Dryland-to-Paddy Conversions Lead to Short-Term Decreases in Soil Organic Carbon and Carbon Pool Management Index in Karst Soil of Guizhou Province, China
Abstract
1. Introduction
2. Materials and Methods
2.1. Study Area
2.2. Sample Collection
2.3. Soil Physicochemical Properties
2.4. Organic Carbon Components and Carbon Pool Management Index
2.5. Statistical Analyses
3. Results
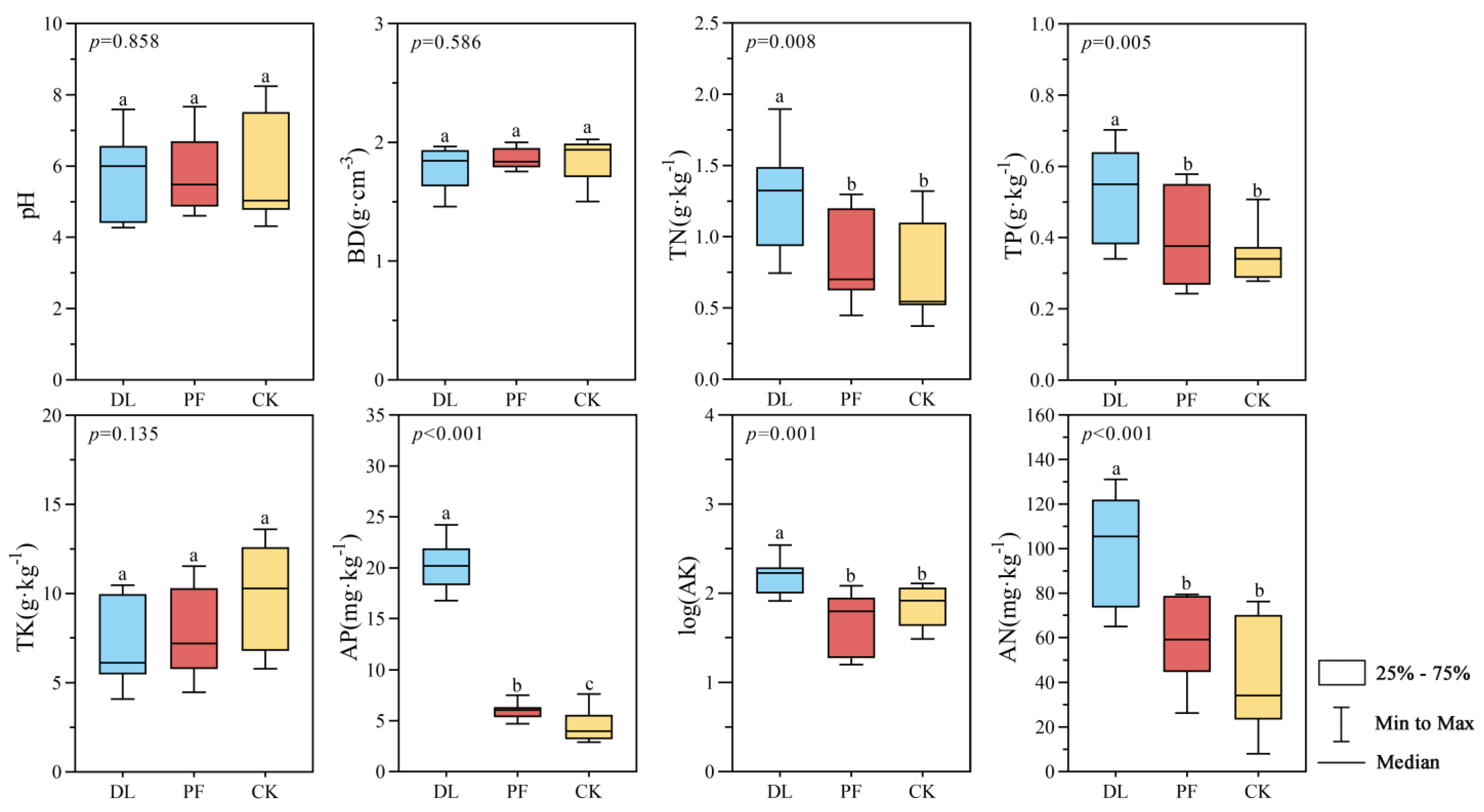
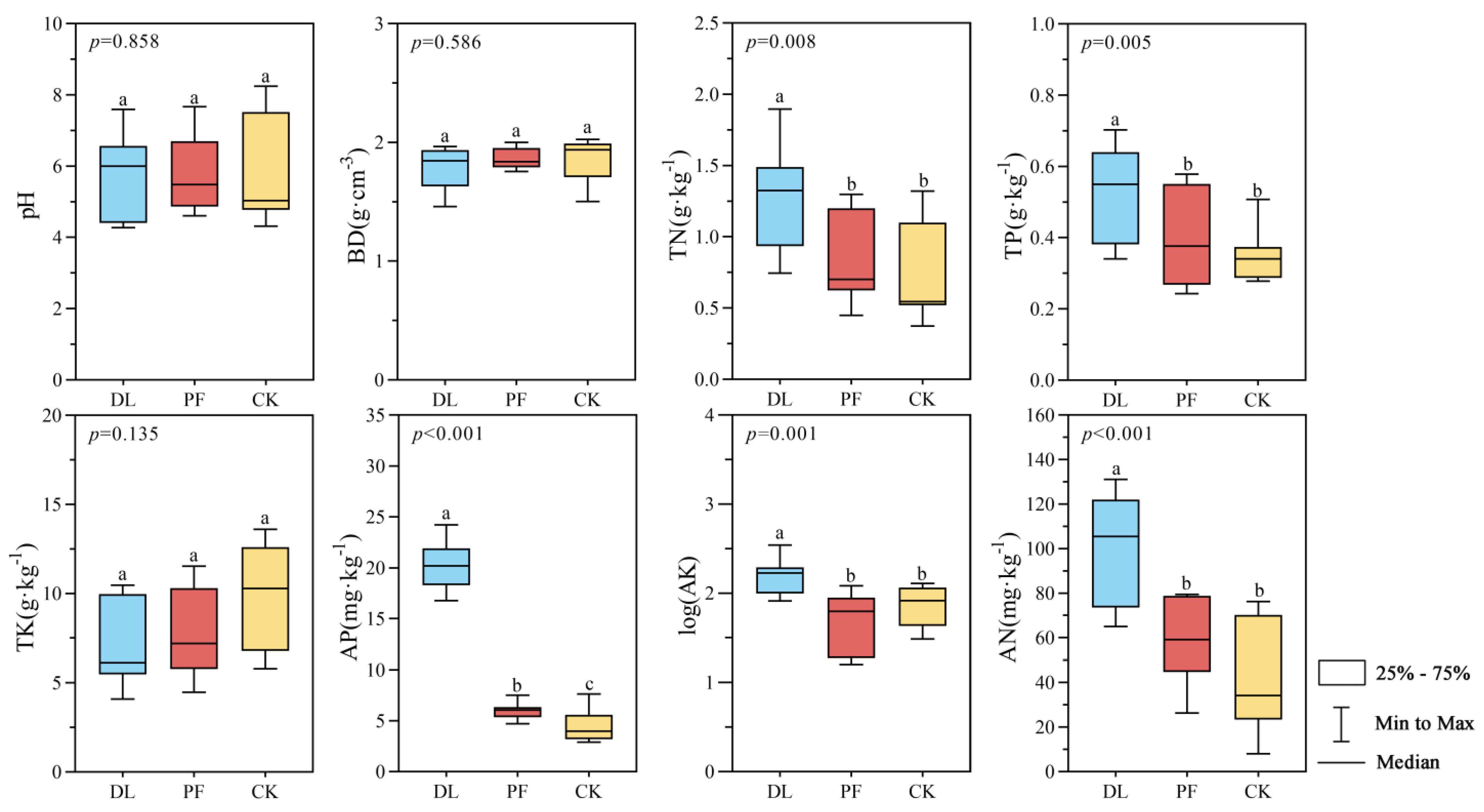
3.1. Soil Physicochemical Properties
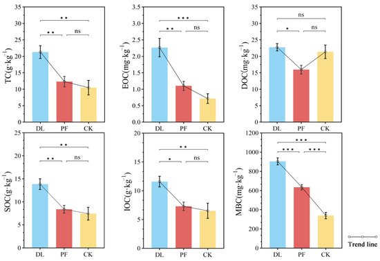
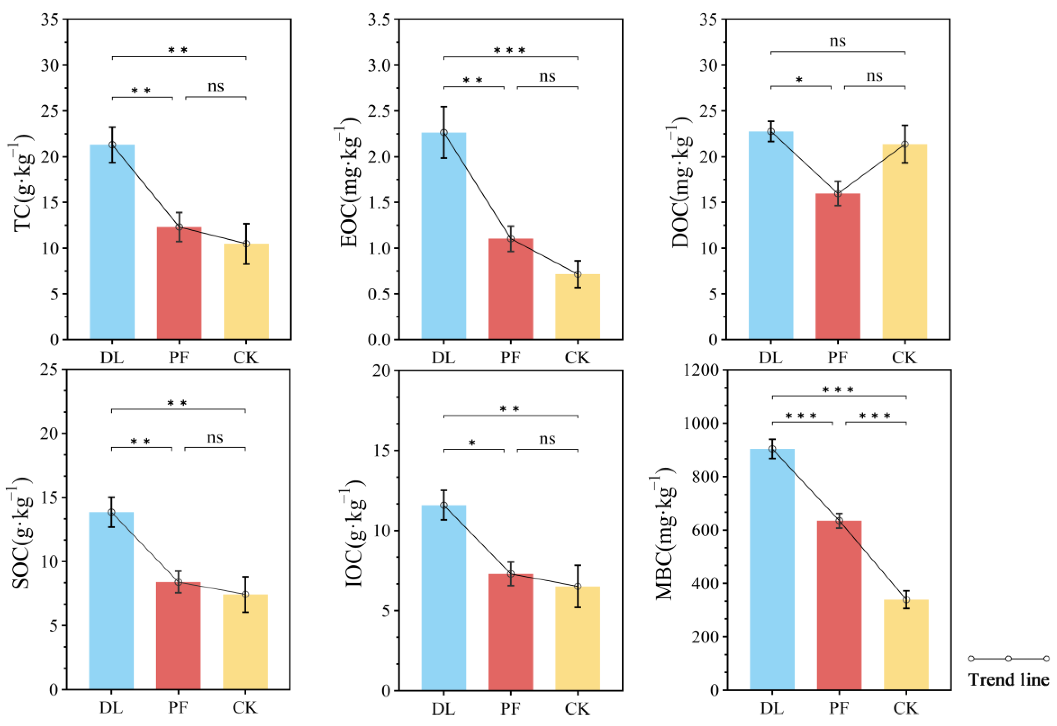
3.2. Soil Organic Carbon and Its Components
3.3. Carbon Pool Management Index
3.4. Correlations Between Environmental Factors and Soil Organic Carbon and Its Components
3.5. Correlations Between Environmental Factors, Soil Organic Carbon, Organic Carbon Components, and Carbon Pool
4. Discussion
4.1. Effects of Dryland-to-Paddy Conversion on Soil Physicochemical Properties
4.2. Effects of Dryland-to-Paddy Conversion on Soil Organic Carbon and Its Components
4.3. Effects of Dryland-to-Paddy Conversion on Carbon Pool Management Index
4.4. Relations Between Soil Physicochemical Properties, Organic Carbon Components, and Carbon Pool Management Index
5. Conclusions
Author Contributions
Funding
Data Availability Statement
Conflicts of Interest
References
- Li, H.Y.; Xia, Y.Y.; Liu, M.H.; Zeng, G.P. Screening of Drought Resistance Identification Indexes and Comprehensive Evaluation of Japonica Rice in Cold Region. Southwest China J. Agric. Sci. 2021, 34, 1138–1145. [Google Scholar]
- Fu, B.J.; Liu, Y. Global ecosystem observation and research programs: Evolution and insights for future development. Prog. Geogr. 2014, 33, 893–902. [Google Scholar]
- Smith, P.; Martino, D.; Cai, Z.; Gwary, D.; Janzen, H.; Kumar, P.; McCarl, B.; Ogle, S.; O’Mara, F.; Rice, C. Policy and technological constraints to implementation of greenhouse gas mitigation options in agriculture. Agric. Ecosyst. Environ. 2007, 118, 6–28. [Google Scholar] [CrossRef]
- Guo, S.; Qi, Y.; Peng, Q.; Dong, Y.; He, Y.; Yan, Z.; Wang, L. Influences of drip and flood irrigation on soil carbon dioxide emission and soil carbon sequestration of maize cropland in the North China Plain. J. Arid Land 2017, 9, 222–233. [Google Scholar] [CrossRef]
- Tranvik, L. Carbon cycling in the Arctic. Science 2014, 345, 870. [Google Scholar] [CrossRef]
- Wang, Y.; Yang, D.L.; Wang, L.L.; Zhao, J.N.; Liu, H.M.; Tan, B.C.; Wang, H.; Wang, M.L.; Huang, J.; Zhang, X.F. Effects of farmland management measures on soil organic carbon turnover and microorganisms. J. Agric. Resour. Environ. 2020, 37, 340–352. [Google Scholar]
- Asgari, A.; Tavassoli, M.; Ejlali, F.R.; Sahebi, F.G.; Kafshdozan, F. Effect of land consolidation of paddy rice to improve agriculture water management. Int. J. Agric. Res. Rev. 2012, 2, 955–958. [Google Scholar]
- Jin, X.; Shao, Y.; Zhang, Z.; Resler, L.M.; Campbell, J.B.; Chen, G.; Zhou, Y. The evaluation of land consolidation policy in improving agricultural productivity in China. Sci. Rep. 2017, 7, 2792. [Google Scholar] [CrossRef]
- Lal, R. Soil carbon dynamics in cropland and rangeland. Environ. Pollut. 2002, 116, 353–362. [Google Scholar] [CrossRef]
