Stubble Management Plays a Greater Role than Tillage Practice in Shaping Soil Microbiome Structure and Function
Abstract
1. Introduction
2. Materials and Methods
2.1. Field Experiment
2.2. Metagenome Sequencing and Bioinformatics
2.3. Statistics
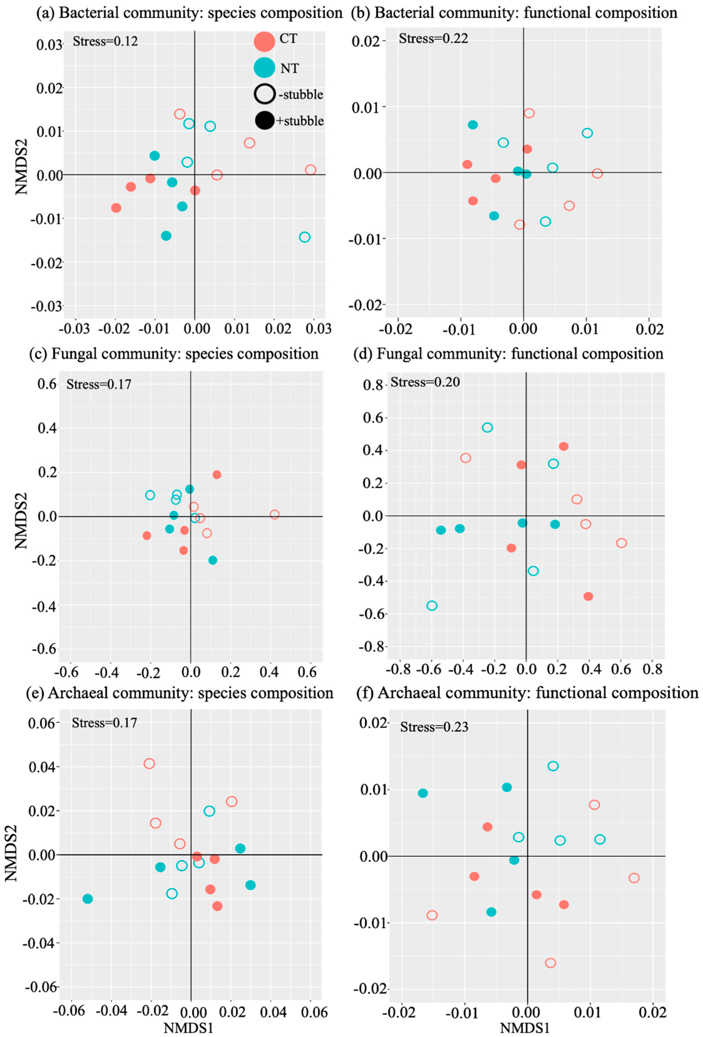
3. Results
3.1. Soil Physical and Chemical Properties
3.2. Soil Microbiome Diversity
3.3. Key Species and Key Functional Units
4. Discussion
4.1. Effects of Stubble and Tillage Management on the Structure and Diversity of Microbial Community
4.2. Key Species and Functions Determining Prokaryotic Community
5. Conclusions
Supplementary Materials
Author Contributions
Funding
Institutional Review Board Statement
Data Availability Statement
Acknowledgments
Conflicts of Interest
References
- Shia, A.; Cavagnarob, T.R.; Sumbyb, K.M.; McDonaldb, G.; Dentonb, M.D.; Royb, S.J.; Schillinga, R.K. Impact of agronomic management on the soil microbiome: A southern Australian dryland broadacre perspective. Adv. Agron. 2024, 186, 113. [Google Scholar] [CrossRef]
- Lal, R.; Eckert, D.; Fausey, N.; Edwards, W. Conservation tillage in sustainable agriculture. Sustain. Agric. Syst. 1990, 203–225. [Google Scholar]
- Alam, M.K.; Islam, M.M.; Salahin, N.; Hasanuzzaman, M. Effect of tillage practices on soil properties and crop productivity in wheat-mungbean-rice cropping system under subtropical climatic conditions. Sci. World J. 2014, 2014, 437283. [Google Scholar] [CrossRef] [PubMed]
- Blanco-Canqui, H.; Ruis, S.J. No-tillage and soil physical environment. Geoderma 2018, 326, 164–200. [Google Scholar] [CrossRef]
- Sarkar, R.; Kar, S. Temporal changes in fertility and physical properties of soil under contrasting tillage-crop residue management for sustainable rice-wheat system on sandy-loam soil. J. Crop Improv. 2011, 25, 262–290. [Google Scholar] [CrossRef]
- Roper, M.M.; Ward, P.R.; Keulen, A.F.; Hill, J.R. Under no-tillage and stubble retention, soil water content and crop growth are poorly related to soil water repellency. Soil Tillage Res. 2013, 126, 143–150. [Google Scholar] [CrossRef]
- Busari, M.A.; Kukal, S.S.; Kaur, A.; Bhatt, R.; Dulazi, A.A. Conservation tillage impacts on soil, crop and the environment. Int. Soil Water Conserv. Res. 2015, 3, 119–129. [Google Scholar] [CrossRef]
- Allen, D.E.; Singh, B.P.; Dalal, R.C. Soil health indicators under climate change: A review of current knowledge. In Soil Health and Climate Change; Springer: Berlin/Heidelberg, Germany, 2011; Volume 29. [Google Scholar] [CrossRef]
