Statement
Acknowledgments
Conflicts of Interest
References
- Gavrilov, M.B.; Radaković, M.G.; Sipos, G.; Mezősi, G.; Gavrilov, G.; Lukić, T.; Basarin, B.; Benyhe, B.; Fiala, K.; Kozák, P.; et al. Aridity in the Central and Southern Pannonian Basin. Atmosphere 2020, 11, 1269. [Google Scholar] [CrossRef]
- Trnka, M.; Olesen, J.E.; Kersebaum, K.C.; Skjelvåg, A.O.; Eitzinger, J.; Seguin, B.; Peltonen-Sainio, P.; Rötter, R.; Iglesias, A.N.A.; Orlandini, S.; et al. Agroclimatic conditions in Europe under climate change. Glob. Change Biol. 2011, 17, 2298–2318. [Google Scholar] [CrossRef]
- Daničić, M.; Zekić, V.; Mirosavljević, M.; Lalić, B.; Putnik-Delić, M.; Maksimović, I.; Dalla Marta, A. The response of spring barley (Hordeum vulgare L.) to climate change in Northern Serbia. Atmosphere 2019, 10, 14. [Google Scholar] [CrossRef]
- de Oliveira Silva, A.; Ciampitti, I.A.; Slafer, G.A.; Lollato, R.P. Nitrogen utilization efficiency in wheat: A global perspective. Eur. J. Agron. 2020, 114, 126008. [Google Scholar] [CrossRef]
- Rose, T.; Kage, H. The contribution of functional traits to the breeding progress of Central-European winter wheat under differing crop management intensities. Front. Plant Sci. 2019, 10, 1521. [Google Scholar] [CrossRef]
- Laidig, F.; Feike, T.; Klocke, B.; Macholdt, J.; Miedaner, T.; Rentel, D.; Piepho, H.P. Long-term breeding progress of yield, yield-related, and disease resistance traits in five cereal crops of German variety trials. Theor. Appl. Genet. 2021, 134, 3805–3827. [Google Scholar] [CrossRef] [PubMed]
- Reynolds, M.; Foulkes, M.J.; Slafer, G.A.; Berry, P.; Parry, M.A.J.; Snape, J.W.; Angus, W.J. Raising yield potential in wheat. J. Exp. Bot. 2009, 60, 1899–1918. [Google Scholar] [CrossRef]
- Losert, D.; Maurer, H.P.; Marulanda, J.J.; Würschum, T. Phenotypic and genotypic analyses of diversity and breeding progress in European triticale (× Triticosecale Wittmack). Plant Breed. 2017, 136, 18–27. [Google Scholar] [CrossRef]
- Ladha, J.K.; Tirol-Padre, A.; Reddy, C.K.; Cassman, K.G.; Verma, S.; Powlson, D.S.; Van Kessel, C.; de B Richter, D.; Chakraborty, D.; Pathak, H. Global nitrogen budgets in cereals: A 50-year assessment for maize, rice and wheat production systems. Sci. Rep. 2016, 6, 19355. [Google Scholar] [CrossRef]
- Einarsson, R.; Sanz-Cobena, A.; Aguilera, E.; Billen, G.; Garnier, J.; van Grinsven, H.J.; Lassaletta, L. Crop production and nitrogen use in European cropland and grassland 1961–2019. Sci. Data 2021, 8, 288. [Google Scholar] [CrossRef]
- Raun, W.R.; Johnson, G.V. Improving nitrogen use efficiency for cereal production. Agron. J. 1999, 91, 357–363. [Google Scholar] [CrossRef]
- Gastal, F.; Lemaire, G.; Durand, J.L.; Louarn, G. Quantifying crop responses to nitrogen and avenues to improve nitrogen-use efficiency. In Crop Physiology; Academic Press: Cambridge, MA, USA, 2015; pp. 161–206. [Google Scholar] [CrossRef]
- Guttieri, M.J.; Frels, K.; Regassa, T.; Waters, B.M.; Baenziger, P.S. Variation for nitrogen use efficiency traits in current and historical Great Plains hard winter wheat. Euphytica 2017, 213, 87. [Google Scholar] [CrossRef]
- Yin, L.; Dai, X.; He, M. Delayed sowing improves nitrogen utilization efficiency in winter wheat without impacting yield. Field Crop. Res. 2018, 221, 90–97. [Google Scholar] [CrossRef]
- Mandic, V.; Krnjaja, V.; Tomic, Z.; Bijelic, Z.; Simic, A.; Ruzic Muslic, D.; Gogic, M. Nitrogen fertilizer influence on wheat yield and use efficiency under different environmental conditions. Chil. J. Agric. Res. 2015, 75, 92–97. [Google Scholar] [CrossRef]