- Hu, Y.; Li, Y.; Hou, Y.L. The Variation of soil organic carbon fractions and soil enzyme activity of different land use types in Minjiang River Valley. Ecol. Environ. Sci. 2018, 27, 1617–1624. [Google Scholar]
- Zhang, E.Y.; Zeng, J.Y.; Su, Y.Q.; Zhang, L.; Zhang, P.F.; Liu, G. Optimization of low-carbon land use pattern based on scenario simulation: A Casestudy of Fenhe River Basin. Arid Zone Res. 2023, 40, 203–212. [Google Scholar]
- Qi, X.; Jiang, C.S.; Hao, Q.J.; Li, J.L. Effects of different land uses on soil active organic carbon and nitrogen fractions in Jinyun Mountain. Environ. Sci. 2015, 36, 3816–3824. [Google Scholar]
- Ramesh, T.; Bolan, N.S.; Kirkham, M.B.; Wijesekara, H.; Kanchikerimath, M.; Srinivasa Rao, C.; Sandeep, S.; Rinklebe, J.; Ok, Y.S.; Choudhury, B.U.; et al. Chapter One—Soil organic carbon dynamics: Impact of land use changes and management practices: A review. In Advances in Agronomy; Sparks, D.L., Ed.; Academic Press: Cambridge, MA, USA, 2019; Volume 156, pp. 1–107. [Google Scholar]
- Ge, Z.; Li, S.; Bol, R.; Zhu, P.; Peng, C.; An, T.; Cheng, N.; Liu, X.; Li, T.; Xu, Z.; et al. Differential long-term fertilization alters residue-derived labile organic carbon fractions and microbial community during straw residue decomposition. Soil Tillage Res. 2021, 213, 105120. [Google Scholar] [CrossRef]
- Song, Y.; Zhai, J.; Zhang, J.; Qiao, L.; Wang, G.; Ma, L.; Xue, S. Forest management practices of Pinus tabulaeformis plantations alter soil organic carbon stability by adjusting microbial characteristics on the Loess Plateau of China. Sci. Total Environ. 2021, 766, 144209. [Google Scholar] [CrossRef]
- Yu, J.B.; Liu, S.X.; Liu, J.S.; Wang, J.D.; Qi, X.N.; Wang, Y. Effects of reclamation on the distribution of organic carbon in organic and inorganic complex of black soil. J. Soil Sci. 2004, 35, 695–700. [Google Scholar] [CrossRef]
- Yin, P.; Li, X.G.; Li, Y.K.; Zhang, P.L. Changes in soil organic C and N and aggregate stability along achronosequence of cultivation in sub-alpine qrassland. J. Gansu Agric. Univ. 2008, 43, 97–102. [Google Scholar]
- Li, X.A.; Tong, C.L.; Jang, P.; Wu, J.S.; Wang, L.G. Effects of long-term fertilization on soil organic matter and total nitrogen in paddy field. Soil Sci. 2006, 38, 298–303. [Google Scholar]
- Li, Z.J.; Tang, G.M.; Sun, X.; Xu, Z.H. Effects of planting years on soil nutrient changes in orchards in southern Xinjiang. Tianjin Agric. Sci. 2016, 22, 15–20. [Google Scholar]
- Blair, G.J.; Lefroy, R.D.; Lisle, L. Soil carbon fractions based on their degree of oxidation, and the development of a carbon management index for agricultural systems. Aust. J. Agric. Res. 1995, 46, 1459–1466. [Google Scholar] [CrossRef]
- Shen, H.; Cao, Z.H. Study on soil C pool management index of different farmland ecosystems. Acta Ecol. Sinca 2000, 20, 663–668. [Google Scholar]
- Xu, M.G.; Yu, R.; Wang, B.R. Labile organic matter and carbon management index in red soil under long-term fertilization. Acta Pedol. Sinca 2006, 43, 723–729. [Google Scholar]
- Guo, B.H.; Fan, S.H.; Du, M.Y.; Liu, G.L.; Su, W.H. Effect of land-use type on soil labile carbon pool and carbon management index. Chin. J. Ecol. 2014, 33, 723–728. [Google Scholar]
