Optimising Long-Range Agricultural Land Use Under Climate Uncertainty
Abstract
1. Introduction
- Lewis and Randall [12] used a nature-inspired algorithm to generate trade-off solutions for water scenarios of wet, average, and dry. In this work, historic water allocation scenarios and predicted abiotic agricultural input parameters are employed.
- Bachinger and Zander [9] represented agronomic decisions in formulating alternative land use but with no consideration of a future changed climate.
- Lawes and Renton [11] focussed on maximising farm income through alternative land use; however, all years are viewed as ‘average’ production years. A further disadvantage was the discounting of near-optimal solutions generated, preferring an exact value, appropriate for farm analysis but not for regional-scale land-use shifts investigated in this work.
1.1. Background
1.1.1. Land Management Units and Rotation Sequences
1.1.2. Water Availability
1.1.3. Multi-Objective Optimisation in Crop Selection
1.2. Aims of This Study
- How could regional production capacity change under different climate models through time, measured as net revenue attained against water consumed?
- Will there be a temporal change in the mix of annual cropping enterprises on a given land unit and, if so, when does this change occur?
2. Materials and Methods
2.1. Optimisation Model and Solution Construction
- P is the number of land parcels,
- is the decision variable, the ith crop planted on parcel p,
- is the net revenue of crop c on a parcel in LMU l,
- is a function that returns the LMU to which parcel p belongs,
- is the cost of water per megalitre in planning month t,
- is the the start month of the ith crop planted on parcel p,
- is the total water requirement of crop c starting in month t on a parcel, and
- is 1 if is true, 0 otherwise.
2.2. Rotation Sequencing Rules
- LMU Compatibility: Only crops that can be grown on a particular LMU are considered.
- Available Time: Only crops whose planting time does not exceed the planning horizon are considered. This is required due to the crisp end in the optimisation model.
- Rotation Rules: Informed by industry best practice agronomic decisions [72], crops are precluded from being grown within a defined time period of previously planted crops. In the present work, this is modelled as a set of rules per crop. If any rule is matched, then a candidate crop is excluded. Each rule is a tuple (Others, m, n): if crops from the set Others have occupied the land parcel n or more times in the preceding m months, then the candidate crop is excluded.
- Sowing Temperature: Crops are planted based on an approximation of soil temperature. If overnight minimum temperature is within a crop-specific range for fewer than five days within the 20 day period around the present day planting date, then it is excluded from consideration as planting conditions are unfavourable. The 20 day window captures the temperature trend that satisfies a crops planting preference.
- Available Water: To enable comparison of crops with different growth phases, three development stages have been defined: (1) Initial, germination to developed plant; (2) Growth, developed plant mid season to flowering, and (3) flowering to harvest. A crop’s water requirements across these three growth stages are calculated, taking into account the effect of projected temperatures on ETo. To determine if there is sufficient water for crops to reach economic potential, rainwater 14 days prior to planting through to harvesting is allocated to a crop. Including rainfall 14 days prior to planting acknowledges soil moisture, which would permit planting regardless if rain fell at the time of planting. Any rainfall within the first and second growing periods that is in excess of the crop’s requirements carried over into the next growing period to emulate water held in the soil. The following rules are then applied to dryland and irrigated crops:
- For a dryland crop, rainfall in each growth stage, including carried over amounts, must meet the requirements for that stage.
- For an irrigated crop, the remaining water demand after rainfall must be met by available irrigation water. This is determined by monthly inflows and what water has been allocated to previously constructed land parcels.
If these conditions cannot be met, then the crop is excluded from current consideration. - Positive return on investment: The final exclusion criterion is an economic rather than agronomic one. Each candidate crop’s gross margin is calculated based on projected revenue, less cost of irrigation water, if planted at that point in time. Those crops with a negative return are excluded from consideration.
2.3. Datasets and Customisation
2.3.1. Climate
2.3.2. LMUs
2.3.3. Crops and Productions Systems
- Winter bulk grain cereal crops of barley, oats, and wheat.
- Summer grain crops of rice and C4 carbon fixation plants maize, millet, and sorghum, capable of reducing photorespiration under the high temperatures experienced in the case study area [90]).
- Pulse crops of chickpea, faba bean, field pea, lentil, mung bean, and vetch; oil crops canola (winter) and sunflower (summer).
- Horticultural crops are beetroot, brassicas (cauliflower and broccoli), carrots, cucumber, eggplant, garlic, lettuce, muskmelon (i.e., rockmelon), onions, potatoes, pumpkins, tomato, and watermelon [20].
