Comparative Analysis of Particle Size Characteristics of Calcareous Soils Under Cultivated and Natural Conditions Based on Fractal Theory
Abstract
1. Introduction
2. Materials and Methods
2.1. Overview of the Study Area
2.2. Soil Classification
2.3. Sampling and Sample Preparation
2.4. Calculation of Grain Size Characteristic Parameters
2.5. Analytical Method for Determining Single-Fractal Dimension of Soil Particle Size Distribution
2.6. Multifractal Analysis Method of Soil Particle Size Distribution
2.7. Statistics
3. Results and Analysis
3.1. Characteristics of Particle Size Distribution
3.2. Analysis of Particle Size Characteristics Based on Multiple Granulometric Indices
3.2.1. Texture Characteristics
3.2.2. Characteristics of Grain Size Parameters
3.2.3. Characteristics of Single-Fractal Dimension
3.3. Multifractal Analysis of Soil Particle Size Characteristics
3.3.1. Multifractal Behavior of Particle Size Distribution
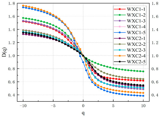
3.3.2. Generalized Dimension Spectrum Characteristics
3.3.3. Characteristics of Multifractal Spectrum Functions
4. Discussion
4.1. Correlation Analysis and Discussion of Between Scanning Electron Microscopy (SEM) Observations and Soil Indicators
4.2. Future Perspectives
5. Conclusions
- (1)
- The multifractal analysis of the PSD confirms that both cultivated and natural calcareous soils exhibit heterogeneous and non-uniform structures. Cultivation alters soil particle size characteristics, thereby broadening the distribution range and modifying multifractal behaviors, whereas natural soils maintain relatively stable and concentrated particle distributions.
- (2)
- The clay content is the dominant factor influencing the fractal dimensions (D, D0, D1, D2) across both land uses. Yet, the degree of correlation differs; in cultivated soils, frequent tillage and fertilization amplify the variability associated with clay, while in natural soils, clay enrichment is more closely linked to long-term pedogenic processes and stable aggregation.
- (3)
- The comparison between cultivated and natural soils highlights the contrasting influences of human activity and natural processes. Cultivated soils generally contain higher organic matter and total nitrogen due to fertilization and crop residue return, which not only enhance aggregation but also intensify heterogeneity in the PSD. In contrast, natural soils, despite their lower nutrient contents, maintain more uniform structural characteristics shaped by vegetation cover and reduced disturbance.
- (4)
- The integration of the fractal and multifractal approaches enables the identification of subtle differences between cultivated and natural soils that are not fully captured by traditional PSD indices. This suggests that fractal metrics can serve as sensitive indicators for monitoring land use-driven changes in soil quality.
- (5)
- From an applied perspective, the findings provide empirical evidence to support sustainable land management in calcareous soil regions. By linking soil PSD characteristics and fractal theory features with nutrient status, this study offers insights for optimizing cultivation practices aimed at maintaining soil fertility and mitigating degradation risks. Future research should extend this framework across broader spatial scales and diverse land use systems to enhance its applicability in guiding soil conservation and agricultural policy.