- Yang, S.Q.; Tang, F.; Yang, Y.; Zhang, Y.B.; Peng, X.Y.; Huang, Y. Effects of peach tree planting patterns on soil organic carbon fractions and carbon pool management index in Southern Yunnan. Acta Ecol. Sin. 2023, 43, 290–303. [Google Scholar]
- Xiang, C.Y.; Zhou, D.X.; Song, Y.; Zhao, Y.H. Study on allowable conversion degree of dry land to paddy field in Tonghe County, Heilongjiang Province. Trans. Chin. Soc. Agric. Eng. 2012, 28, 226–230. [Google Scholar]
- Xun, W.Q.; Zhu, D.L.; Tang, H.Z. Reshaping and innovation of China land consolidation strategy. Trans. Chin. Soc. Agric. Eng. 2016, 32, 1–8. [Google Scholar] [CrossRef]
- Lal, R. Soil carbon sequestration impacts on global climate change and food security. Science 2004, 304, 1623–1627. [Google Scholar] [CrossRef]
- Ding, J.; Lai, L.; Zhao, X.; Zhu, L.; Jiang, L.; Zheng, Y. Effects of desertification on soil respiration and ecosystem carbon fixation in Mu Us sandy land. Shengtai Xuebao Acta Ecol. Sin. 2011, 31, 1594–1603. [Google Scholar]
- Tan, M.; Huang, X.J.; Zhong, T.Y.; Zhao, R.Q.; Gu, L.Q.; Xu, Z.J.; Jiang, C.J.; Huang, J.B. Effects of land consolidation on soil carbon content in farmland. Trans. Chin. Soc. Agric. Eng. 2011, 27, 324–329. [Google Scholar]
- Li, X.X.; Zhu, F.W.; Xu, T.Y.; Yao, X.C.; Yu, M.; Chen, F. Short term response of soil properties and rice growth to land consolidation in south of Jiangsu province. Acta Pedol. Sin. 2019, 56, 571–581. [Google Scholar]
- Kreye, C.; Dittert, K.; Zheng, X.; Zhang, X.; Lin, S.; Tao, H.; Sattelmacher, B. Fluxes of methane and nitrous oxide in water-saving rice production in north China. Nutr. Cycl. Agroecosystems 2007, 77, 293–304. [Google Scholar] [CrossRef]
- Qin, H.; Tang, Y.; Shen, J.; Wang, C.; Chen, C.; Yang, J.; Liu, Y.; Chen, X.; Li, Y.; Hou, H. Abundance of transcripts of functional gene reflects the inverse relationship between CH4 and N2O emissions during mid-season drainage in acidic paddy soil. Biol. Fertil. Soils 2018, 54, 885–895. [Google Scholar] [CrossRef]
- Ma, Y.; Chi, M.J.; Zhang, Y.L.; Fan, Q.F.; Yu, N.; Zou, H.T. Changes of organic carbon and total nitrogen in water-stable aggregates from dry black soil to rice field. Chin. J. Agric. Sci. 2019, 53, 1594–1605. [Google Scholar]
- Yang, Y.; Gong, R.; Pan, X.; Li, X.; Hua, Z.; Ma, J.; Duan, X.; Chen, F. How Dryland-to-Paddy Conversion Affects the Carbon Emission Efficiency in the Short Term: Evidence from Soil Carbon-Fixing Bacteria and the Carbon Pool in an Experimental Study. Agriculture 2024, 14, 2151. [Google Scholar] [CrossRef]
- Guo, W.; Ma, J.; Song, X.; Yang, B.; Zhu, X.; Chen, F. Land consolidation of dryland-to-paddy conversion in China: Analysis of spatial patterns, impacts on cropland ecosystem services, and adaptive management strategies. Environ. Impact Assess. Rev. 2024, 108, 107594. [Google Scholar] [CrossRef]
- Kueppers, L.M.; Snyder, M.A.; Sloan, L.C. Irrigation cooling effect: Regional climate forcing by land-use change. Geophys. Res. Lett. 2007, 34, L03703. [Google Scholar] [CrossRef]
- Qian, J.; Zhao, H.; Wang, X.; Wang, T.; Feng, Z.; Cao, C.; Li, X.; Zhang, A. Declining suitability for conversion of drylands to paddy fields in Northeast China: Impact of future climate and socio-economic changes. Geogr. Sustain. 2025, 6, 100199. [Google Scholar] [CrossRef]
