Soil Nitrogen Dynamics and Transformation Under No-Tillage Perennial Rice Farming Systems
Abstract
1. Introduction
2. Materials and Methods
2.1. Study Area
2.2. Experimental Setup and Fertilization
2.3. Dry Matter Nitrogen Determination
2.4. Soil Sample Collection
2.5. Soil Total and Available Nitrogen Content Analysis
2.6. Analysis of Soil Organic Nitrogen Components
2.7. Predicting Nitrogen Mineralization from Paddy Soil
- a—culture temperature (°C)
- t—soil submergence culture time (t = 14 days)
- Ya, t—yield of soil ammonium nitrogen (mg kg−1)
- Ya—net yield of ammonium nitrogen (mg kg−1) at a culture temperature “a” = 14 days
- Y0—ammonium nitrogen content in uncultured soil (mg kg−1)
- Y—actual yield of ammonium nitrogen (mg kg−1) at 30 °C after 14 days
- c—mineralization rate constant
- A—nitrogen mineralization potential (mg kg−1) at 40 °C after 14 days.
2.8. Determination of Soil Ammonification Intensity
2.9. Assay of Urease Activity in Paddy Rice Soil
- Asample—soil sample concentration (mg mL−1)
- Ano soil—concentration level without soil (mg mL−1)
- Ano matrix—matter-free concentration (mg mL−1)
- V—volume (50 mL)
- n—proportion
- m—dry soil weight.
2.10. Nitrogen Dry Matter Production Efficiency and Nitrogen Recovery Efficiency of Perennial Rice
2.11. Computation of Soil Nitrogen Storage
2.12. Statistical Analysis
3. Results
3.1. Above-Ground Dry Matter Nitrogen in Perennial Rice
3.2. Dry Matter Nitrogen Output of Perennial Rice Field Under the Two Tillage Practices
3.3. Nitrogen Dry Matter Production Efficiency and Nitrogen Recovery Efficiency in Perennial Rice Field
3.4. Soil Total Nitrogen and Available Nitrogen Nutrients Change in Perennial Rice Field
3.5. Soil Nitrogen Storage in Perennial Rice Field
3.6. Soil Organic Nitrogen Components in Perennial Rice Field
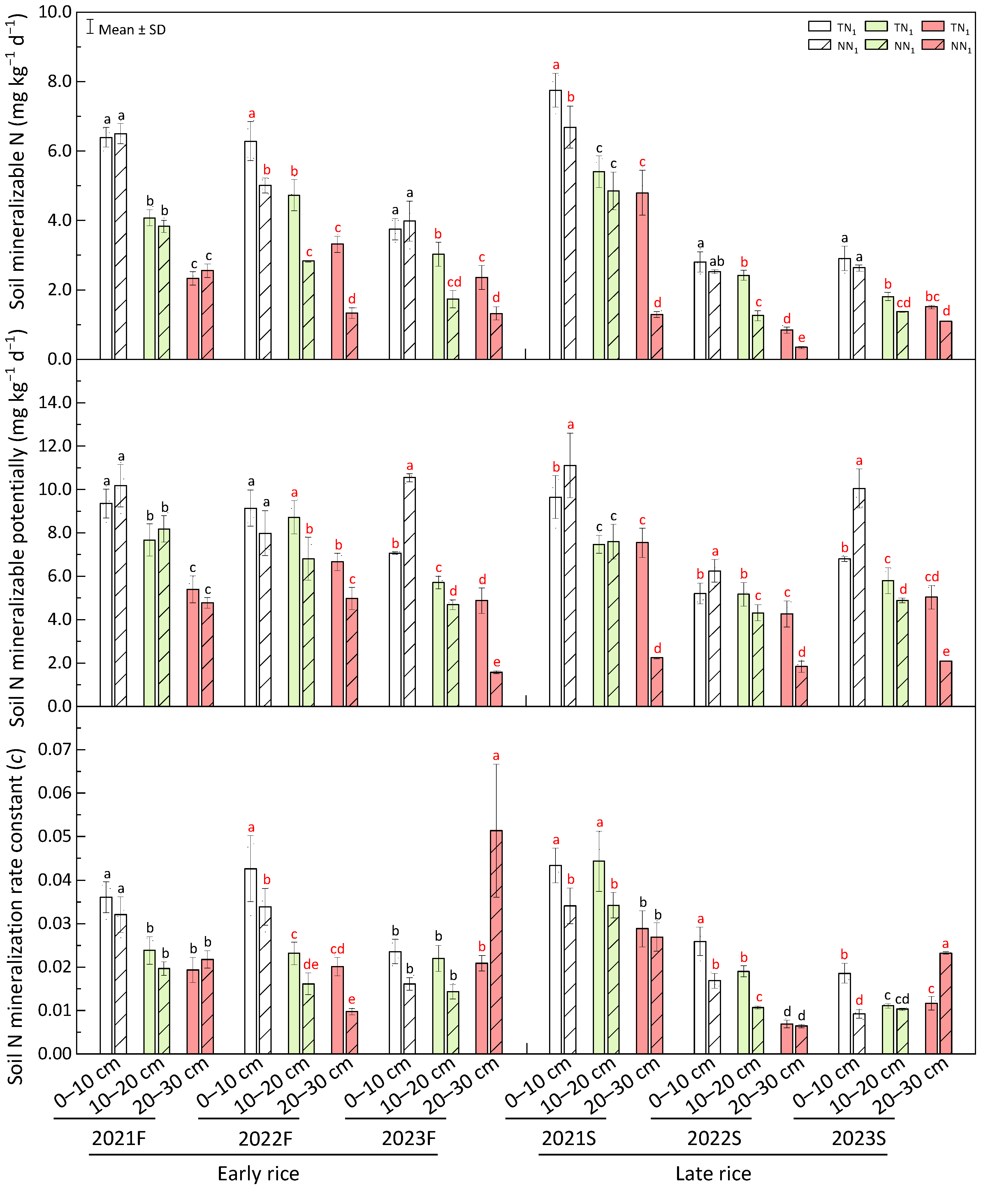
3.7. Soil Assessment of Nitrogen Mineralization in Perennial Rice Field
3.8. Soil Ammonification Intensity in Perennial Rice Field
3.9. Soil Urease Activity Analysis in Perennial Rice Field
3.10. RDA Analysis Among Nitrogen in Perennial Rice and Soil Physicochemical Factors
4. Discussion
4.1. Perennial Rice Farming on the Accumulation and Efficient Use of Nitrogen
4.2. Impact of No-Tillage-Based Perennial Rice Farming on Nitrogen Level
4.3. Characterization of Soil Organic Nitrogen Components in No-Tillage Perennial Rice Filed
4.4. No-Tillage-Based Perennial Rice Farming on Regulating Nitrogen Mineralization
4.5. Perennial Rice Cultivation as a Factor on Determining Ammonification Intensity
4.6. Effects of No-Tillage-Driven Perennial Rice Farming on Urease Activity
4.7. RDA Analysis of Nitrogen Dry Matter Production Efficiency of Perennial Rice Versus Soil Physicochemical Properties
5. Conclusions
6. Recommendations
Author Contributions
Funding
Institutional Review Board Statement
Data Availability Statement
Conflicts of Interest
Appendix A
| Season | Activity | Planting Year | ||
|---|---|---|---|---|
| 2021 | 2022 | 2023 | ||
| Early rice | Sowing | 11 January | 9 January | 14 January |
| Transplanting | 26 February | 25 February | 22 February | |
| Harvesting | 14 July | 15 July | 20 July | |
| Late rice | Sowing | 23 June | 19 June | 2 July |
| Transplanting | 28 July | 21 July | 1 August | |
| Harvesting | 16 November | 15 November | 4 December | |
| Layer | TC | TN | TP | TK | SOC | AN | AP | AK | EC(5:1) | pHW(5:1) |
|---|---|---|---|---|---|---|---|---|---|---|
| (g·kg−1) | (g·kg−1) | (g·kg−1) | (g·kg−1) | (g·kg−1) | (mg·kg−1) | (mg·kg−1) | (mg·kg−1) | (μS·cm−1) | ||
| 0–10 cm | 18.74 a | 2.03 a | 0.71 a | 15.37 c | 12.34 a | 24.21 a | 9.83 a | 201.1 a | 99.4 a | 6.05 c |
| 10–20 cm | 16.70 b | 1.64 b | 0.70 a | 16.64 c | 9.00 b | 14.81 ab | 9.51 a | 159.8 b | 84.8 b | 6.04 c |
| 20–30 cm | 12.82 c | 1.17 c | 0.56 b | 19.00 b | 5.93 c | 11.18 bc | 5.02 b | 146.5 b | 72.7 c | 6.45 b |
| 30–40 cm | 9.73 d | 0.75 d | 0.41 c | 22.85 a | 3.53 d | 6.08 c | 2.14 c | 100.7 c | 69.9 c | 6.83 a |
| Planting Duration | Treatment | Early Rice | Late Rice | Whole Year |
|---|---|---|---|---|
| 2021 | TN0 | 80.52 bc | 100.29 b | 180.81 b |
| NN0 | 80.04 c | 54.07 e | 134.11 c | |
| 2022 | TN0 | 78.42 c | 66.37 d | 78.418 d |
| NN0 | 44.88 d | 41.53 f | 44.88 e | |
| 2023 | TN0 | 87.86 b | 111.74 a | 199.61 a |
| NN0 | 96.71 a | 75.84 c | 172.55 b |
