Effects of Particle Segregation and Grain Pressure on Ventilation Airflow and Temperature–Humidity Distribution in Maize Pilot Silo
Abstract
1. Introduction
2. Materials and Methods
2.1. Experimental Materials and Porosity Measurement
2.2. Analysis of Vertical Pressure in the Maize Bulk
2.3. Experimental Setup and Methods
2.4. Data Monitoring and Recording
2.5. Governing Equations for Ventilation in Heterogeneous Porosity Media
2.6. Physical Model and Mesh Generation
2.7. Data Processing
3. Results
3.1. Relationship Between Vertical Pressure and Porosity
3.2. Vertical Pressure Distribution
3.3. Anisotropic Porosity Distribution
3.4. Temperature Variation
3.5. Relative Humidity
3.6. Numerical Model Validation
3.7. Effect of Porosity Distribution on Airflow Velocity
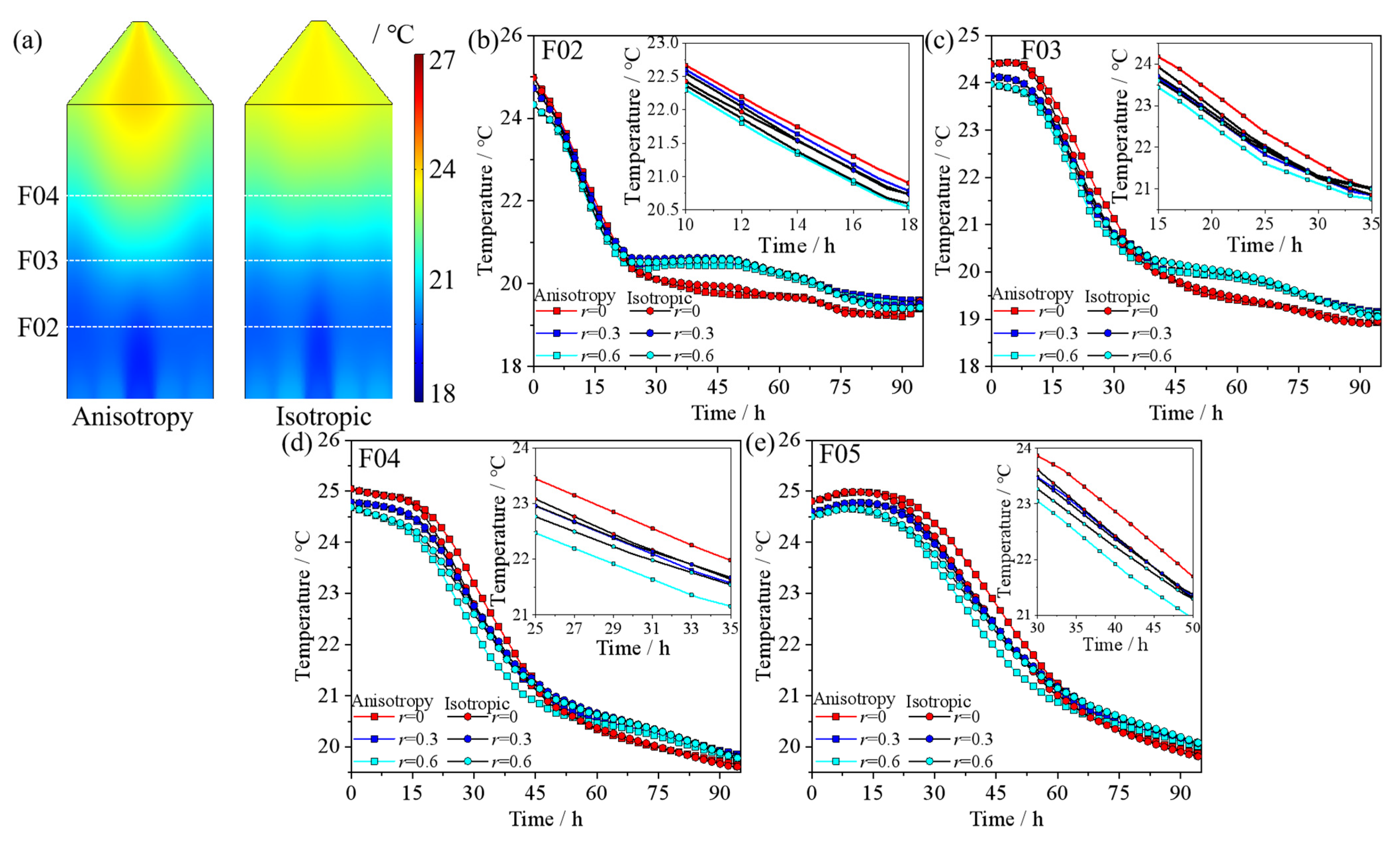
3.8. Effect of Porosity Distribution on Temperature and Relative Humidity
3.9. TFC
4. Discussion
4.1. Effects of Compaction and Segregation on Porosity Distribution
4.2. Effects of Porosity Distribution on Airflow
4.3. Effects of Airflow Distribution on Temperature and Relative Humidity
5. Conclusions
- The vertical pressure within the maize bulk decreases nonlinearly from the silo wall toward the center, and this non-uniformity becomes more pronounced with increasing depth. The self-weight of the grain compacts the lower layers, resulting in a 2.8% higher average porosity at the surface compared to the bottom of the silo.
- Porosity distribution affects airflow and heat and moisture transfer during the ventilation process. The flow velocities of F03, F04, and F05 are 10.8%, 19.2%, and 20.3% lower than that of F02, respectively. Relative humidity exhibits a gradient variation along the depth of the grain bulk. Compared to the center of the silo, the porosity near the wall is higher, and the airflow velocity near the wall is 13.4% higher than that at the center. The cooling rate is also higher near the wall compared to the center of the maize bulk.
- The airflow velocity based on the isotropic porosity model is higher at the center than that predicted by the anisotropic model, while the opposite trend is observed near the silo wall. Local temperature within the maize bulk shows a strong correlation with airflow velocity.