- Dong, J.; Xiao, X.; Zhang, G.; Menarguez, M.; Choi, C.; Qin, Y.; Luo, P.; Zhang, Y.; Moore, B. Northward expansion of paddy rice in northeastern Asia during 2000–2014. Geophys. Res. Lett. 2016, 43, 3754–3761. [Google Scholar] [CrossRef]
- Ministry of Ecology and Environment of the People’s Republic of China. Technical Specifications for Soil Environmental Monitoring (HJ/T 166-2004); Ministry of Ecology and Environment of the People’s Republic of China: Beijing, China, 2004; pp. 14–15. [Google Scholar]
- Lu, Y.; Si, B.; Li, H.; Biswas, A. Elucidating controls of the variability of deep soil bulk density. Geoderma 2019, 348, 146–157. [Google Scholar] [CrossRef]
- Hernández, T.D.B.; Slater, B.K.; Shaffer, J.M.; Basta, N. Comparison of methods for determining organic carbon content of urban soils in Central Ohio. Geoderma Reg. 2023, 34, e00680. [Google Scholar] [CrossRef]
- Bremner, J.M. Nitrogen-Total. In Methods of Soil Analysis: Part 3 Chemical Methods, 5.3; Soil Science Society of America (SSSA): Madison, WI, USA, 1996; pp. 1085–1121. [Google Scholar] [CrossRef]
- Olsen, S.R.; Sommers, L.E. Phosphorus. In Methods of Soil Analysis: Part 2 Chemical and Microbiological Properties, 9.2.2, 2nd ed.; Soil Science Society of America (SSSA): Madison, WI, USA, 1982; pp. 403–430. [Google Scholar] [CrossRef]
- Bray, R.H.; Kurtz, L.T. Determination of total, organic, and available forms of phosphorus in soils. Soil Sci. 1945, 59, 39–46. [Google Scholar] [CrossRef]
- Lu, R.K. Methods for Agricultural Chemical Analysis of Soil; China Agricultural Science and Technology Press: Beijing, China, 2000. [Google Scholar]
- Bao, S. Agricultural and Chemical Analysis on Soil, 3rd ed.; China Agriculture Press: Beijing, China, 2000. [Google Scholar]
- DuPont, S.T.; Culman, S.W.; Ferris, H.; Buckley, D.H.; Glover, J.D. No-tillage conversion of harvested perennial grassland to annual cropland reduces root biomass, decreases active carbon stocks, and impacts soil biota. Agric. Ecosyst. Environ. 2010, 137, 25–32. [Google Scholar] [CrossRef]
- Wang, M.; Liao, C.; Tian, Q.; Wang, D.; Wu, Y.; Tang, Y.; Liu, F. Dissolved organic matter characteristics and important site factors in a subtropical mountain forest in central China. For. Sci. 2019, 66, 49–57. [Google Scholar] [CrossRef]
- Jian, J.N.; Liu, W.C.; Zhu, Y.F.; Li, J.X.; Wen, Y.H.; Liu, F.H.; Ren, C.J.; Han, X.H. Effects of Short-term Nitrogen Addition on Soil Organic Carbon Components in Robinia pseudoacacia L. Plantation. Huan Jing Ke Xue 2023, 44, 2767–2774. [Google Scholar] [PubMed]
- Modak, K.; Ghosh, A.; Bhattacharyya, R.; Biswas, D.R.; Das, T.K.; Das, S.; Singh, G. Response of oxidative stability of aggregate-associated soil organic carbon and deep soil carbon sequestration to zero-tillage in subtropical India. Soil Tillage Res. 2019, 195, 104370. [Google Scholar] [CrossRef]
- Wang, X.; Zhong, Z.K.; Wang, J.Y.; Jian, J.N.; Yang, G.H.; Ren, C.J.; Han, X.H. Responses of soil carbon pool of abandoned grassland on the loess plateau to two-years warming and increased precipitation. Acta Pedol. Sin. 2023, 60, 523–534. [Google Scholar]