| Planting Duration | Treatment | Early Rice | Late Rice | Whole Year |
|---|---|---|---|---|
| 2021 | TN1 | 14.58 c | 15.91 b | 30.49 d |
| NN1 | 15.17 c | 19.5 a | 34.31 c | |
| 2022 | TN1 | 16.42 b | 14.06 c | 30.48 d |
| NN1 | 19.52 a | 17.18 b | 36.69 ab | |
| 2023 | TN1 | 17.21 b | 18.61 a | 35.81 bc |
| NN1 | 19.16 a | 18.82 a | 37.99 a |
| Layer | Treatment | Season | ||
|---|---|---|---|---|
| 2021S | 2022S | 2023S | ||
| 0–10 cm | TN1 | 1.22 c | 1.31 d | 1.25 e |
| NN1 | 1.36 b | 1.44 bc | 1.36 cd | |
| 10–20 cm | TN1 | 1.30 bc | 1.33 cd | 1.32 d |
| NN1 | 1.31 bc | 1.53 ab | 1.42 c | |
| 20–30 cm | TN1 | 1.50 a | 1.48 b | 1.51 b |
| NN1 | 1.52 a | 1.64 a | 1.71 a | |
| Treatment | Layer | Axial Sequence | Eigenvalue of Response Variable | Correlation of Response and Environment Variable Factors | Cumulative Interpretation of Response Variable (%) | Cumulative Interpretation of Response-Environment Variable Factors (%) | Total Canonical Eigenvalues |
|---|---|---|---|---|---|---|---|
| TN1 | 0–10 cm | Axis 1 | 0.685 | 0.957 | 68.5 | 73.7 | 0.929 |
| Axis 2 | 0.244 | 0.986 | 92.9 | 100.0 | |||
| Axis 3 | 0.001 | 0.885 | 93.0 | 100.0 | |||
| Axis 4 | 0.067 | 0.000 | 99.7 | 100.0 | |||
| 10–20 cm | Axis 1 | 0.668 | 0.945 | 66.8 | 73.6 | 0.908 | |
| Axis 2 | 0.240 | 0.977 | 90.8 | 100.0 | |||
| Axis 3 | 0.001 | 0.764 | 90.9 | 100.0 | |||
| Axis 4 | 0.085 | 0.000 | 99.4 | 100.0 | |||
| 20–30 cm | Axis 1 | 0.734 | 0.991 | 73.4 | 77.6 | 0.946 | |
| Axis 2 | 0.212 | 0.918 | 94.6 | 100.0 | |||
| Axis 3 | 0.001 | 0.828 | 94.7 | 100.0 | |||
| Axis 4 | 0.053 | 0.000 | 100.0 | 100.0 | |||
| NN1 | 0–10 cm | Axis 1 | 0.959 | 0.998 | 95.9 | 96.9 | 0.989 |
| Axis 2 | 0.031 | 0.904 | 99.0 | 100.0 | |||
| Axis 3 | 0.000 | 0.926 | 99.0 | 100.0 | |||
| Axis 4 | 0.007 | 0.000 | 99.7 | 100.0 | |||
| 10–20 cm | Axis 1 | 0.931 | 0.984 | 93.1 | 97.0 | 0.960 | |
| Axis 2 | 0.029 | 0.873 | 96.0 | 100.0 | |||
| Axis 3 | 0.000 | 0.716 | 96.0 | 100.0 | |||
| Axis 4 | 0.033 | 0.000 | 99.3 | 100.0 | |||
| 20–30 cm | Axis 1 | 0.951 | 0.994 | 95.1 | 96.6 | 0.984 | |
| Axis 2 | 0.033 | 0.941 | 98.4 | 100.0 | |||
| Axis 3 | 0.000 | 0.955 | 98.4 | 100.0 | |||
| Axis 4 | 0.013 | 0.000 | 99.7 | 100.0 |


References
- Jain, N.; Kourampi, I.; Umar, T.P.; Almansoor, Z.R.; Anand, A.; Ur Rehman, M.E.; Jain, S.; Reinis, A. Global population surpasses eight billion: Are we ready for the next billion? AIMS Public Health 2023, 10, 849–866. [Google Scholar] [CrossRef]
- Béné, C.; Barange, M.; Subasinghe, R.; Pinstrup-Andersen, P.; Merino, G.; Hemre, G.; Williams, M. Feeding 9 billion by 2050–Putting fish back on the menu. Food Secur. 2015, 7, 261–274. [Google Scholar] [CrossRef]
- Monfreda, C.; Ramankutty, N.; Foley, J.A. Farming the planet: 2. Geographic distribution of crop areas, yields, physiological types, and net primary production in the year 2000. Glob. Biogeochem. Cycles 2008, 22, 1022. [Google Scholar] [CrossRef]
- Gauri, S.G. Land degradation and challenges of food security. Rev. Eur. Stud. 2019, 11, 63. [Google Scholar] [CrossRef]
- Chapman, E.A.; Thomsen, H.C.; Tulloch, S.; Correia, P.M.P.; Luo, G.; Najafi, J.; DeHaan, L.R.; Crews, T.E.; Olsson, L.; Lundquist, P.-O.; et al. Perennials as future grain crops: Opportunities and challenges. Front. Plant Sci. 2022, 13, 898769. [Google Scholar] [CrossRef] [PubMed]
- He, X.; Batáry, P.; Zou, Y.; Zhou, W.; Wang, G.; Liu, Z.; Bai, Y.; Gong, S.; Zhu, Z.; Settele, J.; et al. Agricultural diversification promotes sustainable and resilient global rice production. Nat. Food 2023, 4, 788–796. [Google Scholar] [CrossRef]
- Hobbs, P.R.; Sayre, K.; Gupta, R. The role of conservation agriculture in sustainable agriculture. Philos. Trans. R. Soc. B 2007, 363, 543–555. [Google Scholar] [CrossRef]
- Hillel, D. Out of the Earth: Civilization and the Life of the Soil; University of California Press: Berkeley, CA, USA, 1991. [Google Scholar]
- Godfray, H.C.J.; Beddington, J.R.; Crute, I.R.; Haddad, L.; Lawrence, D.; Muir, J.F.; Pretty, J.; Robinson, S.; Thomas, S.M.; Toulmin, C. Food security: The challenge of feeding 9 billion people. Science 2010, 327, 812–818. [Google Scholar] [CrossRef]
- Montgomery, D.R. Soil erosion and agricultural sustainability. Proc. Natl. Acad. Sci. USA 2007, 104, 13268–13272. [Google Scholar] [CrossRef]