Author Contributions
Funding
Data Availability Statement
Conflicts of Interest
References
- Wang, P.; Su, X.; Zhou, Z.; Wang, N.; Liu, J.; Zhu, B. Differential Effects of Soil Texture and Root Traits on the Spatial Variability of Soil Infiltrability under Natural Revegetation in the Loess Plateau of China. CATENA 2023, 220, 106693. [Google Scholar] [CrossRef]
- Huang, B.; Sun, W.; Zhao, Y.; Zhu, J.; Yang, R.; Zou, Z.; Ding, F.; Su, J. Temporal and Spatial Variability of Soil Organic Matter and Total Nitrogen in an Agricultural Ecosystem as Affected by Farming Practices. Geoderma 2007, 139, 336–345. [Google Scholar] [CrossRef]
- Hu, X.; Dong, C.; Zhang, Y. Impacts of Cropland Utilization Patterns on the Sustainable Use Efficiency of Cropland Based on the Human–Land Perspective. Land 2024, 13, 863. [Google Scholar] [CrossRef]
- Institute of Soil Science, Chinese Academy of Sciences. Soil Physical and Chemical Analysis; Shanghai Science and Technology Press: Shanghai, China, 1978; pp. 469–510. (In Chinese) [Google Scholar]
- Wei, Y.; Wu, X.; Xia, J.; Shen, X.; Cai, C. Variation of Soil Aggregation along the Weathering Gradient: Comparison of Grain Size Distribution under Different Disruptive Forces. PLoS ONE 2016, 11, e0160960. [Google Scholar] [CrossRef]
- Wei, Y.; Wu, X.; Cai, C. Splash Erosion of Clay–Sand Mixtures and Its Relationship with Soil Physical Properties: The Effects of Particle Size Distribution on Soil Structure. CATENA 2015, 135, 254–262. [Google Scholar] [CrossRef]
- Liu, Z.; Dugan, B.; Masiello, C.A.; Gonnermann, H.M. Biochar Particle Size, Shape, and Porosity Act Together to Influence Soil Water Properties. PLoS ONE 2017, 12, e0179079. [Google Scholar] [CrossRef] [PubMed]
- Huang, B.; Yuan, Z.; Li, D.; Zheng, M.; Nie, X.; Liao, Y. Effects of Soil Particle Size on the Adsorption, Distribution, and Migration Behaviors of Heavy Metal(Loid)s in Soil: A Review. Environ. Sci. Process. Impacts 2020, 22, 1596–1615. [Google Scholar] [CrossRef]
- Zhou, G.; Fan, K.; Gao, S.; Chang, D.; Li, G.; Liang, T.; Liang, H.; Li, S.; Zhang, J.; Che, Z.; et al. Green Manuring Relocates Microbiomes in Driving the Soil Functionality of Nitrogen Cycling to Obtain Preferable Grain Yields in Thirty Years. Sci. China Life Sci. 2023, 67, 596–610. [Google Scholar] [CrossRef]
- Wu, X.; Wei, Y.; Cai, C.; Yuan, Z.; Liao, Y.; Li, D. Effects of Erosion-Induced Land Degradation on Effective Sediment Size Characteristics in Sheet Erosion. CATENA 2020, 195, 104843. [Google Scholar] [CrossRef]
- Koiter, A.J.; Owens, P.N.; Petticrew, E.L.; Lobb, D.A. The Role of Soil Surface Properties on the Particle Size and Carbon Selectivity of Interrill Erosion in Agricultural Landscapes. CATENA 2017, 153, 194–206. [Google Scholar] [CrossRef]
- Guglielmo, M.; Tang, F.H.M.; Pasut, C.; Maggi, F. SOIL-WATERGRIDS, Mapping Dynamic Changes in Soil Moisture and Depth of Water Table from 1970 to 2014. Sci. Data 2021, 8, 263. [Google Scholar] [CrossRef] [PubMed]
- Furtak, K.; Wolińska, A. The Impact of Extreme Weather Events as a Consequence of Climate Change on the Soil Moisture and on the Quality of the Soil Environment and Agriculture—A Review. CATENA 2023, 231, 107378. [Google Scholar] [CrossRef]
- Ghanbarian-Alavijeh, B.; Millán, H. The Relationship between Surface Fractal Dimension and Soil Water Content at Permanent Wilting Point. Geoderma 2009, 151, 224–232. [Google Scholar] [CrossRef]