- Mirosavljević, M.; Momčilović, V.; Mikić, S.; Trkulja, D.; Brbaklić, L.; Zorić, M.; Abičić, I. Changes in stay-green and nitrogen use efficiency traits in historical set of winter barley cultivars. Field Crop. Res. 2020, 249, 107740. [Google Scholar] [CrossRef]
- Mirosavljević, M.; Momčilović, V.; Denčić, S.; Mikić, S.; Trkulja, D.; Pržulj, N. Grain number and grain weight as determinants of triticale, wheat, two-rowed and six-rowed barley yield in the Pannonian environment. Span. J. Agric. Res. 2018, 16, e903. [Google Scholar] [CrossRef]
- Ryan, J.; Singh, M.; Pala, M. Long-term cereal-based rotation trials in the Mediterranean region: Implications for cropping sustainability. Adv. Agron. 2008, 97, 273–319. [Google Scholar] [CrossRef]
- IUSS Working Group WRB. World Reference Base for Soil Resources 2014, update 2015. In International Soil Classification System for Naming Soils and Creating Legends for Soil Maps; World Soil Resources Reports No. 106; FAO: Rome, Italy, 2015. [Google Scholar]
- Zadoks, J.C.; Chang, T.T.; Konzak, C.F. A decimal code for the growth stages of cereals. Weed Res. 1974, 14, 415–421. [Google Scholar] [CrossRef]
- Wehrmann, J.; Scharpf, H.C. Mineral Nitrogen Concentration of Soil as a Gauge of Need for Nitrogen-Fertilizer (N-Min Method). Plant Soil 1979, 52, 109–126. [Google Scholar] [CrossRef]
- FOSS. Kjeldahl Analysis Goes Online: New Kjeltec™ System Enhances Traceability and Efficiency in the Laboratory. Focus 2009, 33, 4. [Google Scholar]
- Moll, R.H.; Kamprath, E.J.; Jackson, W.A. Analysis and interpretation of factors which contribute to efficiency of nitrogen utilization. Agron. J. 1982, 74, 562–564. [Google Scholar] [CrossRef]
- Cossani, C.M.; Slafer, G.A.; Savin, R. Yield and Biomass in Wheat and Barley under a Range of Conditions in a Mediterranean Site. Field Crop. Res. 2009, 112, 205–213. [Google Scholar] [CrossRef]
- Simpson, P.G.; Siddique, K.H.M. Soil Type Influences Relative Yield of Barley and Wheat in a Mediterranean-Type Environment. J. Agron. Crop Sci. 1994, 172, 147–160. [Google Scholar] [CrossRef]
- Giménez, V.D.; Serrago, R.A.; Abeledo, L.G.; Ciampitti, I.A.; Miralles, D.J. Comparative Analysis of Wheat and Barley Yield Performance across Temperate Environments. Field Crop. Res. 2024, 310, 109339. [Google Scholar] [CrossRef]
- Savin, R.; Slafer, G.A.; Cossani, C.M.; Abeledo, L.G.; Sadras, V.O. Cereal yield in Mediterranean-type environments: Challenging the paradigms on terminal drought, the adaptability of barley vs wheat and the role of nitrogen fertilization. In Crop Physiology; Sadras, V.O., Calderini, D., Eds.; Academic Press: Oxford, UK, 2015; pp. 141–158. [Google Scholar] [CrossRef]
- Slafer, G.A.; Savin, R. Comparative performance of barley and wheat across a wide range of yielding conditions. Does barley outyield wheat consistently in low-yielding conditions? Eur. J. Agron. 2023, 143, 126689. [Google Scholar] [CrossRef]
- Berry, P.M.; Sterling, M.; Mooney, S.J. Development of a model of lodging for barley. J. Agron. Crop Sci. 2006, 192, 151–158. [Google Scholar] [CrossRef]
- Le Gouis, J.; Delebarre, O.; Beghin, D.; Heumez, E.; Pluchard, P. Nitrogen uptake and utilization efficiency of two-row and six-row winter barley cultivars grown at two N levels. Eur. J. Agron. 1999, 10, 73–79. [Google Scholar] [CrossRef]
- del Moral, L.F.; del Moral, M.B.; Molina-Cano, J.L.; Slafer, G.A. Yield stability and development in two-and six-rowed winter barleys under Mediterranean conditions. Field Crop. Res. 2003, 81, 109–119. [Google Scholar] [CrossRef]
- Arisnabarreta, S.; Miralles, D.J. Yield responsiveness in two-and six-rowed barley grown in contrasting nitrogen environments. J. Agron. Crop Sci. 2006, 192, 178–185. [Google Scholar] [CrossRef]