- Cox, T.S.; Bender, M.; Picone, C.; Van Tassel, D.L.; Holland, J.B.; Brummer, E.C.; Zoeller, B.E.; Paterson, A.H.; Jackson, W. Breeding perennial grain crops. Crit. Rev. Plant Sci. 2002, 21, 59–91. [Google Scholar] [CrossRef]
- Cox, T.S.; Glover, J.D.; Van Tassel, D.L.; Cox, C.M.; DeHaan, L.R. Prospects for developing perennial grain crops. BioScience 2006, 56, 649–659. [Google Scholar] [CrossRef]
- Jackson, W. New Roots for Agriculture, 2nd ed.; University of Nebraska Press: Lincoln, NE, USA, 1980. [Google Scholar]
- Wagoner, P.; Schaeffer, J.R. Perennial grain development: Past efforts and potential for the future. Crit. Rev. Plant Sci. 1990, 9, 381–408. [Google Scholar] [CrossRef]
- Scheinost, P.L.; Lammer, D.L.; Cai, X.; Murray, T.D.; Jones, S.S. Perennial wheat: The development of a sustainable cropping system for the U.S. Pacific Northwest. Am. J. Altern. Agric. 2001, 16, 147–151. [Google Scholar] [CrossRef]
- Glover, J.D.; Reganold, J.P.; Bell, L.W.; Borevitz, J.; Brummer, E.C.; Buckler, E.S.; Cox, C.M.; Cox, T.S.; Crews, T.E.; Culman, S.W.; et al. Increased food and ecosystem security via perennial grains. Science 2010, 328, 1638–1639. [Google Scholar] [CrossRef]
- Tilman, D.; Socolow, R.; Foley, J.A.; Hill, J.; Larson, E.; Lynd, L.; Pacala, S.; Reilly, J.; Searchinger, T.; Somerville, C.; et al. Beneficial biofuels—The food, energy, and environment trilemma. Science 2009, 325, 270–271. [Google Scholar] [CrossRef]
- Glover, J.D.; Culman, S.W.; DuPont, S.T.; Broussard, W.; Young, L.; Mangan, M.E.; Mai, J.G.; Crews, T.E.; DeHaan, L.R.; Buckley, D.H.; et al. Harvested perennial grasslands provide ecological benchmarks for agricultural sustainability. Agric. Ecosyst. Environ. 2009, 137, 3–12. [Google Scholar] [CrossRef]
- Snapp, S.; Rogé, P.; Okori, P.; Chikowo, R.; Peter, B.; Messina, J. Perennial grains for Africa: Possibility or pipedream? Exp. Agric. 2019, 55, 251–272. [Google Scholar] [CrossRef]
- Ledo, A.; Smith, P.; Zerihun, A.; Whitaker, J.; Vicente-Vicente, J.L.; Qin, Z.; McNamara, N.P.; Zinn, Y.L.; Llorente, M.; Liebig, M.; et al. Changes in soil organic carbon under perennial crops. Glob. Change Biol. 2020, 26, 4158–4168. [Google Scholar] [CrossRef]
- Peixoto, L.; Olesen, J.E.; Elsgaard, L.; Enggrob, K.L.; Banfield, C.C.; Dippold, M.A.; Nicolaisen, M.H.; Bak, F.; Zang, H.; Dresbøll, D.B.; et al. Deep-rooted perennial crops differ in capacity to stabilize C inputs in deep soil layers. Sci. Rep. 2022, 12, 5952. [Google Scholar] [CrossRef]
- Zhang, Y.; Huang, G.; Zhang, S.; Zhang, J.; Gan, S.; Cheng, M.; Hu, J.; Huang, L.; Hu, F. An innovated crop management scheme for perennial rice cropping system and its impacts on sustainable rice production. Eur. J. Agron. 2021, 122, 126186. [Google Scholar] [CrossRef]
- Hu, F.; Zhang, S.; Huang, G.; Zhang, Y.; Lv, X.; Wan, K.; Liang, J.; Dao, J.; Wu, S.; Zhang, L.; et al. Perennial rice improves farmer livelihood and ecosystem security. Res. Sq. 2022, 22, 77. [Google Scholar] [CrossRef]
- Shanmugam, V.; Tyagi, V.C.; Gobinath, R.; Swarnaraj, A.K.; Arulanandam, M.; Kumar, V.; Peramaiyan, P.; Murugaiyan, V.; Sundaram, R.M. Perennial rice—An alternative to the ‘one-sow, one-harvest’ rice production: Benefits, challenges, and future prospects. Farming Syst. 2025, 3, 100137. [Google Scholar] [CrossRef]
- Huang, G.; Qin, S.; Zhang, S.; Cai, X.; Wu, S.; Dao, J.; Zhang, J.; Huang, L.; Harnpichitvitaya, D.; Wade, L.; et al. Performance, economics and potential impact of perennial rice PR23 relative to annual rice cultivars at multiple locations in Yunnan Province of China. Sustainability 2018, 10, 1086. [Google Scholar] [CrossRef]
- Zhang, S.; Huang, G.; Zhang, J.; Huang, L.; Cheng, M.; Wang, Z.; Zhang, Y.; Wang, C.; Zhu, P.; Yu, X.; et al. Genotype by environment interactions for performance of perennial rice genotypes (Oryza sativa L./Oryza longistaminata) relative to annual rice genotypes over regrowth cycles and locations in southern China. Field Crops Res. 2019, 241, 107556. [Google Scholar] [CrossRef]
- Zhang, S.; Huang, G.; Zhang, Y.; Lv, X.; Wan, K.; Liang, J.; Feng, Y.; Dao, J.; Wu, S.; Zhang, L.; et al. Sustained productivity and agronomic potential of perennial rice. Nat. Sustain. 2023, 6, 28–38. [Google Scholar] [CrossRef]
