Abstract
This study compared serum immunological parameters, cytokines, intestinal permeability, fecal microbiota, and short-chain fatty acids (SCFAs) between healthy and diarrheic suckling calves. Serum and facecal samples were analyzed using ELISA kits, 16S rDNA sequencing, and targeted metabolomics. Compared with healthy calves, the serum levels of aspartate aminotransferase, interleukin-1β (IL-1β), tumor necrosis factor-α (TNF-α), endotoxin (ET), and diamine oxidase (DAO) were significantly higher (p < 0.05), whereas the serum levels of immunoglobulin A (IgA), immunoglobulin G (IgG), and interleukin-10 (IL-10) were significantly lower in diarrheic calves (p < 0.05). The contents of propionic acid, butyric acid, and valeric acid significantly decreased in the fecal of diarrheic calves (p < 0.05). Moreover, the Chao1 and observed_features index of fecal microbiota significantly decreased in diarrheic calves (p < 0.05). The relative abundance of Escherichia-Shigella, Clostridium_sensu_stricto_1, and Streptococcus was significantly higher (p < 0.05), whereas Phascolarctobacterium, Ruminococcus torques group, and Faecalibacterium were significantly lower in diarrheic calves (p < 0.05). Escherichia-Shigella abundance was positively correlated with ET, DAO, IL-1β, and TNF-α levels (p < 0.05). Faecalibacterium abundance was significantly positively correlated with IgG, IgA, IL-10, and butyric acid but negatively correlated with ET and DAO levels (p < 0.05). In summary, diarrheic suckling calves exhibited reduced immune function, inflammatory response, and increased intestinal permeability. The relative abundance of fecal microbiota of Escherichia-Shigella and Clostridium_sensu_stricto_1 increased, while propionic acid, butyric acid, and valeric acid concentration were decreased in calves with diarrhea. This underscores the critical interplay between microbiota balance and gut health in diarrhea.
1. Introduction
Neonatal calves are highly susceptible to gastrointestinal disorders due to their underdeveloped digestive systems and compromised immune function prior to weaning [1]. Diarrhea is the predominant clinical manifestation, accounting for approximately 80% of morbidity in neonatal calves [2]. Diarrheal episodes in calves establish long-term vulnerabilities because of their vulnerability to subsequent respiratory and enteric infections during development, negatively impacting their growth performance, survival rates, and long-term productivity [3]. This pathological cascade directly impairs productive potential, imposing substantial economic burdens on dairy operations and the broader dairy industry.
Calf diarrhea is broadly categorized into two main etiologies: noninfectious and infectious [4]. Noninfectious causes include management-related factors, including age, genetic predisposition, environmental conditions, and husbandry practices [5]. Infectious diarrheal pathogenesis is primarily attributed to pathogenic bacteria, viral agents, and parasitic infestations, frequently involving polymicrobial co-infections [6]. Gut microbiota homeostasis plays a pivotal role in animal health, with microbial dysbiosis directly implicated in diarrheal pathogenesis and disruption of host immune homeostasis [7]. A highly diverse and stable gut microbial community is indicative of calf health [8]. Alterations in intestinal microbial communities of livestock species induce metabolic reprogramming, with microbial-derived metabolites such as short-chain fatty acids (SCFAs) critically implicated in enteric health. SCFAs, including acetate, propionate, and butyrate, are microbial metabolites that provide energy for intestinal epithelial cells, thereby promoting cellular metabolism and growth [9]. These metabolites also modulate anti-inflammatory responses to mitigate intestinal inflammation and pathological progression, particularly in diarrheal conditions [10]. Moreover, SCFAs facilitate the proliferation of probiotics while inhibiting the colonization of specific pathogens, thus helping maintain intestinal homeostasis [11]. Furthermore, they promote the growth of beneficial gut microbes and suppress the growth of harmful microorganisms [12]. The increase in the growth of beneficial microbes, in turn, enhances SCFA synthesis [13]. However, the interplay between immune-inflammatory responses, intestinal barrier dysfunction, microbial dysbiosis, and SCFA perturbations in pre-weaned calves with diarrhea remains insufficiently characterized, the aforementioned studies tend to reveal causal relationships between paired factors (for example, SCFAs improving the barrier [14], or microbial changes leading to inflammation [15]), but there remains a lack of systematic, integrative research on how all these systems dynamically and intertwinedly contribute synergistically to diarrhea within the same physiological process. This study systematically evaluated serum levels of immunological parameters, cytokine profiles, and biomarkers of intestinal barrier integrity in both healthy calves and calves with diarrhea during the lactation period. We conducted comparative analyses of fecal microbiota composition and SCFA profiles between healthy calves and calves with diarrhea through 16S rDNA high-throughput sequencing and targeted metabolomics. Furthermore, the study explored the associations among the serum levels of immunological parameters, cytokines, intestinal permeability, fecal microbiota, SCFAs, and diarrheal pathogenesis in neonatal calves. We hypothesized that diarrhea in pre-weaned calves disrupts the gut immune metabolic axis, characterized by microbial dysbiosis, reduced SCFA synthesis, increased intestinal permeability, and altered serum immune and cytokine profiles.
2. Materials and Methods
2.1. Experimental Animals
The fecal samples were collected from Holstein dairy calves with similar bodyweight and age (14 ± 2 days) at Shihezi Xijin Dairy Farm using rectal stimulation. All samples were collected in the morning before feeding. This study employed a one-time cross-sectional sampling design, with a total of 12 blood samples and 12 fecal samples collected (6 per group). This trial and subsequent data collection and processing commenced in 2024. The animal care protocol for this experiment was approved by the Animal Welfare Committee of Shihezi University (Shihezi, China; Ethics Approval No.: A2024-636). Calf fecal consistency was scored using the method proposed by Lee et al. [16]. Fecal consistency was scored as 1 = normal; 2 = soft to unformed; 3 = unformed to liquid; 4 = liquid with mucous and blood-tinged; 5 = liquid with mucous and frankly bloody. Diarrhea was defined as a score > 3. Scores of 1 and 2 indicated normal feces, whereas scores of 3–5 indicated diarrhea. Fecal scores were assigned by three independent, trained veterinarians who were blinded to the experimental grouping. Based on this scoring system, six calves with fecal scores < 3 were randomly allocated to the healthy group (H), and six calves with scores ≥ 3 were allocated to the diarrheic group (D).
All calves received standardized management: 4 L of colostrum within 1 h of post-parturition, individual pen housing, and twice-daily milk feeding (0700 h and 1600 h) with progressive volumes: 5 L/day (week 1), 6 L/day (week 2), and 7 L/day (week 3). Starter feed supplementation began on day 7, with ad libitum access to alfalfa from day 21.
2.2. Sample Collection
The fecal samples were collected from the rectal ampulla of calves. The collected samples were aliquoted into RNase/DNase-free cryogenic vials and rapidly frozen in liquid nitrogen for preservation. These samples were subsequently transferred to the laboratory and stored at −80 °C until further analysis. For blood sample processing, jugular venipuncture was performed to obtain venous blood, which was allowed to clot at an ambient temperature for 30 min. The clotted blood was then centrifuged at 4 °C and 3000× g for 15 min to separate serum fractions. The obtained serum was aliquoted into sterile microtubes and stored at −20 °C for subsequent biochemical analyses. Sampling for this trial was conducted in accordance with established protocols [17].
2.3. Biochemical Analyses
2.3.1. Serum Biochemical Parameters
The serum levels of alanine aminotransferase (ALT), total protein (TP), albumin (ALB), globulin (GLB), aspartate aminotransferase (AST), alkaline phosphatase (ALP), urea nitrogen (UN), glucose (GLU), triglycerides (TG), total cholesterol (TC), creatine kinase (CK), lactate dehydrogenase (LDH), and uric creatinine (UCr) were quantified using an Olympus AU5800 biochemical analyzer (Beckman Coulter, Inc., Brea, CA, USA).
