Spatiotemporal Variation in Water–Energy–Food Synergy Capacity Based on Projection Pursuit Model in the Central Area of Yangtze River Delta, China
Abstract
1. Introduction
2. Literature Review
2.1. Understanding the Concept of the WEF System
2.2. Coupled Coordination Research of the WEF Nexus
2.3. Synergy Capacity of the WEF Nexus
3. Study Area
4. Materials and Methods
4.1. Evaluation Index System and Data Sources
4.2. Projection Pursuit Model
5. Results
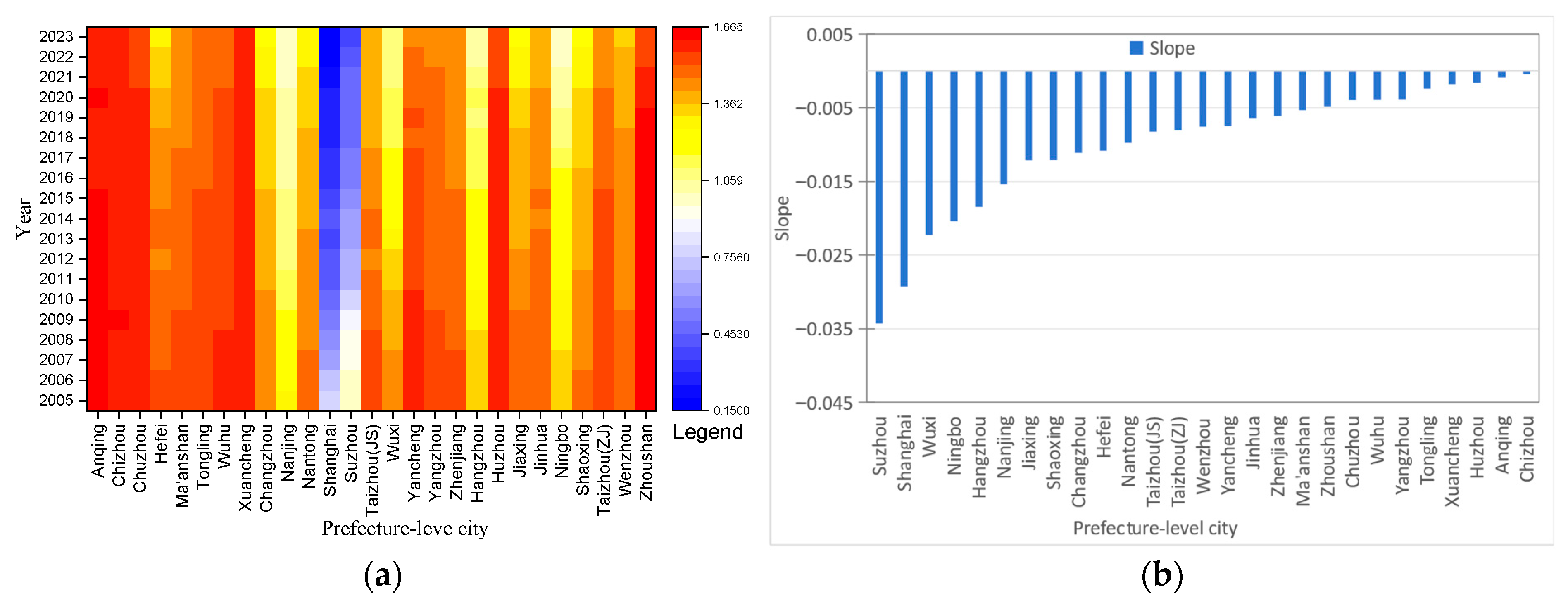
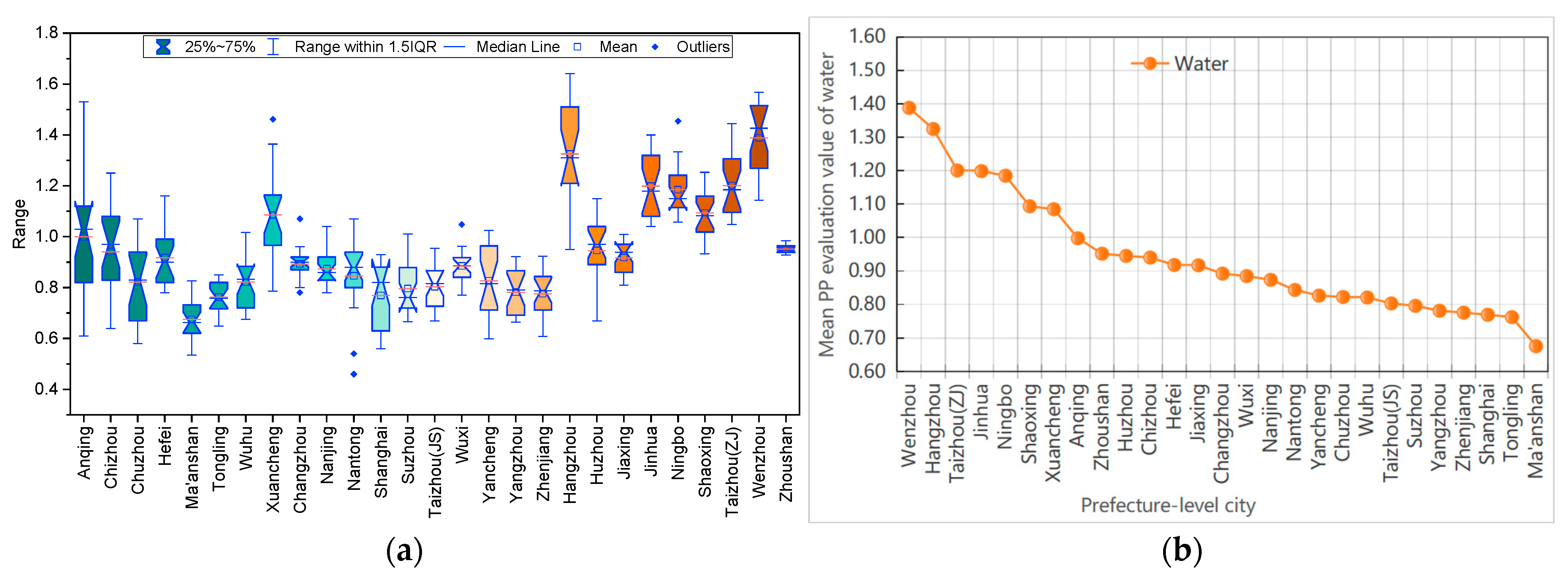
5.1. PPM Evaluation of Water System
5.2. PPM Evaluation of Energy System
5.3. PPM Evaluation of Food System
5.4. PPM Evaluation of WEF Synergy Capacity
6. Discussion and Suggestions
6.1. Evaluation of the WEF Subsystems
6.2. Evaluation of WEF Synergy Capacity
6.3. Regulation and Policy Suggestions
- (1)
- PLCs such as Shanghai, Hangzhou, Nanjing, and Hefei need to be fully recognized for promoting the WEF synergy capacity through measures such as scientific planning and utilization of environmental resources, especially optimizing the energy resource structure, improving energy utilization efficiency, and saving energy and reducing carbon emissions, thereby enhancing the overall resilience level of WEF.
- (2)
- As there are clusters with high, low, and mid-level evaluation values of WEF synergy capacity. PLCs with different types and characteristics need to adopt differential measures to improve the WEF synergy capacity according to their own development stages. For PLCs categorized as the “High WEF Synergy Capacity Cluster”, it is necessary to continuously stabilize their agricultural system output, improve water resource utilization and the total power capacity of agricultural machinery, as well as enhance agricultural water use efficiency. For PLCs categorized as the “Low WEF Synergy Capacity Cluster”, which mainly include two cities, namely Shanghai and Suzhou, it is necessary to comprehensively improve the utilization efficiency of water and energy resources, save water and energy to enhance the overall synergy capacity, and at the same time, make up for the