Behavior Patterns of Colombian Creole Bulls Romosinuano and Costeño Con Cuernos
Abstract
1. Introduction
2. Materials and Methods
2.1. Location and Sire Population Evaluated
2.2. Evaluation of Sexual Behavior
2.3. Statistical Analysis
3. Results
Libido and Service Capacity
4. Discussion
5. Conclusions
Author Contributions
Funding
Institutional Review Board Statement
Informed Consent Statement
Data Availability Statement
Acknowledgments
Conflicts of Interest
Glossary
| Smelling: | Investigating the female with the nose to detect estrus-related olfactory cues. |
| Flehmen reflex: | Curling of the upper lip to transfer pheromones to the vomeronasal organ. |
| Butting: | Gentle pushing of the female with the head, often as part of courtship. |
| Urination: | Act of urinating, which may occur during sexual courtship. |
| Courtship: | Pre-mounting behaviors aimed at stimulating the female. |
| Protrusion: | Visible extension of the penis from the sheath. |
| Erection: | Physiological hardening of the penis in preparation for copulation. |
| Mounting: | The act of climbing onto the female for copulation |
| Ejaculation: | Release of semen during copulation. |
| Libido: | The bull’s level of sexual interest and motivation. |
| Service ability: | The bull’s capacity to complete mounts with ejaculation efficiently within a defined observation period. |
References
- De Araujo, J.W.; Borgwardt, R.; Sween, M.; Yelich, J.; Price, E. Incidence of repeat-breeding among Angus bulls (Bos taurus) differing in sexual performance. Appl. Anim. Behav. Sci. 2003, 81, 89–98. [Google Scholar] [CrossRef]
- Gwazdauskas, F.C. Effects of climate on reproduction in cattle. J. Dairy Sci. 1985, 68, 1568–1578. [Google Scholar] [CrossRef] [PubMed]
- Moncaleano-Vega, J.; Amaya, A.; Martínez, C.; Burgos-Paz, W.; Cerón-Muñoz, M. Economic utility of Colombian Romosinuano cattle. Trop. Anim. Health Prod. 2024, 56, 217. [Google Scholar] [CrossRef] [PubMed]
- Ward, J.A.; Ng’ang’a, S.I.; Randhawa, I.A.S.; McHugo, G.P.; O’Grady, J.F.; Flórez, J.M.; Browne, J.A.; Pérez O’Brien, A.M.; Landaeta-Hernández, A.J.; Garcia, J.F.; et al. Genomic insights into the population history and adaptive traits of Latin American Criollo cattle. R. Soc. Open Sci. 2024, 11, 231388. [Google Scholar] [CrossRef] [PubMed]
- Ben-Jemaa, S.; Boussaha, M.; Mandonnet, N.; Bardou, P.; Naves, M. Uncovering structural variants in Creole cattle from Guadeloupe and their impact on environmental adaptation through whole genome sequencing. PLoS ONE 2024, 19, e0309411. [Google Scholar] [CrossRef]
- Armstrong, E.; Rodriguez Almeida, F.A.; McIntosh, M.M.; Poli, M.; Cibils, A.F.; Martínez-Quintana, J.A.; Félix-Portillo, M.; Estell, R.E. Genetic and productive background of Criollo cattle in Argentina, Mexico, Uruguay and the United States. J. Arid. Environ. 2022, 200, 104722. [Google Scholar] [CrossRef]
- Alves, J.R.A.; Andrade, T.A.A.; Assis, D.M.; Gurjão, T.A.; Melo, L.R.B.; Souza, B.B. Productive and reproductive performance, behavior and physiology of cattle under heat stress conditions. J. Anim. Behav. Biometeorol. 2017, 5, 91–96. [Google Scholar] [CrossRef]
- Martínez, G.; Torres, J.C.; Guio, P.; Ballesteros, H. Utilización de toros criollos y su efecto en rasgos de reproducción y crecimiento, en un sistema de cría en la Orinoquia colombiana. Acta Iberoam. Conserv. Anim. 2015, 5, 44–50. [Google Scholar]