- The temperature front during ventilation based on the anisotropic porosity model exhibits a concave curve. A nonlinear model was developed to predict this temperature front during maize bulk ventilation, which shows strong agreement with computational data. The findings are positioned to provide theoretical insight and technical guidance for optimizing grain storage ventilation strategies and predicting cooling front dynamics.
Author Contributions
Funding
Institutional Review Board Statement
Informed Consent Statement
Data Availability Statement
Conflicts of Interest
References
- National Bureau of Statistics. China Statistical Yearbook; China Statistics Press: Beijing, China, 2020. Available online: https://www.stats.gov.cn/sj/ndsj/2024/indexch.htm (accessed on 15 August 2025).
- Jian, F.J.; Narendran, R.B.; Jayas, D.S. Segregation in stored grain bulks: Kinematics, dynamics, mechanisms, and minimization—A review. J. Stored Prod. Res. 2019, 81, 11–21. [Google Scholar] [CrossRef]
- Lawrence, J.; Maier, D.E. Three-dimensional airflow distribution in a maize silo with peaked, levelled and cored grain mass configurations. Biosyst. Eng. 2011, 110, 321–329. [Google Scholar] [CrossRef]
- Ziegler, V.; Paraginski, R.T.; Ferreira, C.D. Grain storage systems and effects of moisture, temperature and time on grain quality—A review. J. Stored Prod. Res. 2021, 91, 101770. [Google Scholar] [CrossRef]
- Ge, M.M.; Chen, G.X.; Liu, W.L.; Liu, C.S.; Zheng, D.Q. Study on the pore structure characteristics of maize grain piles and their effects on air flow distribution. Comput. Electron. Agric. 2024, 224, 109136. [Google Scholar] [CrossRef]
- Fan, Y.; Jacob, K.V.; Freireich, B.; Lueptow, R.M. Segregation of granular materials in bounded heap flow: A review. Powder Technol. 2017, 312, 67–88. [Google Scholar] [CrossRef]
- Nourmohamadi-Moghadami, A.; Zare, D.; Singh, C.B.; Stroshine, R.L. Filling of a grain silo. part 1: Investigation of fine material distribution in a small scale centre-filled silo. Biosyst. Eng. 2020, 191, 145–156. [Google Scholar] [CrossRef]
- Ramaj, I.; Schock, S.; Karaj, S.; Müller, J. Influence of self-compaction on the airflow resistance of aerated wheat bulks (Triticum aestivum L., cv. ‘Pionier’). Appl. Sci. 2022, 12, 8909. [Google Scholar] [CrossRef]
- Bhadra, R.; Casada, M.E.; Turner, A.P.; Montross, M.D.; Thompson, S.A.; McNeill, S.G.; Maghirang, R.G.; Boac, J.M. Stored grain pack factor measurements for soybeans, grain sorghum, oats, barley, and wheat. Trans. ASABE 2018, 61, 747–757. [Google Scholar] [CrossRef]
