Effect of Biochar-Based Organic Fertilizer on the Growth of Maize in Cadmium-Contaminated Soil
Abstract
1. Introduction
2. Materials and Methods
2.1. Test Material
2.1.1. Preparation and Modification of Biochar
2.1.2. Biochar Surface Morphology Analysis
2.2. Field Trials
2.2.1. Test Site and Test Material
2.2.2. Experimental Design
2.3. Sample Collection and Analysis
2.4. Data Analysis
3. Results
3.1. Biochar Surface Morphology Analysis (SEM Mapping)
3.2. Biochar Pore Structure Analysis (BET)
3.3. Biochar Functional Group Analysis (FTIR)
3.4. Effect of Biochar-Based Organic Fertilizer on pH of Cadmium-Contaminated Soil
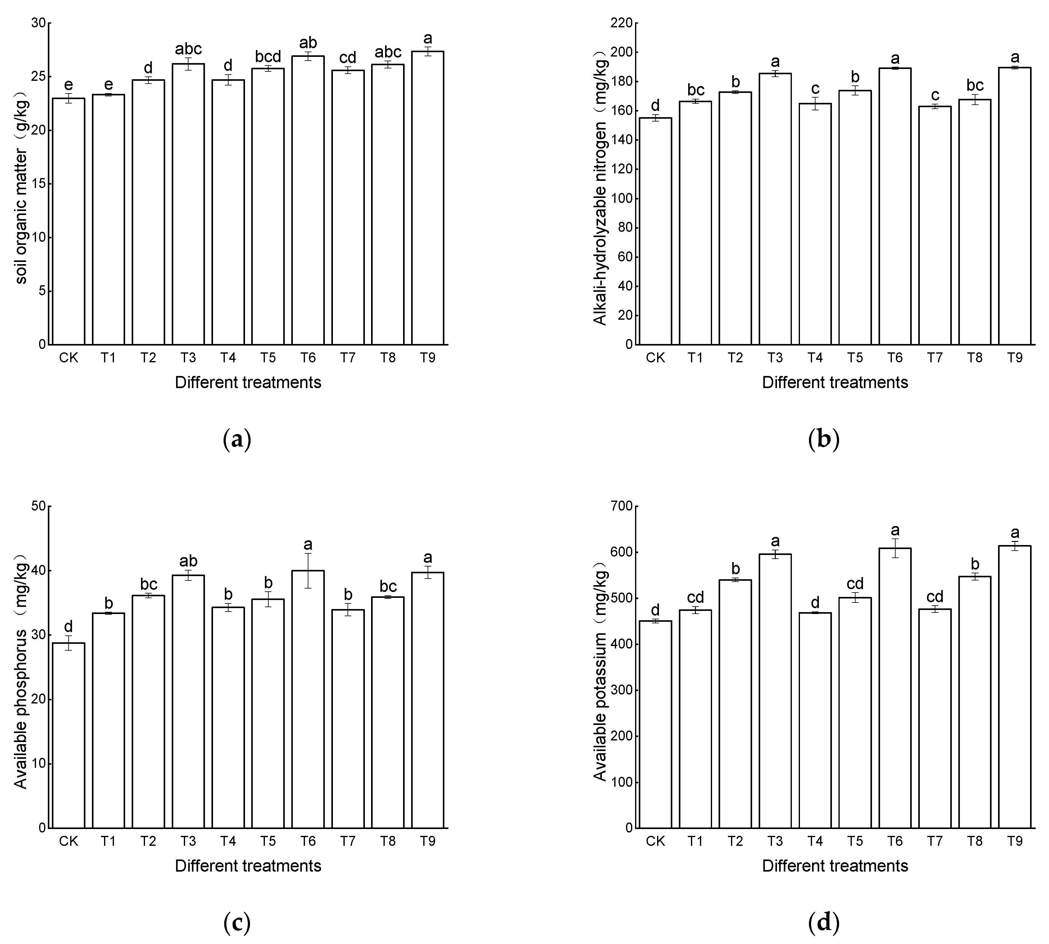
3.5. Effect of Biochar-Based Organic Fertilizer on Organic Matter and Nutrient Content of Cadmium-Contaminated Soil
3.6. Effect of Biochar-Based Organic Fertilizer on Available Cadmium Content in Cadmium-Contaminated Soil
3.7. Effect of Biochar-Based Organic Fertilizer on Cadmium Content of Maize Kernels
3.8. Effect of Biochar-Based Organic Fertilizer on Maize Yield
3.9. Correlation Analysis of the Effects of Biochar-Based Organic Fertilizers on Soil Improvement and Remediation and Corn Growth Heat Map
4. Discussion
4.1. Effects of Biochar-Based Organic Fertilizer on Physicochemical Properties of and Crop Growth on Cadmium-Contaminated Soil
4.2. Effect of Biochar-Based Organic Fertilizer on Heavy Metals in Cadmium-Contaminated Soil
5. Conclusions
Author Contributions
Funding
Institutional Review Board Statement
Data Availability Statement
Conflicts of Interest
References
- Lin, H.; Wang, Z.; Liu, C.; Dong, Y. Technologies for removing heavy metal from contaminated soils on farmland: A review. Chemosphere 2022, 305, 135457. [Google Scholar] [CrossRef] [PubMed]
- Mahar, A.; Wang, P.; Ali, A.; Awasthi, M.K.; Lahori, A.H.; Wang, Q.; Zhang, Z. Challenges and opportunities in the phytoremediation of heavy metals contaminated soils: A review. Ecotoxicol. Environ. Saf. 2016, 126, 111–121. [Google Scholar] [CrossRef] [PubMed]