- Bruun, E.W.; Petersen, C.T.; Hansen, E.; Holm, J.K.; Hauggaard-Nielsen, H. Biochar Amendment to Coarse Sandy Subsoil Improves Root Growth and Increases Water Retention. Soil. Use Manag. 2014, 30, 109–118. [Google Scholar] [CrossRef]
- Shen, P.; Zhang, L.M.; Zhu, H. Rainfall Infiltration in a Landslide Soil Deposit: Importance of Inverse Particle Segregation. Eng. Geol. 2016, 205, 116–132. [Google Scholar] [CrossRef]
- Lu, C.; Li, L.; Xu, J.; Zhao, H.; Chen, M. Research on the Critical Value of Sand Permeability Particle Size and Its Permeability Law after Mixing. Water 2024, 16, 393. [Google Scholar] [CrossRef]
- Luo, G.; Friman, V.-P.; Chen, H.; Liu, M.; Wang, M.; Guo, S.; Ling, N.; Shen, Q. Long-Term Fertilization Regimes Drive the Abundance and Composition of N-Cycling-Related Prokaryotic Groups via Soil Particle-Size Differentiation. Soil. Biol. Biochem. 2018, 116, 213–223. [Google Scholar] [CrossRef]
- Jozedaemi, E.; Golchin, A. Changes in Aggregate-Associated Carbon and Microbial Respiration Affected by Aggregate Size, Soil Depth, and Altitude in a Forest Soil. CATENA 2024, 234, 107567. [Google Scholar] [CrossRef]
- Chen, T.; Shi, Z.; Wen, A. Concentrations and Stoichiometric Characteristics of C, N, and P in Purple Soil of Agricultural Land in the Three Gorges Reservoir Region, China. Sustainability 2023, 15, 2434. [Google Scholar] [CrossRef]
- Mandelbrot, B.B. Multifractal measures, especially for the geophysicist. Pure Appl. Geophys. 1989, 131, 5–42. [Google Scholar] [CrossRef]
- Jia, Y.; Feng, Y.; Zhang, X.; Sun, X. Multifractal Analysis of Temporal Variation in Soil Pore Distribution. Agronomy 2024, 15, 37. [Google Scholar] [CrossRef]
- Cohen, S.; Willgoose, G.; Svoray, T.; Hancock, G.; Sela, S. The Effects of Sediment Transport, Weathering, and Aeolian Mechanisms on Soil Evolution. JGR Earth Surf. 2015, 120, 260–274. [Google Scholar] [CrossRef]
- Mohammadi, M.; Shabanpour, M.; Mohammadi, M.H.; Davatgar, N. Characterizing Spatial Variability of Soil Textural Fractions and Fractal Parameters Derived from Particle Size Distributions. Pedosphere 2019, 29, 224–234. [Google Scholar] [CrossRef]
- Stanchi, S.; Bonifacio, E.; Zanini, E. Mass-size fractal dimension of primary and aggregated particles and soil profile development. Soil. Sci. 2008, 173, 87–95. [Google Scholar] [CrossRef]
- Tian, Z.; Pan, Y.; Chen, M.; Zhang, S.; Chen, Y. The Relationships between Fractal Parameters of Soil Particle Size and Heavy-Metal Content on Alluvial-Proluvial Fan. J. Contam. Hydrol. 2023, 254, 104140. [Google Scholar] [CrossRef]
- Wang, J.; Li, W.; Mu, M.; Chen, J.; Li, Y.; Liu, H.; Su, Q. Particle Size Composition Characteristics of Weathered Debris from Grey–Green Slate under the Action of Freeze–Thaw and Dry–Wet Cycles. Sci. Rep. 2023, 13, 1421. [Google Scholar] [CrossRef]
- Rodríguez-Lado, L.; Lado, M. Relation between Soil Forming Factors and Scaling Properties of Particle Size Distributions Derived from Multifractal Analysis in Topsoils from Galicia (NW Spain). Geoderma 2017, 287, 147–156. [Google Scholar] [CrossRef]
- Guan, X.; Yang, P.; Ren, S.; Li, X.; Lü, Y. Analysis of heterogeneity in loam particle-size distribution based on multifractal theory. J. Basic. Sci. Eng. 2009, 17, 196–205. (In Chinese) [Google Scholar]
- Gao, Y.; Liao, L.; Wang, J.; Wan, Q.; Liu, G.; Zhang, C. Effects of grazing exclusion on multifractal characteristics of soil particle-size distribution in semi-arid grasslands of the Loess Plateau. J. Soil. Water Conserv. 2021, 35, 310–318, 326. (In Chinese) [Google Scholar] [CrossRef]