2.3.4. Water Scenarios
2.3.5. Economic Based Variables
2.4. Solver Method
2.5. Experimental Design
2.6. Analysis
3. Results
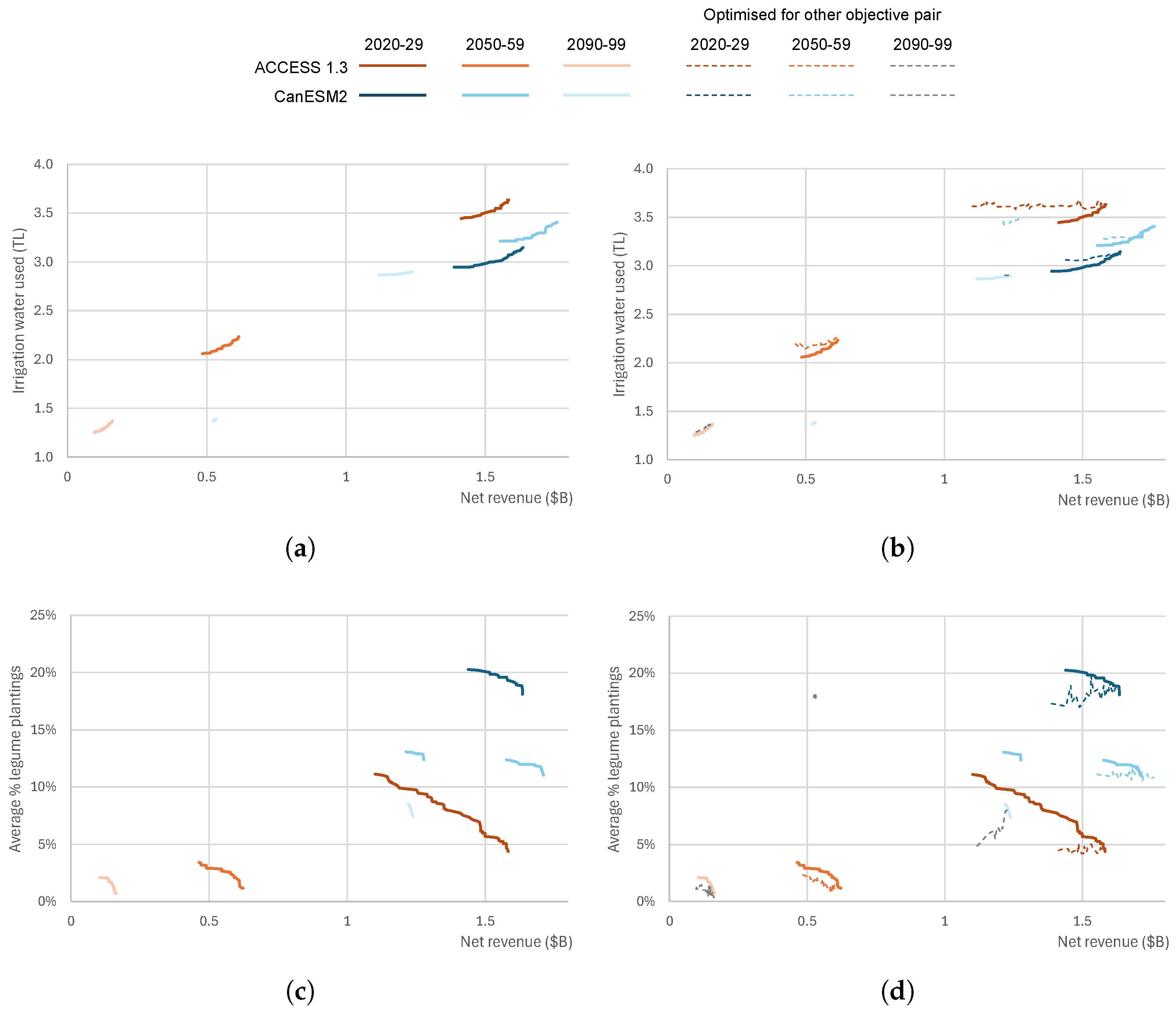
3.1. Bi-Objective Climate Comparison
3.1.1. Two-Objective Optimisation
3.1.2. Re-Evaluated Solutions
3.2. Temporal Land-Use Comparison
3.2.1. 2020–2029 Problem Instance
3.2.2. 2050–2059 Problem Instance
3.2.3. 2090–2099 Problem Instance
3.3. Diversity
3.3.1. 2020–2029 Problem Instance
3.3.2. 2050–2059 Problem Instance
3.3.3. 2090–2099 Problem Instance
4. Discussion
- The region’s temporal production capacity under the different climate models, and
- Which crops are the ‘best-best’ options to maintain a resilient and sustainable regional economy dependent on agricultural enterprises.
4.1. Climate Model Comparison
4.2. Land Use
4.2.1. Alternative Land Use
4.2.2. Model Comparison
4.3. Solver
Uncertainty and Limitations
- The agronomic rules are not exhaustive and, more importantly, they eliminate possibilities. Although guiding the optimiser towards healthy crop rotation sequences, this iteration of the model does not elevate crops based on their integral role in the production system, namely legumes.
- The simplistic approach to a crop yield potential on a given LMU.
- The lack of river catchment hydrology modelling and the effect of reservoir operational management policy.
4.4. Future Work
5. Conclusions
Supplementary Materials
Author Contributions
Funding
Data Availability Statement
Conflicts of Interest
References
- Wuebbles, D. Climate science special report: 4th US national climate assessment, volume I. In World Scientific Encyclopedia of Climate Change: Case Studies of Climate Risk, Action, and Opportunity Volume 2; World Scientific: Singapore, 2021; pp. 213–220. [Google Scholar]
- Furtak, K.; Wolińska, A. The impact of extreme weather events as a consequence of climate change on the soil moisture and on the quality of the soil environment and agriculture—A review. Catena 2023, 231, 107378. [Google Scholar] [CrossRef]
- Ortiz-Bobea, A.; Ault, T.R.; Carrillo, C.M.; Chambers, R.G.; Lobell, D.B. Anthropogenic climate change has slowed global agricultural productivity growth. Nat. Clim. Change 2021, 11, 306–312. [Google Scholar] [CrossRef]
- Ollier, C. Evolution of the Australian landscape. Mar. Freshw. Res. 2001, 52, 13–23. [Google Scholar] [CrossRef]
- Wilford, J. A weathering intensity index for the Australian continent using airborne gamma-ray spectrometry and digital terrain analysis. Geoderma 2012, 183–184, 124–142. [Google Scholar] [CrossRef]
- Peel, M.C.; Finlayson, B.L.; McMahon, T.A. Updated world map of the Köppen-Geiger climate classification. Hydrol. Earth Syst. Sci. 2007, 11, 1633–1644. [Google Scholar] [CrossRef]
- Herold, N.; Downes, S.; Gross, M.; Ji, F.; Nishant, N.; Macadam, I.; Ridder, N.; Beyer, K. Projected changes in the frequency of climate extremes over southeast Australia. Environ. Res. Commun. 2021, 3, 011001. [Google Scholar] [CrossRef]
- CSIRO. Ag2050 Scenarios Report; CSIRO: Singapore, 2024. Available online: https://www.csiro.au/en/work-with-us/services/consultancy-strategic-advice-services/CSIRO-futures/Agriculture-and-Food/Ag2050-Scenarios-Reimagining-Australian-Farming-Systems (accessed on 10 August 2025).