- Chen, H.Q.; Hou, R.X.; Gong, Y.S.; Li, H.W.; Fan, M.S.; Kuzyakov, Y. Effects of 11 years of conservation tillage on soil organic matter fractions in wheat monoculture in Loess Plateau of China. Soil Tillage Res. 2009, 106, 85–94. [Google Scholar] [CrossRef]
- Lv, L.; Gao, Z.; Liao, K.; Zhu, Q.; Zhu, J. Impact of conservation tillage on the distribution of soil nutrients with depth. Soil Tillage Res. 2023, 225, 105527. [Google Scholar] [CrossRef]
- Zhang, L.; Su, X.; Meng, H.; Men, Y.; Liu, C.; Yan, X.; Mao, L. Cotton stubble return and subsoiling alter soil microbial community, carbon and nitrogen in coastal saline cotton fields. Soil Tillage Res. 2023, 226, 105585. [Google Scholar] [CrossRef]
- Obayomi, O.; Seyoum, M.M.; Ghazaryan, L.; Tebbe, C.C.; Murase, J.; Bernstein, N.; Gillor, O. Soil texture and properties rather than irrigation water type shape the diversity and composition of soil microbial communities. Appl. Soil Ecol. 2021, 161, 103834. [Google Scholar] [CrossRef]
- Pankhurst, C.E.; McDonald, H.J.; Hawke, B.G.; Kirkby, C.A. Effect of tillage and stubble management on chemical and microbiological properties and the development of suppression towards cereal root disease in soils from two sites in NSW, Australia. Soil Biol. Biochem. 2002, 34, 833–840. [Google Scholar] [CrossRef]
- Wang, X.B.; Yao, J.; Zhang, H.Y.; Wang, X.G.; Li, K.H.; Lu, X.T.; Wang, Z.W.; Zhou, J.Z.; Han, X.G. Environmental and spatial variables determine the taxonomic but not functional structure patterns of microbial communities in alpine grasslands. Sci. Total Environ. 2019, 654, 960–968. [Google Scholar] [CrossRef] [PubMed]
- Alemneh, A.A.; Zhou, Y.; Ryder, M.H.; Denton, M.D. Is phosphate solubilizing ability in plant growth-promoting rhizobacteria isolated from chickpea linked to their ability to produce ACC deaminase? J. Appl. Microbiol. 2021, 131, 2416–2432. [Google Scholar] [CrossRef]
- Zhou, Y.; Lambrides, C.J.; Li, J.; Xu, Q.; Toh, R.; Tian, S.; Yang, P.; Yang, H.; Ryder, M.; Denton, M.D. Nitrifying microbes in the rhizosphere of perennial grasses are modified by biological nitrification inhibition. Microorganisms 2020, 8, 1687. [Google Scholar] [CrossRef]
- Sui, L.; Li, J.; Philp, J.; Yang, K.; Wei, Y.; Li, H.; Li, J.; Li, L.; Ryder, M.; Toh, R.; et al. Trichoderma atroviride seed dressing influenced the fungal community and pathogenic fungi in the wheat rhizosphere. Sci. Rep. 2022, 12, 9677. [Google Scholar] [CrossRef]
- Anderson, G. The Impact of Tillage Practices and Crop Residue (Stubble) Retention in the Cropping System of Western Australia; Department of Agriculture and Food: Perth, WA, Australia, 2009.