2.3.2. Serum Immunoglobulins and Cytokines
The levels of immunoglobulin M (IgM), immunoglobulin A (IgA), immunoglobulin G (IgG), tumor necrosis factor-α (TNF-α), interleukin-10 (IL-10), interleukin-1β (IL-1β), and transforming growth factor-β (TGF-β) in calf serum were analyzed using commercial enzyme-linked immunosorbent assay (ELISA) kits (Shanghai Enzyme-linked Biotechnology Co., Ltd., Shanghai, China) following the manufacturer’s protocols. Briefly, standards and samples were added to the pre-coated plates and incubated for 90 min at 37 °C. After washing, biotin-conjugated detection antibodies were added and incubated for 60 min at 37 °C, followed by streptavidin-HRP for 30 min. After a final wash, the substrate solution was added, and the reaction was stopped after 15 min. The absorbance was measured at 450 nm.
2.3.3. Intestinal Permeability Markers
The serum levels of endotoxin (ET) and diamine oxidase (DAO) were measured using commercial ELISA kits (Shanghai Enzyme-linked Biotechnology Co., Ltd., Shanghai, China) following the manufacturer’s protocols. The specific operational steps are identical to those for the serum immunoglobulins and cytokines assay.
2.3.4. Fecal Microbiota Analysis
Total DNA was extracted from fecal samples using commercial kits (Tiangen Biotech Co., Ltd., Beijing, China). DNA concentration and purity were verified prior to 16S rDNA high-throughput sequencing performed by Novogene Co., Ltd. (Beijing, China). The V3–V4 hypervariable regions of bacterial 16S rDNA genes were amplified using universal primers, followed by sequencing on an Illumina MiSeq platform (Illumina Inc., San Diego, CA, USA). Raw sequencing data were subjected to paired-end read assembly, quality filtering, and chimera removal. High-quality sequences were clustered into operational taxonomic units (OTUs) at 97% sequence similarity using UPARSE. Representative sequences were taxonomically annotated against the SILVA bacterial database. The microbial community composition was analyzed across taxonomic levels, with alpha diversity indices (Shannon and Chao1) calculated to assess species richness and evenness. Differential biomarkers between groups were identified via Linear Discriminant Analysis Effect Size (LEfSe) analysis (https://magic.novogene.com/customer/main#/homeNew, accessed on 25 May 2024). The functional prediction of microbial metabolic pathways was conducted using PICRUSt, with subsequent annotation against the Kyoto Encyclopedia of Genes and Genomes (KEGG) database. The raw sequencing data were deposited in the NCBI Sequence Read Archive under accession number PRJNA1238555.
2.3.5. Targeted Metabolomics of SCFAs
Preparation of Samples
Metabolite extraction: The fecal samples from calves were homogenized in 1.5 mL centrifuge tubes with 500 μL of ultrapure water and 100 mg glass beads (1 min vortexing). After centrifugation at 13,400× g for 10 min at 4 °C, 200 μL of the supernatant was collected. The extract was acidified with 100 μL of 15% phosphoric acid, spiked with 20 μL of 4-methylvaleric acid (375 μg/mL; internal standard), and 280 μL of diethyl ether. The mixture was vortexed (1 min) and centrifuged at 13,400× g for 10 min at 4 °C, and the supernatant was subjected to Gas Chromatography-Mass Spectrometry (GC-MS) analysis.
GC/MS Analysis
Chromatographic conditions: Separation was performed on an Agilent HP-INNOWAX capillary column (30 m × 0.25 mm ID × 0.25 μm film thickness) in the split mode (split ratio 10:1, injection volume 1 μL). Temperatures were set as follows: injector 250 °C, ion source 300 °C, and transfer line 250 °C. The oven temperature program was started at 90 °C (held for 1 min), increased to 120 °C at a rate of 10 °C/min, then to 150 °C at the rate of 5 °C/min, and finally to 250 °C at the rate of 25 °C/min (held for 2 min). Helium carrier gas flowed at the rate of 1.0 mL/min.
Mass spectrometry conditions: The analysis was conducted using a Thermo ISQ LT single quadrupole mass spectrometer (Thermo Fisher Scientific, Waltham, WA, USA) with electron ionization (70 eV) in the selected ion monitoring mode.
2.4. Statistical Analysis
Statistical analyses were performed using SPSS 19.0 (IBM Corp., Armonk, NY, USA). One-way analysis of variance, followed by Student’s t test, was employed to assess significant differences in the serum levels of parameters and SCFAs. Statistical significance was defined as p <0.05 for all variables, including serum biomarkers, fecal microbiota, and SCFAs. Quantitative data were expressed as the mean ± standard deviation. Significant serum parameters (p < 0.05), differentially abundant fecal microbes (p < 0.05, relative abundance > 0.5%), and SCFAs (p < 0.05) were subjected to Spearman’s rank correlation analysis. Correlation heatmaps were generated via the Majorbio Cloud Platform (https://cloud.majorbio.com, accessed on 17 June 2024) to evaluate the correlations between serum biomarkers, microbial taxa, and SCFA profiles.
3. Results
3.1. Serum Levels of Biochemical Parameters
As shown in Table 1, no significant differences (p > 0.05) were observed in the serum levels of ALT, TP, ALB, GLB, ALP, UN, GLU, TG, TC, CK, LDH, and UCr between healthy calves and calves with diarrhea before weaning. However, calves with diarrhea had significantly higher serum levels of AST compared with healthy counterparts (p < 0.05).
Table 1.
Serum biochemical indicators of healthy and diarrhea calves (mean ± SD, n = 6 per group).
3.2. Serum Levels of Immunoglobulins and Cytokines
As shown in Table 2, healthy calves had significantly higher serum IgA and IgG levels compared with calves with diarrhea (p < 0.005). No significant intergroup difference was observed in IgM levels (p > 0.05). Calves with diarrhea exhibited elevated serum IL-1β and TNF-α levels compared with healthy calves (p < 0.05), besides significantly reduced interleukin-10 (IL-10) levels (p < 0.05). Although no significant intergroup difference was observed in TGF-β levels, the diarrhea group exhibited a downward trend compared to the healthy controls (p = 0.078).
Table 2.
Concentration of serum immunoglobulin and cytokines in healthy and diarrhea calves (mean ± SD, n = 6 per group).
3.3. Indicators of Serum Intestinal Permeability
As shown in Table 3, calves with diarrhea had significantly elevated serum ET and DAO levels compared with healthy calves (p < 0.05).
Table 3.
Serum intestinal permeability indexes of healthy and diarrhea calves (mean ± SD, n = 6 per group).
3.4. Multivariate Statistical Analysis of Short-Chain Fatty Acid Standards
The relative standard deviation (RSD) distribution of targeted metabolites (y-axis), with all RSD values < 15% (Figure 1A), indicated satisfactory analytical method stability and reliable quantitative results. The total ion chromatogram (TIC) profiles of mixed standards (Figure 1B) and biological samples are displayed in Figure 1C, with the x-axis indicating retention time (min) and the y-axis representing peak intensity. All seven SCFAs and the internal standard (isocaproic acid) were effectively resolved with well-defined chromatographic peaks, which confirmed the suitability of the proposed method for targeted SCFA separation and analysis. Principal component 1 (PC1) and principal component 2 (PC2) explained 88.29% and 4.85% of the total variance, respectively (Figure 1D). Distinct clustering patterns were observed between groups, indicating significant differences in SCFA profiles.
Figure 1.
Multivariate statistical analysis of short-chain fatty acid. (A), the stability of short-chain fatty acid in QC samples, the relative standard deviation (RSD) distribution of targeted metabolites (y-axis), with all RSD values < 15%, confirming method stability.; (B), TIC of mixed standard solution, and samples; (C), TIC of mixed samples; (B,C) showing well-resolved chromatographic peaks for all seven SCFAs and the internal standard (isocaproic acid) were effectively resolved with well-defined chromatographic peaks; (D), PCA score plot demonstrating clear separation between healthy (H) and diarrhea (D) groups, indicating significant differences in SCFA profiles.
3.5. Comparative Analysis of SCFAs
As shown in Table 4, healthy calves had significantly higher fecal sample of propionate, butyrate, and valerate compared with calves with diarrhea (p < 0.05). No statistically significant differences were observed in the contents of other SCFAs between groups (p > 0.05).
Table 4.
SCFAs concentrations in fecal of healthy and diarrhea calves (mean ± SD, n = 6 per group).