shortcomings in existing agricultural output. For PLCs categorized as the “Mid-level WEF Synergy Capacity Cluster”, there are significant differences among different PLCs. It is necessary to strengthen the comprehensive improvement approaches for water, energy, and food. On the basis of emphasizing agricultural output, rationally control the utilization methods and consumption of water resources, pay special attention to the optimization of energy consumption, and achieve synergy capacity between economic development and energy consumption.
- (3)
- According to the evaluation results, as well as the variation in resource endowment in caYRD, instability is the common obstacle to WEF synergy capacity since most indicators related to the water and the food system vary in different years. This indicates that infrastructure investment is not consistent with the growing demand for environmental resources, especially in the water and food subsystems. Therefore, it is necessary to invest in and build infrastructure that could meet a stable WEF synergy capacity, because there is still space for its improvement, especially in the context of urbanization and climate change. Furthermore, policies should be made to increase the level of social public management scientifically to promote the WEF synergy capacity.
- (4)
- For policy regulations, it needs to establish cross-departmental/cross-regional WEF synergy governance mechanisms, to integrate the associated cooperation among sectors such as water resources, energy, and agriculture, and to promote technological innovation and application of WEF nexus coupling: Water resource aspect: Develop “water-saving and energy-saving” linkage technologies, as well as technologies like wastewater recycling and energy recovery in the industrial sector. Energy aspect: Prioritize the development of low water-consuming energy technologies to reduce the additional pressure of energy waste on the WEF system. Food aspect: Popularize precision agriculture and low-carbon cultivation technologies to reduce the dependence of the food system on external energy and water resources.