- Bhadra, R.; Turner, A.P.; Casada, M.E.; Montross, M.D.; Thompson, S.A.; Boac, J.M.; McNeill, S.G.; Maghirang, R.G. Pack factor measurements for corn in grain storage bins. Trans. ASABE 2015, 58, 879–890. [Google Scholar] [CrossRef]
- Turner, A.P.; Montross, M.D.; McNeill, S.G.; Sama, M.P.; Casada, M.E.; Boac, J.M.; Bhadra, R.; Maghirang, R.G.; Thompson, S.A. Modeling the compressibility behavior of hard red wheat varieties. Trans. ASABE 2016, 59, 1029–1038. [Google Scholar] [CrossRef]
- Molenda, M.; Montross, D.M.; McNeill, G.S.; Horabik, J. Airflow resistance of seeds at different bulk densities using Ergun’s equation. Trans. ASAE 2005, 48, 1137–1145. [Google Scholar] [CrossRef]
- Bartosik, R.E.; Maier, D.E. Effect of airflow distribution on the performance of NA/Lt in-bin drying of corn. Trans. ASABE 2006, 49, 1095–1104. [Google Scholar] [CrossRef]
- Lawrence, J.; Maier, D.E. Prediction of temperature distributions in peaked, leveled and inverted cone grain mass configurations during aeration of corn. Appl. Eng. Agric. 2012, 28, 685–692. [Google Scholar] [CrossRef]
- Panigrahi, S.S.; Singh, C.B.; Fielke, J. CFD modelling of physical velocity and anisotropic resistance components in a peaked stored grain with aeration ducting systems. Comput. Electron. Agric. 2020, 179, 105820. [Google Scholar] [CrossRef]
- Chen, G.X.; Liu, C.S.; Zheng, D.Q.; Wang, D.X. Segregation of particles during maize loading process in a center loaded silo. Sci. Rep. 2025, 15, 9090. [Google Scholar] [CrossRef]
- ASAE S352.2 APR1988 (R2017); Moisture Measurement—Unground Grain and Seeds. ASAE: St. Joseph, MI, USA, 2017.
- GB/T 5518-2008; Inspection of Grain and Oil–Determination of Relatively Density of Grain and Oilseeds. National Standardization Administration: Beijing, China, 2008.
- GB/T 4935.1-2008; Instrument for Soil Test–Oedometer–Part 1: Single Level Arm Oedometer. National Standardization Administration: Beijing, China, 2008.
- Chen, G.X.; Liu, C.S.; Jiang, M.M.; Zheng, D.Q.; Chen, J.H.; Ge, M.M.; Yin, J. Experimental study on measurement of interfacial pressure in granular materials. Geotech. Test. J. 2022, 45, 674–688. [Google Scholar] [CrossRef]
- GB 50077-2017; Standard for Design of Reinforced Concrete Silos. Ministry of Housing and Urban-Rural Development of the People’s Republic of China: Beijing, China, 2017.