- Wang, W.; He, A.; Jiang, G.; Sun, H.; Jiang, M.; Man, J.; Ling, X.; Cui, K.; Huang, J.; Peng, S.; et al. Ratoon rice technology: A green and resource-efficient way for rice production. Adv. Agron. 2020, 159, 135–167. [Google Scholar] [CrossRef]
- Thapa, D.; Dura, R. A review on tillage system and no-till agriculture and its impact on soil health. Arch. Agric. Environ. Sci. 2024, 9, 612–617. [Google Scholar] [CrossRef]
- Pruthviraj, N.; Murali, K.; Chaitanya, A.; Harish, M.C.; Karthik, A.N. Exploring the dynamics of nitrogen from conventional manures in the soil plant atmosphere continuum: A comprehensive review. Commun. Soil Sci. Plant Anal. 2024, 55, 1690–1701. [Google Scholar] [CrossRef]
- Stevenson, F.J. Origin and Distribution of Nitrogen in the Soil. In Nitrogen in Agricultural Soils; Stevenson, F.J., Ed.; American Society of Agronomy: Madison, WI, USA, 1982; pp. 1–42. [Google Scholar] [CrossRef]
- Canisares, L.P.; Grove, J.; Miguez, F.; Poffenbarger, H. Long-term no-till increases soil nitrogen mineralization but does not affect optimal corn nitrogen fertilization practices relative to inversion tillage. Soil Tillage Res. 2021, 213, 105080. [Google Scholar] [CrossRef]
- Huang, G.; Zhang, Y.; Zhang, S.; Zhang, J.; Hu, F.; Li, F. Density-dependent fertilization of nitrogen for optimal yield of perennial Rice. Agronomy 2022, 12, 1698. [Google Scholar] [CrossRef]
- IUSS Working Group WRB. World Reference Base for Soil Resources: International Soil Classification System for Naming Soils and Creating Legends for Soil Maps, 4th ed.; International Union of Soil Sciences (IUSS): Vienna, Austria, 2022. [Google Scholar]
- Kirk, P.L. Kjeldahl method for total nitrogen. Anal. Chem. 1950, 22, 354–358. [Google Scholar] [CrossRef]
- Bremner, J.M. Determination of nitrogen in soil by the Kjeldahl method. J. Agric. Sci. 1960, 55, 11–33. [Google Scholar] [CrossRef]
- Stevenson, F.J. Organic Forms of Soil Nitrogen. In Nitrogen in Agricultural Soils; Stevenson, F.J., Ed.; American Society of Agronomy: Madison, WI, USA, 1982; Volume 22, pp. 67–122. [Google Scholar] [CrossRef]
- Bremner, J.M. Organic Forms of Nitrogen. In Methods of Soil Analysis, 2nd ed.; Part 2; Black, C.A., Ed.; Agronomy Monograph 9; American Society of Agronomy: Madison, WI, USA, 1965; pp. 1238–1255. [Google Scholar]
- Waring, S.A.; Bremner, J.M. Ammonium production in soil under waterlogged conditions as an index of nitrogen availability. Nature 1964, 201, 951–952. [Google Scholar] [CrossRef]
- Ponnamperuma, F.N. The chemistry of submerged soils. Adv. Agron. 1972, 24, 29–96. [Google Scholar] [CrossRef]
- Jezierska-Tys, S.; Rutkowska, A. Respiratory activity, intensity of processes of ammonification and nitrification in soil subjected to the effect of chemical preparates Reglone 200 SL and Elastiq 550 EC. Afr. J. Agric. Res. 2015, 10, 1565–1571. [Google Scholar] [CrossRef]
- Hoffmann, G. Eine photometrische methode zur bestimmung der phosphatase-Aktivität in Böden. J. Plant Nutr. Soil Sci. 1968, 118, 161–172. [Google Scholar] [CrossRef]
- Luo, X.; Fu, X.; Yang, Y.; Peng, C.; Peng, S.; Chen, W.; Huang, Q. Microbial communities play important roles in modulating paddy soil fertility. Sci. Rep. 2016, 6, 20326. [Google Scholar] [CrossRef]
- Sun, Y.; Sun, Y.; Li, X.; Guo, X.; Ma, J. Relationship of activities of key enzymes involved in nitrogen metabolism with nitrogen utilization in rice under water-nitrogen interaction. Acta Agron. Sin. 2009, 35, 2055–2063. [Google Scholar] [CrossRef]
- Zou, H.; Li, D.; Ren, K.; Liu, L.; Zhang, W.; Duan, Y.; Lu, C. Response of maize yield and nitrogen recovery efficiency to nitrogen fertilizer application in field with various soil fertility. Front. Plant Sci. 2024, 15, 1349180. [Google Scholar] [CrossRef]
- Chen, Y.; Zhang, S.; Wang, Y.; Abzhanov, T.; Sarsekova, D.; Zhumabekova, Z. The spatial distribution of soil nitrogen storage and the factors that influence it in central Asia’s typical arid and semiarid grasslands. Diversity 2022, 14, 459. [Google Scholar] [CrossRef]
- Sokolowski, A.C.; McCormick, B.P.; de Grazia, J.; Wolski, J.E.; Rodríguez, H.A.; Rodríguez-Frers, E.P.; Gagey, M.C.; Debelis, S.P.; Paladino, I.R.; Barrios, M.B. Tillage and no-tillage effects on physical and chemical properties of an Argiaquoll soil under long-term crop rotation in Buenos Aires, Argentina. Int. Soil Water Conserv. Res. 2020, 8, 185–194. [Google Scholar] [CrossRef]