3.6. Fecal Microbial Changes
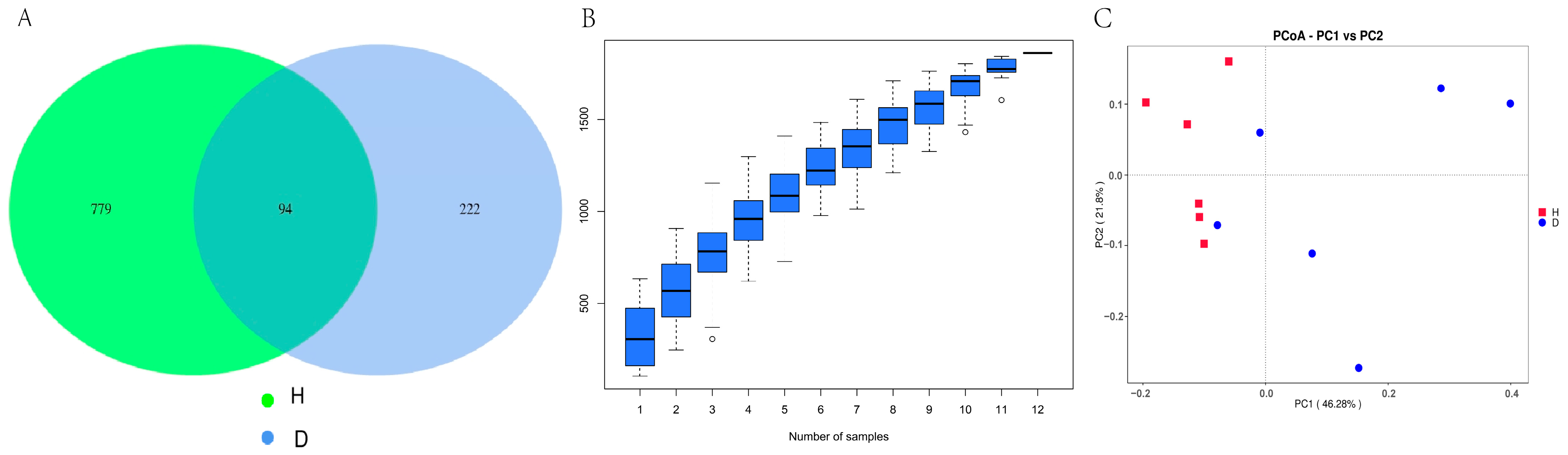
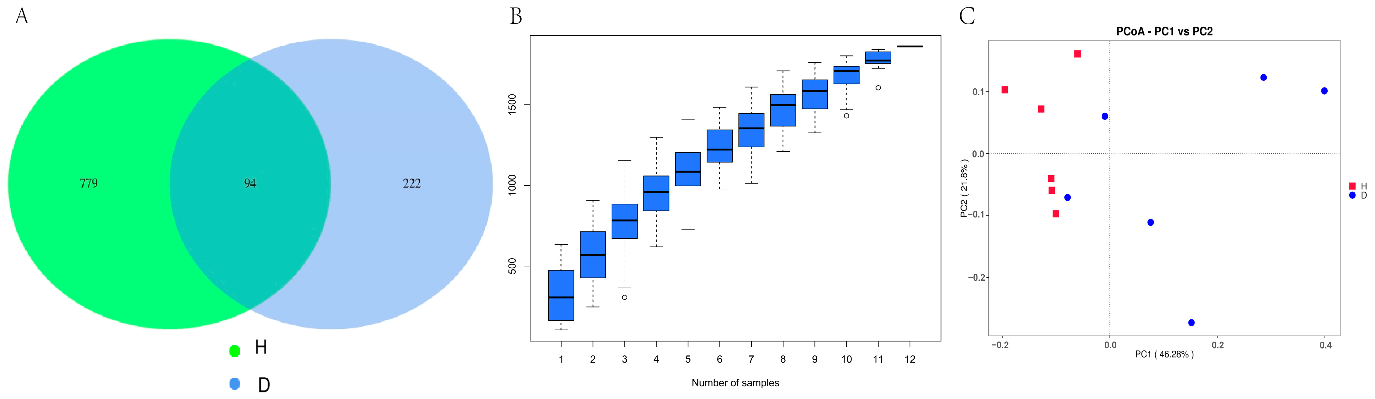
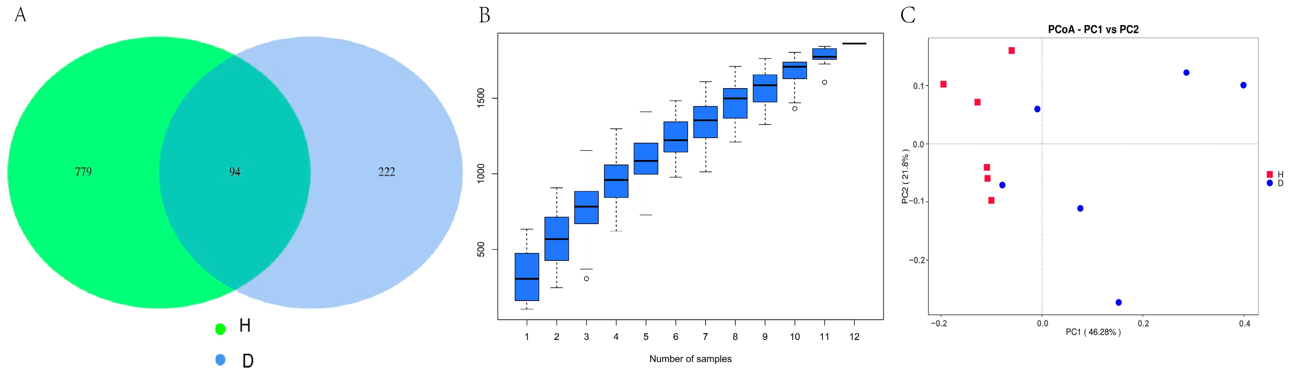
A total of 1095 OTUs were identified across groups (Figure 2A). Healthy calves and calves with diarrhea shared 94 core OTUs (8.6% of the total), whereas 779 and 222 OTUs were unique to the healthy and diarrheic groups, respectively. The species accumulation curves plateaued in rarefaction analysis (Figure 2B), indicating sufficient sequencing depth to capture microbial diversity. The principal coordinates analysis revealed distinct separation between groups, with PC1 and PC2 explaining 46.26% and 21.80% of the total variance, respectively (Figure 2C).
Figure 2.
Venn diagram, species accumulation boxplot and principal coordinate analysis in fecal of healthy and diarrhea calves. (A), Venn diagram showing 94 shared OTUs and a greater number of unique OTUs in healthy calves; (B), Species accumulation boxplot indicating sufficient sequencing depth; (C), Principal coordinate analysis (PCoA) revealing distinct clustering between groups, with PC1 and PC2 explaining 46.26% and 21.80% of the total variance, respectively. H: Healthy calves; D: Diarrhea calves.
The alpha diversity was assessed using the Chao1 index, observed features, Simpson index, and Shannon index (Table 5). Calves with diarrhea demonstrated significantly reduced Chao1 index and observed features (p < 0.05) compared with healthy calves. No significant intergroup difference was observed in Simpson index and Shannon index (p > 0.05).
Table 5.
Alpha diversity of fecal microbial of healthy and diarrhea calves (mean ± SD, n = 6 per group).