- Zhou, T.; Wang, Z.; Christie, P.; Wu, L. Cadmium and lead pollution characteristics of soils, vegetables and human hair around an open-cast lead-zinc mine. Bull. Environ. Contam. Toxicology. 2021, 107, 1176–1183. [Google Scholar] [CrossRef] [PubMed]
- Feng, Y.; Ma, L.Y.; Wang, Q.; Wu, Y.J.; Huang, L.K.; Zhou, Q.Y.; Yang, X.E. Heavy metal pollution in soil-vegetable crop system and its comprehensive agronomic control technology for safe production in China. J. Agric. Environ. Sci. 2018, 37, 2359–2370. [Google Scholar]
- Lv, J.F.; Gong, L.D.; Cai, M.; Zhang, G.M.; Zhang, Q.C. Passivation effect of minerals on cadmium in paddy soil with mild heavy metal pollution. J. Ecol. Rural. Environ. 2022, 38, 391–398. [Google Scholar]
- Wang, Z.; Luo, P.; Zha, X.; Xu, C.; Kang, S.; Zhou, M.; Wang, Y. Overview assessment of risk evaluation and treatment technologies for heavy metal pollution of water and soil. J. Clean. Prod. 2022, 379, 134043. [Google Scholar] [CrossRef]
- Liu, N.; Zhao, J.; Du, J.; Hou, C.; Zhou, X.; Chen, J.; Zhang, Y. Non-phytoremediation and phytoremediation technologies of integrated remediation for water and soil heavy metal pollution: A comprehensive review. Sci. Total Environ. 2024, 948, 174237. [Google Scholar] [CrossRef]
- Wang, L.; Zhou, H.; Yang, K.; Er Ze, L.; Lu, Z.; Li, Y.; Zhang, N. Reducing Cd and Pb Accumulation in Potatoes: The Role of Soil Passivators in Contaminated Mining Soils. Life 2024, 14, 1615. [Google Scholar] [CrossRef]
- Zhou, L.; Zhou, L.; Wu, H.; Li, J.; Kong, L.; Yang, H. Effects of Applying Biochar on Soil Cadmium Immobilisation and Cadmium Pollution Control in Lettuce (Lactuca sativa L.). Agriculture 2024, 14, 1068. [Google Scholar] [CrossRef]
- Rahi, A.A.; Hussain, S.; Hussain, B.; Baig, K.S.; Tahir, M.S.; Hussain, G.S.; Datta, R. Alleviation of Cd stress in maize by compost mixed biochar. J. King Saud Univ.-Sci. 2022, 34, 102014. [Google Scholar] [CrossRef]
- Wang, L.; Liu, S.; Li, J.; Li, S. Effects of several organic fertilizers on heavy metal passivation in Cd-contaminated gray-purple soil. Front. Environ. Sci. 2022, 10, 895646. [Google Scholar] [CrossRef]