- Liu, Y.; Zhou, Z.; Zhang, X.; Xu, X.; Chen, H.; Xiong, Z. Net global warming potential and greenhouse gas intensity from the double rice system with integrated soil-crop system management: A three-year field study. Atmos. Environ. 2015, 116, 92–101. [Google Scholar] [CrossRef]
- Huang, D.; Chen, X.; Zhang, S.; Zhang, Y.; Gao, Y.; Zhang, Y.; Liang, A. No-tillage improvement of nitrogen absorption and utilization in a Chinese Mollisol using 15N-tracing method. Atmosphere 2022, 13, 530. [Google Scholar] [CrossRef]
- Zhang, Y.; Xie, D.; Ni, J.; Zeng, X. Conservation tillage practices reduce nitrogen losses in the sloping upland of the Three Gorges Reservoir area: No-till is better than mulch-till. Agric. Ecosyst. Environ. 2020, 300, 107003. [Google Scholar] [CrossRef]
- Nyfeler, D.; Huguenin-Elie, O.; Frossard, E.; Lüscher, A. Effects of legumes and fertiliser on nitrogen balance and nitrate leaching from intact leys and after tilling for subsequent crop. Agric. Ecosyst. Environ. 2024, 360, 108776. [Google Scholar] [CrossRef]
- Crews, T.E.; Kemp, L.; Bowden, J.H.; Murrell, E.G. How the nitrogen economy of a perennial cereal-legume intercrop affects productivity: Can synchrony be achieved? Front. Sustain. Food Syst. 2022, 6, 755548. [Google Scholar] [CrossRef]
- Obour, A.K.; Holman, J.D.; Simon, L.M.; Assefa, Y. No-tillage and nitrogen fertilization on soil chemical properties under dry land wheat–sorghum–fallow rotation. Agrosyst. Geosci. Environ. 2023, 6, e20330. [Google Scholar] [CrossRef]
- Matthews, R.B.; Wassmann, R.; Arah, J. Using a crop/soil simulation model and GIS techniques to assess methane emissions from rice fields in Asia. I. Model development. Nutr. Cycl. Agroecosyst. 2000, 58, 141–159. [Google Scholar] [CrossRef]
- Tan, C.; Drury, C.F.; Soultani, M.; van Wesenbeeck, I.J.; Ng, H.Y.F.; Gaynor, J.D.; Welacky, T.W. Effect of controlled drainage and tillage on soil structure and tile drainage nitrate loss at the field scale. Water Sci. Technol. 1998, 38, 103–110. [Google Scholar] [CrossRef]
- Huang, Y.; Ren, W.; Lindsey, L.E.; Wang, L.; Hui, D.; Tao, B.; Jacinthe, P.A.; Tian, H. No-tillage farming enhances widespread nitrate leaching in the US Midwest. Environ. Res. Lett. 2024, 19, 104062. [Google Scholar] [CrossRef]
- Shang, Y.; Olesen, J.E.; Lrke, P.E.; Manevski, K.; Chen, J. Perennial cropping systems increased topsoil carbon and nitrogen stocks over annual systems—A nine-year field study. Agric. Ecosyst. Environ. 2024, 365, 10. [Google Scholar] [CrossRef]
- Daly, E. Assessment of Perennial Cereals in Central Alberta: Environmental Performance and Productivity. Ph.D. Thesis, University of Alberta, Edmonton, AB, Canada, 2023. [Google Scholar] [CrossRef]
- Giannelli, G.; Vecchio, L.D.; Cirlini, M.; Gozzi, M.; Gazza, L.; Galaverna, G.; Potestio, S.; Visioli, G. Exploring the rhizosphere of perennial wheat: Potential for plant growth promotion and biocontrol applications. Sci. Rep. 2024, 14, 22792. [Google Scholar] [CrossRef] [PubMed]
- Zulu, S.G.; Motsa, N.M.; Magwaza, L.S.; Ncama, K.; Sithole, N.J. Effects of different tillage practices and nitrogen fertiliser application rates on soil-available nitrogen. Agronomy 2023, 13, 785. [Google Scholar] [CrossRef]
- Jamieson, T.; Stratton, G.; Gordon, R.; Madani, A. The use of aeration to enhance ammonia nitrogen removal in constructed wetlands. Can. Biosyst. Eng. 2003, 45, 1.9–1.14. [Google Scholar]
- Li, D.; Wang, J.; Chen, R.; Chen, J.; Zong, J.; Li, L.; Hao, D.; Guo, H. Nitrogen acquisition, assimilation, and seasonal cycling in perennial grasses. Plant Sci. 2024, 342, 112054. [Google Scholar] [CrossRef] [PubMed]
- Yang, W.; An, S.; Zhao, H.; Xu, L.; Qiao, Y.; Cheng, X. Impacts of Spartina alterniflora invasion on soil organic carbon and nitrogen pools sizes, stability, and turnover in a coastal salt marsh of eastern China. Ecol. Eng. 2016, 86, 174–182. [Google Scholar] [CrossRef]
- Gao, Y.; Luo, P.; Wu, N.; Chen, H.; Wang, G. Impacts of grazing intensity on nitrogen pools and nitrogen cycle in an alpine meadow on the eastern Tibetan plateau. Appl. Ecol. Environ. Res. 2008, 6, 69–79. [Google Scholar] [CrossRef]
- Karra, R.; Maslouhi, A.; Bamba, Y.O. Modeling of nitrogen transport in variably saturated soils. Appl. Ecol. Environ. Res. 2018, 16, 1427–1444. [Google Scholar] [CrossRef]