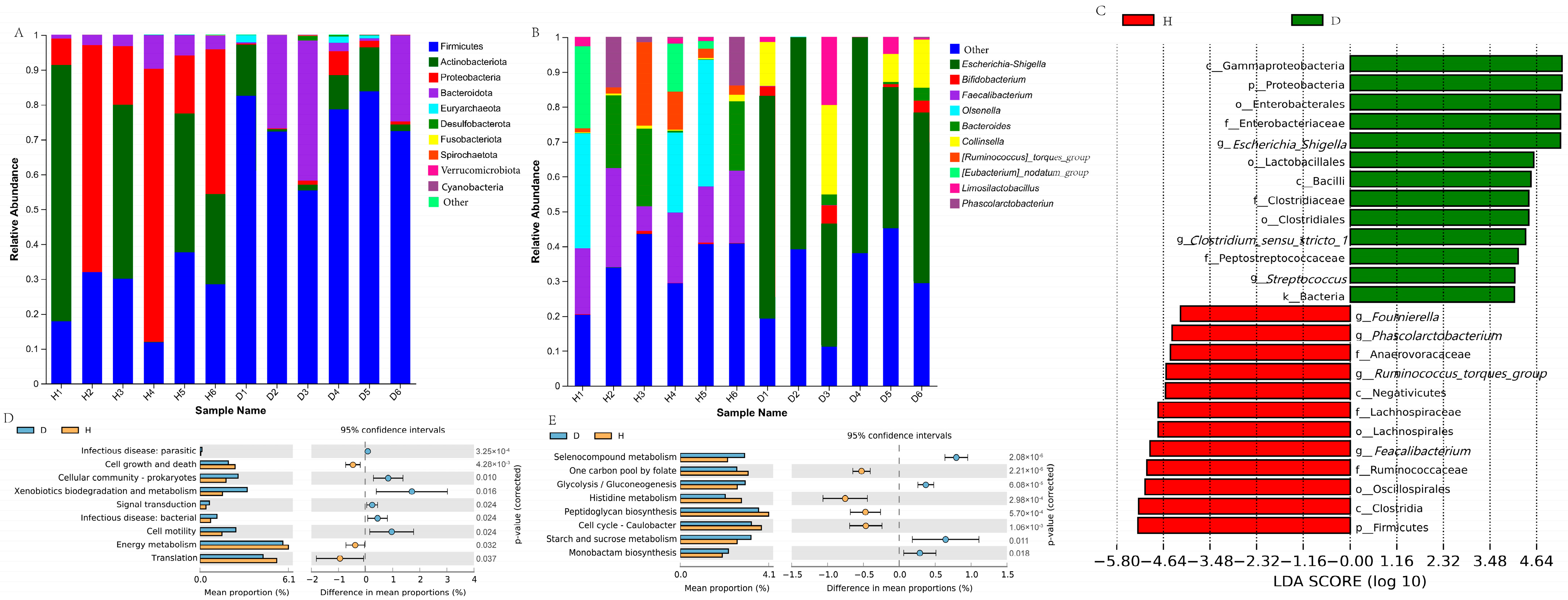
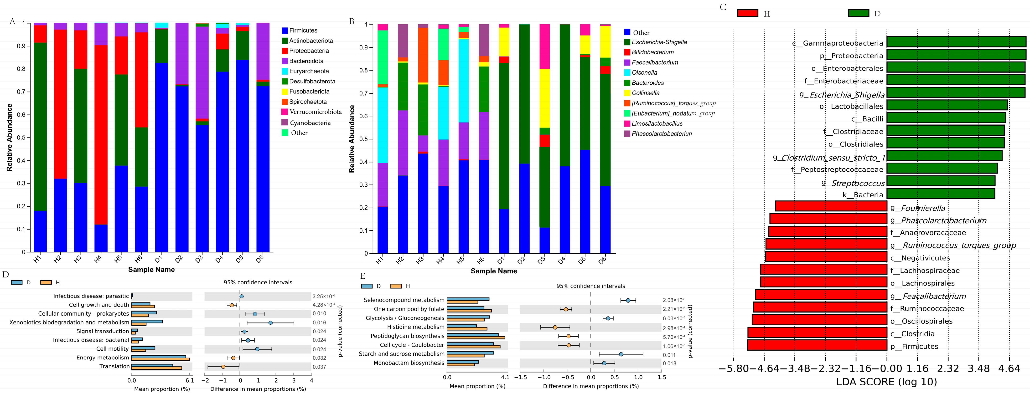
At the phylum level (Figure 3A), Firmicutes, Actinobacteria, Proteobacteria, Bacteroidetes, and Fusobacteriota dominated the fecal microbiota, collectively representing the top 10 most abundant phyla. At the genus level (Figure 3B), Escherichia-Shigella dominated in calves with diarrhea (32.53% vs. 0.001% in healthy calves), whereas Bifidobacterium (21.38% vs. 0.2%) and Faecalibacterium (10.60% vs. 1.2%) were more abundant in healthy calves. The LEfSe analysis revealed distinct microbial compositions between groups (Figure 3C). Calves with diarrhea had a significantly higher relative abundance of Escherichia-Shigella, Clostridium sensu stricto 1, and Streptococcus compared with healthy calves (p < 0.05). On the contrary, the relative abundance of Phascolarctobacterium, Ruminococcus torques group, and Faecalibacterium was significantly higher in healthy calves (p < 0.05).
Figure 3.
Microbial community composition in fecal of healthy and diarrhea calves. (A), Bacterial composition at the phylum level; (B), Bacterial composition at the genus level; (A,B) showing a marked increase in Escherichia-Shigella and decreases in Bifidobacterium and Faecalibacterium in diarrheic calves. (C), LEfSe analysis identifying specific bacterial taxa differentially enriched in each group; (D), Prediction analysis of function of fecal microbiota at level 2 of KEGG pathway; (E), Prediction analysis of function of fecal microbiota at level 3 of KEGG pathway; (D,E) highlighting upregulated pathways related to infectious diseases and metabolism in diarrheic calves, and enrichment of growth and biosynthesis pathways in healthy calves. H: Healthy calves; D: Diarrhea calves.
Functional prediction using PICRUSt2 with the KEGG database revealed differential pathway enrichment (Figure 3D). At KEGG level 2, calves with diarrhea showed upregulation in six pathways: parasitic infectious diseases, cellular community-eukaryotes, xenobiotic biodegradation/metabolism, signal transduction, bacterial infectious diseases, and cell motility. Healthy calves exhibited enrichment in three pathways: cellular growth/death, energy metabolism, and translation. At level 3 (Figure 3E), calves with diarrhea demonstrated enhanced activity in selenocompound metabolism, glycolysis/gluconeogenesis, and starch/sucrose metabolism. Healthy calves displayed upregulated folate one-carbon pool, histidine metabolism, and peptidoglycan biosynthesis pathways.
3.7. Correlation Analysis Among Immunological, Inflammatory, and Gut Permeability Markers with Fecal Microbiota
Fecal propionate level exhibited positive correlations with anti-inflammatory IL-10 level and negative correlations with the level of intestinal permeability marker DAO. The abundance of Escherichia-Shigella was positively correlated with the levels of pro-inflammatory cytokines (IL-1β and TNF-α) and markers of gut barrier dysfunction (ET and DAO). Beneficial taxa, including Faecalibacterium, demonstrated dual positive correlations with immunoglobulins (IgG and IgA) and butyrate production, but negative correlations with the levels of intestinal permeability indicators. Clostridium sensu stricto 1 displayed pro-inflammatory patterns through positive correlations with IL-1β and TNF-α, compared with Ruminococcus torques group correlated with butyrate enrichment and IL-1β reduction. The abundance of Phascolarctobacterium aligned specifically with propionate levels, highlighting metabolite-specific microbial interactions (Figure 4).
Figure 4.
Heatmap of correlation analysis between serum immunity, inflammation, intestinal permeability indexes, fecal microbiota and SCFAs of calves. The heatmap illustrates key Spearman correlations, revealing that beneficial taxa (e.g., Faecalibacterium) are positively associated with immunoglobulins and butyrate, while Escherichia-Shigella abundance aligns with pro-inflammatory cytokines and gut permeability markers.
4. Discussion
Serum biochemical parameters serve as reliable indicators of health status in livestock. AST is predominantly localized in the hepatic cytoplasm and mitochondria. It represents a specific biomarker for assessing hepatic injury severity, with elevated serum activity typically indicating hepatocellular damage. Our findings demonstrated significantly increased serum AST levels in calves with diarrhea compared with healthy counterparts (p < 0.05). This observation aligned with reports by Wang et al. [18], who documented increased AST activity in piglets with porcine epidemic diarrhea virus–induced diarrhea, thus suggesting conserved patterns of hepatic involvement across species during enteric infections.
Circulating immunoglobulin levels (IgG, IgM, and IgA) reflect immunological competence in livestock species. IgG is the predominant antibody mediating humoral immunity; it is involved in toxin neutralization and antimicrobial/antiviral defense [19]. IgM represents the initial antibody response during immune challenges, whereas IgA predominates in mucosal secretions. A comparative analysis revealed significantly reduced serum IgG and IgA levels in calves with diarrhea compared with healthy counterparts. This immunoglobulin suppression pattern has been further validated in porcine diarrheal models demonstrating concurrent decreases in IgG, IgA, and IgM levels post infection.