- Roth, P.J.; Lehndorff, E.; Cao, Z.H.; Zhuang, S.; Bannert, A.; Wissing, L.; Schloter, M.; Kögel-Knabner, I.; Amelung, W. Accumulation of nitrogen and microbial residues during 2000 years of rice paddy and non-paddy soil development in the Yangtze River Delta, China. Glob. Change Biol. 2011, 17, 3405–3417. [Google Scholar] [CrossRef]
- Li, X.; Zhang, Q.; Ma, J.; Yang, Y.; Wang, Y.; Fu, C. Flooding irrigation weakens the molecular ecological network complexity of soil microbes during the process of dryland-to-paddy conversion. Int. J. Environ. Res. Public Health 2020, 17, 561. [Google Scholar] [CrossRef]
- Brye, K.R.; Slaton, N.A.; Norman, R.J. Soil physical and biological properties as affected by land leveling in a clayey aquert. Soil Sci. Soc. Am. J. 2006, 70, 631–642. [Google Scholar] [CrossRef]
- Luo, S.; Jia, Z.; Tian, L.; Wang, S.; Chang, C.; Ji, L.; Chang, J.; Zhang, J.; Tian, C. Potential functional differentiation from microbial perspective under dryland-paddy conversion in black soils. Agric. Ecosyst. Environ. 2023, 353, 108562. [Google Scholar] [CrossRef]
- Yan, J.L.; LI, M.; Xiong, S.L.; Tu, S.X. Effect of reclaiming cotton field into paddy and straw application on rice seedling growth. Chin. J. Eco-Agric. 2015, 23, 554–562. [Google Scholar]
- Wang, Y.F.; Chen, Z.Z. Distribution of soil organic carbon in the major grasslands of Xilinguole, inner mongolia, China. Chin. J. Plant Ecol. 1998, 22, 66–72. [Google Scholar]
- Chen, F.; Li, X.X.; Ma, J.; Yu, H.C.; Yang, Y.J.; Wang, Y.F. Short-term effects of land consolidation of dryland-to-paddy conversion on soil carbon flux. Acta Ecol. Sin 2021, 41, 7725–7734. [Google Scholar]
- Basile-Doelsch, I.; Balesdent, J.; Pellerin, S. Reviews and syntheses: The mechanisms underlying carbon storage in soil. Biogeosciences 2020, 17, 5223–5242. [Google Scholar] [CrossRef]
- Zhang, X.F.; Zheng, S.M.; Xia, Y.H.; Hu, Y.J.; Su, Y.R.; Chen, X.B. Responses of soil organic carbon components to land use patterns in hilly regions of red soil. Environ. Sci. 2020, 41, 1466–1473. [Google Scholar]
- Jiang, W.T.; Gao, X.F.; Song, J.H.; Zeng, Y.; Hao, W.Y.; Wang, K.N.; Chen, G.L. Responses of organic carbon fractions and microbial communities to plant residues under different land use patterns. Chin. J. Soil Sci. 2023, 54, 831–839. [Google Scholar]
- Liu, M.; Yu, W.T.; Jiang, Z.S.; Zhao, X. Influencing factors and ecological effects of dissolved organic carbon in soil. Chin. J. Soil Sci. 2007, 38, 758–764. [Google Scholar] [CrossRef]
- Li, Y.L.; Lian, J.S.; Ren, F.L. Characteristics of soil dissolved organic carbon in different land use and climate regions. J. Environ. Eng. Technol. 2024, 14, 1427–1435. [Google Scholar]
- Yang, M.F.; Zhu, L.Q.; Han, X.Z.; Gu, K.J.; Hu, N.J.; Bian, X.M. Short-Term Effects of Different Tillage Modes Combined with Straw-Returning on the Soil Labile Organic Carbon Components in a Farmland with Rice-Wheat Double Cropping. Chin. J. Appl. Ecol. 2013, 24, 1387–1393. [Google Scholar]
- Gong, Y.Y.; Zhu, X.P.; Li, D.P.; Zeng, M.Z.; Du, J.; Sun, T. Characteristics of soil active organic carbon components in arid region under different land use patterns. Pratacultural Sci. 2019, 36, 1944–1952. [Google Scholar]
- Li, Q.C.; Li, X.J. The spatial distribution of organic carbon components in reclaimed soil under different utilization modes. J. Soil Water Conserv. 2018, 32, 204–209. [Google Scholar]