- Su, W.; Gao, Y.; Gao, P.; Dong, X.; Wang, G.; Dun, X.; Xu, J. Effects of different vegetation restoration types on the fractal characteristics of soil particles in earthy-rocky mountain area of northern China. Forests 2022, 13, 1246. [Google Scholar] [CrossRef]
- Li, J.; Bao, Y.; Wei, J.; He, X.; Tang, Q.; Wu, S.; Huang, P.; Ma, M.; Zhou, P.; Wang, M. Scaling properties of particle-size distributions of purple soils in a small agricultural watershed: A multifractal analysis. CATENA 2022, 215, 106326. [Google Scholar] [CrossRef]
- Sun, Z.; Ma, X.; Chen, Y. Single and multifractal characteristics of soil particle size distribution in different forestlands in a typical karst area of Guangxi. Bull. Soil. Water Conserv. 2025, 45, 10–19. [Google Scholar] [CrossRef]
- Zhu, R.; Xiao, S.; Zhang, G. Fractal characteristics of soil particles under different vegetation restoration in karst rocky desertification areas. J. Jiangxi Agric. Univ. 2024, 46, 516–529. [Google Scholar] [CrossRef]
- Gao, H.; Zhang, J. Statistical analysis of physical and mechanical properties of secondary red clay in Chenggong, Kunming. Coal Geol. Explor. 2021, 49, 174–181. (In Chinese) [Google Scholar]
- Yu, M.; Jin, H.; Li, Q.; Yao, Y.; Zhang, Z. Accounting study of Gross Ecosystem Product (GEP) in Chenggong District. West. For. Sci. 2020, 49, 41–48+55. (In Chinese) [Google Scholar] [CrossRef]
- Hong, Q.; Li, Q.; Feng, X.; Dai, Y.; Hao, J.; Ai, D. Multifunctional evolution and optimized zoning of characteristic agriculture in plateau mountainous areas under the context of high-quality development: A case study of Yunnan Province. J. China Agric. Univ. 2024, 29, 193–208. (In Chinese) [Google Scholar]
- GB/T 42363-2023; Soil Quality—Pretreatment of Samples for Physico-Chemical Analysis. Standards Press of China: Beijing, China, 2023. (In Chinese)
- Bittelli, M.; Pellegrini, S.; Olmi, R.; Andrenelli, M.C.; Simonetti, G.; Borrelli, E.; Morari, F. Experimental evidence of laser diffraction accuracy for particle size analysis. Geoderma 2022, 409, 115627. [Google Scholar] [CrossRef]
- Wei, W.; Liu, T.; Zhang, S.; Shen, L.; Wang, X.; Li, L.; Zhu, Y.; Zhang, W. Root spatial distribution and belowground competition in an apple/ryegrass agroforestry system. Agric. Syst. 2024, 215, 103869. [Google Scholar] [CrossRef]
- Bremner, J.M. Determination of nitrogen in soil by the Kjeldahl method. J. Agric. Sci. 1960, 55, 11–33. [Google Scholar] [CrossRef]
- Ding, Y.; Gao, Y.; Meng, Z.; Narengeerile Huang, X.; Sun, X.; Wu, H.; Dang, X.; Wang, M. Grain-size characteristics of wind-eroded surface particles in the Xilamuren desert steppe. Soils 2016, 48, 803–812. (In Chinese) [Google Scholar] [CrossRef]
- Gao, G.; Ding, G.; Zhao, Y.; Feng, W.; Bao, Y.; Liu, Z. Effects of biological soil crust development on soil particle-size characteristics in the Mu Us Sandy Land. Trans. Chin. Soc. Agric. Mach. 2014, 45, 115–120. (In Chinese) [Google Scholar]
- Qi, F.; Zhang, R.; Liu, X.; Niu, Y.; Zhang, H.; Li, H.; Li, J.; Wang, B.; Zhang, G. Soil particle size distribution characteristics of different land-use types in the Funiu mountainous region. Soil. Tillage Res. 2018, 184, 45–51. [Google Scholar] [CrossRef]
- Wang, Z.; Hasi, E.; Han, X.; Qingda, M. Fractal characterization of soil particle size distribution under different land use patterns on the north slope of Wula Mountain in China. J. Soils Sediments 2024, 24, 1148–1164. [Google Scholar] [CrossRef]