- Zhang, D.; Zheng, D.Q.; Chen, G.X.; Jiang, M.M.; Chen, J.H. Numerical simulation on pressure field of bulk grain pile in large warehouse by Flac3D. J. Henan Univ. Technol. (Nat. Sci. Ed.) 2017, 38, 98–103. [Google Scholar] [CrossRef]
- Ergun, S. Fluid flow through packed columns. Chem. Eng. Prog. 1952, 48, 89–94. [Google Scholar]
- De Mattos, R.; Garreiro, J.M.; Meghirditchian, G.; Ferrari, A.; Zecchi, B. Effect of modeling simplifications on behavior and computational cost for simulation of fixed bed wheat drying process. Dry. Technol. 2022, 40, 1338–1355. [Google Scholar] [CrossRef]
- Ge, M.M.; Chen, G.X.; Liu, W.L.; Liu, C.S. Study of heat and mass transfer during drying process of maize grain pile based on computed tomography. Biosyst. Eng. 2024, 248, 82–96. [Google Scholar] [CrossRef]
- Chang, C.; Lai, F.; Miller, B. Thermal conductivity and specific heat of grain dust. Trans. ASAE 1980, 23, 1303–1306. [Google Scholar] [CrossRef]
- Liu, C.S.; Chen, G.X.; Zhou, Y.; Yue, L.F.; Liu, W.L. Investigation on compression and mildew of mixed and separated maize. Food Sci. Nutr. 2023, 11, 2118–2129. [Google Scholar] [CrossRef]
- Haque, E. Estimating bulk density of compacted grains in storage bins and modifications of Janssen’s load equations as affected by bulk density. Food Sci. Nutr. 2013, 1, 150–156. [Google Scholar] [CrossRef]
- Neto, J.P.L.; de Nascimento, J.W.B.; Silva, R.C. Friction forces in vertical silos with smooth walls in different height/diameter ratios. Eng. Agríc. 2014, 34, 8–17. [Google Scholar] [CrossRef]
- Wang, X.W.; Yang, Z.J.; Shu, X.F.; Feng, J.L. The static contact statuses between granular materials and flat-bottomed steel silos. Powder Technol. 2013, 235, 1053–1059. [Google Scholar] [CrossRef]
- Dornelas, K.C.; Rodrigues, H.C.S.; Cheung, A.B.; Calil, C., Jr.; do Nascimento, J.W.B. Pressures in squat steel silo with flat bottom storing maize grain. J. Stored Prod. Res. 2024, 109, 102424. [Google Scholar] [CrossRef]
- Salarikia, A.; Jian, F.J.; Jayas, D.S.; Zhang, Q. Segregation of dockage and foreign materials in wheat during loading into a 10-m diameter corrugated steel bin. J. Stored Prod. Res. 2021, 93, 101837. [Google Scholar] [CrossRef]
- Cheng, X.D.; Zhang, Q.; Shi, C.X.; Yan, X.J. Model for the prediction of grain density and pressure distribution in hopper-bottom silos. Biosyst. Eng. 2017, 163, 159–166. [Google Scholar] [CrossRef]
- Liu, W.L.; Chen, G.X.; Zheng, D.Q.; Ge, M.M.; Liu, C.S. Numerical and experimental investigation of flow and heat transfer in a fixed bed of non-spherical grains using the DEM-CFD method. J. Food Process Eng. 2023, 46, e14362. [Google Scholar] [CrossRef]
- Yue, R.; Zhang, Q. A pore-scale model for predicting resistance to airflow in bulk grain. Biosyst. Eng. 2017, 155, 142–151. [Google Scholar] [CrossRef]
- Chen, P.X.; Wang, X.W.; Fan, M.K.; Tian, G.S.; Zhu, W.X.; Zhu, Y.G.; Jin, Y.Z. Simulation study of moisture and heat migration during hot air drying of corn with stacked structures based on CFD-DEM. J. Stored Prod. Res. 2025, 112, 102627. [Google Scholar] [CrossRef]
- Olatunde, G.; Atungulu, G.G.; Sadaka, S. CFD modeling of air flow distribution in rice bin storage system with different grain mass configurations. Biosyst. Eng. 2017, 151, 286–297. [Google Scholar] [CrossRef]