- Bachinger, J.; Zander, P. ROTOR, a tool for generating and evaluating crop rotations for organic farming systems. Eur. J. Agron. 2007, 26, 130–143. [Google Scholar] [CrossRef]
- Randall, M.; Montgomery, J.; Lewis, A. An introduction to temporal optimisation using a water management problem. J. Comput. Sci. 2020, 42, 101108. [Google Scholar] [CrossRef]
- Lawes, R.; Renton, M. The land use sequence optimiser (LUSO): A theoretical framework for analysing crop sequences in response to nitrogen, disease and weed populations. Crop Pasture Sci. 2010, 61, 835–843. [Google Scholar] [CrossRef]
- Lewis, A.; Randall, M. Solving multi-objective water management problems using evolutionary computation. J. Environ. Manag. 2017, 204, 179–188. [Google Scholar] [CrossRef] [PubMed]
- Pluchinotta, I.; Pagano, A.; Giordano, R.; Tsoukiàs, A. A system dynamics model for supporting decision-makers in irrigation water management. J. Environ. Manag. 2018, 223, 815–824. [Google Scholar] [CrossRef]
- Tijskens, E.; Ramon, H.; De Baerdemaeker, J. Discrete element modelling for process simulation in agriculture. J. Sound Vib. 2003, 266, 493–514. [Google Scholar] [CrossRef]
- Hudecová, K.; Rajčániová, M. The impact of geopolitical risk on agricultural commodity prices. Agric. Econ./Zemědělská Ekon. 2023, 69, 129–139. [Google Scholar]
- De Winne, J.; Peersman, G. The adverse consequences of global harvest and weather disruptions on economic activity. Nat. Clim. Change 2021, 11, 665–672. [Google Scholar] [CrossRef]
- DIPNR; NSW. Water Sharing Plan for the Murrumbidgee Regulated River Water Source. Sydney, Australia. 2024. Available online: https://legislation.nsw.gov.au/view/pdf/asmade/sl-2025-309 (accessed on 10 August 2025).
- CSIRO. Water Availability in the Murray-Darling Basin: A Report from CSIRO to the Australian Government; CSIRO: Singapore, 2008.
- Murrumbidgee Irrigation. Company Overview. 2019. Available online: https://www.mirrigation.com.au/ArticleDocuments/212/Company%20Overview%202025.pdf.aspx?Embed=Y (accessed on 3 September 2025).
- Singh, R.; Mullen, J.; Jayasuriya, R. Farming Systems in the Murrumbidgee Irrigation Area of NSW: An Economic Analysis; NSW Department of Primary Industries: Yanco, Australia, 2005. Available online: https://econpapers.repec.org/paper/agsnswprr/280779.htm (accessed on 11 June 2022).
- North, S. (DPIRD, Deniliquin, NSW, Australia). Personal communication, 2023.
- Average Monthly and Annual Temperatures Maps. Available online: https://www.bom.gov.au/climate/maps/averages/temperature/?maptype=mxt&period=an®ion=ns (accessed on 15 July 2024).
- Average Annual, Seasonal and Monthly Rainfall Maps. Available online: https://www.bom.gov.au/climate/maps/averages/rainfall/?period=an®ion=ns (accessed on 15 July 2024).
- Zhou, D.; Khan, S.; Abbas, A.; Rana, T.; Zhang, H.; Chen, Y. Climatic regionalization mapping of the Murrumbidgee Irrigation Area, Australia. Prog. Nat. Sci. 2009, 19, 1773–1779. [Google Scholar] [CrossRef]
- Phetheet, J.; Hill, M.; Barron, R.; Rossi, M.; Amanor-Boadu, V.; Wu, H.; Kisekka, K. Consequences of climate change on food-energy-water systems in arid regions without agricultural adaptation, analyzed using FEWCalc and DSSAT. Resour. Conserv. Recycl. 2021, 168, 105309. [Google Scholar] [CrossRef]
- Jiménez-Donaire, M.; Giráldez, J.; Vanwalleghem, T. Impact of climate change on agricultural droughts in Spain. Water 2020, 12, 3214. [Google Scholar] [CrossRef]
- Rezapour, S.; Jooyandeh, E.; Ramezanzade, M.; Mostafaeipour, A.; Jahangiri, M.; Issakhov, A.; Chowdhury, S.; Techato, K. Forecasting rainfed agricultural production in arid and semi-arid lands using learning machine methods: A case study. Sustainability 2021, 13, 4607–4635. [Google Scholar] [CrossRef]
- Golla, B. Agricultural production system in arid and semi-arid regions. Int. J. Agric. Sci. Food Technol. 2021, 7, 234–244. [Google Scholar] [CrossRef]
- Ingrao, C.; Strippoli, R.; Lagioia, G.; Huisingh, D. Water scarcity in agriculture: An overview of causes, impacts and approaches for reducing the risks. Heliyon 2023, 9, e18507. [Google Scholar] [CrossRef]