7. Conclusions
- (1)
- Spatiotemporal heterogeneity of WEF synergy capacity is clear in caYRD based on PPM evaluation. Not only did the evaluation of each water resource, energy resource, and food resource subsystem display a spatiotemporal heterogeneity, but the integrated WEF synergy capacity index also has prominent spatiotemporal differences. The integrated evaluation of WEF synergy capacity reveals that Yancheng scored the highest, while Shanghai had the lowest score. Chuzhou has the highest fluctuation range, while Taizhou (JS) has the lowest. At the provincial scale, Anhui ranked the highest, followed by Jiangsu and Zhejiang, and Shanghai had the lowest average score in the yearly average of WEF synergy capacity values of each PLC.
- (2)
- The whole 27 PLCs can be divided into three clusters by the WEF synergy capacity values in caYRD. The High values cluster includes Yancheng and Chuzhou, the Low values cluster consists of Shanghai and Suzhou, and the Mid-level values cluster consists of the other 22 PLCs, and these 22 PLCs are further divided into three sub-clusters.
- (3)
- Energy has a more prominent overall impact on WEF synergy capacity compared to the relatively stable water and food resource systems due to population growth and urbanization development, especially industrial growth, which has increased demand for energy and resources and thus altered WEF synergy capacity. Additionally, economically developed PLCs such as Shanghai, Suzhou, Wuxi, Changzhou (in southern Jiangsu), and Hangzhou tend to have lower PPM evaluation values, mainly because of urban land expansion and a relative reduction in arable land area. By contrast, major PLCs in Anhui and northern Jiangsu have relatively higher WEF synergy capacity values, as they have weaker industrialization and less land occupied by urban expansion. The potential impact of these factors on the WEF nexus and the clustering results of WEF synergy capacity requires special attention to the production and consumption control of energy and food resources in the optimization and development strategies of WEF synergy capacity for the corresponding PLCs.
- (4)
- Policy guideline is suggested as: To establish cross-departmental/regional WEF governance, integrate water-energy-agriculture collaboration, and advance WEF Nexus technology. Especially, Shanghai, Hangzhou, Nanjing, Hefei, and other PLCs should use scientific environmental resource planning (e.g., optimizing energy structure, boosting energy efficiency, energy-saving, and carbon reduction) to enhance WEF synergy and overall resilience. Further, to develop “water-energy saving” technology, additional industrial wastewater recycling and energy recovery are needed for the water system. Prioritize low water-consuming energy tech to cut WEF pressure from energy waste for the energy subsystem. Promote precision agriculture and low-carbon cultivation to reduce the food system’s external water/energy reliance for the food system.
- (5)
- The main contributions of this article are to analyze the synergy capacity level of the WEF system in the caYRD using the PPM method. Firstly, indicators chosen in the evaluation system that take into account the interconnected indicators of resource-energy efficiency are correlated with agriculture, which is most directly associated with the WEF Nexus. Then, the study further reveals the system’s spatiotemporal distribution characteristics and explores the potential primary drivers behind these patterns. Unlike most existing studies, which place emphasis on the individual coupling analysis between water, energy, and food, this research delivers an evaluative analysis that treats the WEF system as an integrated entity.
8. Limitations
Author Contributions
Funding
Institutional Review Board Statement
Data Availability Statement
Conflicts of Interest
Abbreviations
| WEF | Water, energy, and food |
| YRD | Yangtze River Delta |
| caYRD | Central area of Yangtze River Delta |
| PLCs | Prefecture-level cities |
| GDP | Gross Domestic Product |
| PPM | Projection Pursuit Model |
References
- Hoff, H. Understanding the Nexus: Background Paper for the Bonn 2011 Nexus Conference; Stockholm Environment Institute (SEI): Stockholm, Sweden, 2011; Available online: https://www.sei.org/mediamanager/documents/Publications/SEI-Paper-Hoff-UnderstandingTheNexus-2011.pdf (accessed on 13 October 2025).