- Chenoweth, P.J. Sexual behavior of the bull: A review. J. Dairy Sci. 1983, 66, 173–179. Available online: https://www.journalofdairyscience.org/article/S0022-0302(83)81770-6/pdf (accessed on 10 June 2025). [CrossRef]
- Santos, M.D.; Torres, C.A.A.; Ruas, J.R.M.; Machado, G.V.; Costa, D.S. Aungulo, L.M. Concentrações séricas de testosterona em touros zebu. Rev. Bras. Zootec. 2000, 29, 738–744. [Google Scholar] [CrossRef]
- Santos, M.D.; Torres, C.A.A.; Ruas, J.R.M.; Silva Filho, J.M.; Costa, E.P.; Pereira, J.C. Teste da libido e atividade de monta em touros da raça Nelore. Arq. Bras. Med. Veterinária E Zootec. 2004, 56, 504–510. [Google Scholar] [CrossRef][Green Version]
- Chacur, M.G.M.; Sirchia, F.P.; Zerbinatti, E.P.; Kronka, S.N.; Oba, E. Relação entre circunferência escrotal, libido, hormônios e características do sêmen em touros Brangus e Pardo-Suíço. Acta Sci. Vet. 2007, 35, 173–179. [Google Scholar] [CrossRef]
- Blockey, M.A.B.; Straw, W.M.; Jones, L.P. Heritability of serving capacity and scrotal circumference in beef bulls. J. Anim. Sci. 1978, 47 (Suppl. S1), 253. [Google Scholar]
- Pearson, J.M. A review: Breeding behavior and management strategies for improving reproductive efficiency in bulls. Anim. Reprod. Sci. 2025, 273, 107669. [Google Scholar] [CrossRef] [PubMed]
- Cui, X.; Chen, Z. Innovations in Cattle Breeding Technology: Prospects in the Era of Gene Editing. Animals 2025, 15, 1364. [Google Scholar] [CrossRef]
- Pineda, N.R.; Lemos, P.F.; Fonseca, V.O. Comparação entre dois testes de Avaliação do comportamento sexual (libido) de touros Nelore (Bos taurus indicus). Rev. Bras. Reprodução Anim. 1997, 21, 29–34. [Google Scholar]
- García-Paloma, J.A.; Pérez Garnelo, S.; Oliet Palá, A.; Montoya Monsalve, G.; Noval Camblor, G.; Carleos Artime, C.; Astiz Blanco, S. La guía VART: Propuesta para estandarizar la valoración de la aptitud reproductive de toros en España. Parte 3. Valoración Física, Seminal y de Comportamiento. Prod. Anim. 2021, 324, 38–73. [Google Scholar]
- Greenacre, M. Correspondence Analysis in Practice; Chapman and Hall/CRC: New York, NY, USA, 2017. [Google Scholar]
- Chavent, M.; Kuentz-Simonet, V.; Labenne, A.; Saracco, J. ClustOfVar: An R Package for the Clustering of Variables. J. Stat. Softw. 2012, 50, 1–16. [Google Scholar] [CrossRef]
- R Core Team. R: A Language and Environment for Statistical Computing; R Foundation for Statistical Computing: Vienna, Austria, 2024; Available online: https://www.r-project.org/ (accessed on 10 June 2025).
- Núñez-Domínguez, R.; Martínez-Rocha, R.E.; Hidalgo-Moreno, J.A.; Ramírez-Valverde, R.; García-Muñiz, J.G. Evaluation of the Romosinuano cattle population structure in Mexico using pedigree analysis. Rev. Colomb. Cienc. Pecu. 2020, 33, 44–59. [Google Scholar] [CrossRef]
- Ossa, G.; Abuabara, Y.; García, J.P.; Martínez, G. El ganado criollo colombiano Costeño con Cuernos (CCC). Anim. Genet. Resour. 2011, 48, 101–107. [Google Scholar] [CrossRef][Green Version]
- FEDEGAN, Federación Colombiana de Ganaderos. Perspectivas del Inventario Ganadero Colombiano. 2024. Available online: https://estadisticas.fedegan.org.co/DOC/download.jsp?pRealName=Perspectivas_inventario_bovino_colombiano_UV.pdf&iIdFiles=1096] (accessed on 25 July 2025).