- Aivazidou, E.; Tsolakis, N.; Iakovou, E.; Vlachos, D. The emerging role of water footprint in supply chain management: A critical literature synthesis and a hierarchical decision-making framework. J. Clean. Prod. 2016, 137, 1018–1037. [Google Scholar] [CrossRef]
- Wang, X.; Dietrich, J.P.; Lotze-Campen, H.; Biewald, A.; Stevanović, M.; Bodirsky, B.L.; Brümmer, B.; Popp, A. Beyond land-use intensity: Assessing future global crop productivity growth under different socioeconomic pathways. Technol. Forecast. Soc. Change 2020, 160, 120208. [Google Scholar] [CrossRef]
- Martel, J.L.; Brissette, F.P.; Lucas-Picher, P.; Troin, M.; Arsenault, R. Climate change and rainfall intensity–duration–frequency curves: Overview of science and guidelines for adaptation. J. Hydrol. Eng. 2021, 26, 03121001. [Google Scholar] [CrossRef]
- Yang, Y.; Roderick, M.L.; Guo, H.; Miralles, D.G.; Zhang, L.; Fatichi, S.; Luo, X.; Zhang, Y.; McVicar, T.R.; Tu, Z.; et al. Evapotranspiration on a greening Earth. Nat. Rev. Earth Environ. 2023, 4, 626–641. [Google Scholar] [CrossRef]
- Smith, C.; McDonald, G. Assessing the sustainability of agriculture at the planning stage. J. Environ. Manag. 1998, 52, 15–37. [Google Scholar] [CrossRef]
- Randall, M.; Schiller, K.; Lewis, A.; Montgomery, J.; Alam, M. A systematic review of crop planning optimisation under climate change. Water Resour. Manag. 2024, 38, 1867–1881. [Google Scholar] [CrossRef]
- Hornbuckle, J.; Christen, E.; Thacker, J.; Muirhead, W.; Stein, T. Soils of the Murrumbidgee, Coleambally and Murray Irrigation Areas of Australia II: Physical Properties; CSIRO: Canberra, Australia, 2008.
- Thacker, J.; Hornbuckle, J.; Christen, E.; Muirhead, W.; Stein, T. Soils of the Murrumbidgee, Coleambally and Murray Irrigation Areas of Australia III: Chemical Properties; Technical Report; CSIRO Land & Water: Canberra, Australia, 2008.
- Kingwell, R. Managing complexity in modern farming. Aust. J. Agric. Resour. Econ. 2011, 55, 12–34. [Google Scholar] [CrossRef]
- Rendel, J.; Mackay, A.; Smale, P.; Manderson, A.; Scobie, D. Optimisation of the resource of land-based livestock systems to advance sustainable agriculture: A farm-level analysis. Agriculture 2020, 10, 331. [Google Scholar] [CrossRef]
- Dang Xuan, T.; Xuan Chien, N.; Dang Khanh, T.; Duc Viet, T.; Ngoc Minh, T.T. Advancements and challenges in allelopathy: A global perspective on agricultural practices. J. Crop Health 2025, 77, 151. [Google Scholar] [CrossRef]
- Landau, C.; Hager, A.; Tranel, P.; Davis, A.; Martin, N.; Williams, M. Future efficacy of pre-emergence herbicides in corn (Zea mays) is threatened by more variable weather. Pest Manag. Sci. 2021, 77, 2683–2689. [Google Scholar] [CrossRef]
- Ayana, G.; Fininsa, C. Effect of crop rotation on tomato bacterial wilt (Ralstonia solanacearum) and survival of the pathogen in the rhizospheres and roots of different crops in Ethiopia. Int. J. Phytopathol. 2017, 5, 81–88. [Google Scholar] [CrossRef]
- Cann, D.; Hunt, J.; Malcolm, B. Long fallows can maintain whole-farm profit and reduce risk in semi-arid south-eastern Australia. Agric. Syst. 2020, 178, 102721. [Google Scholar] [CrossRef]
- Collins, M.; Norton, R.; Pratley, J.; Kirkegaard, J. Diversifying the cropping phase. In Australian Agriculture in 2020: From Conservation to Automation; Pratley, J., Kirkegaard, J., Eds.; Graham Centre for Agricultral Innovation, Charles Stuart University: Wagga Wagga, NSW, Australia, 2019; pp. 307–322. [Google Scholar]
- Harries, M.; Flower, K.; Scanlan, C.; Rose, M.; Renton, M. Interactions between crop sequences, weed populations and herbicide use in Western Australian broadacre farms: Findings of a six-year survey. Crop Pasture Sci. 2020, 71, 491–505. [Google Scholar] [CrossRef]
- Dunn, B.; Fowler, J.; Garnett, L.; Groat, M.; Mauger, T.; North, S.; Oli, P.; Plunkett, G.; Smith, A.; Stevens, M. Rice Growing Guide; Technical Report; Department of Primary Industries: Sydney, Australia, 2018.