- Ayilara, M.S.; Olanrewaju, O.S.; Babalola, O.O.; Odeyemi, O. Waste management through composting: Challenges and potentials. Sustainability 2020, 12, 4456. [Google Scholar] [CrossRef]
- Gupta, A.; Singh, U.B.; Sahu, P.K.; Paul, S.; Kumar, A.; Malviya, D.; Singh, S.; Kuppusamy, P.; Singh, P.; Paul, D.; et al. Linking soil microbial diversity to modern agriculture practices: Review. Int. J. Environ. Res. Public Health 2022, 19, 3141. [Google Scholar] [CrossRef]
- Hubbe, M.; Nazhad, M.; Sanchez, C. Composting as a way to convert cellulosic biomass and organic waste into high-value soil amendments: A Review. Bioresource 2010, 5, 2808–2854. [Google Scholar] [CrossRef]
- Zuber, S.M.; Villamil, M.B. Meta-analysis approach to assess effect of tillage on microbial biomass and enzyme activities. Soil Biol. Biochem. 2016, 97, 176–187. [Google Scholar] [CrossRef]
- Chen, X.; Henriksen, T.M.; Svensson, K.; Korsaeth, A. Long-term effects of agricultural production systems on structure and function of the soil microbial community. Appl. Soil Ecol. 2020, 147, 103387. [Google Scholar] [CrossRef]
- Jackson, L.E.; Calderon, F.J.; Steenwerth, K.L.; Scow, K.M.; Rolston, D.E. Responses of soil microbial processes and community structure to tillage events and implications for soil quality. Geoderma 2003, 114, 305–317. [Google Scholar] [CrossRef]
- Wang, Y.; Li, C.; Tu, C.; Hoyt, G.D.; DeForest, J.L.; Hu, S. Long-term no-tillage and organic input management enhanced the diversity and stability of Soil Microbial Community. Sci. Total Environ. 2017, 609, 341–347. [Google Scholar] [CrossRef] [PubMed]
- Ward, N.L.; Challacombe, J.F.; Janssen, P.H.; Henrissat, B.; Coutinho, P.M.; Wu, M.; Kuske, C.R. Three genomes from the phylum Acidobacteria provide insight into the lifestyles of these microorganisms in soils. Appl. Environ. Microbiol. 2009, 75, 2046–2056. [Google Scholar] [CrossRef]
- Fang, Y.Y.; Van Zwieten, L.; Rose, M.T.; Vasileiadis, S.; Donner, E.; Vancov, T.; Rigg, J.L.; Weng, Z.; Lombi, E.; Drigo, B.; et al. Unraveling microbiomes and functions associated with strategic tillage, stubble, and fertilizer management. Agric. Ecosyst. Environ. 2022, 323, 107686. [Google Scholar] [CrossRef]
- Wakelin, S.A.; Colloff, M.J.; Harvey, P.R.; Marschner, P.; Gregg, A.L.; Rogers, S.L. The effects of stubble retention and nitrogen application on soil microbial community structure and functional gene abundance under irrigated maize. FEMS Microbiol. Ecol. 2007, 59, 661–670. [Google Scholar] [CrossRef]