- Cañas Álvarez, J.J.; Montiel Vargas, A.G.; Paternina Díaz, E.; Moya Romero, D.C.; Perdomo Ayola, S.C.; Rúa Bustamante, C.V. Raza criolla Costeño con Cuernos: Recurso ganadero adaptado al trópico colombiano. Corporación Colomb. Investig. Agropecu. 2020, 2020, 20. [Google Scholar] [CrossRef]
- Vergara, Ó.; Ossa, G.; Cabrera, J.; Simanca, J.; Pérez, J. Heritabilities and genetic trends for reproductive traits in a population of Romosinuano cattle in Colombia. Rev. MVZ Córdoba 2016, 21, 5250–5257. [Google Scholar] [CrossRef]
- Chacón, L.; Navarro, O.; Ladino, C.; Martins, J.; Perez, J.; Ardila, A. Sexual behavior and seminal characteristics of Brahman bulls in the Colombian tropical flooded savanna: Effects of reproductive management systems and climatic periods. Trop. Anim. Health Prod. 2022, 54, 81. [Google Scholar] [CrossRef] [PubMed]
- Barbosa, R.J. Comportamento Sexual, Biometria Testicular, Aspectos do Sêmen e Níveis Plasmáticos de Testosterona em Touros Canchim e Nelore. Master’s Thesis, Universidade Federal de Minas Gerais, Belo Horizonte, Brasil, 1987; 132p. Available online: http://www.alice.cnptia.embrapa.br/alice/handle/doc/35005 (accessed on 10 June 2025).
- Crudeli, G.A. Avaliação da Aptidão Reprodutiva de Touros da Raça Nelore e Efeito Sobre a Taxa de Gestação do Rebanho. Master’s Thesis, Universidade Federal de Minas Gerais Dissertação, Belo Horizonte, Brasil, 1990; 152p. [Google Scholar]
- Fonseca, V.O. Puberdade, adolescência e maturidade sexual: Aspectos histopatológicos e comportamentais. In VIII Congresso Brasileiro Reprodução Animal; Colégio Brasileiro de Reprodução Animal: Belo Horizonte, Brasil, 1989; pp. 77–93. [Google Scholar]
- Chase, C.C.; Hammond, A.C.; Olson, T.A.; Murphy, C.N.; Tewolde, A.; Griffin, J.L. Introduction and evaluation of Romosinuano in the USA. Arch. Latinoam. Prod. Anim. 1997, 5, 57–70. Available online: https://ojs.alpa.uy/index.php/ojs_files/article/view/223 (accessed on 25 July 2025).