- Bell, L.; Klepper, K.; Gentry, J.; Lawrence, D.; Verrell, A.; McMullen, G. A paradigm shift in farming systems experimentation: Deploying a rule-based approach. In Doing More with Less, Proceedings of the 18th Australian Society of Agronomy Conference, Ballarat, VIC, Australia, 24–28 September 2017; O’Leary, G.J., Armstrong, R.D., Hafner, L., Eds.; Australian Society of Agronomy: Ballarat, Australia, 2017. [Google Scholar]
- Rodriguez, D.; DeVoil, P.; Power, B.; Cox, H.; Crimp, S.; Meinke, H. The intrinsic plasticity of farm businesses and their resilience to change. An Australian example. Field Crops Res. 2011, 124, 157–170. [Google Scholar] [CrossRef]
- Ma, C.S.; Wang, B.X.; Wang, X.J.; Lin, Q.C.; Zhang, W.; Yang, X.F.; van Baaren, J.; Bebber, D.P.; Eigenbrode, S.D.; Zalucki, M.P.; et al. Crop pest responses to global changes in climate and land management. Nat. Rev. Earth Environ. 2025, 6, 264–283. [Google Scholar] [CrossRef]
- Luck, J.; Spackman, M.; Freeman, A.; Trebicki, P.; Griffiths, W.; Finlay, K.; Chakraborty, S. Climate change and diseases of food crops. Plant Pathol. 2011, 60, 113–121. [Google Scholar] [CrossRef]
- Chakraborty, S.; Newton, A.C. Climate change, plant diseases and food security: An overview. Plant Pathol. 2011, 60, 2–14. [Google Scholar] [CrossRef]
- Bisbis, M.; Gruda, N.; Blanke, M. Potential impacts of climate change on vegetable production and product quality—A review. J. Clean. Prod. 2018, 170, 1602–1620. [Google Scholar] [CrossRef]
- Grafton, R.; Pittock, J.; Davis, R.; Williams, J.; Fu, G.; Warburton, M.; Udall, B.; McKenzie, R.; Yu, X.; Che, N. Global insights into water resources, climate change and governance. Nat. Clim. Change 2013, 3, 315–321. [Google Scholar] [CrossRef]
- Qureshi, M.; Ahmad, M.; Whitten, S.; Reeson, A.; Kirby, M. Impact of climate variability including drought on the residual value of irrigation water across the Murray–Darling Basin, Australia. Water Econ. Policy 2018, 4, 1550020. [Google Scholar] [CrossRef]
- He, L.; Du, Y.; Wu, S.; Zhang, Z. Evaluation of the agricultural water resource carrying capacity and optimization of a planting-raising structure. Agric. Water Manag. 2021, 243, 106456. [Google Scholar] [CrossRef]
- Abdelkader, A.; Elshorbagy, A. ACPAR: A framework for linking national water and food security management with global conditions. Adv. Water Resour. 2021, 147, 103809. [Google Scholar] [CrossRef]
- Duncan, R.; Kellow, A. Hydroelectricity. In Water Policy in Australia; Routledge: London, UK, 2010; pp. 109–123. [Google Scholar]
- Pollino, C.; Hart, B.; Nolan, M.; Byron, N.; Marsh, R. Rural and regional communities of the Murray–Darling Basin. In Murray-Darling Basin, Australia; Ecohydrology from Catchment to Coast; Hart, B., Bond, N., Byron, N., Pollino, C., Stewardson, M., Eds.; Elsevier: Amsterdam, The Netherlands, 2021; Volume 1, pp. 21–46. [Google Scholar] [CrossRef]
- NSW Government. Snowy Water Licence, 2022; NSW Government: Sydney, Australia, 2022.
- NSW Government. Water Management Act, 2000; NSW Government: Sydney, Australia, 2023.
- Mishra, A.; Goel, L. Metaheuristic algorithms in smart farming: An analytical survey. IETE Tech. Rev. 2024, 41, 46–65. [Google Scholar] [CrossRef]
- Mellaku, M.; Sebsibe, A. Potential of mathematical model-based decision making to promote sustainable performance of agriculture in developing countries: A review article. Heliyon 2022, 8, e08968. [Google Scholar] [CrossRef]
- Pastori, M.; Udías, A.; Bouraoui, F.; Bidoglio, G. A multi-objective approach to evaluate the economic and environmental impacts of alternative water and nutrient management strategies in Africa. J. Environ. Inform. 2017, 29, 193–201. [Google Scholar] [CrossRef]
- Li, Y.; Shi, Y.; Deng, X.; Sun, Z.; Accatino, F. Increasing food and feed self-sufficiency and avoiding manure N surplus in eastern regions of China through a spatial crop-livestock optimisation model. Agric. Syst. 2024, 217, 103911. [Google Scholar] [CrossRef]
- Randall, M.; Montgomery, J.; Lewis, A. Robust temporal optimisation for a crop planning problem under climate change uncertainty. Oper. Res. Perspect. 2022, 9, 100219. [Google Scholar] [CrossRef]
- New, M.; Liverman, D.; Schroeder, H.; Anderson, K. Four degrees and beyond: The potential for a global temperature increase of four degrees and its implications. Philos. Trans. R. Soc. A Math. Phys. Eng. Sci. 2011, 369, 1112. [Google Scholar] [CrossRef]
- Bullock, D. Crop rotation. Crit. Rev. Plant Sci. 1992, 11, 309–326. [Google Scholar] [CrossRef]
- Whitbread, A.M.; Davoren, C.W.; Gupta, V.V.S.R.; Llewellyn, R. Long-term cropping system studies support intensive and responsive cropping systems in the low rainfall Australian Mallee. Crop Pasture Sci. 2015, 66, 553. [Google Scholar] [CrossRef]
- Singh, A. Simulation–optimization modeling for conjunctive water use management. Agric. Water Manag. 2014, 141, 23–29. [Google Scholar] [CrossRef]