- Lenssen, A.W.; Waddell, J.T.; Johnson, G.D.; Carlson, G.R. Diversified cropping systems in semiarid Montana: Nitrogen use during drought. Soil Tillage Res. 2007, 94, 362–375. [Google Scholar] [CrossRef]
- Sainju, U.M.; Caesar-Tonthat, T.; Lenssen, A.W.; Evans, R.G.; Kolberg, R. Tillage and cropping sequence impacts on nitrogen cycling in dryland farming in Eastern Montana, USA. Soil Tillage Res. 2009, 103, 332–341. [Google Scholar] [CrossRef]
- Mkhabela, M.S.; Madani, A.; Gordon, R.; Burton, D.; Cudmore, D.; Elmi, A.; Hart, W. Gaseous and leaching nitrogen losses from no-tillage and conventional tillage systems following surface application of cattle manure. Soil Tillage Res. 2008, 98, 187–199. [Google Scholar] [CrossRef]
- Schulten, H.R.; Schnitzer, M. The chemistry of soil organic nitrogen: A review. Biol. Fertil. Soils 1998, 26, 1–15. [Google Scholar] [CrossRef]
- Li, D.J.; Yang, Y.; Chen, H.; Xiao, K.; Song, T.; Wang, K. Soil gross nitrogen transformations in typical karst and non-karst forests, Southwest China. J. Geophys. Res. Biogeosci. 2017, 122, 2831–2840. [Google Scholar] [CrossRef]
- Wu, G.; Chen, Z.; Jiang, N.; Jiang, H.; Chen, L. Effects of long-term no-tillage with different residue application rates on soil nitrogen cycling. Soil Tillage Res. 2021, 212, 105044. [Google Scholar] [CrossRef]
- Huang, D.; Chen, X.; Cao, G.; Liang, A.; Jia, S.; Liu, S. Effects of long-term conservation tillage on soil nitrogen content and organic nitrogen components in a Chinese Mollisol. Appl. Ecol. Environ. Res. 2018, 16, 5517–5528. [Google Scholar] [CrossRef]
- Lin, X.; Yang, Y.; Yang, P.; Hong, Y.; Zhang, L.; Tong, C.; Lai, D.; Lin, Y.; Tan, L.; Tian, Y.; et al. Soil organic nitrogen content and composition in different wetland habitat types along the south-east coast of China. Catena 2023, 232, 104757. [Google Scholar] [CrossRef]
- Xu, L.; He, N.; Yu, G. Nitrogen storage in China’s terrestrial ecosystems. Sci. Total Environ. 2020, 709, 136201. [Google Scholar] [CrossRef] [PubMed]
- Lan, J.; Hu, N.; Fu, W. Soil carbon–nitrogen coupled accumulation following the natural vegetation restoration of abandoned farmlands in a karst rocky desertification region. Ecol. Eng. 2020, 158, 106033. [Google Scholar] [CrossRef]
- Lin, T.; Shaner, P.L.; Wang, L.; Shih, Y.T.; Wang, C.; Huang, G.; Huang, J. Effects of mountain tea plantations on nutrient cycling at upstream watersheds. Hydrol. Earth Syst. Sci. 2015, 19, 4493–4504. [Google Scholar] [CrossRef]
- Sun, L.; Chang, S.; Feng, Y.; Dyck, M.; Puurveen, D. Nitrogen fertilization and tillage reversal affected water-extractable organic carbon and nitrogen differentially in a Black Chernozem and a Gray Luvisol. Soil Tillage Res. 2015, 146, 253–260. [Google Scholar] [CrossRef]
- Sainju, U.M.; Stevens, W.B.; Evans, R.G.; Iversen, W.M. Irrigation system and tillage effects on soil carbon and nitrogen fractions. Soil Sci. Soc. Am. J. 2013, 77, 1225–1234. [Google Scholar] [CrossRef]
- Wang, C.; Yang, Q.; Zhang, C.; Zhou, B.; Li, X.; Zhang, X.; Chen, J.; Liu, K. Soil organic nitrogen components and N-cycling enzyme activities following vegetation restoration of cropland in Danxia degraded region. Forests 2022, 13, 1917. [Google Scholar] [CrossRef]
- Lü, H.; He, H.; Zhao, J.; Wang, W.; Xie, H.; Hu, G.; Liu, X.; Wu, Y.; Zhang, X. Dynamics of fertilizer-derived organic nitrogen fractions in an arable soil during a growing season. Plant Soil 2013, 373, 595–607. [Google Scholar] [CrossRef]
- Amelung, W.; Zhang, X. Determination of amino acid enantiomers in soils. Soil Biol. Biochem. 2001, 33, 553–562. [Google Scholar] [CrossRef]
- Follett, R.F.; Schimel, D.S. Effect of tillage practices on microbial biomass dynamics. Soil Sci. Soc. Am. J. 1989, 53, 1091–1096. [Google Scholar] [CrossRef]
- Jiang, X. The Effect on Soil Organic Nitrogen under Different Tillage in Dryland. Ph.D. Thesis, Gansu Agricultural University, Lanzhou, China, 2005. [Google Scholar]
- Porter, L.K.; Stewart, B.A.; Haas, H.J. Effects of long-time cropping on hydrolyzable organic nitrogen fractions in some great plains soils. Soil Sci. Soc. Am. J. 1964, 28, 368–370. [Google Scholar] [CrossRef]
- Lamb, J.A.; Fernandez, F.G.; Kaiser, D.E. Understanding Nitrogen in Soils; University of Minnesota Extension: Minneapolis, MN, USA, 2014; pp. 1–5. [Google Scholar]