- Chase, C.C.; Chenoweth, P.J.; Larsen, R.E.; Olson, T.A.; Hammond, A.C.; Menchaca, M.A.; Randel, R.D. Growth and reproductive development from weaning through 20 months of age among breeds of bulls in subtropical Florida. Theriogenology 1997, 47, 723–745. [Google Scholar] [CrossRef]
- Oliveira, C.B.; Guimarães, J.D.; Paulino da Costa, E.; Broch Siqueira, J.; Alves Torres, C.A.; Ribeiro de Carvalho, G.; Facioni Guimarães, S.E. Avaliação do comportamento sexual em touros Nelore: Comparação entre os testes da libido em curral e do comportamento sexual a campo. Melhor. Genética E Reprodução R. Bras. Zootec 2007, 36, 32–42. [Google Scholar] [CrossRef][Green Version]
- Costa e Silva, E.V.; Sereno, J.R.B.; Paranhos da Costa, M.J.R.; Cunha, J.E.L.M.; Vasconcelos, J.T. Comportamento sexual de touros Nelore (Bos taurus indicus) e pantaneiro (Bos taurus taurus) durante os procedimentos de teste de libido. Rev. Bras. Reprodução Anim. 1999, 23, 214–216. [Google Scholar][Green Version]
- Salvador, D.F.; Andrade, V.J.; Vale Filho, V.R.; Silva, A.S.; e Silva, E.C. Avaliação da libido de touros Nelore adultos em curral e sua associação com características andrológicas e desempenho reprodutivo a campo. Arq. Bras. Med. Veterinária E Zootec. 2003, 55, 588–593. [Google Scholar] [CrossRef]
- Días, J.C.; Emerick, L.; Martins, J.; Andrade, V.; Vale Filho, V. Comportamento sexual de touros jovens Guzerá em teste da libido em curral e piquete. Rev. Ciências Agrárias 2020, 43, 124–132. [Google Scholar] [CrossRef]
- Da Costa, E.V.; Sampaio, B.F.B.S.; Macedo, G.G. Comportamento sócio-sexual e seus problemas no desempenho de touros. An. VII Reun. Anu. Assoc. Bras. Androl. Anim. 2023, 47, 616–624. [Google Scholar] [CrossRef]
- Chenoweth, P.J. Libido testing. In Current Therapy in Theriogenology, 2nd ed.; Morrow, D.A., Ed.; Sauders: Philadelphia, PA, USA, 1981; pp. 136–142. [Google Scholar]
- Quirino, C.R.; Bergmann, J.A.G.; Vale Filho, V.R.; Andrade, V.J.; Reis, S.R.; Mendonça, R.M.; e Fonseca, C.G. Genetic parameters of libido in Brazilian Nellore bulls. Theriogenology 2004, 62, 1–7. [Google Scholar] [CrossRef]
- Torres-Júnior, J.R.S.; Henry, M. Sexual development of Guzerat (Bos taurus indicus) bulls raised in a tropical region. Anim. Reprod. 2005, 2, 114–121. Available online: https://www.animal-reproduction.org/article/5b5a6086f7783717068b47ef/pdf/animreprod-2-2-114.pdf (accessed on 25 July 2025).
- Bailey, J.D.; Anderson, L.H.; Schillo, K.K. Effects of novel females and stage of the estrous cycle on sexual behavior in mature beef bulls. J. Anim. Sci. 2005, 83, 613–624. [Google Scholar] [CrossRef] [PubMed][Green Version]