- Murdock, B.B. Human memory in the Twenty-first Century. In The Science of the Mind: 2001 and Beyond; Solso, R., Massaro, D., Eds.; Oxford University Press: New York, NY, USA, 1974; pp. 109–122. [Google Scholar]
- Kellerer, H.; Pferschy, U.; Pisinger, D. The multiple-choice knapsack problem. In Knapsack Problems; Springer: Berlin/Heidelberg, Germany, 2004; pp. 317–347. [Google Scholar]
- Tanveer, A.I.; Muhammad, R.; Ali, H.H. Crop rotation: Principles and practices. In Agronomic Crops: Volume 2: Management Practices; Hasanuzzaman, M., Ed.; Springer: Singapore, 2019; pp. 1–12. [Google Scholar] [CrossRef]
- Schiller, K.; Randall, M.; Montgomery, J.; Lewis, A. Preparing rural communities for the future: Spatiotemporal optimisation of rotation sequences–STORS. In Adaptive Agronomy for a Resilient Future, Proceedings of the 21st Australian Society of Agronomy Conference, Albany, WA, Australia, 21–24 October 2024; Lawes, R., Flower, K., Michael, P., Mwenda, G., Singh, B., Eds.; Australian Society of Agronomy: Albany, Australia, 2024. [Google Scholar]
- Rötter, R.; Carter, T.; Olesen, J.; Porter, J. Crop–climate models need an overhaul. Nat. Clim. Change 2011, 1, 175–177. [Google Scholar] [CrossRef]
- Qian, Y.; Jackson, C.; Giorgi, F.; Booth, B.; Duan, Q.; Forest, C.; Higdon, D.; Hou, Z.; Huerta, G. Uncertainty quantification in climate modeling and projection. Bull. Am. Meteorol. Soc. 2016, 97, 821–824. [Google Scholar] [CrossRef]
- Randall, D.; Wood, R.; Bony, S.; Colman, R.; Fichefet, T.; Fyfe, J.; Kattsov, V.; Pitman, A.; Shukla, J.; Srinivasan, J.; et al. Climate models and their evaluation. In Climate Change 2007: The Physical Science Basis. Contribution of Working Group I to the Fourth Assessment Report of the IPCC (FAR); Cambridge University Press: Cambridge, UK, 2007; pp. 589–662. [Google Scholar]
- Evans, J.; Ji, F.; Lee, C.; Smith, P.; Argüeso, D.; Fita, L. Design of a regional climate modelling projection ensemble experiment–NARCliM. Geosci. Model Dev. 2014, 7, 621–629. [Google Scholar] [CrossRef]
- Nishant, N.; Evans, J.; Di Virgilio, G.; Downes, S.; Ji, F.; Cheung, K. Introducing NARCliM1.5: Evaluating the performance of regional climate projections for Southeast Australia for 1950–2100. Earth’s Future 2021, 9, e2020EF001833. [Google Scholar] [CrossRef]
- Schwalm, C.; Glendon, P.; Duffy, P. RCP8.5 tracks cumulative CO2 emissions. Proc. Natl. Acad. Sci. USA 2020, 117, 19656–19657. [Google Scholar] [CrossRef]
- Model Sub-Set for Application-Ready Data. Available online: https://www.climatechangeinaustralia.gov.au/en/obtain-data/application-ready-data/eight-climate-models-data/ (accessed on 23 September 2021).
- Allen, R.; Pereira, L.; Raes, D.; Smith, M. Crop evapotranspiration–Guidelines for computing crop water requirements. FAO Irrig. Drain. 1998, 300, D05109. [Google Scholar]
- Wu, J.; Zha, J.; Zhao, D.; Yang, Q. Changes in terrestrial near-surface wind speed and their possible causes: An overview. Clim. Dyn. 2018, 51, 2039–2078. [Google Scholar] [CrossRef]
- North, S. (DPIRD, Deniliquin, Australia); Hornbuckle, J. (IrrriGATEway, Deakin University, Burwood, Australia). Personal communication, 2022.
- A Framework for Land Evaluation. Available online: https://www.fao.org/4/x5310e/x5310e00.htm (accessed on 22 April 2002).
- North, S.; Schultz, A.; Griffin, D. Key constraints to irrigated wheat yields in the southern Murray-Darling basin. In Cells to Satellites, Proceedings of the 19th Australian Society of Agronomy Conference, Wagga Wagga, NSW, Australia, 25–29 August 2019; Pratley, J., Ed.; Australian Society of Agronomy: Wagga Wagga, Australia, 2019. [Google Scholar]
- Murphy, B.; Atkinson, G.; Bowman, G.; Emery, K.; Gray, J.; Lucas, S.; Milford, H. The Land and Soil Capability Assessment Scheme, a General Rural Land Evaluation System for New South Wales; NSW Government, Office of Environment & Heritage: Sydney, Australia, 2012.
- Hochman, Z.; Garcia, J.N.; Horan, H.; Whish, J.; Bell, L. Design of sustainable dryland crop rotations require value judgements and efficient trade-offs. Environ. Res. Lett. 2021, 16, 064067. [Google Scholar] [CrossRef]
- Liu, C.; Wang, L.; Le Cocq, K.; Chang, C.; Li, Z.; Chen, F.; Liu, Y.; Wu, L. Climate change and environmental impacts on and adaptation strategies for production in wheat-rice rotations in southern China. Agric. For. Meteorol. 2020, 292, 108136. [Google Scholar] [CrossRef]
- GRDC. GrowerNotesTM. Available online: https://grdc.com.au/resources-and-publications/grownotes (accessed on 17 March 2022).
- Talukder, P.; Sinha, B.; Biswas, S.; Ghosh, A.; Banerjee, A.; Paul, S. A study on the prospect of converting C3 plants into C4 plants. Biocatal. Agric. Biotechnol. 2024, 58, 103191. [Google Scholar] [CrossRef]
- Water Allocation Statements. Available online: https://water.dpie.nsw.gov.au/allocations-availability/allocations/water-allocation-statements (accessed on 11 June 2022).
- Volume Traded (ML) and Weighted Average Price ($/ML). Available online: https://www.dpie.nsw.gov.au/water/licensing-and-trade/trade/trade-dashboard (accessed on 14 July 2022).