- FAO. The Water-Energy-Food Nexus: A New Approach in Support of Food Security and Sustainable Agriculture; FAO: Rome, Italy, 2014. [Google Scholar]
- Eriksson, N.; Avellán, T.; Teutschbein, C.; Blicharska, M. Towards a common understanding of water-energy-food nexus research: A view of the European nexus community and beyond. Sci. Total Environ. 2025, 967, 178775. [Google Scholar] [CrossRef] [PubMed]
- Dominguez, P. Thinking About Water Differently: Managing the Water-Food-Energy Nexus; Asian Development Bank: Manila, Philippines, 2013. [Google Scholar]
- Googin, C.; Pu, H.; Chen, J. Exploring The Water-Energy-Food (WEF) Nexus Through an Industry Perspective on New Technology. Technol. Innov. 2025, 2454188. [Google Scholar] [CrossRef]
- Wang, H.R.; Zhao, W.J.; Deng, C.Y.; Jan, J.-W. Analysis on Issues of Water-energy-food Nexus. J. Nat. Resour. 2022, 37, 307–319, (In Chinese with English Abstract). [Google Scholar] [CrossRef]
- Elminshawy, N.A.; Osama, A.; Gagliano, A.; Oterkus, E.; Tina, G.M. A Technical and Economic Evaluation of Floating Photovoltaic Systems in the Context of the Water-energy Nexus. Energy 2024, 303, 131904. [Google Scholar] [CrossRef]
- Albrecht, T.R.; Crootof, A.; Scott, C.A. The Water-energy-food Nexus: A Systematic Review of Methods for Nexus Assessment. Environ. Res. Lett. 2018, 13, 043002. [Google Scholar] [CrossRef]
- Allan, T.; Keulert, Z.M.; Woertz, E. The Water-food-energy Nexus: An Introduction to Nexus Concepts and Some Conceptual and Operational Problems. Int. J. Water Resour. Dev. 2015, 31, 301–311. [Google Scholar] [CrossRef]
- Wang, Y.; Xie, Y.; Qi, L.; He, Y.; Bo, H. Synergies Evaluation and Influencing Factors Analysis of the Water-energy-food Nexus from Symbiosis Perspective: A Case Study in the Beijing-Tianjin-Hebei Region. Sci. Total Environ. 2022, 818, 151731. [Google Scholar] [CrossRef]
- Hao, L.G.; Yu, J.J.; Wang, P.; Han, C. Analysis of the Water-energy-food Nexus System for Sustainable Development and its Research Framework. Prog. Geogr. 2023, 42, 173–184, (In Chinese with English Abstract). [Google Scholar] [CrossRef]
- Shang, H.Y.; Hu, Y.; Su, F. Review on the Water-energy-food Nexus. J. Earth Sci. Environ. 2025, 47, 397–413, (In Chinese with English Abstract). [Google Scholar]
- Cansino-Loeza, B.; MunguÍA-Lopez, A.D.C.; Ponce-Ortega, J.M. A water-energy-food security nexus framework based on optimal resource allocation. Environ. Sci. Policy 2022, 133, 1–16. [Google Scholar] [CrossRef]
- Raya-Tapia, A.Y.; Cansino-Loeza, B.; Sánchez-Zarco, X.G.; Ramírez-Márquez, C.; Martín, M.; Ponce-Ortega, J.M. A spatial and temporal assessment of resource security in the water, energy, food and waste nexus in Spain. Sustain. Prod. Consum. 2023, 39, 109–122. [Google Scholar] [CrossRef]
- Huang, R.H.; Cui, S.M.; Wang, X.J.; Huang, X.; Cao, X.C. Spatio-temporal differentiation and obstacle mechanism of sustainability of the water energy-food nexus system in the middle reaches of the Yellow River. J. Soil Water Conserv. 2025, 39, 369–379, (In Chinese with English Abstract). [Google Scholar]
- Zhao, H.; Li, Z.L.; Wang, H.R.; Liu, Y.X.; Li, M. Simulation and resilience regulation of water-energy-food-carbon nexus in the middle reaches of the Yellow River. J. North China Univ. Water Resour. Electr. Power (Nat. Sci. Ed.) 2024, 45, 9–19, (In Chinese with English Abstract). [Google Scholar]
- Bo, B.I.; Chen, D.; Deng, P.; Zhang, D.; Zhu, L.Y.; Zhang, P. The Evolutionary Characteristics Analysis of Coupling and Coordination of Regional Water-energy-food. China Rural Water Hydropower 2018, 2, 72–77, (In Chinese with English Abstract). [Google Scholar]
- Ren, X.Y.; Tan, Y.R.; Wu, F.C.; Si, T.; Wang, Z. Collaborative Development Model of Regional Water-energy-food Nexus. Bull. Soil Water Conserv. 2021, 41, 218–225, (In Chinese with English Abstract). [Google Scholar]
- Mondal, K.; Chatterjee, C.; Singh, R. Examining the Coupling and Coordination of Water-energy food Nexus at a Sub-national Scalein India: Insights from the Perspective of Sustainable Development Goals. Sustain. Prod. Consum. 2023, 43, 140–154. [Google Scholar] [CrossRef]