- Madrid-Bury, N.; González-Stagnaro, C.; Aranguren-Méndez, J.A.; Yanez, F.; Quintero-Moreno, A. Comportamiento sexual en toros criollo limonero. Rev. Fac. Agron. 2011, 28, 505–513. [Google Scholar][Green Version]
- Estrella-García, A.G.; López-Ortiz, S.; Canseco-Sedano, R.; Pérez-Hernández, P.; Ahuja-Aguirre, C.C.; Guerrero-Hernández, J. Aptitud reproductiva de toros criollo lechero tropical. Ecosistemas Recur. Agropecu. 2021, 8, 21. [Google Scholar] [CrossRef]
- Pérez-Ruiz, E.; Quezada-Casasola, A.; Carrera-Chávez, J.M.; Álvarez-Holguín, A.; Ochoa-Rivero, J.M.; Chávez-Ruiz, M.G.; Román-Ponce, S.I. Ovarian function and response to estrus synchronization in Creole cattle in Mexico. Review. Rev. Mex. Cienc. Pecu. 2022, 13, 422–451. [Google Scholar] [CrossRef]
- Palmieri, R.; Suárez, D.; Espitia, A.; González, M.; Prieto, E. Variables seminales en toros criollos colombianos con cuernos costeños y romosinuano. Rev. MVZ Córdoba 2004, 9, 381–385. [Google Scholar] [CrossRef]
- Espitia, A.; Prieto, E.; Cardozo, J. Pubertad y circunferencia escrotal en toros Holstein x Cebu, Cebu y Romosinuano. Rev MVZ Córdoba 2006, 11, 744–750. Available online: https://www.redalyc.org/pdf/693/69311108.pdf (accessed on 10 June 2025). [CrossRef]
- Vélez-Castañeda, L.; Rúgeles-Pinto, C.; Vergara-Garay, O. Efecto de la raza sobre las características reproductivas de toros manejados en sistemas extensivos. Rev. Científica 2014, 24, 341–346. [Google Scholar]
- Leyva, G.A.T.; Jaramillo, L.C.; Silva, A.A.; Burgos-Paz, W. Evaluación de factores ambientales y genómicos asociados a características de fertilidad de toros Brahman élite en la Orinoquia colombiana. Rev. Investig. Vet. Perú 2022, 33, e19648. [Google Scholar] [CrossRef]




| Classification | Score * | Sexual Behavior Description |
|---|---|---|
| 0 | The bull shows no sexual interest in the cow(s); apathetic. | |
| Questionable | 1 | Identification of the cow in estrus (smelling and Flehmen reflex). |
| 2 | Smelling, Flehmen reflex, and continuous accompaniment. | |
| 3 | Attempted mounting without jumping, accompanied by vocalizations, moving, and masturbation. | |
| Good | 4 | Mount attempt without jumping, with penis exhibition. |
| 5 | Mount attempt with jumping and penis exhibition. | |
| 6 | Two or more mount attempts by jumping and penis exhibition. | |
| 7 | Mount with protrusion, erection, penis exhibition, and ejaculation. | |
| 8 | Mount with complete service. | |
| Excellent | 9 | Two complete services. |
| 10 | More than two complete services performed consecutively with persistence. |
| Behavior | CCC | ROM | Kruskal-Wallis | p-Value | ||||||
|---|---|---|---|---|---|---|---|---|---|---|
| Min | Median | Mean ± SD | Max | Min | Median | Mean ± SD | Max | |||