- Hobbie, E.A.; Horton, T.R. Evidence that saprotrophic fungi mobilise carbon and mycorrhizal fungi mobilise nitrogen during litter decomposition. New Phytol. 2007, 173, 447–449. [Google Scholar] [CrossRef]
- Ma, A.; Zhuang, X.; Wu, J.; Cui, M.; Lv, D.; Liu, C.; Zhuang, G. Ascomycota members dominate fungal communities during straw residue decomposition in arable soil. PLoS ONE 2013, 8, e66146. [Google Scholar] [CrossRef]
- Hoyle, F.C.; Murphy, D.V. Seasonal changes in microbial function and diversity associated with stubble retention versus burning. Soil Res. 2006, 44, 407. [Google Scholar] [CrossRef]
- Sarker, J.R.; Singh, B.P.; Cowie, A.L.; Fang, Y.; Collins, D.; Badgery, W.; Dalal, R.C. Agricultural management practices impacted carbon and nutrient concentrations in soil aggregates, with minimal influence on aggregate stability and total carbon and nutrient stocks in contrasting soils. Soil Tillage Res. 2018, 178, 209–223. [Google Scholar] [CrossRef]
- Nazaries, L.; Singh, B.P.; Sarker, J.R.; Fang, Y.; Klein, M.; Singh, B.K. The response of soil multi-functionality to agricultural management practices can be predicted by key soil abiotic and biotic properties. Agric. Ecosyst. Environ. 2021, 307, 107206. [Google Scholar] [CrossRef]
- Yang, T.; Lupwayi, N.; Marc, S.A.; Siddique, K.H.; Bainard, L.D. Anthropogenic drivers of soil microbial communities and impacts on soil biological functions in agroecosystems. Glob. Ecol. Conserv. 2021, 27, e01521. [Google Scholar] [CrossRef]
- Hayatsu, M.; Tago, K.; Saito, M. Various players in the nitrogen cycle: Diversity and functions of the microorganisms involved in nitrification and denitrification. J. Soil Sci. Plant Nutr. 2008, 54, 33–45. [Google Scholar] [CrossRef]
- Kuypers, M.M.M.; Marchant, H.K.; Kartal, B. The microbial nitrogen-cycling network. Nat. Rev. Microbiol. 2018, 16, 263–276. [Google Scholar] [CrossRef] [PubMed]
- Paul, E.; Frey, S. (Eds.) Soil Microbiology, Ecology and Biochemistry; Elsevier: Amsterdam, The Netherlands, 2023. [Google Scholar]
- Mayer, M.; Rewald, B.; Matthews, B.; Sanden, H.; Rosinger, C.; Katzensteiner, K.; Godbold, D.L. Soil fertility relates to fungal-mediated decomposition and organic matter turnover in a temperate mountain forest. New Phytol. 2021, 231, 777–790. [Google Scholar] [CrossRef]
- Deckers, J.A.; Nachtergaele, F.; Spaargaren, O.C. (Eds.) World Reference Base for Soil Resources Introduction; Acco: Louven, Belgium, 1998. [Google Scholar]
- Rayment, G.E.; Lyons, D.J. Soil Chemical Methods Australasia; CSIRO: Canberra, Australia, 2011; Volume 3.