- Li, C.Y.; Zhang, S.Q. Chinese Provincial Water-energy-food Coupling Coordination Degree and Influencing Factors Research. China Popul. Resour. Environ. 2020, 30, 120–128, (In Chinese with English Abstract). [Google Scholar]
- Wang, Z.H.; Chen, B.H. Spatio-temporal Coupling and Spatial Effect of Economic Growth-ecological Environment-population Agglomeration: A Case Study of Songhua River Basin. Ecol. Econ. 2023, 39, 171–177,186, (In Chinese with English Abstract). [Google Scholar]
- Sun, C.Z.; Hao, S. Coordination Degree and Differential Optimizing of Water-energy-food System in China. Yangtze River 2023, 54, 12–20, (In Chinese with English Abstract). [Google Scholar]
- Egieya, J.; Parker, Y.; Hofmann, V.; Daher, B.; Gorgens, J.; Goosen, N. Predictive Simulation of the Water-energy-food Nexus for the City of Cape Town. Sci. Total Environ. 2024, 934, 173289. [Google Scholar] [CrossRef] [PubMed]
- Fu, Y.B.; Ren, Y.T.; Pei, W. Evaluation of the Symbiosis Level of the Water-energy-food Complex System Based on the Improved Cloud Model: A Case Study in Heilongjiang Province. Environ. Sci. Pollut. Res. Int. 2023, 30, 22963–22984. [Google Scholar] [CrossRef] [PubMed]
- Diasi, Y.P.; Lazaro, L.L.B.; Barros, V.G. Water-energy-food Security Nexus: Estimating Future Water Demand Scenarios Based on Nexus Thinking: The Watershed as a Territory. Sustainability 2023, 15, 7050. [Google Scholar] [CrossRef]
- Luo, W.; Yang, X.Z.; Yang, Y.F.; Cheng, S.Y. Synergistic evolution and prediction of water-energy-food nexus in the Yellow River Basin. Resour. Sci. 2022, 44, 608–619, (In Chinese with English Abstract). [Google Scholar]
- Saidmamatov, O.; Rudenko, I.; Pfister, S.; Koziel, J. Water-energy–food nexus framework for promoting regional integration in Central Asia. Water 2020, 12, 1896. [Google Scholar] [CrossRef]
- Venghaus, S.; Dieken, S. From a few security indices to the FEW security index: Consistency in global food, energy and water security assessment. Sustain. Prod. Consum. 2019, 20, 342–355. [Google Scholar] [CrossRef]
- Soleimanian, E.; Afshar, A.; Molajou, A. A review on water simulation models for the WEF nexus: Development perspective. Environ. Sci. Pollut. Res. 2022, 29, 79769–79785. [Google Scholar] [CrossRef] [PubMed]
- Mayor, B.; López-Gunn, E.; Villarroya, F.I.; Montero, E. Application of a Water-energy-food nexus framework for the Duero river basin in Spain. Water Int. 2015, 40, 791–808. [Google Scholar] [CrossRef]
- Conway, D.; Van Garderen, E.A.; Deryng, D.; Dorling, S.; Krueger, T.; Landman, W.; Lankford, B.; Lebek, K.; Osborn, T.; Ringler, C.; et al. Climate and southern Africa’s Water-Energy-Food nexus. Nat. Clim. Change 2015, 5, 837–846. [Google Scholar] [CrossRef]
- Hao, L.; Yu, J.; Wang, P.; Han, C.; Gojenko, B.; Qu, B.; Jiang, E.; Muminov, S. A comprehensive assessment indicator of the water-energy-food nexus system based on the material consumption relationship. J. Hydrol. 2024, 633, 130997. [Google Scholar] [CrossRef]
- Liu, Y.; Jiang, Y.; Xu, C.; Lyu, J.; Su, Z. A quantitative analysis framework for water-food-energy nexus in an agricultural watershed using WEAP-MODFLOW. Sustain. Prod. Consum. 2022, 31, 693–706. [Google Scholar] [CrossRef]
- Ling, M.; Qi, T.; Li, W.; Yu, L.; Xia, Q. Simulating and predicting the development trends of the Water–energy–food–ecology system in Henan Province, China. Ecol. Indic. 2024, 158, 111513. [Google Scholar] [CrossRef]
- Owen, A.; Scott, K.; Barrett, J. Identifying critical supply chains and final products: An input-output approach to exploring the energy-water-food nexus. Appl. Energy 2018, 210, 632–642. [Google Scholar] [CrossRef]
- Vats, G.; Sharma, D.; Sandu, S. A flexible input-output price model for assessment of a nexus perspective to energy, water, food security policymaking. Renew. Sustain. Energy Transit. 2021, 1, 100012. [Google Scholar] [CrossRef]