- Campbell, H.; Dudek, R.; Smith, M. A heuristic algorithm for the n job, m machine sequencing problem. Manag. Sci. 1970, 16, B-630. [Google Scholar] [CrossRef]
- Dorigo, M.; Birattari, M.; Stutzle, T. Ant colony optimization. IEEE Comput. Intell. Mag. 2006, 1, 28–39. [Google Scholar] [CrossRef]
- Dorigo, M.; Gambardella, L. Ant colony system: A cooperative learning approach to the traveling salesman problem. IEEE Trans. Evol. Comput. 1997, 1, 53–66. [Google Scholar] [CrossRef]
- Deb, K.; Sindhya, K.; Hakanen, J. Multi-objective optimization. In Decision Sciences; CRC Press: Boca Raton, FL, USA, 2016; pp. 161–200. [Google Scholar]
- Murrumbidgee Irrigation. Annual Compliance Report. 2024. Available online: https://www.mirrigation.com.au/ArticleDocuments/242/Murrumbidgee%20Irrigation%20FY%202023-24%20Annual%20Compliance%20Report.pdf.aspx?Embed=Y (accessed on 10 August 2025).
- Kandulu, J.M.; Bryan, B.A.; King, D.; Connor, J.D. Mitigating economic risk from climate variability in rain-fed agriculture through enterprise mix diversification. Ecol. Econ. 2012, 79, 105–112. [Google Scholar] [CrossRef]
- Wheeler, S. What influences agricultural professionals’ views towards organic agriculture? Ecol. Econ. 2008, 65, 145–154. [Google Scholar] [CrossRef]
- Malik, A.I.; Bell, R.; Zang, H.; Boitt, G.; Whalley, W.R. Exploring the plant and soil mechanisms by which crop rotations benefit farming systems. Plant Soil 2025, 507, 1–9. [Google Scholar] [CrossRef]
- Capital Requirements of Australia’s Agricultural, Fisheries and Forestry Sector. Available online: https://agrifutures.com.au/product/capital-requirements/ (accessed on 3 February 2025).
- Lisciani, S.; Marconi, S.; Le Donne, C.; Camilli, E.; Aguzzi, A.; Gabrielli, P.; Gambelli, L.; Kunert, K.; Marais, D.; Vorster, B.J.; et al. Legumes and common beans in sustainable diets: Nutritional quality, environmental benefits, spread and use in food preparations. Front. Nutr. 2024, 11, 1385232. [Google Scholar] [CrossRef]
- Yuan, S.; Li, X.; Du, E. Effects of farmers’ behavioral characteristics on crop choices and responses to water management policies. Agric. Water Manag. 2021, 247, 106693. [Google Scholar] [CrossRef]
- Hulugalle, N.; Scott, F. A review of the changes in soil quality and profitability accomplished by sowing rotation crops after cotton in Australian Vertosols from 1970 to 2006. Soil Res. 2008, 46, 173–190. [Google Scholar] [CrossRef]
- Smith, G.S.; Stewart, S.B.; Scheufele, G.; Evans, D.; Liu, N.; Pascoe, S.; Roxburgh, S.H.; Schmidt, R.K.; Vardon, M. Accounting for ecosystem services using extended supply and use tables: A case study of the Murray-Darling Basin, Australia. Ecosyst. Serv. 2025, 74, 101741. [Google Scholar] [CrossRef]
- Fletcher, A.L.; Kirkegaard, J.A.; Peoples, M.B.; Robertson, M.J.; Whish, J.; Swan, A.D. Prospects to utilise intercrops and crop variety mixtures in mechanised, rain-fed, temperate cropping systems. Crop Pasture Sci. 2016, 67, 1252–1267. [Google Scholar] [CrossRef]
- Mabhaudhi, T.; Chimonyo, V.G.P.; Hlahla, S.; Massawe, F.; Mayes, S.; Nhamo, L.; Modi, A.T. Prospects of orphan crops in climate change. Planta 2019, 250, 695–708. [Google Scholar] [CrossRef]
- NSW Government. Murrumbidgee Act, 1910; NSW Government: Sydney, Australia, 1910. Available online: https://legislation.nsw.gov.au/view/pdf/asmade/act-1910-42 (accessed on 10 August 2025).