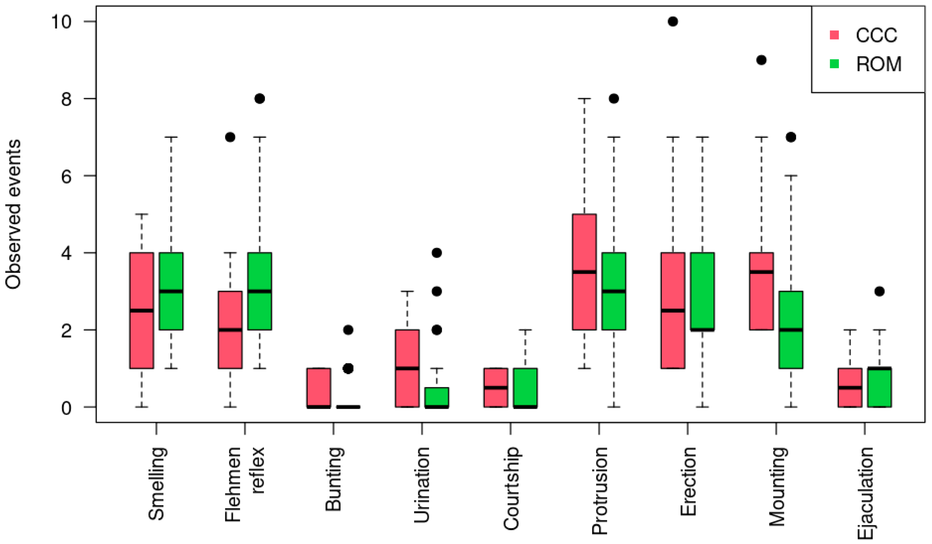
| Smelling | 0 | 2.5 | 2.4 ± 1.71 | 5 | 1 | 3 | 3.21 ± 1.57 | 7 | 1.314 | 0.252 |
| Flehmen reflex | 0 | 2 | 2.5 ± 1.96 | 7 | 1 | 3 | 3.4 ± 1.92 | 8 | 2.224 | 0.136 |
| Bunting | 0 | 0 | 0.3 ± 0.48 | 1 | 0 | 0 | 0.26 ± 0.49 | 2 | 0.154 | 0.694 |
| Urination | 0 | 1 | 1.2 ± 1.14 | 3 | 0 | 0 | 0.4 ± 0.85 | 4 | 7.464 | 0.006 |
| Courtship | 0 | 0.5 | 0.5 ± 0.53 | 1 | 0 | 0 | 0.4 ± 0.61 | 2 | 0.553 | 0.457 |
| Protrusion | 1 | 3.5 | 3.6 ± 2.22 | 8 | 0 | 3 | 2.96 ± 1.79 | 8 | 0.605 | 0.437 |
| Erection | 1 | 2.5 | 3.3 ± 3.02 | 10 | 0 | 2 | 2.66 ± 1.72 | 7 | 0.004 | 0.949 |
| Mounting | 2 | 3.5 | 3.9 ± 2.38 | 9 | 0 | 2 | 2.32 ± 1.82 | 7 | 4.37 | 0.037 |
| Ejaculation | 0 | 0.5 | 0.6 ± 0.7 | 2 | 0 | 1 | 0.62 ± 0.68 | 3 | 0.007 | 0.932 |
| First Mount | Second Mount | Third Mount | |
|---|---|---|---|
| All bulls | 114.41 ± 112.88 | 226.32 ± 152.99 | 296.56 ± 149.34 |
| CCC | 101.11 ± 122.90 | 226.56 ± 163.15 | 283.20 ± 161.67 |
| ROM | 119.20 ± 111.33 | 226.19 ± 152.49 | 302.64 ± 151.23 |
Disclaimer/Publisher’s Note: The statements, opinions and data contained in all publications are solely those of the individual author(s) and contributor(s) and not of MDPI and/or the editor(s). MDPI and/or the editor(s) disclaim responsibility for any injury to people or property resulting from any ideas, methods, instructions or products referred to in the content. |
© 2025 by the authors. Licensee MDPI, Basel, Switzerland. This article is an open access article distributed under the terms and conditions of the Creative Commons Attribution (CC BY) license (https://creativecommons.org/licenses/by/4.0/).
Share and Cite
Burgos-Paz, W.O.; Falla-Tapias, S.; Mejía-Lúquez, J.A.; Carrascal-Triana, E.L. Behavior Patterns of Colombian Creole Bulls Romosinuano and Costeño Con Cuernos. Agriculture 2025, 15, 1744. https://doi.org/10.3390/agriculture15161744
Burgos-Paz WO, Falla-Tapias S, Mejía-Lúquez JA, Carrascal-Triana EL. Behavior Patterns of Colombian Creole Bulls Romosinuano and Costeño Con Cuernos. Agriculture. 2025; 15(16):1744. https://doi.org/10.3390/agriculture15161744
Chicago/Turabian StyleBurgos-Paz, William Orlando, Sergio Falla-Tapias, Jorge Armando Mejía-Lúquez, and Erly Luisana Carrascal-Triana. 2025. "Behavior Patterns of Colombian Creole Bulls Romosinuano and Costeño Con Cuernos" Agriculture 15, no. 16: 1744. https://doi.org/10.3390/agriculture15161744
APA StyleBurgos-Paz, W. O., Falla-Tapias, S., Mejía-Lúquez, J. A., & Carrascal-Triana, E. L. (2025). Behavior Patterns of Colombian Creole Bulls Romosinuano and Costeño Con Cuernos. Agriculture, 15(16), 1744. https://doi.org/10.3390/agriculture15161744