- Estrada-Campuzano, G.; Slafer, G.A.; Miralles, D.J. Differences in yield, biomass and their components between triticale and wheat grown under contrasting water and nitrogen environments. Field Crop. Res. 2012, 128, 167–179. [Google Scholar] [CrossRef]
- Faccini, N.; Morcia, C.; Terzi, V.; Rizza, F.; Badeck, F.W. Triticale in Italy. Biology 2023, 12, 1308. [Google Scholar] [CrossRef]
- Savin, R.; Sadras, V.O.; Slafer, G.A. Benchmarking nitrogen utilisation efficiency in wheat for Mediterranean and non-Mediterranean European regions. Field Crop. Res. 2019, 241, 107573. [Google Scholar] [CrossRef]
- Meier, E.A.; Hunt, J.R.; Hochman, Z. Evaluation of nitrogen bank, a soil nitrogen management strategy for sustainably closing wheat yield gaps. Field Crop. Res. 2021, 261, 108017. [Google Scholar] [CrossRef]
- de Oliveira Silva, A.; Slafer, G.A.; Fritz, A.K.; Lollato, R.P. Physiological basis of genotypic response to management in dryland wheat. Front. Plant Sci. 2020, 10, 1644. [Google Scholar] [CrossRef]
- Cossani, C.M.; Slafer, G.A.; Savin, R. Nitrogen and water use efficiencies of wheat and barley under a Mediterranean environment in Catalonia. Field Crop. Res. 2012, 128, 109–118. [Google Scholar] [CrossRef]
- Rakotoson, T.; Dusserre, J.; Letourmy, P.; Ramonta, I.R.; Cao, T.V.; Ramanantsoanirina, A.; Roumet, P.; Ahmadi, N.; Raboin, L.M. Genetic variability of nitrogen use efficiency in rainfed upland rice. Field Crop. Res. 2017, 213, 194–203. [Google Scholar] [CrossRef]
- Lachutta, K.; Jankowski, K.J. An agronomic efficiency analysis of winter wheat at different sowing strategies and nitrogen fertilizer rates: A case study in northeastern Poland. Agriculture 2024, 14, 442. [Google Scholar] [CrossRef]
- Mirosavljević, M.; Aćin, V.; Sabadoš, V.; Dorotić, D. Variation in nitrogen use efficiency of winter wheat. Genetika 2019, 51, 1165–1174. [Google Scholar] [CrossRef]
- Kaur, A.; Purewal, S.S.; Phimolsiripol, Y.; Punia Bangar, S. Unraveling the hidden potential of barley (Hordeum vulgare): An important review. Plants 2024, 13, 2421. [Google Scholar] [CrossRef]
- Shewry, P.R. Improving the protein content and quality of temperate cereals: Wheat, barley and rye. In Impacts of Agriculture on Human Health and Nutrition; Cakmak, I., Welch, R., Eds.; USDA, ARS, U.S. Plant, Soil and Nutrition Laboratory: Ithaca, NY, USA, 2004. [Google Scholar]
- Cormier, F.; Faure, S.; Dubreuil, P.; Heumez, E.; Beauchêne, K.; Lafarge, S.; Praud, S.; Le Gouis, J. A multi-environmental study of recent breeding progress on nitrogen use efficiency in wheat (Triticum aestivum L.). Theor. Appl. Genet. 2013, 126, 3035–3048. [Google Scholar] [CrossRef]
- Roques, S.E.; Kindred, D.R.; Clarke, S. Triticale out-performs wheat on range of UK soils with a similar nitrogen requirement. J. Agric. Sci. 2017, 155, 261–281. [Google Scholar] [CrossRef]
- Jørgensen, J.R.; Deleuran, L.C.; Wollenweber, B. Prospects of whole grain crops of wheat, rye and triticale under different fertilizer regimes for energy production. Biomass Bioenergy 2007, 31, 308–317. [Google Scholar] [CrossRef]
- Asseng, S.; Turner, N.C. Modelling genotype × environment × management interactions to improve yield, water use efficiency and grain protein in wheat. In Scale and Complexity in Plant Systems Research; Springer: Dordrecht, The Netherlands, 2007; pp. 93–103. [Google Scholar]
- Bassu, S.; Asseng, S.; Richards, R. Yield benefits of triticale traits for wheat under current and future climates. Field Crop. Res. 2011, 124, 14–24. [Google Scholar] [CrossRef]
- Pribić, M.; Kamenko, I.; Despotović, S.; Mirosavljević, M.; Pejin, J. Modeling and Optimization of Triticale Wort Production Using an Artificial Neural Network and a Genetic Algorithm. Foods 2024, 13, 343. [Google Scholar] [CrossRef]