Cytokine dynamics in livestock under pathological conditions exhibit dual regulatory roles in inflammatory modulation. IL-10, primarily secreted by T helper 2 (Th2) cells, maintains immune homeostasis by attenuating chronic microbial/antigenic stimulation and resolving inflammatory responses, thereby establishing its status as a pivotal anti-inflammatory cytokine [20]. Our study identified elevated serum levels of pro-inflammatory cytokines (IL-1β and TNF-α) coupled with reduced IL-10 levels in calves with diarrhea compared with healthy controls. This was consistent with the findings of Gandhar et al. [21] who demonstrated systemic inflammation in bovines with diarrhea, specifically marked by increased IL-1β and TNF-α levels and decreased IL-10 level. This pro-inflammatory shift has been further corroborated in murine models of Escherichia coli-induced diarrhea [22]. TGF-β is a crucial, multifunctional cytokine with partial immunoregulatory effects. It inhibits the proliferation and activation of T cells and B cells; regulates antibody production; and induces the differentiation of regulatory T cells [23]. In this trial, TGF-β levels in both groups of calves exhibited nonsignificant changes (p = 0.078), suggesting that TGF-β may participate in partial immune regulation. The concurrent observation of a pro-inflammatory cytokine profile (elevated IL-1β and TNF-α, reduced IL-10) alongside suppressed immunoglobulin levels (IgG and IgA) suggests a potential link between systemic inflammation and impaired humoral immunity in diarrheic calves. This pattern is consistent with reports in other diarrheal models [24]. This mechanistic link between cytokine dysregulation and antibody deficiency mirrors our findings of diminished serum immunoglobulin activities in calves with diarrhea, suggesting conserved immunological pathways across species during enteric infections.
Intestinal barrier integrity plays a pivotal role in maintaining gastrointestinal health, with barrier dysfunction predisposing animals to enteropathies. Intestinal permeability, quantified using biomarkers such as DAO and ET, serves as a critical indicator of mucosal barrier competence. Elevated serum DAO levels reflect compromised intestinal epithelial integrity because this mitochondrial enzyme enters systemic circulation following enterocyte damage [25]. Concurrently, ET, which is a lipopolysaccharide component of Gram-negative bacterial membranes, translocates across impaired intestinal barriers, with serum levels having an inverse correlation with gut health. Our findings demonstrated significantly increased serum DAO and ET levels in calves with diarrhea, indicating intestinal barrier disruption. This aligned with the findings of He et al. [24] who documented concurrent elevation of the levels of these biomarkers with downregulated tight junction protein expression in the colon tissues of bovines with diarrhea, establishing mechanistic links between barrier dysfunction and molecular alterations. The pathological cascade extends beyond intestinal compromise: Circulating ET triggers systemic inflammation via pro-inflammatory cytokine induction while concurrently inducing hepatocyte damage through the gut–liver axis. This dual mechanism explains the correlations observed between elevated serum levels of AST (hepatic injury marker), pro-inflammatory cytokines (IL-1β and TNF-α), and intestinal permeability biomarkers in calves with diarrhea in our study. Such cross-organ interactions have been consistently reported across species, including murine models of infectious diarrhea [23], thus underscoring conserved pathophysiological pathways in enteric disorders.
SCFAs are small organic acids with ≤6 carbon atoms, predominantly acetate, propionate, and butyrate (collectively >95% of total SCFAs); they are microbial metabolites derived from the anaerobic fermentation of indigestible dietary fibers and resistant starches. These metabolites play dual physiological roles: providing energy for colonic epithelial cells and modulating anti-inflammatory responses to preserve intestinal barrier integrity [25]. Specifically, propionate and butyrate display potent immunoregulatory properties by suppressing inflammation suppression [26], whereas valerate exhibits complementary health benefits [13]. The marked deficit in SCFAs production, particularly butyrate, is consistent with a shift in microbial metabolism seen in dysbiotic states [27]. As a crucial mediator of gut health, butyrate deprivation not only impairs epithelial energy generation but also weakens the mucosal barrier, potentially facilitating the translocation of harmful substances and perpetuating intestinal inflammation [28]. Our findings revealed significant reductions in fecal propionate, butyrate, and valerate contents in calves with diarrhea, concomitant with elevated serum levels of biomarkers of intestinal permeability (ET and DAO). The propionate content showed positive correlations with the level of anti-inflammatory IL-10 and inverse correlations with DAO level, suggesting that SCFA depletion might exacerbate gut barrier dysfunction and inflammatory responses during neonatal diarrhea.
The gut microbiota plays pivotal roles in nutrient metabolism, immune modulation, and intestinal homeostasis. Our study revealed reduced microbial richness and diversity in calves with diarrhea, with Firmicutes, Proteobacteria, and Actinobacteria being the predominant phyla in fecal microbiota. Firmicutes is recognized for extracellular polysaccharide hydrolase production, demonstrates superior fiber-degrading capacity, and dominates ruminant gastrointestinal ecosystems [29]. Proteobacteria abundance serves as a microbial imbalance indicator, and is frequently associated with enteritis and immune dysregulation. Actinobacteria members contribute to host energy provision through carbohydrate fermentation. At the genus level, Escherichia-Shigella, Bifidobacterium, and Faecalibacterium have emerged as dominant taxa. Bifidobacterium (Actinobacteria phylum) represents a keystone commensal genus in mammalian guts, with colostrum intake critically enhancing its colonization while suppressing pathogenic Escherichia populations in neonatal ruminants [30]. This observation aligns with our findings of reduced Bifidobacterium abundance in calves with diarrhea compared with healthy counterparts, suggesting compromised microbial succession patterns in diarrhea.
Calves with diarrhea exhibited increased abundance of Proteobacteria, particularly within the Enterobacteriaceae family. E. coli (phylum Proteobacteria) represents a predominant bacterial pathogen causing neonatal calf diarrhea globally, particularly in the first four postnatal days [31]. Enterotoxigenic E. coli employs fimbrial antigens to colonize intestinal epithelia, thus disrupting gut homeostasis and inducing dysbiosis through microenvironment alteration. Our LEfSe analysis of the top 30 genera identified significantly elevated Escherichia-Shigella abundance in calves with diarrhea, correlating positively with intestinal permeability markers (ET and DAO) and pro-inflammatory cytokines (IL-1β and TNF-α). These observations aligned with the pathogenic mechanisms evidenced in previous studies: (1) E. coli disrupts intestinal tight junctions to increase permeability [32]; (2) it suppresses intestinal trefoil factor–mediated mucosal repair and anti-inflammatory responses [24]; and (3) exacerbates systemic inflammation through cytokine induction. Such multifactorial pathogenesis underscores the central role of Escherichia-Shigella in diarrheic gut barrier dysfunction and inflammatory cascades.
Faecalibacterium (phylum Firmicutes) is a butyrate-producing commensal genus exerting anti-inflammatory effects through metabolites including butyrate, formate, and D-lactate, while promoting intestinal barrier repair. Our findings aligned with the results of Xin et al. [13] who demonstrated an inverse correlation between the abundance of Faecalibacterium and the incidence of diarrhea, thus supporting its proposed role as an effective probiotic in mitigating diarrhea in neonatal calves. Specifically, calves with diarrhea exhibited reduced abundance of Faecalibacterium concomitant with decreased butyrate content and impaired barrier function. The observed positive correlations between the abundance of Faecalibacterium and the levels of immunoglobulins (IgG and IgA) and anti-inflammatory IL-10, besides negative correlations with the levels of intestinal permeability markers (ET and DAO), suggest dual immunomodulatory mechanisms. The experimental evidence indicates that Faecalibacterium modulates inflammatory responses through IL-12 suppression and IL-10 induction [33].
Interestingly, in contrast to some studies that associate Clostridium with reduced inflammation [34,35], our study found positive correlations between Clostridium sensu stricto 1 and pro-inflammatory markers (IL-1β, TNF-α) as well as DAO. This observation is, however, consistent with reports of increased Clostridium abundance in calves with hemorrhagic diarrhea [36], indicating that the role of this genus may be context or subtype-specific.