- Chen, C.; Fen, K.; Ma, H. Uncover the interdependent environmental impacts associated with the water-energy-food nexus under resource management strategies. Resour. Conserv. Recycl. 2020, 160, 104909. [Google Scholar] [CrossRef]
- Yue, Q.; Gu, P. Managing agricultural water-energy-food-environment nexus considering water footprint and carbon footprint under uncertainty. Agric. Water Manag. 2021, 252, 106899. [Google Scholar] [CrossRef]
- Zhou, F.; Zhang, W.; Jiang, A.; Peng, H.; Li, L.; Deng, L.; Sun, Y.; Wang, H. Spatial-temporal variation characteristics and coupling coordination of the “water resources-water environment-water ecology” carrying capacity in the three gorges reservoir area. Ecol. Indic. 2023, 154, 110874. [Google Scholar] [CrossRef]
- Ravar, Z.; Zahrai, B.; Sharifinejad, A. System dynamics modeling for assessment of water-food-energy resources security and nexus in gavkhuni basin in Iran. Ecol. Indic. 2020, 108, 105682. [Google Scholar] [CrossRef]
- Chen, X.; Li, Y.; Gao, P.; Liu, J.; Zhang, H. A multi-scenario BP-neural-network ecologically-extended input-output model for synergetic management of water electricity nexus system: A case study of Fujian province. J. Clean. Prod. 2023, 399, 136581. [Google Scholar] [CrossRef]
- Chen, Y.; He, Z.; Niu, X.; Huang, D. How water resource management policies shape the coupled coordination development of the water-energy-food nexus: Evidence from the dual pathways of taxation and property rights. J. Environ. Manag. 2025, 381, 125311. [Google Scholar] [CrossRef]
- Rezaei Kalvani, S.; Celico, F. The Water-Energy-Food Nexus in European Countries: A Review and Future Perspectives. Sustainability 2023, 15, 4960. [Google Scholar] [CrossRef]
- Tye, M.R.; Wilhelmi, O.; Boehnert, J.; Faye, E.; Milestad, R.; Pierce, A.L.; Laborgne, P. Examining urban resilience through a food-water-energy nexus lens to understand the effects of climate change. iScience 2024, 27, 110311. [Google Scholar]
- Bai, J.F.; Zhang, H.J. Spatio-temporal Variation and Driving Force of Water-Energy-Food Pressure in China. Sci. Geogr. Sin. 2018, 38, 1653–1660, (In Chinese with English Abstract). [Google Scholar]
- Sun, C.Z.; Zhou, Z.; Zhao, L.S. System Simulation of Water-Energy-Food in Southwest China Based on SD model. Econ. Geogr. 2021, 41, 20–29, (In Chinese with English Abstract). [Google Scholar]
- Chapagain, K.; Babel, M.S.; Karthe, D.; Stamm, J. Integrated assessment of water-energy-food nexus: Conceptual framework and application to the Ping River basin, Thailand. Int. J. Water Resour. Dev. 2023, 40, 284–318. [Google Scholar] [CrossRef]
- Qin, J.; Duan, W.; Chen, Y.; Dukhovny, V.A.; Sorokin, D.; Li, Y.; Wang, X. Comprehensive Evaluation and Sustainable Development of Water-Energy-Food-Ecology Systems in Central Asia. Renew. Sustain. Energy Rev. 2022, 157, 112061. [Google Scholar] [CrossRef]
- Foran, T. Node and regime: Interdisciplinary analysis of water-energy-food nexus in the Mekong region. Water Altern. 2015, 8, 655–674. [Google Scholar]
- Keskinen, M.; Guillaume, J.H.A.; Kattelus, M.; Porkka, M.; Räsänen, T.A.; Varis, O. The Water-Energy-Food Nexus and the Transboundary Context: Insights from Large Asian Rivers. Water 2016, 8, 193. [Google Scholar] [CrossRef]
- Putra, M.P.I.F.; Pradhan, P.; Kropp, J.P. A systematic analysis of Water-Energy-Food security nexus: A South Asian case study. Sci. Total Environ. 2020, 728, 138451. [Google Scholar] [CrossRef]
- Jones-Crank, J.L. The contribution of water-energy-food nexus governance to sustainability: A case study of Singapore. Environ. Sci. Policy 2024, 160, 103849. [Google Scholar] [CrossRef]
- Mabhaudhi, T.; Mpandeli, S.; Madhlopa, A.; Modi, A.T.; Backeberg, G.; Nhamo, L. Southern Africa’s Water–Energy Nexus: Towards Regional Integration and Development. Water 2016, 8, 235. [Google Scholar] [CrossRef]
- Madani, Z.; Natcher, D. Water, Energy and Food (WEF) Nexus in the Changing Arctic: An International Law Review and Analysis. Water 2024, 16, 835. [Google Scholar] [CrossRef]
- Liu, J.; Liu, C.; Li, X.; Wang, G.; Bao, Z. Security evaluation of water-energy-food nexus system in China. Hydro-Sci. Eng. 2020, 4, 24–32, (In Chinese with English Abstract). [Google Scholar]