- Li, Y.C.; Ye, J.; Liu, C.W.; Lin, Y.; Wang, Y.X. Effects of long-term application of biochar-based organic fertilizer on soil copper morphology and microbial community. J. China Agric. Univ. 2024, 29, 219–229. [Google Scholar]
- Mo, Z.L.; Zeng, H.H.; Lin, H.; Asfandyar, S.; Shi, Q.L.; Zhang, H. Adsorption characteristics of Pb (II) by potassium permanganate modified eucalyptus biochar. Environ. Sci. 2021, 42, 5440–5449. [Google Scholar]
- Li, W.Z.; Hu, Y.R.; Li, F.Y.; Wang, W.; Zhang, J.N.; Guo, Q. Preparation of iron modified biochar-attapulgite carrier immobilized microbial agent and its remediation effect on chlorobenzene contaminated soil. J. Ecol. Environ. 2024, 33, 1782–1791. [Google Scholar]
- GB 15618—2018; Soil Environmental Quality—Risk Control Standard for Soil Contamination of Agricultural Land (Trial). Standardization Administration of the People’s Republic of China: Beijing, China, 2018.
- NY/T 3618-2020; Biochar-based organic fertilizer. Ministry of Agriculture and Rural Affairs of the People’s Republic of China: Beijing, China, 2020.
- Liu, Q.; Wang, S.; Zhao, X.Y.; Chen, W.; Bao Li Zhang, N.M. Study on the difference of Cd and Pb accumulation and transport in maize by different foliar inhibitors. J. Agric. Environ. Sci. 2023, 42, 1247–1256. [Google Scholar]
- Bao, S.D. Soil and Agricultural Chemistry Analysis, 3rd ed.; China Agriculture Press: Beijing, China, 2000. [Google Scholar]
- Liu, Q.; Wang, S.; Chen, W.; Zhao, X.Y.; Bao, L.; Zhang, N.M. Effects of different passivation materials on the accumulation and transport of Cd and Pb in maize. J. Ecol. Rural. Environ. 2024, 40, 437–448. [Google Scholar]
- Li, Y.; Li, B.; Liu, D.Y.; Jiang, G.Y.; Shen, F.M.; Liu, S.L. Effects of biochar combined with bacterial fertilizer on soil nutrients and spectral characteristics of soluble organic carbon and nitrogen in tobacco-planting soil. J. North China Agric. 2018, 33, 227–234. [Google Scholar]
- GB/T 3739-2009; Determination of Heavy Metals in Soil. Standardization Administration of the People’s Republic of China: Beijing, China, 2009.
- GB 5009.15-2014; Determination of Heavy Metals in Food. Standardization Administration of the People’s Republic of China: Beijing, China, 2014.