Streptococcus has been increasingly implicated in gut inflammation across species. Ma et al. [37] identified an inverse correlation between streptococcal abundance and colostral IgG transfer efficiency in calves, which increases the risk of pathogenic colonization in the ileal epithelium. The pathological relevance of this genus was further evidenced by Zhao et al. [38], who observed Streptococcus enrichment in colitis-affected porcine colons. In our study, the elevated fecal abundance of Streptococcus in diarrheic calves, along with its positive correlation with intestinal permeability and pro-inflammatory cytokines, aligns with findings from other species where Streptococcus has been associated with gut inflammation [39]. This suggests that Streptococcus may play a similar pro-inflammatory role in calf diarrhea.
Phascolarctobacterium, a beneficial commensal genus involved in nutrient metabolism, plays a role in maintaining intestinal homeostasis by converting succinate into SCFAs such as acetate and propionate, thereby preserving microbial equilibrium and host metabolic health [40]. Its pathophysiological significance is evidenced by the correlation of reduced feacal abundance with systemic SCFA depletion in patients with type 2 diabetes [41] and positive correlations with the levels of ileal immune markers in broilers, suggesting immunomodulatory potential [42]. Our findings aligned with these observations, which demonstrated a significantly higher abundance of Phascolarctobacterium in healthy calves compared with calves with diarrhea, besides a positive correlation with propionate levels. This dual metabolic–immunological role suggests that Phascolarctobacterium depletion in calves with diarrhea may disrupt both SCFA-mediated barrier protection and immune maturation processes, thus potentially exacerbating enteric dysfunction.
Our study demonstrated a significantly reduced abundance of Ruminococcus torques group in calves with diarrhea compared with healthy counterparts, with its relative abundance positively correlated with butyrate content and negatively correlated with the level of pro-inflammatory IL-1β. Classified within the family Ruminococcaceae, this fibrolytic genus degrades recalcitrant dietary fibers to produce SCFAs, particularly butyrate; butyrate is a metabolite critical for colonic epithelial energy supply and anti-inflammatory regulation [43]. In human studies, the abundance of Ruminococcus torques group was inversely correlated with intestinal inflammation through butyrate-mediated suppression of NF-κB signaling [44]. This protective role was further supported by Wan et al. [45], who identified its enrichment during colitis remission, thereby proposing it as a potential probiotic candidate.
The PICRUSt functional prediction revealed enriched microbial metabolic pathways related to bacterial infectious diseases in calves with diarrhea, thus aligning with our findings of elevated abundance of Escherichia-Shigella in this group. Selenium metabolism emerged as a critical compensatory mechanism, as evidenced by upregulated selenocompound pathways in calves with diarrhea. Selenium is crucial in maintaining the intestinal barrier, with studies demonstrating its capacity to mitigate enterocyte apoptosis induced by mycotoxins [46] and restore tight junction protein expression during E. coli infection in weaned piglets [47]. The concurrent elevation of serum levels of DAO, ET, and selenium-related pathways in calves with diarrhea suggests microbial-driven compensatory selenium metabolism to counteract barrier dysfunction. Enhanced glycolytic pathway activity in calves with diarrhea was correlated with systemic inflammation, characterized by elevated IL-1β and TNF-α levels. Glycolysis regulates immunometabolic crosstalk by modulating macrophage polarization and pro-inflammatory cytokine production [48]. This mechanism is conserved across species, as evidenced by murine pneumonia models where microbial-derived succinate amplifies glycolytic flux to exacerbate inflammation [49].
This study systematically analyzed the characteristics of serum biochemical parameters, serum immunity, cytokines, intestinal permeability, and fecal microbiota and SCFAs in pre-weaning calves with diarrhea and healthy calves. The correlation analysis revealed potential correlations between serum biomarkers, differential microbes, and SCFAs, providing foundational insights into the impact of diarrhea on calf health. However, this study had the following limitations: (1) origin of all samples from a single farm, (2) lack of etiological identification for diarrhea, and (3) exclusive use of fecal content failing to reflect microbial/SCFA variations across intestinal regions. Future studies should investigate microbiota and metabolite changes under different management practices and etiologies of diarrhea, while clarifying the causal relationships among immune dysfunction, inflammation, and microbial alterations.
5. Conclusions
In conclusion, our study demonstrates that neonatal calf diarrhea is characterized by a complex pathophysiology involving systemic inflammation, impaired immunity, and compromised intestinal barrier function. These systemic alterations are closely linked to profound dysbiosis in the gut microbiota. Specifically, we identified a decrease in beneficial SCFA-producing genera (e.g., Faecalibacterium and Phascolarctobacterium) concurrent with an expansion of potentially pathogenic bacteria (e.g., Escherichia-Shigella and Streptococcus). This microbial imbalance was further associated with a marked reduction in key fecal SCFAs, particularly propionate, butyrate, and valerate. Critically, correlation analysis revealed that these specific microbial and metabolic alterations (e.g., the abundance of Escherichia-Shigella and Faecalibacterium, and the levels of propionate and butyrate) were significantly associated with the perturbations in host systemic immunity (immunoglobulins IgG/IgA, IL-1β, TNF-α, IL-10) and intestinal permeability (DAO, ET). Our findings provide a holistic overview of the interplay between the gut ecosystem and host health in diarrheic calves, highlighting potential targets for future interventions.
Author Contributions
Conceptualization, J.N.; methodology, P.G. and Q.L.; software, Y.T. and Q.W.; validation, J.N., P.G. and S.P.; formal analysis, J.N., P.G. and S.P.; investigation, P.G. and S.P.; resources, J.N.; data curation, P.G. and S.P.; writing—original draft preparation, P.G. and S.P.; writing—review and editing, P.G., S.P., Y.T., Q.W., Q.L., W.Z., C.N., K.L. and J.N.; visualization, P.G. and S.P.; supervision, J.N.; project administration, J.N.; funding acquisition, J.N. All authors have read and agreed to the published version of the manuscript.
Funding
This study was supported by the National Natural Science Foundation of China (32260855) and Shihezi University Youth Innovative Talent Cultivation Plan (CXBJ202310).
Institutional Review Board Statement
All experimental procedures followed the guidelines for animal experimentations approved by the Laboratory Animal Ethics Committee of Shihezi University, China (Approval no: A2024-636; date of approval: March 2024).
Data Availability Statement
The raw sequencing data were deposited in the NCBI Sequence Read Archive under accession number PRJNA1238555.
Acknowledgments
We thank the faculty of the School of Animal Science and Technology and members of the Animal Nutrition and Feed Science Laboratory, especially Wenju Zhang and Yanyan Wu for their assistance in the collecting of samples, and Novogene Co., Ltd. for the short chain fatty acids and 16S rDNA sequencing of calf fecal sample.
Conflicts of Interest
The authors declare no conflicts of interest.