- Han, C.; Han, X.; Ma, B.; Li, D.; Wang, Z.; Hao, Z.; Zhang, X. Research on the Coupling Coordination Relationship and Spatial Equilibrium Measurement of the Water-Energy-Food Nexus System in China. Water 2025, 17, 527. [Google Scholar] [CrossRef]
- Lu, Z.Y.; Li, H.M. Synergistic Development of the Water-Energy-Food Nexus System in Chinese Agriculture and Its Influencing Factors. Econ. Geogr. 2024, 44, 177–186, (In Chinese with English Abstract). [Google Scholar]
- Sun, C.Z.; Wei, Y.Q.; Zhao, L.S. Co-evolution of water-energy-food nexus in arid areas: Take Northwest China as an example. J. Nat. Resour. 2022, 37, 320–333, (In Chinese with English Abstract). [Google Scholar] [CrossRef]
- Huang, R.; Liu, H. Evaluation and External Driving Factors Analysis of Water–Energy–Food Resilience Security-Based on Spatial Durbin Model and Four Provinces Along the Yellow River. Sustainability 2024, 16, 10126. [Google Scholar] [CrossRef]
- Peng, S.M.; Zheng, X.K.; Wang, Y.; Jiang, G. Study on water-energy-food collaborative optimization for Yellow River basin. Adv. Water Sci. 2017, 28, 681–690, (In Chinese with English Abstract). [Google Scholar]
- Wang, Y.; Li, N.; Song, J.; Li, Q. Solving the sustainable development dilemma in the Yellow River Basin of China: Water-energy-food linkages. J. Clean. Prod. 2025, 490, 144797. [Google Scholar] [CrossRef]
- Wang, H.M.; Hong, J.; Liu, G. Simulation research on different policies of regional green development under the nexus of water-energy-food. China Popul. Resour. Environ. 2019, 29, 74–84, (In Chinese with English Abstract). [Google Scholar]
- Chen, J.F.; Shi, Y.Q.; Yan, X.D. WEF industry correlation and ripple effect in Yangtze River Economic Belt. South–North Water Transf. Water Sci. Technol. 2023, 21, 597–607, (In Chinese with English Abstract). [Google Scholar]
- Zhang, Z.H.; Sun, S.M.; Gao, J. Evolution characteristic and influencing mechanism of water-energy-food stress in Yangtze River Delta Urban Agglomeration. J. Nat. Resour. 2022, 37, 1586–1597, (In Chinese with English Abstract). [Google Scholar] [CrossRef]
- Zhu, Y.; Zhang, C.; Huang, D. Assessing Urban Water–Energy–Food Security: A Case of Yangtze River Delta Urban Agglomeration. Soc. Indic. Res. 2024, 175, 487–516. [Google Scholar] [CrossRef]
- Ji, J.; Chen, J.F.; Deng, M.H.; Gu, Y.; Yan, X.D. Simulation and optimization of water-energy-food-ecosystem nexus under green development in the Yangtze River Delta region. Soft Sci. 2023, 37, 105–114, (In Chinese with English Abstract). [Google Scholar]
- Deng, P.; Chen, J.; Chen, D.; Shi, H.Y.; Bi, B.; Liu, Z.; Yin, Y.; Cao, X.C. The evolutionary characteristics analysis of the coupling and coordination among water, energy and food: Take Jiangsu Province as an example. J. Water Resour. Water Eng. 2017, 28, 232–238, (In Chinese with English Abstract). [Google Scholar]
- Chen, W.; Chen, Y. Pre-Warning Measurement of Water Resources Security in the Yangtze River Basin from the Perspective of Water-Energy-Food Symbiosis. Water 2021, 13, 475. [Google Scholar] [CrossRef]
- Chen, W.; Chen, Y. Two-Step Measurement of Water–Energy–Food Symbiotic Coordination and Identification of Key Influencing Factors in the Yangtze River Basin. Entropy 2021, 23, 798. [Google Scholar] [CrossRef]
- Tang, Q.Y.; Zhang, C.X. Data Processing System (DPS) software with experimental design, statistical analysis and data mining developed for use in entomological research. Insect Sci. 2013, 20, 254–260. [Google Scholar] [CrossRef]
- Zhang, J.J.; Guo, Z.F. Comprehensive evaluation on the agricultural drought risk in Henan Province based on Projection Pursuit Model. J. Arid Land Resour. Environ. 2016, 30, 83–88, (In Chinese with English Abstract). [Google Scholar]
- Jin, J.L.; Yang, T.Z.; Li, J.Q.; Chen, M.L.; Ning, S.W.; Zhang, H.Y. Application of projection pursuit method in assessment and prediction of water resources carrying capacity. Hydro-Sci. Eng. 2020, 4, 10–16, (In Chinese with English Abstract). [Google Scholar]