- Quince, C.; Walker, A.W.; Simpson, J.T.; Loman, N.J.; Segata, N. Shotgun metagenomics, from sampling to analysis. Nat. Biotechnol. 2017, 35, 833–844. [Google Scholar] [CrossRef]
- Li, D.; Liu, C.M.; Luo, R.; Sadakane, K.; Lam, T.W. MEGAHIT: An ultra-fast single-node solution for large and complex metagenomics assembly via succinct de Bruijn graph. Bioinformatics 2015, 31, 1674–1676. [Google Scholar] [CrossRef]
- Langmead, B.; Salzberg, S.L. Fast gapped-read alignment with Bowtie 2. Nat. Methods 2012, 9, 357–359. [Google Scholar] [CrossRef]
- Bankevich, A.; Nurk, S.; Antipov, D.; Gurevich, A.A.; Dvorkin, M.; Kulikov, A.S.; Lesin, V.M.; Nikolenko, S.I.; Pham, S.; Prjibelski, A.D.; et al. SPAdes: A new genome assembly algorithm and its applications to single-cell sequencing. J. Comput. Biol. 2012, 19, 455–477. [Google Scholar] [CrossRef]
- Li, R.; Li, Y.; Kristiansen, K.; Wang, J. SOAP: Short oligonucleotide alignment program. Bioinformatics 2008, 24, 713–714. [Google Scholar] [CrossRef]
- Liu, Y.; Guo, J.; Hu, G.; Zhu, H. Gene prediction in metagenomic fragments based on the SVM algorithm. BMC Bioinform. 2013, 14, S12. [Google Scholar] [CrossRef] [PubMed]
- Li, W.; Godzik, A. Cd-hit: A fast program for clustering and comparing large sets of protein or nucleotide sequences. Bioinformatics 2006, 22, 1658–1659. [Google Scholar] [CrossRef] [PubMed]
- Patro, R.; Duggal, G.; Love, M.I.; Irizarry, R.A.; Kingsford, C. Salmon provides fast and bias-aware quantification of transcript expression. Nat. Methods 2017, 14, 417–419. [Google Scholar] [CrossRef] [PubMed]
- Kanehisa, M. KEGG: Kyoto Encyclopedia of Genes and Genomes. Nucleic Acids Res. 2000, 28, 27–30. [Google Scholar] [CrossRef] [PubMed]
- Kanehisa, M. From genomics to chemical genomics: New developments in KEGG. Nucleic Acids Res. 2006, 34, D354–D357. [Google Scholar] [CrossRef] [PubMed]
- Buchfink, B.; Xie, C.; Huson, D.H. Fast and sensitive protein alignment using DIAMOND. Nat. Methods 2015, 12, 59–60. [Google Scholar] [CrossRef]
- Huson, D.H.; Auch, A.F.; Qi, J.; Schuster, S.C. MEGAN analysis of metagenomic data. Genome Res. 2007, 17, 377–386. [Google Scholar] [CrossRef]
- Bahram, M.; Hildebrand, F.; Forslund, S.K.; Anderson, J.L.; Soudzilovskaia, N.A.; Bodegom, P.M.; Bengtsson-Palme, J.; Anslan, S.; Coelho, L.P.; Harend, H.; et al. Structure and function of the global topsoil microbiome. Nature 2018, 560, 233–237. [Google Scholar] [CrossRef]
- Wang, L.; Lu, P.; Feng, S.; Hamel, C.; Sun, D.; Siddique, K.H.M.; Gan, G.Y. Strategies to improve soil health by optimizing the plant–soil–microbe–anthropogenic activity nexus. Agric. Ecosyst. Environ. 2024, 359, 108750. [Google Scholar] [CrossRef]
- Tian, W.; Wang, L.; Li, Y.; Zhuang, K.; Li, G.; Zhang, J.; Xiao, X.; Xi, Y. Responses of microbial activity, abundance, and community in wheat soil after three years of heavy fertilization with manure-based compost and inorganic nitrogen. Agric. Ecosyst. Environ. 2015, 213, 219–227. [Google Scholar] [CrossRef]