- Mitchell, J.; Proud, C.; Vinarao, R.; Gong, W.l.; Dunn, B.; Snell, P.; Fukai, S. Designing rice to improve water productivity for temperate production. In System Solutions for Complex Problems, Proceedings of the 20th Australian Agronomy Conference, Toowoomba, QLD, Australia, 18–22 September 2022; Bell, L., Bhagirath, C., Eds.; Australian Society of Agronomy: Toowoomba, Australia, 2022. [Google Scholar]
- Lakhiar, I.A.; Yan, H.; Zhang, C.; Wang, G.; He, B.; Hao, B.; Han, Y.; Wang, B.; Bao, R.; Syed, T.N.; et al. A review of precision irrigation water-saving technology under changing climate for enhancing water use efficiency, crop yield, and environmental footprints. Agriculture 2024, 14, 1141. [Google Scholar] [CrossRef]
- Morris, E.K.; Fletcher, R.; Veresoglou, S.D. Effective methods of biofumigation: A meta-analysis. Plant Soil 2020, 446, 379–392. [Google Scholar] [CrossRef]
- Wang, J.; Wang, E.; Liu, D.L. Modelling the impacts of climate change on wheat yield and field water balance over the Murray–Darling Basin in Australia. Theor. Appl. Climatol. 2011, 104, 285–300. [Google Scholar] [CrossRef]
- Hochman, Z.; Horan, H.; Garcia, J.; Whish, J.; Bell, L. Suboptimal crop rotations account for a 17% system revenue gap across dryland subtropical Australia. In System Solutions for Complex Problems, Proceedings of the 20th Australian Agronomy Conference, Toowoomba, QLD, Australia, 18–22 September 2022; Bell, L., Bhagirath, C., Eds.; Australian Society of Agronomy: Toowoomba, Australia, 2022. [Google Scholar]
- Godfrey, S.S.; Nordblom, T.; Ip, R.H.L. Business risk profiles for irrigated cotton in the Murrumbidgee catchment of Southern New South Wales. In System Solutions for Complex Problems, Proceedings of the 20th Australian Agronomy Conference, Toowoomba, QLD, Australia, 18–22 September 2022; Bell, L., Bhagirath, C., Eds.; Australian Society of Agronomy: Toowoomba, Australia, 2022. [Google Scholar]
- Anwar, M.R.; Wang, B.; Li Liu, D.; Waters, C. Late planting has great potential to mitigate the effects of future climate change on Australian rain-fed cotton. Sci. Total Environ. 2020, 714, 136806. [Google Scholar] [CrossRef]
- Lewis, A.; Montgomery, J.; Lewis, M.; Randall, M.; Schiller, K. Business as usual versus climate-responsive, optimised crop plans—A predictive model for irrigated agriculture in Australia in 2060. Water Resour. Manag. 2023, 37, 2721–2735. [Google Scholar] [CrossRef]
- Adeyemo, J.; Otieno, F. Differential evolution algorithm for solving multi-objective crop planning model. Agric. Water Manag. 2010, 97, 848–856. [Google Scholar] [CrossRef]
- Fulton, J.; Norton, M.; Shilling, F. Water-indexed benefits and impacts of California almonds. Ecol. Indic. 2019, 96, 711–717. [Google Scholar] [CrossRef]
- Forster, P.M.; Smith, C.; Walsh, T.; Lamb, W.F.; Lamboll, R.; Hall, B.; Hauser, M.; Ribes, A.; Rosen, D.; Gillett, N.P.; et al. Indicators of global climate change 2023: Annual update of key indicators of the state of the climate system and human influence. Earth Syst. Sci. Data 2024, 16, 2625–2658. [Google Scholar] [CrossRef]
- Easterling, D.R.; Kunkel, K.E.; Crimmins, A.R.; Wehner, M.F. Long-term planning requires climate projections beyond 2100. Nat. Clim. Change 2024, 14, 887–888. [Google Scholar] [CrossRef]
- Scherr, S.; Shames, S.; Friedman, R. From climate-smart agriculture to climate-smart landscapes. Agric. Food Secur. 2012, 1, 1–15. [Google Scholar] [CrossRef]
- Maier, H.R.; Guillaume, J.H.; van Delden, H.; Riddell, G.A.; Haasnoot, M.; Kwakkel, J.H. An uncertain future, deep uncertainty, scenarios, robustness and adaptation: How do they fit together? Environ. Model. Softw. 2016, 81, 154–164. [Google Scholar] [CrossRef]
- Camps-Valls, G.; Fernández-Torres, M.Á.; Cohrs, K.H.; Höhl, A.; Castelletti, A.; Pacal, A.; Robin, C.; Martinuzzi, F.; Papoutsis, I.; Prapas, I.; et al. Artificial intelligence for modeling and understanding extreme weather and climate events. Nat. Commun. 2025, 16, 1919. [Google Scholar] [CrossRef] [PubMed]








| Soil Type | Area (ha) | Parcels |
|---|---|---|
| Self-mulching clay | 49,292 | 246 |
| Hard-setting clay | 15,171 | 76 |
| Transitional red-brown earths | 20,851 | 104 |
| Red-brown earths | 31,520 | 158 |
| Sand-over clay | 20,764 | 104 |
| Deep sandy soils | 3402 | 17 |
| Total | 141,000 | 705 |
| Precipitation Ranking | Representative Year |
|---|---|
| Drought | 2007 |
| Very low | 2019 |
| Low | 2009 |
| Midrange | 2015 |
| High | 2012 |
| Water Allocation Category | Crop Income Coefficient |
|---|---|
| Drought | 160% |
| Very low | 130% |
| Low | 110% |
| Mid-range | 100% |
| High | 80% |
Disclaimer/Publisher’s Note: The statements, opinions and data contained in all publications are solely those of the individual author(s) and contributor(s) and not of MDPI and/or the editor(s). MDPI and/or the editor(s) disclaim responsibility for any injury to people or property resulting from any ideas, methods, instructions or products referred to in the content. |
© 2025 by the authors. Licensee MDPI, Basel, Switzerland. This article is an open access article distributed under the terms and conditions of the Creative Commons Attribution (CC BY) license (https://creativecommons.org/licenses/by/4.0/).
Share and Cite
Schiller, K.; Montgomery, J.; Randall, M.; Lewis, A.; Alam, M.S. Optimising Long-Range Agricultural Land Use Under Climate Uncertainty. Agriculture 2025, 15, 2133. https://doi.org/10.3390/agriculture15202133
Schiller K, Montgomery J, Randall M, Lewis A, Alam MS. Optimising Long-Range Agricultural Land Use Under Climate Uncertainty. Agriculture. 2025; 15(20):2133. https://doi.org/10.3390/agriculture15202133
Chicago/Turabian StyleSchiller, Karin, James Montgomery, Marcus Randall, Andrew Lewis, and Muhammad Shahinur Alam. 2025. "Optimising Long-Range Agricultural Land Use Under Climate Uncertainty" Agriculture 15, no. 20: 2133. https://doi.org/10.3390/agriculture15202133
APA StyleSchiller, K., Montgomery, J., Randall, M., Lewis, A., & Alam, M. S. (2025). Optimising Long-Range Agricultural Land Use Under Climate Uncertainty. Agriculture, 15(20), 2133. https://doi.org/10.3390/agriculture15202133