- Yang, X.; Zhang, S.; Ju, M.; Liu, L. Preparation and modification of biochar materials and their application in soil remediation. Appl. Sci. 2019, 9, 1365. [Google Scholar] [CrossRef]
- Yin, K.; Wang, J.; Tian, X.; Yu, N.; Zhang, X.; Zhao, Y.; Xing, B. Effect of biochar-derived dissolved organic matter on tetracycline sorption by KMnO4-modified biochar. Chem. Eng. J. 2023, 474, 145872. [Google Scholar] [CrossRef]
- Zhang, F.Z.; Wang, D.Q.; Cao, X.F.; Liu, Q.i.J.; Yue, T.T.; Liu, L.H. The removal performance and mechanism of Cd (II) and Ni (II) in water by potassium permanganate modified coconut shell biochar. Environ. Sci. 2023, 44, 3278–3287. [Google Scholar]
- Zhang, P.; Yang, F.; Zhang, H.; Liu, L.; Liu, X.; Chen, J.; Li, C. Beneficial effects of biochar-based organic fertilizer on nitrogen assimilation, antioxidant capacities, and photosynthesis of sugar beet (Beta vulgaris L.) under saline-alkaline stress. Agronomy 2022, 10, 1562. [Google Scholar] [CrossRef]
- Chen, J.; Wang, X.; Liu, X.; Wang, S.; Zhao, J.; Zhang, H.; Li, C. Beneficial effects of biochar-based organic fertilizers on nitrogen assimilation, photosynthesis, and sucrose synthesis of sugar beet (Beta vulgaris L.). Int. J. Plant Prod. 2022, 16, 755–768. [Google Scholar] [CrossRef]
- Li, K.Y.; Song, L.H.; Zhang, Y.; Liu, Y.; Ran, Q.Y.; Yang, S.W.; He, G.D. Effects of biochar application rate and frequency on nutrients and key enzyme activities in yellow soil. Environ. Sci. 2024, 46, 1065–1075. [Google Scholar] [CrossRef]
- Gao, M.Y. Effects of Long-Term Application of Biochar and Charcoal-Based Fertilizer on Soil Organic Carbon and Microbial Properties of Aggregates. Master’s thesis, Shenyang Agricultural University, Shenyang, China, 2020. [Google Scholar]
- Lehmann, J.; Pereira da Silva, J.; Steiner, C.; Nehls, T.; Zech, W.; Glaser, B. Nutrient availability and leaching in an archaeological Anthrosol and a Ferralsol of the Central Amazon basin: Fertilizer, manure and charcoal amendments. Plant Soil 2003, 249, 343–357. [Google Scholar] [CrossRef]
- Liu, X.H.; Lai, H.Y.; Han, X.R.; Yang, J.F.; Jiang, Z.; Yu, H.J.; Zhang, X.X. Effects of carbon-based slow-release peanut special fertilizer on peanut yield and soil nutrients. Soil Bull. 2013, 44, 698–702. [Google Scholar]
- Zhao, H.; Xie, T.; Xiao, H.; Gao, M. Biochar-based fertilizer improved crop yields and N utilization efficiency in a maize–Chinese cabbage rotation system. Agriculture 2022, 12, 1030. [Google Scholar] [CrossRef]
- Major, J.; Rondon, M.; Molina, D.; Riha, S.J.; Lehmann, J. Maize yield and nutrition during 4 years after biochar application to a Colombian savanna oxisol. Plant Soil 2011, 333, 117–128. [Google Scholar] [CrossRef]
- Lu, G.Y.; Zhang, Y.; Wang, X.F.; Meng, Y. Effects of carbon-based fertilizer types on soil physical properties and maize yield. Hebei Agric. Sci. 2011, 15, 50–53. [Google Scholar]