References
- Mee, J.F. Invited review: Bovine neonatal morbidity and mortality—Causes, risk factors, incidences, sequelae and prevention. Reprod. Domest. Anim. 2023, 58, 15–22. [Google Scholar] [CrossRef]
- Dall Agnol, A.M.; Lorenzetti, E.; Leme, R.A.; Ladeia, W.A.; Mainardi, R.M.; Bernardi, A.; Headley, S.A.; Freire, R.L.; Pereira, U.P.; Alfieri, A.F.; et al. Severe outbreak of bovine neonatal diarrhea in a dairy calf rearing unit with multifactorial etiology. Braz. J. Microbiol. 2021, 52, 2547–2553. [Google Scholar] [CrossRef]
- Alomari, M.M.M.; Dec, M.; Nowaczek, A.; Puchalski, A.; Wernicki, A.; Kowalski, C.; Urban-Chmiel, R. Therapeutic and prophylactic effect of the experimental bacteriophage treatment to control diarrhea caused by E. coli in newborn calves. ACS Infect. Dis. 2021, 7, 2093–2101. [Google Scholar] [CrossRef]
- Whon, T.W.; Kim, H.S.; Shin, N.R.; Sung, H.; Kim, M.S.; Kim, J.Y.; Kang, W.; Kim, P.S.; Hyun, D.W.; Seong, H.J.; et al. Calf diarrhea caused by prolonged expansion of autochthonous gut Enterobacteriaceae and their lytic bacteriophages. Msystems 2021, 6, 10–1128. [Google Scholar] [CrossRef] [PubMed]
- Ates, O.; Yesilbag, K. Characterization of bovine rotavirus isolates from diarrheic calves in Türkiye. Mol. Biol. Rep. 2023, 50, 3063–3071. [Google Scholar] [CrossRef] [PubMed]
- Brunauer, M.; Roch, F.-F.; Conrady, B. Prevalence of worldwide neonatal calf diarrhoea caused by Bovine rotavirus in combination with Bovine coronavirus, Escherichia coli K99 and Cryptosporidium spp.: A Meta-analysis. Animals 2021, 11, 1014. [Google Scholar] [CrossRef] [PubMed]
- Pilla, R.; Suchodolski, J.S. The Role of the canine gut microbiome and metabolome in health and gastrointestinal disease. Front. Vet. Sci. 2020, 6, 498. [Google Scholar] [CrossRef]
- Ma, T.; Villot, C.; Renaud, D.; Skidmore, A.; Chevaux, E.; Steele, M.; Guan, L.L. Linking perturbations to temporal changes in diversity, stability, and compositions of neonatal calf gut microbiota: Prediction of diarrhea. ISME J. 2020, 14, 2223–2235. [Google Scholar] [CrossRef]
- Diao, H.; Jiao, A.R.; Yu, B.; Mao, X.B.; Chen, D.W. Gastric infusion of short-chain fatty acids can improve intestinal barrier function in weaned piglets. Genes Nutr. 2019, 14, 4. [Google Scholar] [CrossRef]
- Sadler, R.; Cramer, J.V.; Heindl, S.; Kostidis, S.; Betz, D.; Zuurbier, K.R.; Northoff, B.H.; Heijink, M.; Goldberg, M.P.; Plautz, E.J.; et al. Short chain fatty acids improve poststroke recovery via immunological mechanisms. J. Neurosci. 2020, 40, 1162–1173. [Google Scholar] [CrossRef]
- Wu, Y.; Zhang, X.; Han, D.; Pi, Y.; Tao, S.; Zhang, S.; Wang, S.; Zhang, J.; Chen, L.; Wang, J. Early life administration of milk fat globule membrane promoted SCFA-producing bacteria colonization, intestinal barriers and growth performance of neonatal piglets. Anim. Nutr. 2021, 7, 346–355. [Google Scholar] [CrossRef]
- Regassa, A.; Nyachoti, C.M. Application of resistant starch in swine and poultry diets with particular reference to gut health and function. Anim. Nutr. 2018, 4, 305–310. [Google Scholar] [CrossRef]
- Xin, H.; Ma, T.; Xu, Y.; Chen, G.; Chen, Y.; Villot, C.; Renaud, D.L.; Steele, M.A.; Guan, L.L. Characterization of fecal branched-chain fatty acid profiles and their associations with fecal microbiota in diarrheic and healthy dairy calves. J. Dairy Sci. 2021, 104, 2290–2301. [Google Scholar] [CrossRef] [PubMed]
- Zhang, Q.; Liu, X.; Sun, C.; Wang, M.; Ji, X.; Li, S.; Jin, E.; Zhang, F. Linarin alleviates colonic barrier dysfunction induced by enterotoxic Escherichia coli in weaned piglets by regulating the gut microbiota and metabolic pathways. Front. Immunol. 2025, 16, 1631991. [Google Scholar] [CrossRef]
- Han, X.; Hu, X.; Jin, W.; Liu, G. Dietary nutrition, intestinal microbiota dysbiosis and post-weaning diarrhea in piglets. Anim. Nutr. 2024, 17, 188–207. [Google Scholar] [CrossRef]
- Lee, H.J.; Khan, M.A.; Lee, W.S.; Yang, S.H.; Kim, S.B.; Ki, K.S.; Kim, H.S.; Ha, J.K.; Choi, Y.J. Influence of equalizing the gross composition of milk replacer to that of whole milk on the performance of Holstein calves. J. Anim. Sci. 2009, 87, 1129–1137. [Google Scholar] [CrossRef] [PubMed]
- Gao, P.; Pang, S.; Wang, Q.; Tang, Y.; Li, Q.; Zhang, W.; Nie, C.; Ma, X.; Niu, J. Clostridium butyricum Supplementation Reduces Diarrhea in Preweaning Calves by Modulating Fecal Short-Chain Fatty Acids and Gut Microbiota. Microorganisms 2025, 13, 1993. [Google Scholar] [CrossRef]
- Wang, S.; Xu, P.; Zheng, L.; Qi, Y.; Liu, Z.; He, L.; Liu, C.; Hou, Y.; Guo, S.; Tong, Q.; et al. Effects of tannic acid on growth performance, intestinal barrier function and antioxidant capacity of piglets infected with porcine epidemic diarrhea virus. Chin. J. Anim. Nutr. 2023, 35, 4276–4286. Available online: https://link.cnki.net/urlid/11.5461.S.20230620.1634.076 (accessed on 21 October 2024).
- Megha, K.B.; Mohanan, P.V. Role of immunoglobulin and antibodies in disease management. Int. J. Biol. Macromol. 2021, 169, 28–38. [Google Scholar] [CrossRef]
- Li, Q.; Cui, Y.; Xu, B.; Wang, Y.; Lv, F.; Li, Z.; Li, H.; Chen, X.; Peng, X.; Chen, Y.; et al. Main active components of Jiawei Gegen Qinlian Decoction protects against ulcerative colitis under different dietary environments in a gut microbiota-dependent manner. Pharmacol. Res. 2021, 170, 105694. [Google Scholar] [CrossRef]
- Gandhar, J.S.; De, U.K.; Kala, A.; Malik, Y.S.; Yadav, S.; Paul, B.R.; Dixit, S.K.; Sircar, S.; Chaudhary, P.; Patra, M.K.; et al. Efficacy of microencapsulated probiotic as adjunct therapy on resolution of diarrhea, copper-zinc homeostasis, immunoglobulins, and inflammatory markers in serum of spontaneous rotavirus-infected diarrhoetic calves. Probiotics Antimicrob. Proteins 2022, 14, 1054–1066. [Google Scholar] [CrossRef]
- Jia, Z.; Chen, A.; Bao, F.; He, M.; Gao, S.; Xu, J.; Zhang, X.; Niu, P.; Wang, C. Effect of nisin on microbiome-brain-gut axis neurochemicals by Escherichia coli-induced diarrhea in mice. Microb. Pathog. 2018, 119, 65–71. [Google Scholar] [CrossRef]
- De Araújo Farias, V.; Carrillo-Gálvez, A.B.; Martin, F.; Anderson, P. TGF-β and mesenchymal stromal cells in regenerative medicine, autoimmunity and cancer. Cytokine Growth Factor Rev. 2018, 43, 25–37. [Google Scholar] [CrossRef]
- He, L.; Wang, C.; Simujide, H.; Aricha, H.; Zhang, J.; Liu, B.; Zhang, C.; Cui, Y.; Aorigele, C. Effect of early pathogenic Escherichia coli infection on the intestinal barrier and immune function in newborn calves. Front. Cell. Infect. Microbiol. 2022, 12, 818276. [Google Scholar] [CrossRef]
- Álvarez-Mercado, A.I.; Navarro-Oliveros, M.; Robles-Sánchez, C.; Plaza-Díaz, J.; Sáez-Lara, M.J.; Muñoz-Quezada, S.; Fontana, L.; Abadía-Molina, F. Microbial population changes and their relationship with human health and disease. Microorganisms 2019, 7, 68. [Google Scholar] [CrossRef]