- Wang, Y.; Zhu, G.; Harhangi, H.R.; Zhu, B.; Jetten, M.S.; Yin, C.; Op den Camp, H.J. Co-occurrence and distribution of nitrite-dependent anaerobic ammonium and methane-oxidizing bacteria in a paddy soil. FEMS Microbiol. Lett. 2012, 336, 79–88. [Google Scholar] [CrossRef] [PubMed]
- Li, X.; Ma, J.; Yang, Y.; Hou, H.; Liu, G.-J.; Chen, F. Short-term response of soil microbial community to field conversion from dryland to paddy under the land consolidation process in North China. Agriculture 2019, 9, 216. [Google Scholar] [CrossRef]
- Wang, Y.N.; Xu, Z.W.; Wang, S.Z. Study on the content and influencing factors of active organic carbon in natural and drained peat bogs of Baijiang River. Wetl. Sci. 2021, 19, 691–701. [Google Scholar]
- Zhang, L.Y.; Mi, J.Z.; Liu, J.H.; Zhao, B.P.; Cui, X.M.; Hu, K.X. Effects of combined application of bentonite and straw on soil organic carbon and active carbon fractions in dry farmland. Chin. Soil Fertil. 2023, 7, 112–122. [Google Scholar]
- Long, P.; Su, S.; Huang, Y.N.; Li, C.; Xiao, Z.X.; Zhu, Z.J.; Liu, L.; Fu, Z.Q. Effects of winter cropping mode on soil organic carbon and carbon management index of double rice paddy. Chin. J. Appl. Ecol. 2019, 30, 1135–1142. [Google Scholar]
- Deng, X.Z.; Han, C.; Xue, L.X.; Hou, P.F.; Xue, L.X.; Yang, L.Z. Effects of warming and fertilization on soil organic carbon and its labile components in rice-wheat rotation. Environ. Sci. 2023, 44, 1553–1561. [Google Scholar]
- Hu, N.N.; Feng, L.; Lu, J.L.; Yang, J.; Wang, X.Y.; Xiao, X.Y.; Zeng, H.F.; Ma, M.S.; Liu, B.Y.; Yang, N. Effects of Straw Mulching on Soil Organic Carbon and Its Components in Maize fields. Chin. J. Soil Sci. 2024, 55, 695–706. [Google Scholar]
- Chen, J.Q.; Jia, Y.N.; He, Q.F.; Jiang, K.; Chen, C.; Ye, K. Effect of land use on the stability of soil organic carbon in a Karst Region. Environ. Sci. 2024, 45, 335–342. [Google Scholar]
- Yang, J.; Zhang, Z.; Cao, G. Soil nitrate and nitrite content determined by Skalar SAN++. Soil Fertil. Sci. China 2014, 2, 101–105. [Google Scholar]
- Liu, J.; Jing, F.; Jiang, G.; Liu, J. Effects of straw incorporation on soil organic carbon density and the carbon pool management index under long-term continuous cotton. Commun. Soil Sci. Plant Anal. 2017, 48, 412–422. [Google Scholar] [CrossRef]
- Jiang, X.; Xu, D.; Rong, J.; Ai, X.; Ai, S.; Su, X.; Sheng, M.; Yang, S.; Zhang, J.; Ai, Y. Landslide and aspect effects on artificial soil organic carbon fractions and the carbon pool management index on road-cut slopes in an alpine region. Catena 2021, 199, 105094. [Google Scholar] [CrossRef]
- Wei, L.; Vosátka, M.; Cai, B.; Ding, J.; Lu, C.; Xu, J.; Yan, W.; Li, Y.; Liu, C. The role of arbuscular mycorrhiza fungi in the decomposition of fresh residue and soil organic carbon: A mini-review. Soil Sci. Soc. Am. J. 2019, 83, 511–517. [Google Scholar] [CrossRef]
- Ferro, V.; Nicosia, A. Comment on “Rill erosion processes on steep colluvial deposit slope under heavy rainfall in flume experiments with artificial rain by F. Jiang et al.”. Catena 2020, 185, 103793. [Google Scholar] [CrossRef]