- Arunrat, N.; Sereenonchai, S.; Sansupa, C.; Kongsurakan, P.; Hatano, R. Effect of rice straw and stubble burning on soil physicochemical properties and bacterial communities in central thailand. Biology 2023, 12, 501. [Google Scholar] [CrossRef] [PubMed]
- Marsch, R.; Verhulst, N.; Govaerts, B.; Dendooven, L. Bacterial indicator taxa in soils under different long-term agricultural management. J. Appl. Microbiol. 2016, 120, 921–933. [Google Scholar] [CrossRef]
- Yu, D.; Wen, Z.; Li, X.; Song, X.; Wu, H.; Yang, P. Effects of straw return on bacterial communities in a wheat-maize rotation system in the North China Plain. PLoS ONE 2018, 13, e0198087. [Google Scholar] [CrossRef] [PubMed]
- Liu, H.; Xu, W.; Li, J.; Yu, Z.; Zeng, Q.; Tan, W.; Mi, W. Short-term effect of manure and straw application on bacterial and fungal community compositions and abundances in an acidic paddy soil. J. Soils Sediments 2021, 21, 3057–3071. [Google Scholar] [CrossRef]
- Lai, H.L.; Gao, F.Y.; Su, H.; Zheng, P.; Li, Y.Y.; Yao, H.Y. Nitrogen distribution and soil microbial community characteristics in a legume-cereal intercropping system: A review. Agronomy 2022, 12, 1900. [Google Scholar] [CrossRef]
- Zhang, H.Y.; Shi, Y.C.; Dong, Y.X.; Lapen, D.R.; Liu, J.H.; Chen, W. Subsoiling and conversion to conservation tillage enriched nitrogen cycling bacterial communities in sandy soils under long-term maize monoculture. Soil Tillage Res. 2022, 215, 105197. [Google Scholar] [CrossRef]
- Liu, C.; Lu, M.; Cui, J.; Li, B.; Fang, C. Effects of straw carbon input on carbon dynamics in agricultural soils: A meta-analysis. Glob. Change Biol. 2014, 20, 1366–1381. [Google Scholar] [CrossRef]
- Huang, T.; Yang, N.; Lu, C.; Qin, X.; Siddique, K.H.M. Soil Organic Carbon, total nitrogen, available nutrients, and yield under different straw returning methods. Soil Tillage Res. 2021, 214, 105171. [Google Scholar] [CrossRef]
- Finn, D.R.; Lee, S.; Lanzén, A.; Bertrand, M.; Nicol, G.W.; Hazard, C. Cropping systems impact changes in soil fungal, but not prokaryote, alpha-diversity and community composition stability over a growing season in a long-term field trial. FEMS Microbiol. Ecol. 2021, 97, fiab136. [Google Scholar] [CrossRef]
- Donn, S.; Almario, J.; Muller, D.; Moënne-Loccoz, Y.; Gupta, V.V.; Kirkegaard, J.A.; Richardson, A.E. Rhizosphere microbial communities associated with Rhizoctonia damage at the field and disease patch scale. Appl. Soil Ecol. 2014, 78, 37–47. [Google Scholar] [CrossRef]
- De Boer, R.F.; Steed, G.R.; Kollmorgen, J.F.; Macauley, B.J. Effects of rotation, stubble retention and cultivation on take-all and eyespot of wheat in northeastern Victoria, Australia. Soil Tillage Res. 1993, 25, 263–280. [Google Scholar] [CrossRef]
- Campbell, A.R.; Titus, B.R.; Kuenzi, M.R.; Rodriguez-Perez, F.; Brunsch, A.D.; Schroll, M.M.; Shepherd, J.N. Investigation of candidate genes involved in the rhodoquinone biosynthetic pathway in Rhodospirillum rubrum. PLoS ONE 2019, 14, e0217281. [Google Scholar] [CrossRef] [PubMed]