- Lu, H.; Li, S.; Jin, F.; Shao, M. Contributions of organic nitrogen forms to mineralized nitrogen during incubation experiments of the soils on the loess plateau. Commun. Soil Sci. Plant Anal. 2009, 40, 3399–3419. [Google Scholar] [CrossRef]
- Sorenson, P.; Quideau, S.; Rivard, B. High resolution measurement of soil organic carbon and total nitrogen with laboratory imaging spectroscopy. Geoderma 2018, 315, 170–177. [Google Scholar] [CrossRef]
- Xue, J.; Pu, C.; Liu, S.; Chen, Z.; Chen, F.; Xiao, X.; Lal, R.; Zhang, H. Effects of tillage systems on soil organic carbon and total nitrogen in a double paddy cropping system in Southern China. Soil Tillage Res. 2015, 153, 161–168. [Google Scholar] [CrossRef]
- El-Haris, M.K.; Cochran, V.L.; Elliott, L.F.; Bezdicek, D.F. Effect of tillage, cropping, and fertilizer management on soil nitrogen mineralization potential. Soil Sci. Soc. Am. J. 1983, 47, 1157–1161. [Google Scholar] [CrossRef]
- Mondal, S.; Chakraborty, D. Soil nitrogen status can be improved through no-tillage adoption particularly in the surface soil layer: A global meta-analysis. J. Clean. Prod. 2022, 366, 132874. [Google Scholar] [CrossRef]
- Schomberg, H.H.; Wietholter, S.; Griffin, T.S.; Reeves, D.W.; Cabrera, M.L.; Fisher, D.S.; Endale, D.M.; Novak, J.M.; Balkcom, K.S.; Raper, R.L.; et al. Assessing indices for predicting potential nitrogen mineralization in soils under different management systems. Soil Sci. Soc. Am. J. 2009, 73, 1575–1586. [Google Scholar] [CrossRef]
- Thomas, G.A.; Dalal, R.C.; Standley, J. No-till effects on organic matter, pH, cation exchange capacity and nutrient distribution in a Luvisol in the semi-arid subtropics. Soil Tillage Res. 2007, 94, 295–304. [Google Scholar] [CrossRef]
- Moraru, P.; Teodor, R. Effect of tillage systems on soil moisture, soil temperature, soil respiration and production of wheat, maize and soybean crops. J. Food Agric. Environ. 2012, 10, 445–448. [Google Scholar]
- Roscoe, R.; Vasconcellos, C.A.; Furtini-Neto, A.E.; Guedes, G.A.A.; Fernandes, L.A. Urease activity and its relation to soil organic matter, microbial biomass nitrogen and urea-nitrogen assimilation by maize in a Brazilian Oxisol under no-tillage and tillage systems. Biol. Fertil. Soils 2000, 32, 52–59. [Google Scholar] [CrossRef]










| Planting Year | Treatment | Early Rice | Late Rice | Annual to Perennial Difference | |
|---|---|---|---|---|---|
| Early Rice | Late Rice | ||||
| 2021 | TN1 | 9.23 ± 0.66 b | 11.75 ± 0.03 a | 0.08 (0.84%) | 2.43 (26.04%) |
| NN1 | 9.30 ± 0.54 b | 9.32 ± 0.21 c | |||
| 2022 | TN1 | 9.69 ± 0.11 a | 9.67 ± 0.21 b | 0.44 (4.78%) | 1.63 (20.32%) |
| NN1 | 9.25 ± 0.08 b | 8.04 ± 0.30 d | |||
| 2023 | TN1 | 10.26 ± 0.22 a | 9.66 ± 0.15 b | 0.67 (6.96%) | 0.51 (5.60%) |
| NN1 | 9.59 ± 0.24 b | 9.15 ± 0.05 c | |||
| Treatment | Planting Year | Mean | ||
|---|---|---|---|---|
| 2021 | 2022 | 2023 | ||
| TN1 | 39.14 ± 3.42 | 41.72 ± 3.24 | 43.54 ± 3.55 | 41.47 ± 3.61 |
| NN1 | 51.49 ± 4.95 | 64.47 ± 5.43 | 50.97 ± 2.32 | 55.64 ± 7.67 |
| Independent samples t-test (2-tailed) | ||||
| Df | 6 | 6 | 6 | 22 |
| t0.05 | −4.11 * | −7.20 * | −3.50 * | −5.80 * |
| Index | Layer | Treatment | Early Rice | Late Rice | ||||
|---|---|---|---|---|---|---|---|---|
| 2021F | 2022F | 2023F | 2021S | 2022S | 2023S | |||
| TN (g kg−1) | 0–10 cm | TN1 | 2.24 a | 2.60 a | 2.41 a | 2.20 a | 2.31 a | 2.25 a |
| NN1 | 2.19 a | 2.67 a | 2.46 a | 2.21 a | 2.28 a | 2.29 a | ||
| 10–20 cm | TN1 | 2.24 a | 2.18 b | 2.21 b | 1.94 b | 2.23 a | 2.22 a | |
| NN1 | 2.12 a | 1.86 b | 1.69 c | 1.69 c | 1.97 b | 1.82 b | ||
| 20–30 cm | TN1 | 1.85 b | 1.31 c | 1.11 d | 1.50 c | 1.84 b | 1.73 b | |
| NN1 | 1.85 b | 1.14 c | 1.02 d | 1.18 d | 1.37 c | 1.36 c | ||
| NH4+-N (mg kg−1) | 0–10 cm | TN1 | 13.73 a | 18.35 a | 15.72 a | 11.85 a | 17.27 a | 19.61 a |
| NN1 | 12.79 ab | 16.30 a | 14.50 ab | 12.02 a | 14.93 b | 13.78 c | ||
| 10–20 cm | TN1 | 10.93 c | 12.73 b | 13.30 b | 10.70 b | 12.93 b | 16.35 b | |
| NN1 | 11.37 c | 9.20 c | 9.60 c | 7.84 c | 10.73 c | 9.05 e | ||
| 20–30 cm | TN1 | 12.26 bc | 11.23 bc | 9.45 cd | 11.09 ab | 10.83 c | 11.09 d | |
| NN1 | 11.85 bc | 10.75 bc | 8.16 d | 10.57 b | 10.27 c | 9.72 de | ||
| NO3−-N (mg kg−1) | 0–10 cm | TN1 | - | 2.60 d | 1.27 b | - | 0.45 e | 2.58 bc |
| NN1 | - | 3.55 bc | 3.39 a | - | 4.65 a | 8.60 a | ||