- Kang, S.W.; Park, J.W.; Seo, D.C.; Ok, Y.S.; Park, K.D.; Choi, I.W.; Cho, J.S. Effect of biochar application on rice yield and greenhouse gas emission under different nutrient conditions from paddy soil. J. Environ. Eng. 2016, 142, 04016046. [Google Scholar] [CrossRef]
- Kirkham, M. Cadmium in plants on polluted soils: Effects of soil factors, hyperaccumulation, and amendments. Geoderma 2006, 137, 19–32. [Google Scholar] [CrossRef]
- Wang, X.; Wang, T.; Huang, Y.; Liu, A.; Li, Q.; Wang, Y.; Tang, Z. Effect of biochars on the immobilization and form of Cadmium (Cd) in simulated Cd deposition of iron rich soils. Ecotoxicol. Environ. Saf. 2024, 272, 116045. [Google Scholar] [CrossRef] [PubMed]
- Fang, Y.Y.; Zou, H.L.; Yin, X.H.; Chen, N.; Yang, D.; Wei, X.D. Effects of red mud and organic fertilizer on the absorption and distribution of cadmium and lead in rice. J. Agric. Resour. Environ. 2016, 33, 466–476. [Google Scholar]
- Hamnér, K.; Kirchmann, H. Trace element concentrations in cereal grain of long-term field trials with organic fertilizer in Sweden. Nutr. Cycl. Agroecosystems 2015, 103, 347–358. [Google Scholar] [CrossRef]
- Jiao, Z.Q.; Ge, S.J.; Zheng, W.X.; Liu, J.H.; Chen, M.; Kong, Y.K.; Wang, Y.Y. Stabilization of Cd-contaminated Soil with Thiol-modified Biochar and Response of Soil Microorganisms. Environ. Sci. 2024, 45, 5570–5577. [Google Scholar]
- Feng, J.Y.; Nie, X.X.; Liu, B.; Li, F.M.; Yang, L. Research progress on the effect and mechanism of in-situ passivation remediation of cadmium-contaminated farmland. J. Agric. Resour. Environ. 2021, 38, 764–777. [Google Scholar]
- Chen, D.; Wang, X.; Wang, X.; Feng, K.; Su, J.; Dong, J. The mechanism of cadmium sorption by sulphur-modified wheat straw biochar and its application cadmium-contaminated soil. Sci. Total Environ. 2020, 714, 136550. [Google Scholar] [CrossRef]
- Zhu, X.H.; Zhang, M.X.; Cui, M.K.; Zhang, L.C.; Zhu, W.J.; Sun, L.Z.; Ru, G.X. Effects of different biochar types and amounts on photosynthetic characteristics and cadmium accumulation of wheat seedlings under cadmium stress. J. Henan Agric. Univ. 2023, 57, 404–412. [Google Scholar]
- Xian, Y. Effects of Mushroom Residue Biochar on the Properties of Cadmium-Contaminated Soil and the Yield and Quality of Chinese Cabbage. Master’s thesis, Sichuan Agricultural University, Ya’an, China, 2018. [Google Scholar]










| Corn Stover | Biochar | Modified Biochar | |
|---|---|---|---|
| Specific surface area (m2/g) | 2.47 | 92.86 | 114.01 |
| Pore volume (cm3/g) | 0.01 | 0.05 | 0.07 |
| Average pore size (nm) | 0.92 | 3.15 | 3.41 |
| pH | 7.66 | 8.73 | 8.35 |
| Organic matter (OM) (%) | 35 | 62 | 61 |
| Ash content (%) | —— | 12.95 | 12.56 |
| Water absorption rate (%) | 101.25 | 175.36 | 210.64 |
| Elemental composition (C/N ratio) | 50–60 | 80–120 | 85–130 |
| Oxygen functional groups (C = O, C-OH, and COO-) | 2–5% | 5–15% | 15–25% |
| Cadmium (mg/kg) | 0.08 | 0.08 | 0.08 |
| Nitrogen (%) | 0.45 | 0.35 | 0.38 |
| Phosphorus (%) | 0.04 | 0.02 | 0.03 |
| Potassium (%) | 1. 03 | 0.66 | 0.75 |
| Manganese (%) | 0.02 | 0.02 | 1.08 |