- He, L.X.; Zhou, S.Y.; Zhang, Z.; Li, Z.H. Water-energy-food-population system security evaluation based on projection pursuit model. Yellow River 2024, 46, 73–78, (In Chinese with English Abstract). [Google Scholar]











| Provinces and Municipalities | Prefecture-Level Cities |
|---|---|
| Shanghai | Shanghai Municipality |
| Jiangsu | Changzhou, Nanjing, Nantong, Shanghai, Suzhou, Taizhou (JS, Jiangsu), Wuxi, Yancheng, Yangzhou, Zhenjiang |
| Zhejiang | Hangzhou, Huzhou, Jiaxing, Jinhua, Ningbo, Shaoxing, Taizhou (ZJ, Zhejiang), Wenzhou, Zhoushan |
| Anhui | Anqing, Chizhou, Chuzhou, Hefei, Ma’anshan, Tongling, Wuhu, Xuancheng, Changzhou |
| Target | SubSystem | Indicator | Attribute 1 | Data Sources |
|---|---|---|---|---|
| WEF Synergy Capacity | Water system | Total water resources/108 m3 | Positive | Provincial statistical Yearbooks, Water Resources Bulletins |
| Total water consumption per capita/m3 | Negative | Provincial statistical Yearbooks, Water Resources Bulletins | ||
| Percentage of agricultural water use in total water consumption/% | Negative | Water Resources Bulletins | ||
| Water use per unit GDP (Gross Domestic Product)/m3/104 Chinese yuan | Negative | Provincial statistical Yearbooks, Water Resources Bulletins | ||
| Energy system | Total energy consumption/104 tons of standard coal equivalent | Negative | Provincial statistical Yearbooks | |
| Total electricity consumption/108 kWh | Negative | Provincial statistical Yearbooks | ||
| Percentage of primary industry in total energy consumption/% | Negative | Provincial statistical Yearbooks, Provincial Environmental Bulletin | ||
| Energy consumption per unit GDP/m3/104 yuan | Negative | Provincial statistical Yearbooks, Provincial Environmental Bulletin | ||
| Food system | Grain production/104 tons | Positive | Provincial statistical Yearbooks | |
| Grain cultivation area/hectares | Positive | Provincial statistical Yearbooks | ||
| Percentage of effectively irrigated area/% | Positive | Provincial statistical Yearbooks | ||
| Mechanical power per unit grain cultivation area/103 kW/hectares | Negative | Provincial statistical Yearbooks | ||
| Total agricultural machinery power/104 kW | Negative | Provincial statistical Yearbooks |
Disclaimer/Publisher’s Note: The statements, opinions and data contained in all publications are solely those of the individual author(s) and contributor(s) and not of MDPI and/or the editor(s). MDPI and/or the editor(s) disclaim responsibility for any injury to people or property resulting from any ideas, methods, instructions or products referred to in the content. |
© 2025 by the authors. Licensee MDPI, Basel, Switzerland. This article is an open access article distributed under the terms and conditions of the Creative Commons Attribution (CC BY) license (https://creativecommons.org/licenses/by/4.0/).
Share and Cite
Ye, Z.; Li, Z.; Ren, Q.; Wu, J.; Fan, M.; Xu, H. Spatiotemporal Variation in Water–Energy–Food Synergy Capacity Based on Projection Pursuit Model in the Central Area of Yangtze River Delta, China. Agriculture 2025, 15, 2157. https://doi.org/10.3390/agriculture15202157
Ye Z, Li Z, Ren Q, Wu J, Fan M, Xu H. Spatiotemporal Variation in Water–Energy–Food Synergy Capacity Based on Projection Pursuit Model in the Central Area of Yangtze River Delta, China. Agriculture. 2025; 15(20):2157. https://doi.org/10.3390/agriculture15202157
Chicago/Turabian StyleYe, Zhengwei, Zonghua Li, Qilong Ren, Jingtao Wu, Manman Fan, and Hongwen Xu. 2025. "Spatiotemporal Variation in Water–Energy–Food Synergy Capacity Based on Projection Pursuit Model in the Central Area of Yangtze River Delta, China" Agriculture 15, no. 20: 2157. https://doi.org/10.3390/agriculture15202157
APA StyleYe, Z., Li, Z., Ren, Q., Wu, J., Fan, M., & Xu, H. (2025). Spatiotemporal Variation in Water–Energy–Food Synergy Capacity Based on Projection Pursuit Model in the Central Area of Yangtze River Delta, China. Agriculture, 15(20), 2157. https://doi.org/10.3390/agriculture15202157