- Dai, L.; Wang, G.; He, Y. The Relationship between Soil Structure and Water Characteristics Based on Fractal Theory. Earth Sci. 2021, 46, 3410–3420. [Google Scholar] [CrossRef]
- Tian, Z.; Zhang, S.P.; Wang, X.; Fang, R.D.; Zheng, J.D. Fractal characteristics of soil particle size distribution under different land use patterns in Longji Terraced Fields. Res. Agric. Mod. 2023, 44, 724–735. [Google Scholar] [CrossRef]
- Wang, D.; Fu, B.J.; Chen, L.D.; Zhao, W.W.; Wang, Y.F. Fractal analysis of soil particle size under different land use types: A case study of the loess hilly-gully region. Acta Ecol. Sin. 2007, 27, 3081–3089. [Google Scholar]
- Wan, Q.; Wang, J.; Wang, X.T.; Liu, G.; Zhang, C. Effects of different grassland utilization patterns on soil particle size fractal characteristics in the Qinghai-Tibet Plateau. Acta Ecol. Sin. 2022, 42, 1716–1726. [Google Scholar]
- Montero, E.S. Rényi dimensions analysis of soil particle-size distributions. Ecol. Model. 2005, 182, 305–315. [Google Scholar] [CrossRef]
- Xia, S.; Song, Z.; Jeyakumar, P.; Bolan, N.; Wang, H. Characteristics and applications of biochar for remediating Cr(VI)-contaminated soils and wastewater. Environ. Geochem. Health 2019, 42, 1543–1567. [Google Scholar] [CrossRef]
- Sun, C.; Liu, G.; Xue, S. Response of soil multifractal characteristics and erodibility to 15-year fertilization on cropland in the Loess Plateau, China. Arch. Agron. Soil. Sci. 2016, 63, 956–968. [Google Scholar] [CrossRef]
- Wang, Y.; Meng, Z.J.; Seriengbilige Ding, Y.L.; Wang, Z.Y.; Wan, F.; Wu, X.L. Study on surface soil particle size distribution characteristics in semi-arid farmland based on multifractal theory. Soils 2018, 50, 826–831. [Google Scholar] [CrossRef]
- Sun, M.; Sun, N.; Huang, Y.X.; Xu, M.G.; Wang, B.R.; Zhang, X.B. Multifractal characteristics of particle size distribution in red soil under long-term different fertilization. Sci. Agric. Sin. 2014, 47, 2173–2181. [Google Scholar]
- Chang, H.T.; Zhao, J.; Liu, J.N.; Liu, R.T.; Luo, Y.X.; Zhang, J. Effects of conversion of cropland to forest and grassland on soil physicochemical properties and fractal characteristics: A case study of the Ningxia desert steppe. Acta Prataculturae Sin. 2019, 28, 14–25. [Google Scholar]
- Wu, X.; Wang, S.; Cheng, H.; Yang, Y. Variation of soil organic matter with particle size in the wind erosion region of northern China. CATENA 2024, 241, 108025. [Google Scholar] [CrossRef]
- Cheng, L.; Song, Y.; Yang, L.; Chang, H.; Wu, Y.; Long, H.; Miao, X.; Dong, Z. Variations of the Intensity of the Siberian High During the Last Glacial Revealed by the Sorting Coefficient of Loess-Paleosol Deposits in Eastern Central Asia. Paleoceanogr. Paleoclimatology 2022, 37, e2022PA004468. [Google Scholar] [CrossRef]
- Wang, Z.D.; Yu, D.S.; Wang, W.G.; Luo, F.S.; Yang, J.Y. Relationship between fractal characteristics of particle size and sedimentology of surface sediments in Quanzhou Bay. Trans. Oceanol. Limnol. 2021, 43, 82–88. [Google Scholar] [CrossRef]











| Parameter | Calculation Formula |
|---|---|
| Median grain size (Md) | |
| Mean grain size (Mz) | |
| Sorting coefficient (So) | |
| Skewness (Sk) | |
| Kurtosis (Ku) |
| wxc 1-1 | wxc 1-2 | wxc 1-3 | wxc 1-4 | wxc 1-5 | wxc 2-1 | wxc 2-2 | wxc 2-3 | wxc 2-4 | wxc 2-5 | |
|---|---|---|---|---|---|---|---|---|---|---|
| D | 2.75 | 2.60 | 2.74 | 2.76 | 2.81 | 2.75 | 2.73 | 2.71 | 2.80 | 2.75 |