| Treatment | Code | Dosage (kg/ha) |
|---|---|---|
| Blank Control | CK | 0 |
| Organic Fertilizer | T1 | 1500 |
| T2 | 3000 | |
| T3 | 4500 | |
| Biochar-based Organic Fertilizer I | T4 | 1500 |
| T5 | 3000 | |
| T6 | 4500 | |
| Biochar-based Organic Fertilizer II | T7 | 1500 |
| T8 | 3000 | |
| T9 | 4500 |
| Materials | Specific Surface Area (m2/g) | Pore Volume (cm3/g) | Average Pore Size (nm) |
|---|---|---|---|
| Biochar | 92.86 | 0.05 | 3.15 |
| Modified biochar | 114.01 | 0.07 | 3.41 |
| Yield (kg) | Plant Height (m) | Crown Width (m) | Leaf Length (m) | |
|---|---|---|---|---|
| CK | 10.30 ± 0.10b | 2.83 ± 0.02b | 0.10 ± 0.002b | 0.93 ± 0.02b |
| T1 | 12.40 ± 0.93ab | 2.89 ± 0.04bc | 0.10 ± 0.002b | 0.94 ± 0.03ab |
| T2 | 14 ± 0.31ab | 2.93 ± 0.01ab | 0.10 ± 0.005b | 0.98 ± 0.02ab |
| T3 | 14.53 ± 0.62ab | 2.94 ± 0.02ab | 0.10 ± 0.001b | 0.10 ± 0.01ab |
| T4 | 12.37 ± 0.90ab | 2.87 ± 0.02bc | 0.10 ± 0.001b | 0.98 ±0.01ab |
| T5 | 14 ± 1.91ab | 2.91 ± 0.01abc | 0.10 ± 0.002b | 1.00 ± 0.01a |
| T6 | 14.51 ± 1.97ab | 2.94 ± 0.01ab | 0.10 ± 0.003ab | 1.01 ± 0.01a |
| T7 | 13.77 ± 1.90ab | 2.89 ± 0.01bc | 0.10 ± 0.002b | 0.99 ± 0.01ab |
| T8 | 14.87 ± 0.69ab | 2.91 ± 0.01abc | 0.11 ± 0.005ab | 1.01 ± 0.01a |
| T9 | 16.90 ± 1.57a | 2.99 ± 0.02a | 0.12 ± 0.003a | 1.01 ± 0.01a |
Disclaimer/Publisher’s Note: The statements, opinions and data contained in all publications are solely those of the individual author(s) and contributor(s) and not of MDPI and/or the editor(s). MDPI and/or the editor(s) disclaim responsibility for any injury to people or property resulting from any ideas, methods, instructions or products referred to in the content. |
© 2025 by the authors. Licensee MDPI, Basel, Switzerland. This article is an open access article distributed under the terms and conditions of the Creative Commons Attribution (CC BY) license (https://creativecommons.org/licenses/by/4.0/).
Share and Cite
Mu, L.; Zhou, H.; Yang, K.; Wang, J.; Sun, S.; Lu, Z.; Wang, L.; Zhang, N.; Bao, L. Effect of Biochar-Based Organic Fertilizer on the Growth of Maize in Cadmium-Contaminated Soil. Agriculture 2025, 15, 447. https://doi.org/10.3390/agriculture15050447
Mu L, Zhou H, Yang K, Wang J, Sun S, Lu Z, Wang L, Zhang N, Bao L. Effect of Biochar-Based Organic Fertilizer on the Growth of Maize in Cadmium-Contaminated Soil. Agriculture. 2025; 15(5):447. https://doi.org/10.3390/agriculture15050447
Chicago/Turabian StyleMu, Liyuan, Hongyin Zhou, Ke Yang, Junlei Wang, Sijing Sun, Zhengli Lu, Lijuan Wang, Naiming Zhang, and Li Bao. 2025. "Effect of Biochar-Based Organic Fertilizer on the Growth of Maize in Cadmium-Contaminated Soil" Agriculture 15, no. 5: 447. https://doi.org/10.3390/agriculture15050447
APA StyleMu, L., Zhou, H., Yang, K., Wang, J., Sun, S., Lu, Z., Wang, L., Zhang, N., & Bao, L. (2025). Effect of Biochar-Based Organic Fertilizer on the Growth of Maize in Cadmium-Contaminated Soil. Agriculture, 15(5), 447. https://doi.org/10.3390/agriculture15050447