- Barraclough, P.B.; Howarth, J.R.; Jones, J.; Lopez-Bellido, R.; Parmar, S.; Shepherd, C.E.; Hawkesford, M.J. Nitrogen efficiency of wheat: Genotypic and environmental variation and prospects for improvement. Eur. J. Agron. 2010, 33, 1–11. [Google Scholar] [CrossRef]
- Reynolds, M.P.; Foulkes, J.; Furbank, R.; Griffiths, S.; King, J.; Murchie, E.; Parry, M.; Slafer, G.A. Achieving yield gains in wheat. Plant Cell Environ. 2012, 35, 1799–1823. [Google Scholar] [CrossRef]




| Location | Novi Sad | Sombor | Sremska Mitrovica | ||||||
|---|---|---|---|---|---|---|---|---|---|
| Coordinate | 45°20′ N, 19°51′ E | 45°48′ N, 19°07′ E | 44°56′ N, 19°49′ E | ||||||
| Growing season | 2019/20 | 2020/21 | Long-term average (1991–2021) | 2019/20 | 2020/21 | Long-term average (1991–2021) | 2019/20 | 2020/21 | Long-term average (1991–2021) |
| Sowing date | 14 Oct | 18 Oct | 21 Oct | 15 Oct | 9 Oct | 23 Oct | |||
| Some properties of the soil | |||||||||
| CaCO3, % | 5.17 | 5.09 | 5.45 | 6.12 | 4.30 | 4.45 | |||
| P2O5 (Egner-Riehm), mg/100 g | 24.5 | 23.1 | 19.8 | 17.4 | 22.5 | 24.2 | |||
| K2O (Egner-Riehm), mg/100 g | 18.4 | 23.5 | 30.1 | 28.7 | 23.9 | 21.8 | |||
| N (N-min method), kg ha−1 | 85 | 77 | 75 | 83 | 70 | 90 | |||
| Humus (Turin) | 2.75 | 2.92 | 2.35 | 2.40 | 2.48 | 2.56 | |||
| pH (KCl) | 7.26 | 7.41 | 7.75 | 7.88 | 7.35 | 7.42 | |||
| Applied P (kg ha−1) | 70 | 60 | 80 | 80 | 70 | 60 | |||
| Applied K (kg ha−1) | 50 | 40 | 40 | 40 | 40 | 40 | |||
| Temperature and rainfall during sowing-anthesis period | |||||||||
| Rainfall mm | 225 | 289 | 302 | 210 | 152 | 306 | 202 | 234 | 320 |
| Tmean *, °C | 7.9 | 7.1 | 6.2 | 7.3 | 6.5 | 6.1 | 8.0 | 7.4 | 6.1 |
| Temperature and rainfall during anthesis-harvest period | |||||||||
| Rainfall mm | 136 | 72.7 | 145 | 212 | 108 | 144 | 158 | 98 | 170 |
| Tmean, °C | 21.1 | 23.5 | 19.1 | 20.4 | 23.1 | 19.0 | 20.6 | 22.1 | 19.1 |
Disclaimer/Publisher’s Note: The statements, opinions and data contained in all publications are solely those of the individual author(s) and contributor(s) and not of MDPI and/or the editor(s). MDPI and/or the editor(s) disclaim responsibility for any injury to people or property resulting from any ideas, methods, instructions or products referred to in the content. |
© 2025 by the authors. Licensee MDPI, Basel, Switzerland. This article is an open access article distributed under the terms and conditions of the Creative Commons Attribution (CC BY) license (https://creativecommons.org/licenses/by/4.0/).
Share and Cite
Mirosavljević, M.; Momčilović, V.; Aćin, V.; Jocković, B.; Timić, J.; Jaćimović, G. Wheat, Barley, and Triticale Response to Nitrogen Fertilization in Pannonian Environment. Agriculture 2025, 15, 683. https://doi.org/10.3390/agriculture15070683
Mirosavljević M, Momčilović V, Aćin V, Jocković B, Timić J, Jaćimović G. Wheat, Barley, and Triticale Response to Nitrogen Fertilization in Pannonian Environment. Agriculture. 2025; 15(7):683. https://doi.org/10.3390/agriculture15070683
Chicago/Turabian StyleMirosavljević, Milan, Vojislava Momčilović, Vladimir Aćin, Bojan Jocković, Jovana Timić, and Goran Jaćimović. 2025. "Wheat, Barley, and Triticale Response to Nitrogen Fertilization in Pannonian Environment" Agriculture 15, no. 7: 683. https://doi.org/10.3390/agriculture15070683
APA StyleMirosavljević, M., Momčilović, V., Aćin, V., Jocković, B., Timić, J., & Jaćimović, G. (2025). Wheat, Barley, and Triticale Response to Nitrogen Fertilization in Pannonian Environment. Agriculture, 15(7), 683. https://doi.org/10.3390/agriculture15070683