- Guo, K.; Yang, J.; Yu, N.; Luo, L.; Wang, E. Biological nitrogen fixation in cereal crops: Progress, strategies, and Perspectives. Plant Commun. 2023, 4, 100499. [Google Scholar] [CrossRef] [PubMed]
- Han, H.; Chen, C.; Bai, M.; Xu, T.; Yang, H.; Shi, A.; Li, J. Abundance and diversity of denitrifying bacterial communities associated with N2O emission under long-term organic farming. Eur. J. Soil Biol. 2020, 97, 103153. [Google Scholar] [CrossRef]
- Garritano, A.N.; Song, W.; Thomas, T. Carbon fixation pathways across the bacterial and archaeal tree of life. PNAS Nexus 2022, 1, pgac226. [Google Scholar] [CrossRef]
- Klein, T.; Poghosyan, L.; Barclay, J.E.; Murrell, J.C.; Hutchings, M.I.; Lehtovirta-Morley, L.E. Cultivation of ammonia-oxidising archaea on solid medium. FEMS Microbiol. Lett. 2022, 369, fnac029. [Google Scholar] [CrossRef]
- Zheng, J.; Luan, L.; Luo, Y.; Fan, J.B.; Xu, Q.S.; Sun, B.; Jiang, Y.J. Biochar and lime amendments promote soil nitrification and nitrogen use efficiency by differentially mediating ammonia-oxidizer community in an acidic soil. Appl. Soil Ecol. 2022, 180, 104619. [Google Scholar] [CrossRef]





| pH | EC (dS/m) | Organic C (g/kg) | Ammonium N (mg/kg) | Nitrate N (mg/kg) | Total N (g/kg) | Colwell P (mg/kg) | Total P (mg/kg) | Total K (mg/kg) | Clay (%) | Sand (%) | |
|---|---|---|---|---|---|---|---|---|---|---|---|
| CT | 8.33 a | 0.152 a | 10.5 a | 8.55 a | 24.4 a | 1.20 a | 32.0 b | 1.15 a | 19.7 a | 22.1 a | 27.2 a |
| NT | 8.34 a | 0.165 a | 10.2 a | 7.92 a | 27.7 a | 1.15 a | 26.2 a | 1.33 a | 19.8 a | 22.6 a | 22.0 a |
| −stubble | 8.25 a | 0.161 a | 9.70 a | 8.01 a | 27.0 a | 1.11 a | 23.7 a | 1.10 a | 19.4 a | 20.7 a | 28.2 a |
| +stubble | 8.41 a | 0.156 a | 11.1 b | 8.47 a | 25.0 a | 1.24 b | 34.4 b | 1.38 b | 20.1 b | 24.0 a | 21.0 a |
| CT −stubble | 8.28 a | 0.146 a | 9.65 b | 7.83 a | 22.3 a | 1.13 a | 26.7c | 1.11 b | 19.3 b | 20.7 a | 30.9 a |
| CT +stubble | 8.38 a | 0.159 a | 11.4 a | 9.28 a | 26.4 a | 1.26 a | 37.3 a | 1.19 a | 20.0 a | 23.5 a | 23.5 a |
| NT −stubble | 8.23 a | 0.176 a | 9.75 b | 8.19 a | 31.7 a | 1.08 a | 20.7d | 1.09 b | 19.4 b | 20.7 a | 25.4 a |
| NT +stubble | 8.45 a | 0.153 a | 10.7 a | 7.66 a | 23.7 a | 1.22 a | 31.7 b | 1.57 a | 20.3 a | 24.5 a | 18.5 a |
| p-value | |||||||||||
| Tillage | 0.923 | 0.508 | 0.596 | 0.442 | 0.594 | 0.086 | 0.013 * | 0.099 | 0.417 | 0.861 | 0.191 |
| Stubble | 0.224 | 0.782 | 0.014 * | 0.573 | 0.747 | <0.01 * | <0.01 * | 0.014 * | <0.01 * | 0.26 | 0.082 |
| Tillage × Stubble | 0.617 | 0.349 | 0.465 | 0.235 | 0.336 | 0.649 | 0.922 | 0.066 | 0.511 | 0.859 | 0.938 |
| Bacterial Community | Fungal Community | Archaeal Community | ||||
|---|---|---|---|---|---|---|
| Species Diversity | Functional Diversity | Species Diversity | Functional Diversity | Species Diversity | Functional Diversity | |
| CT | 6.46 a | 6.57 a | 2.05 a | 5.63 a | 1.35 a | 1.78 a |
| NT | 6.44 a | 6.57 a | 2.08 b | 5.65 b | 1.33 a | 1.84 a |