- Markowiak-Kopec, P.; Slizewska, K. The effect of probiotics on the production of short-chain fatty acids by human intestinal microbiome. Nutrients 2020, 12, 1107. [Google Scholar] [CrossRef] [PubMed]
- Yuan, M.; Gao, K.; Peng, K.; Bi, S.; Cui, X.; Liu, Y. A Review of Nutritional Regulation of Intestinal Butyrate Synthesis: Interactions Between Dietary Polysaccharides and Proteins. Foods 2025, 14, 3649. [Google Scholar] [CrossRef]
- Van den Abbeele, P.; Poppe, J.; Baudot, A.; Dai Vu, L. Triacetin and a Mushroom Blend Restore Butyrate Production by IBS Microbiomes Ex Vivo, Thus Promoting Barrier Integrity. Int. J. Mol. Sci. 2025, 26, 9388. [Google Scholar] [CrossRef] [PubMed]
- Pinnell, L.J.; Reyes, A.A.; Wolfe, C.A.; Weinroth, M.D.; Metcalf, J.L.; Delmore, R.J.; Belk, K.E.; Morley, P.S.; Engle, T.E. Bacteroidetes and firmicutes drive differing microbial diversity and community composition among micro-environments in the bovine rumen. Front. Vet. Sci. 2022, 9, 897996. [Google Scholar] [CrossRef]
- Li, Z.; Wang, X.; Zhang, T.; Si, H.; Nan, W.; Xu, C.; Guan, L.; Wright, A.D.G.; Li, G. The development of microbiota and metabolome in small intestine of sika deer (Cervus nippon) from birth to weaning. Front. Microbiol. 2018, 9, 4. [Google Scholar] [CrossRef]
- Foster, D.; Smith, G.W. Pathophysiology of diarrhea in calves. Vet. Clin. N. Am.-Food Anim. Pract. 2009, 25, 13–36. [Google Scholar] [CrossRef] [PubMed]
- Awad, W.A.; Hess, C.; Hess, M. Enteric pathogens and their toxin induced disruption of the intestinal barrier through alteration of tight junctions in chickens. Toxins 2017, 9, 60. [Google Scholar] [CrossRef]
- Hansen, R.; Russell, R.K.; Reiff, C. Microbiota of de-novo pediatric IBD: Increased Faecalibacterium prausnitzii and reduced bacterial diversity in Crohn’s but not in ulcerative colitis. Am. J. Gastroenterol. 2012, 107, 1913–1922. [Google Scholar] [CrossRef] [PubMed]
- Ma, L.; Shen, Q.; Lyu, W.; Lv, L.; Wang, W.; Yu, M.; Yang, H.; Tao, S.; Xiao, Y. Clostridium butyricum and its derived extracellular vesicles modulate gut homeostasis and ameliorate acute experimental colitis. Microbiol. Spectr. 2022, 10, e01368-22. [Google Scholar] [CrossRef]
- Liu, Y.; Zhang, H.; Xie, A.; Sun, J.; Yang, H.; Li, J.; Li, Y.; Chen, F.; Mei, Y.; Liang, Y. Lactobacillus rhamnosus and L. plantarum combination treatment ameliorated colitis symptoms in a mouse model by altering intestinal microbial composition and suppressing inflammatory response. Mol. Nutr. Food Res. 2023, 67, 2200340. [Google Scholar] [CrossRef]
- Zeineldin, M.M.; Aldridge, B.M.; Lowe, J. Dysbiosis of the fecal microbiota in feedlot cattle with hemorrhagic diarrhea. Microb. Pathog. 2018, 115, 123–130. [Google Scholar] [CrossRef]
- Ma, T.; O’hara, E.; Song, Y.; Fischer, A.J.; He, Z.; Steele, M.A.; Guan, L.L. Altered mucosa-associated microbiota in the ileum and colon of neonatal calves in response to delayed first colostrum feeding. J. Dairy Sci. 2019, 102, 7073–7086. [Google Scholar] [CrossRef]
- Zhao, X.; Jiang, L.; Fang, X.; Guo, Z.; Wang, X.; Shi, B.; Meng, Q. Host-microbiota interaction-mediated resistance to inflammatory bowel disease in pigs. Microbiome 2022, 10, 115. [Google Scholar] [CrossRef]
- Sheedy, J.R.; Wettenhall, R.E.; Scanlon, D.; Gooley, P.R.; Lewis, D.P.; Mcgregor, N.; Stapleton, D.I.; Butt, H.L.; De Meirleir, K.L. Increased d-lactic acid intestinal bacteria in patients with chronic fatigue syndrome. Vivo 2009, 23, 621–628. Available online: https://iv.iiarjournals.org/content/23/4/621 (accessed on 2 December 2024).
- Wu, F.; Guo, X.; Zhang, J.; Zhang, M.; Ou, Z.; Peng, Y. Phascolarctobacterium faecium abundant colonization in human gastrointestinal tract. Exp. Ther. Med. 2017, 14, 3122–3126. [Google Scholar] [CrossRef]
- Salamone, D.; Rivellese, A.A.; Vetrani, C. The relationship between gut microbiota, short-chain fatty acids and type 2 diabetes mellitus: The possible role of dietary fibre. Acta Diabetol. 2021, 58, 1131–1138. [Google Scholar] [CrossRef]
- Liu, Y.; Feng, Y.; Yang, X.; Lv, Z.; Li, P.; Zhang, M.; Wei, F.; Jin, X.; Hu, Y.; Guo, Y.; et al. Mining chicken ileal microbiota for immunomodulatory microorganisms. ISME J. 2023, 17, 758–774. [Google Scholar] [CrossRef]
- Zhang, L.; Ouyang, Y.; Li, H.; Shen, L.; Ni, Y.; Fang, Q.; Wu, G.; Qian, L.; Xiao, Y.; Zhang, J.; et al. Metabolic phenotypes and the gut microbiota in response to dietary resistant starch type 2 in normal-weight subjects: A randomized crossover trial. Sci. Rep. 2019, 9, 4736. [Google Scholar] [CrossRef]
- Larsen, J.M. The immune response to Prevotella bacteria in chronic inflammatory disease. Immunology 2017, 151, 363–374. [Google Scholar] [CrossRef]
- Wan, F.; Wang, M.; Zhong, R.; Chen, L.; Han, H.; Liu, L.; Zhao, Y.; Lv, H.; Hou, F.; Yi, B.; et al. Supplementation with chinese medicinal plant extracts from Lonicera hypoglauca and Scutellaria baicalensis mitigates colonic inflammation by regulating oxidative stress and gut microbiota in a colitis mouse model. Front. Cell. Infect. Microbiol. 2021, 11, 798052. [Google Scholar] [CrossRef]
- Yan, S.; Qiao, L.; Dou, X.; Song, X.; Chen, Y.; Zhang, B.; Xu, C. Biogenic selenium nanoparticles by Lactobacillus casei ATCC 393 alleviate the intestinal permeability, mitochondrial dysfunction and mitophagy induced by oxidative stress. Food Funct. 2021, 12, 7068–7080. [Google Scholar] [CrossRef]
- Zha, A.; Tu, R.; Qi, M.; Tan, B.; Liao, P.; Wu, C.; Yin, Y. Mannan oligosaccharides selenium ameliorates intestinal mucosal barrier and regulate intestinal microbiota to prevent Enterotoxigenic Escherichia coli-induced diarrhea in weaned piglets. Ecotoxicol. Environ. Saf. 2023, 264, 115448. [Google Scholar] [CrossRef]
- He, Y.; Zhang, L.; Feng, J.; Jie, Z. The role of hypoxia inducible factor-lα on inflammation mediated by HlNl infected macrophage. J. Microbes Infect. 2021, 16, 164–170. [Google Scholar] [CrossRef]
- Tomlinson, K.L.; Riquelme, S.A.; Baskota, S.U.; Drikic, M.; Monk, I.R.; Stinear, T.P.; Lewis, I.A.; Prince, A.S. Staphylococcus aureus stimulates neutrophil itaconate production that suppresses the oxidative burst. Cell Rep. 2023, 42, 112064. [Google Scholar] [CrossRef]
Disclaimer/Publisher’s Note: The statements, opinions and data contained in all publications are solely those of the individual author(s) and contributor(s) and not of MDPI and/or the editor(s). MDPI and/or the editor(s) disclaim responsibility for any injury to people or property resulting from any ideas, methods, instructions or products referred to in the content. |
© 2025 by the authors. Licensee MDPI, Basel, Switzerland. This article is an open access article distributed under the terms and conditions of the Creative Commons Attribution (CC BY) license (https://creativecommons.org/licenses/by/4.0/).