- Wang, H.; Wu, J.; Li, G.; Yan, L. Changes in soil carbon fractions and enzyme activities under different vegetation types of the northern Loess Plateau. Ecol. Evol. 2020, 10, 12211–12223. [Google Scholar] [CrossRef] [PubMed]
- Huang, B.; Wang, Q.; Li, D.; Xiao, H.; Nie, X.; Yuan, Z.; Zheng, M.; Liao, Y.; Liang, C. Variation characteristics of organic carbon and fractions in soils along the altitude gradient in Nanling Mountains. Chin. J. Soil Sci. 2022, 53, 374–383. [Google Scholar]
- Xu, H.; Qu, Q.; Lu, B.; Zhang, Y.; Liu, G.; Xue, S. Variation in soil organic carbon stability and driving factors after vegetation restoration in different vegetation zones on the Loess Plateau, China. Soil Tillage Res. 2020, 204, 104727. [Google Scholar] [CrossRef]
- Xie, B.; Zhang, C.; Wang, G.; Xie, Y. Global convergence in correlations among soil properties. Int. J. Agric. Biol. Eng. 2020, 13, 108–116. [Google Scholar] [CrossRef]
- Nottingham, A.T.; Turner, B.L.; Stott, A.W.; Tanner, E.V. Nitrogen and phosphorus constrain labile and stable carbon turnover in lowland tropical forest soils. Soil Biol. Biochem. 2015, 80, 26–33. [Google Scholar] [CrossRef]
- Liu, M.; Li, P.; Liu, M.; Wang, J.; Chang, Q. The trend of soil organic carbon fractions related to the successions of different vegetation types on the tableland of the Loess Plateau of China. J. Soils Sediments 2021, 21, 203–214. [Google Scholar] [CrossRef]
- Wang, C.; Li, H.; Sun, X.; Cai, T. Responses of soil microbial biomass and enzyme activities to natural restoration of reclaimed temperate marshes after abandonment. Front. Environ. Sci. 2021, 9, 701610. [Google Scholar] [CrossRef]
- Ma, H.Y.; Li, X.J.; Ma, X.Y.; Gong, L. Characteristics and Driving Factors of Soil Organic Carbon Fractions under Different Vegetation Types of the mid-Northern Piedmont of the Tianshan Mountains, Xinjiang. Ecol. Environ. 2022, 31, 1124–1131. [Google Scholar]
- Lin, Y.B.; Ye, Y.M.; Liu, S.C.; Yang, J.H. Effects of different farmland remediation measures on soil bacterial diversity. Resour. Environ. Yangtze Basin 2019, 28, 2632–2640. [Google Scholar]
- Liu, Z.Y.; Gao, Z.; Wang, Y.L.; Yao, Y. Effects of conversion from dry land to paddy field on soil aggregate carbon content in red soil profiles in key zones. Acta Pedol. Sin. 2019, 56, 1526–1535. [Google Scholar]
- Jiang, Y.; Liang, Y.; Li, C.; Wang, F.; Sui, Y.; Suvannang, N.; Zhou, J.; Sun, B. Crop rotations alter bacterial and fungal diversity in paddy soils across East Asia. Soil Biol. Biochem. 2016, 95, 250–261. [Google Scholar] [CrossRef]
- Ma, C.; Chen, X.; Zhang, J.; Zhu, Y.; Kalkhajeh, Y.K.; Chai, R.; Ye, X.; Gao, H.-j.; Chu, W.; Mao, J.-D. Linking chemical structure of dissolved organic carbon and microbial community composition with submergence-induced soil organic carbon mineralization. Sci. Total Environ. 2019, 692, 930–939. [Google Scholar] [CrossRef]







| Cropping Systems and Management | DL | PF | |
|---|---|---|---|
| Crop | Maize | Rice | |
| yield (t·hm−2) | 4.00–5.00 | 4.00–5.00 | |
| Chemical fertilizers application rate (t·hm−2) | N fertilizer | 0.10–0.13 | 0.07–0.09 |
| P fertilizer | 0.04–0.06 | 0.03–0.04 | |
| K fertilizer | 0.06–0.07 | 0.04–0.05 | |
| Urea | 0.20–0.26 | 0.14–0.18 | |
| SSP | 0.24–0.36 | 0.18–0.24 | |
| SOP | 0.12–0.14 | 0.08–0.10 | |