| −stubble | 6.44 a | 6.56 a | 2.06 a | 5.65 a | 1.33 a | 1.75 a |
| +stubble | 6.46 a | 6.58 b | 2.08 a | 5.64 a | 1.35 a | 1.86 a |
| CT −stubble | 6.44 a | 6.55 a | 2.04 a | 5.64 b | 1.33 a | 1.81 a |
| CT +stubble | 6.48 a | 6.58 b | 2.06 ab | 5.62 a | 1.36 a | 1.75 a |
| NT −stubble | 6.44 a | 6.56 ab | 2.07 ab | 5.65 b | 1.33 a | 1.69 a |
| NT +stubble | 6.45 a | 6.57 ab | 2.09 b | 5.65 b | 1.34 a | 1.98 a |
| p-value | ||||||
| Tillage | 0.356 | 0.937 | 0.013 * | <0.010 * | 0.349 | 0.600 |
| Stubble | 0.098 | <0.010 * | 0.056 | 0.066 | 0.060 | 0.299 |
| Tillage × Stubble | 0.340 | 0.053 | 0.825 | 0.028 * | 0.454 | 0.135 |
| Bacterial Community | Fungal Community | Archaeal Community | ||||||||||
|---|---|---|---|---|---|---|---|---|---|---|---|---|
| Species Composition | Functional Composition | Species Composition | Functional Composition | Species Composition | Functional Composition | |||||||
| R2 | p-Value | R2 | p-Value | R2 | p-Value | R2 | p-Value | R2 | p-Value | R2 | p-Value | |
| Tillage | 0.069 | 0.139 | 0.076 | 0.055 | 0.072 | 0.354 | 0.096 | 0.181 | 0.053 | 0.687 | 0.084 | 0.023 * |
| Stubble | 0.099 | <0.01 * | 0.096 | <0.01 * | 0.076 | 0.259 | 0.037 | 0.725 | 0.103 | 0.035 * | 0.101 | 0.001 * |
| Tillage × Stubble | 0.066 | 0.232 | 0.073 | 0.088 | 0.089 | 0.118 | 0.127 | 0.052 | 0.080 | 0.183 | 0.078 | 0.064 |
Disclaimer/Publisher’s Note: The statements, opinions and data contained in all publications are solely those of the individual author(s) and contributor(s) and not of MDPI and/or the editor(s). MDPI and/or the editor(s) disclaim responsibility for any injury to people or property resulting from any ideas, methods, instructions or products referred to in the content. |
© 2025 by the authors. Licensee MDPI, Basel, Switzerland. This article is an open access article distributed under the terms and conditions of the Creative Commons Attribution (CC BY) license (https://creativecommons.org/licenses/by/4.0/).
Share and Cite
Xu, C.; Toh, R.; Li, J.; Zhou, Y.; Denton, M.D. Stubble Management Plays a Greater Role than Tillage Practice in Shaping Soil Microbiome Structure and Function. Agriculture 2025, 15, 143. https://doi.org/10.3390/agriculture15020143
Xu C, Toh R, Li J, Zhou Y, Denton MD. Stubble Management Plays a Greater Role than Tillage Practice in Shaping Soil Microbiome Structure and Function. Agriculture. 2025; 15(2):143. https://doi.org/10.3390/agriculture15020143
Chicago/Turabian StyleXu, Chang, Ruey Toh, Jishun Li, Yi Zhou, and Matthew D. Denton. 2025. "Stubble Management Plays a Greater Role than Tillage Practice in Shaping Soil Microbiome Structure and Function" Agriculture 15, no. 2: 143. https://doi.org/10.3390/agriculture15020143
APA StyleXu, C., Toh, R., Li, J., Zhou, Y., & Denton, M. D. (2025). Stubble Management Plays a Greater Role than Tillage Practice in Shaping Soil Microbiome Structure and Function. Agriculture, 15(2), 143. https://doi.org/10.3390/agriculture15020143