- Hammami, F.; Mabrouk, S.; Mami, A. Modelling and simulation of heat exchange and moisture content in a cereal storage silo. Math. Comp. Model. Dyn. 2016, 22, 207–220. [Google Scholar] [CrossRef]
- Panigrahi, S.S.; Singh, C.B.; Fielke, J.; Zare, D. Modeling of heat and mass transfer within the grain storage ecosystem using numerical methods: A review. Dry. Technol. 2020, 38, 1677–1697. [Google Scholar] [CrossRef]















| Average Density, ρab kg/m3 | μ | Rf | c/kPa | φ/° | K | n | m | Kb |
|---|---|---|---|---|---|---|---|---|
| 702.5 | 0.32 | 0.88 | 6.03 | 28 | 36.06 | 0.92 | 0.83 | 19.4 |
| Material | Property | Value |
|---|---|---|
| Air [27] | Air density (ρa) | 1.205 kg/m3 |
| Air specific heat (ca) | 1006 J/(kg∙°C) | |
| Air tortuosity factor (τ) | 1.2 | |
| Air viscosity (μa) | 1.79 × 10−5 Pa∙s | |
| Specific heat capacities of water | 1850 J/(kg∙°C) | |
| Rate coefficient for moisture exchange between air and maize kernels (Dv) | 2000exp(−5094/T) | |
| Maize bulk | Moisture content (M) | 12.7% ± 0.13% |
| Moisture content (dry basis) (W) | M/(1 − M) × 100% | |
| Average maize kernel diameter (dp) | 0.00721 m | |
| Particle density (ρs) | 1256.7 kg/m3 | |
| Density (ρb) | ρs(1 − ϕ) | |
| Thermal conductivity (kb) | 0.07257 + 1.209 × 10−4 ρb W/(m∙°C) [26] | |
| Porosity (ϕ) | Based on measurement results | |
| Specific heat (cb) | 1780 J∙kg−1∙°C−1 [5] | |
| Heat sorption of water on maize (hs) | 2476 kJ/kg [25] | |
| Temperature (T) | Based on measurement results |
| Constant | |||||
|---|---|---|---|---|---|
| Value | a1 | a2 | a3 | a4 | a5 |
| −5.029 | 0.313 | 2.675 | −0.452 | −1.167 | |
Disclaimer/Publisher’s Note: The statements, opinions and data contained in all publications are solely those of the individual author(s) and contributor(s) and not of MDPI and/or the editor(s). MDPI and/or the editor(s) disclaim responsibility for any injury to people or property resulting from any ideas, methods, instructions or products referred to in the content. |
© 2025 by the authors. Licensee MDPI, Basel, Switzerland. This article is an open access article distributed under the terms and conditions of the Creative Commons Attribution (CC BY) license (https://creativecommons.org/licenses/by/4.0/).
Share and Cite
Liu, C.; Zhao, B.; Zhang, H.; Shen, T.; Wang, J. Effects of Particle Segregation and Grain Pressure on Ventilation Airflow and Temperature–Humidity Distribution in Maize Pilot Silo. Agriculture 2025, 15, 2205. https://doi.org/10.3390/agriculture15212205
Liu C, Zhao B, Zhang H, Shen T, Wang J. Effects of Particle Segregation and Grain Pressure on Ventilation Airflow and Temperature–Humidity Distribution in Maize Pilot Silo. Agriculture. 2025; 15(21):2205. https://doi.org/10.3390/agriculture15212205
Chicago/Turabian StyleLiu, Chaosai, Boyi Zhao, Hao Zhang, Tong Shen, and Jun Wang. 2025. "Effects of Particle Segregation and Grain Pressure on Ventilation Airflow and Temperature–Humidity Distribution in Maize Pilot Silo" Agriculture 15, no. 21: 2205. https://doi.org/10.3390/agriculture15212205
APA StyleLiu, C., Zhao, B., Zhang, H., Shen, T., & Wang, J. (2025). Effects of Particle Segregation and Grain Pressure on Ventilation Airflow and Temperature–Humidity Distribution in Maize Pilot Silo. Agriculture, 15(21), 2205. https://doi.org/10.3390/agriculture15212205