| FYM application rate (t·hm−2) | 9.00–11.00 | 9.00–11.00 | |
| Irrigated conditions | Rainfed | Artificial irrigation | |
| Sowing seasons | March–April | April–May | |
| Harvesting seasons | July–August | August–September | |
| The Proportion of C Component (%) | DL | PF | CK |
|---|---|---|---|
| DOC/SOC | 0.17 ± 0.01 b | 0.20 ± 0.02 b | 0.36 ± 0.08 a |
| EOC/SOC | 16.14 ± 1.11 a | 13.12 ± 1.25 b | 9.46 ± 0.77 c |
| IOC/SOC | 83.86 ± 1.11 a | 86.88 ± 1.25 a | 85.73 ± 4.20 a |
| MBC/SOC | 6.93 ± 0.72 a | 8.31 ± 1.01 a | 6.31 ± 1.33 a |
| Soil Carbon Pool Management Index | DL | PF | CK |
|---|---|---|---|
| L | 0.20 ± 0.02 a | 0.15 ± 0.02 b | 0.11 ± 0.01 c |
| LI | 2.04 ± 0.36 a | 1.76 ± 0.50 a | 1.00 ± 0.00 a |
| CPI | 2.25 ± 0.30 a | 1.30 ± 0.15 b | 1.00 ± 0.00 b |
| CPMI | 466.34 ± 59.80 a | 230.35 ± 40.40 b | 100.00 ± 0.00 b |
| Soil Physicochemical Properties | RDA1 | RDA2 | R2 | p |
|---|---|---|---|---|
| pH | −0.31148 | −0.95025 | 0.0720 | 0.393 |
| BD | −0.90124 | −0.43333 | 0.3227 | 0.009 ** |
| TN | 0.70247 | 0.71172 | 0.6533 | 0.001 *** |
| TP | 0.18930 | 0.98192 | 0.1381 | 0.170 |
| TK | 0.99502 | −0.09964 | 0.1521 | 0.153 |
| AP | 0.17030 | 0.98539 | 0.3353 | 0.010 ** |
| AN | 0.59747 | 0.80189 | 0.6481 | 0.001 *** |
| AK | 0.67149 | 0.74102 | 0.2703 | 0.030 * |
Disclaimer/Publisher’s Note: The statements, opinions and data contained in all publications are solely those of the individual author(s) and contributor(s) and not of MDPI and/or the editor(s). MDPI and/or the editor(s) disclaim responsibility for any injury to people or property resulting from any ideas, methods, instructions or products referred to in the content. |
© 2025 by the authors. Licensee MDPI, Basel, Switzerland. This article is an open access article distributed under the terms and conditions of the Creative Commons Attribution (CC BY) license (https://creativecommons.org/licenses/by/4.0/).
Share and Cite
Cai, Y.; Xiao, J.; Liao, X.; Dong, Y.; Pan, B.; Zhang, L.; Xie, G.; Chen, Y.; Xie, Y. Dryland-to-Paddy Conversions Lead to Short-Term Decreases in Soil Organic Carbon and Carbon Pool Management Index in Karst Soil of Guizhou Province, China. Agriculture 2025, 15, 396. https://doi.org/10.3390/agriculture15040396
Cai Y, Xiao J, Liao X, Dong Y, Pan B, Zhang L, Xie G, Chen Y, Xie Y. Dryland-to-Paddy Conversions Lead to Short-Term Decreases in Soil Organic Carbon and Carbon Pool Management Index in Karst Soil of Guizhou Province, China. Agriculture. 2025; 15(4):396. https://doi.org/10.3390/agriculture15040396
Chicago/Turabian StyleCai, Yu, Jiujun Xiao, Xiaofeng Liao, Yanyan Dong, Bojuan Pan, Lanyue Zhang, Gang Xie, Yang Chen, and Yuangui Xie. 2025. "Dryland-to-Paddy Conversions Lead to Short-Term Decreases in Soil Organic Carbon and Carbon Pool Management Index in Karst Soil of Guizhou Province, China" Agriculture 15, no. 4: 396. https://doi.org/10.3390/agriculture15040396
APA StyleCai, Y., Xiao, J., Liao, X., Dong, Y., Pan, B., Zhang, L., Xie, G., Chen, Y., & Xie, Y. (2025). Dryland-to-Paddy Conversions Lead to Short-Term Decreases in Soil Organic Carbon and Carbon Pool Management Index in Karst Soil of Guizhou Province, China. Agriculture, 15(4), 396. https://doi.org/10.3390/agriculture15040396