| DClay | 2.14 | 1.70 | 2.12 | 2.33 | 2.38 | 2.33 | 2.20 | 2.06 | 2.31 | 2.30 |
| DCup | 2.93 | 2.86 | 2.92 | 2.89 | 2.98 | 2.89 | 2.89 | 2.94 | 2.97 | 2.91 |
| Scheme 2 | Linear Regression Equation for the Fractal Dimension of the Clay Fraction | R2 | Linear Regression Equation for the Fractal Dimension of the Silt– and Sand Fractions | R2 |
|---|---|---|---|---|
| wxc1-1 | lgv(d<r)/v0 = 0.86lgr + 1.93 | 0.44 | lgv(d<r)/v0 = 0.07lgr + 1.88 | 0.97 |
| wxc1-2 | lgv(d<r)/v0 = 1.30lgr + 1.68 | 0.65 | lgv(d<r)/v0 = 0.14lgr + 1.74 | 0.90 |
| wxc1-3 | lgv(d<r)/v0 = 0.88lgr + 1.92 | 0.44 | lgv(d<r)/v0 = 0.08lgr + 1.86 | 0.95 |
| wxc1-4 | lgv(d<r)/v0 = 0.67lgr + 1.84 | 0.53 | lgv(d<r)/v0 = 0.11lgr + 1.83 | 0.96 |
| wxc1-5 | lgv(d<r)/v0 = 0.62lgr + 2.02 | 0.41 | lgv(d<r)/v0 = 0.02lgr + 1.97 | 0.98 |
| wxc2-1 | lgv(d<r)/v0 = 0.67lgr + 1.84 | 0.53 | lgv(d<r)/v0 = 0.11lgr + 1.83 | 0.97 |
| wxc2-2 | lgv(d<r)/v0 = 0.80lgr + 1.81 | 0.57 | lgv(d<r)/v0 = 0.11lgr + 1.81 | 0.94 |
| wxc2-3 | lgv(d<r)/v0 = 0.94lgr + 1.95 | 0.44 | lgv(d<r)/v0 = 0.06lgr + 1.90 | 0.94 |
| wxc2-4 | lgv(d<r)/v0 = 0.69lgr + 2.00 | 0.45 | lgv(d<r)/v0 = 0.03lgr + 1.95 | 0.97 |
| wxc2-5 | lgv(d<r)/v0 = 0.70lgr + 1.85 | 0.54 | lgv(d<r)/v0 = 0.09lgr + 1.85 | 0.96 |
| Sample | Capacity Dimension D0 | Information Dimension D1 | Correlation Dimension D2 | D1/D0 |
|---|---|---|---|---|
| wxc1-1 | 1.00 | 0.85 | 0.73 | 0.85 |
| wxc1-2 | 1.00 | 0.93 | 0.90 | 0.93 |
| wxc1-3 | 1.00 | 0.82 | 0.67 | 0.82 |
| wxc1-4 | 1.00 | 0.88 | 0.75 | 0.88 |
| wxc1-5 | 0.90 | 0.66 | 0.55 | 0.73 |
| wxc2-1 | 1.00 | 0.88 | 0.75 | 0.88 |
| wxc2-2 | 0.99 | 0.91 | 0.82 | 0.92 |
| wxc2-3 | 1.00 | 0.81 | 0.66 | 0.81 |
| wxc2-4 | 1.00 | 0.72 | 0.58 | 0.72 |
| wxc2-5 | 1.00 | 0.89 | 0.76 | 0.89 |
Disclaimer/Publisher’s Note: The statements, opinions and data contained in all publications are solely those of the individual author(s) and contributor(s) and not of MDPI and/or the editor(s). MDPI and/or the editor(s) disclaim responsibility for any injury to people or property resulting from any ideas, methods, instructions or products referred to in the content. |
© 2025 by the authors. Licensee MDPI, Basel, Switzerland. This article is an open access article distributed under the terms and conditions of the Creative Commons Attribution (CC BY) license (https://creativecommons.org/licenses/by/4.0/).
Share and Cite
Li, Y.; Xu, Z.; Ye, H.; Bai, J.; Dai, X.; Zeng, Y. Comparative Analysis of Particle Size Characteristics of Calcareous Soils Under Cultivated and Natural Conditions Based on Fractal Theory. Agriculture 2025, 15, 1858. https://doi.org/10.3390/agriculture15171858
Li Y, Xu Z, Ye H, Bai J, Dai X, Zeng Y. Comparative Analysis of Particle Size Characteristics of Calcareous Soils Under Cultivated and Natural Conditions Based on Fractal Theory. Agriculture. 2025; 15(17):1858. https://doi.org/10.3390/agriculture15171858
Chicago/Turabian StyleLi, Yilong, Zongheng Xu, Hongchen Ye, Jianjiao Bai, Xirui Dai, and Yun Zeng. 2025. "Comparative Analysis of Particle Size Characteristics of Calcareous Soils Under Cultivated and Natural Conditions Based on Fractal Theory" Agriculture 15, no. 17: 1858. https://doi.org/10.3390/agriculture15171858
APA StyleLi, Y., Xu, Z., Ye, H., Bai, J., Dai, X., & Zeng, Y. (2025). Comparative Analysis of Particle Size Characteristics of Calcareous Soils Under Cultivated and Natural Conditions Based on Fractal Theory. Agriculture, 15(17), 1858. https://doi.org/10.3390/agriculture15171858