| 10–20 cm | TN1 | - | 4.20 a | 1.23 b | - | 0.43 e | 2.55 bc | |
| NN1 | - | 4.01 ab | 1.39 b | - | 2.60 b | 2.70 b | ||
| 20–30 cm | TN1 | - | 4.50 a | 1.21 b | - | 2.07 c | 2.48 bc | |
| NN1 | - | 3.10 cd | 1.16 b | - | 1.40 d | 2.08 c | ||
| Index | Layer | Treatment | Early Rice | Late Rice | ||||
|---|---|---|---|---|---|---|---|---|
| 2021F | 2022F | 2023F | 2021S | 2022S | 2023S | |||
| NHN | 0–10 cm | TN1 | 1094.9 a | 1416.4 a | 1106.5 a | 1090.3 a | 1045.0 a | 999.6 a |
| NN1 | 1068.0 a | 1584.0 a | 1166.6 a | 1129.7 a | 1110.6 a | 1042.5 a | ||
| 10–20 cm | TN1 | 1237.3 a | 1136.2 a | 960.6 a | 921.9 a | 1028.2 a | 1044.9 a | |
| NN1 | 1131.2 a | 966.8 a | 692.6 b | 847.9 a | 982.4 a | 874.3 a | ||
| 20–30 cm | TN1 | 1016.5 a | 414.1 b | 221.5 b | 568.9 a | 996.8 a | 761.0 a | |
| NN1 | 1000.9 a | 636.1 a | 376.4 a | 586.8 a | 794.8 b | 650.1 b | ||
| AMN | 0–10 cm | TN1 | 358.8 a | 350.3 a | 421.7 a | 319.5 a | 340.0 a | 349.5 a |
| NN1 | 343.8 a | 328.1 a | 381.1 b | 313.9 a | 325.3 a | 346.4 a | ||
| 10–20 cm | TN1 | 349.0 a | 324.0 a | 374.5 a | 309.7 a | 317.0 a | 354.2 a | |
| NN1 | 375.0 a | 280.7 b | 306.6 b | 265.2 b | 302.5 a | 299.5 b | ||
| 20–30 cm | TN1 | 271.3 a | 269.5 a | 297.9 a | 302.8 a | 305.2 a | 270.2 a | |
| NN1 | 292.3 a | 147.0 b | 198.3 b | 208.9 b | 232.6 b | 206.3 b | ||
| AAN | 0–10 cm | TN1 | 361.8 a | 401.0 a | 382.3 a | 350.5 a | 397.0 a | 377.0 a |
| NN1 | 375.0 a | 328.5 b | 319.0 b | 320.3 a | 356.0 b | 337.9 a | ||
| 10–20 cm | TN1 | 355.5 a | 343.0 a | 308.0 a | 354.4 a | 336.0 a | 306.9 a | |
| NN1 | 340.6 a | 254.9 b | 234.0 b | 265.0 b | 272.1 b | 269.0 b | ||
| 20–30 cm | TN1 | 324.3 a | 252.3 a | 236.3 a | 278.3 a | 286.6 a | 210.0 a | |
| NN1 | 320.3 a | 146.5 b | 94.5 b | 168.0 b | 73.5 b | 133.3 b | ||
| ASN | 0–10 cm | TN1 | 111.2 a | 221.3 a | 178.8 a | 153.0 a | 199.7 a | 139.4 a |
| NN1 | 116.4 a | 154.3 b | 152.3 b | 87.4 b | 185.6 a | 129.6 a | ||
| 10–20 cm | TN1 | 99.8 a | 193.5 a | 127.2 a | 105.6 a | 209.4 a | 87.4 a | |
| NN1 | 98.5 a | 96.7 b | 78.0 b | 97.3 a | 173.4 b | 68.4 b | ||
| 20–30 cm | TN1 | 69.0 a | 113.3 a | 96.7 a | 103.3 a | 156.7 a | 54.2 a | |
| NN1 | 70.9 a | 61.7 b | 55.0 b | 79.2 b | 88.9 b | 50.5 a | ||
| HUN | 0–10 cm | TN1 | 311.7 a | 209.1 b | 324.2 b | 291.5 b | 329.6 a | 388.4 b |
| NN1 | 287.8 a | 278.5 a | 436.6 a | 355.9 a | 298.0 a | 435.2 a | ||
| 10–20 cm | TN1 | 203.3 a | 183.3 b | 436.8 a | 249.7 a | 341.9 a | 429.1 a | |
| NN1 | 174.5 a | 257.1 a | 378.6 a | 216.1 a | 242.5 b | 307.9 b | ||
| 20–30 cm | TN1 | 169.0 a | 257.5 a | 257.6 a | 241.8 a | 132.8 a | 438.8 a | |
| NN1 | 161.2 a | 145.0 b | 298.3 a | 136.4 b | 182.9 a | 318.5 b | ||
Disclaimer/Publisher’s Note: The statements, opinions and data contained in all publications are solely those of the individual author(s) and contributor(s) and not of MDPI and/or the editor(s). MDPI and/or the editor(s) disclaim responsibility for any injury to people or property resulting from any ideas, methods, instructions or products referred to in the content. |
© 2025 by the authors. Licensee MDPI, Basel, Switzerland. This article is an open access article distributed under the terms and conditions of the Creative Commons Attribution (CC BY) license (https://creativecommons.org/licenses/by/4.0/).
Share and Cite
Zeng, X.; Melaku, G.; Huang, G.; Zhang, J.; Zhang, S.; Zhang, Y.; Hu, F. Soil Nitrogen Dynamics and Transformation Under No-Tillage Perennial Rice Farming Systems. Agriculture 2025, 15, 2033. https://doi.org/10.3390/agriculture15192033
Zeng X, Melaku G, Huang G, Zhang J, Zhang S, Zhang Y, Hu F. Soil Nitrogen Dynamics and Transformation Under No-Tillage Perennial Rice Farming Systems. Agriculture. 2025; 15(19):2033. https://doi.org/10.3390/agriculture15192033
Chicago/Turabian StyleZeng, Xupeng, Getachew Melaku, Guangfu Huang, Jing Zhang, Shilai Zhang, Yujiao Zhang, and Fengyi Hu. 2025. "Soil Nitrogen Dynamics and Transformation Under No-Tillage Perennial Rice Farming Systems" Agriculture 15, no. 19: 2033. https://doi.org/10.3390/agriculture15192033
APA StyleZeng, X., Melaku, G., Huang, G., Zhang, J., Zhang, S., Zhang, Y., & Hu, F. (2025). Soil Nitrogen Dynamics and Transformation Under No-Tillage Perennial Rice Farming Systems. Agriculture, 15(19), 2033. https://doi.org/10.3390/agriculture15192033

