Next Article in Journal
Threshold Effects and Synergistic Trade-Offs in Ecosystem Services: A Spatio-Temporal Study of Kashgar’s Arid Region
Previous Article in Journal
Soil Nitrification Rate Is Affected by Plant Species and Nitrogen Levels
 
 
Font Type:
Arial Georgia Verdana
Font Size:
Aa Aa Aa
Line Spacing:
Column Width:
Background:
Article

Assessment of Rice Productivity and Solar Power Generation in Agriphotovoltaic Systems

1
Division of Applied Life Science, Gyeongsang National University, Jinju 52828, Republic of Korea
2
Department of Crop Research, Gyeongnam Agricultural Research and Extension Services, Jinju 52733, Republic of Korea
3
Department of Plant Medicine, College of Agriculture and Life Sciences, Gyeongsang National University, Jinju 52828, Republic of Korea
4
Institute of Agriculture and Life Science, Gyeongsang National University, Jinju 52828, Republic of Korea
5
Department of Agronomy, College of Agriculture and Life Sciences, Gyeongsang National University, Jinju 52828, Republic of Korea
*
Author to whom correspondence should be addressed.
Agriculture 2025, 15(16), 1741; https://doi.org/10.3390/agriculture15161741
Submission received: 15 July 2025 / Revised: 11 August 2025 / Accepted: 11 August 2025 / Published: 14 August 2025
(This article belongs to the Topic Sustainable Energy Systems)

Abstract

This study aims to evaluate the feasibility and benefits of integrating photovoltaic (APV) systems with rice cultivation, focusing on growth characteristics, chlorophyll content and fluorescence, yield components, and electricity production. An APV system was installed over a rice paddy area in Namhae-gun, Gyeongsangnam-do, with 607 modules providing a total capacity of approximately 97.12 kW. The Baegokchal variety of rice was cultivated following standard practices, and growth characteristics, chlorophyll content, and fluorescence were measured throughout the growing period. Yield components were analyzed, and electricity production was monitored to assess the performance of the APV system. The rice growing period in 2021 experienced lower than average temperatures and higher rainfall. Despite these conditions, rice in the APV systems showed increased chlorophyll content and fluorescence, indicating an adaptive response to reduced sunlight. Rice plants in APV systems exhibited greater plant height but fewer tillers compared to the control group. Leaves were significantly longer and wider, enhancing photosynthetic efficiency under shading. The yield of rice in APV systems was reduced by approximately 9% compared to the control, less severe than that reported in other studies. The APV system demonstrated stable electricity production, with consistent output throughout the year, despite variations in solar radiation. Integrating photovoltaic systems with rice cultivation is feasible and beneficial, providing a reliable source of renewable energy and enhancing farm income despite a slight reduction in rice yield. This study highlights the potential of APV systems to contribute to sustainable agriculture and renewable energy expansion, suggesting the need for further research on various crops and conditions to optimize system performance.

1. Introduction

Energy is a fundamental aspect of global economic development. The development of renewable energy sources is emerging as a crucial issue to meet energy demand while replacing fossil fuels, which are major contributors to climate change. Among various new renewable energy sources, photovoltaic systems have great potential and are considered the system with the highest realistic expansion potential [1]. Photovoltaic systems have unique characteristics that provide significant advantages for electrical energy production. One key benefit is significant cost savings: according to a report by the International Renewable Energy Agency (IRENA), the global weighted average levelized cost of electricity (LCOE) for large-scale solar power plants decreased by 89% from USD 0.445/kWh in 2010 to USD 0.049/kWh in 2022. Additionally, the price of crystalline solar PV modules sold in Europe decreased by 91% from December 2009 to December 2022 [2].
The Korean government announced the ‘Renewable Energy 3020’ plan to increase the proportion of renewable energy from 7% to 20% between 2017 and 2030 [3]. To achieve this, plans are in place to expand agriphotovoltaic (APV) systems in agricultural areas. Recent research has reported on the production and quality of various crops in APV systems. For instance, the production of broccoli showed no difference compared to open field cultivation [4], while cabbage exhibited a 9.7% yield reduction in APV systems [5]. The yield of lettuce in APV systems varies depending on the variety, but under severe shading conditions, the yield was significantly reduced to 58% of the control [6]. In tomatoes, yield increased under semi-arid conditions with high light intensity and medium shade (25–36% reduction in sunlight) [7,8]. However, at 50% shading, tomato leaf thickness decreased by up to 25%, and the ratio of chlorophyll a/b also decreased. When sunlight was reduced to above medium intensity, tomato yield also decreased [7,8].
Rice is a critical component of the farm economy, accounting for a larger portion of agricultural income than any other crop. Approximately 85% of all farm households are engaged in rice cultivation, which accounts for more than 49% of total domestic agricultural income and more than 22.9% of total farm household income [9]. As of 2021, the paddy field area was approximately 760,000 ha, accounting for 50.5% of the total cultivated land in Korea [10]. The decline in rice prices, compared to the recent rise in inflation, has been identified as a barrier to sustainable agricultural development. With increased food diversity and income, per capita rice consumption decreased from 93.6 kg in 2000 to 56.4 kg in 2023 [11]. This decrease in consumption has led to a decline in rice prices, thereby reducing farmers’ real income and creating significant challenges for the farm economy. Various strategies to improve farm income are being explored, including agricultural solar power generation systems that combine renewable energy and rice farming, which are gaining attention.
APV systems can offset the limitations of photovoltaics in mountainous areas and have the advantage of not damaging farmland. Additionally, they are a convergence system that can produce electricity while simultaneously producing rice, making efficient use of solar energy. As interest in APV systems grows, the importance of analyzing the impact on rice yield reduction due to shading from solar power modules increases. Several recent studies have demonstrated the feasibility of cultivating rice in these systems, reporting that rice yield was maintained at about 80% when the shading rate was between 27 and 39% [12]. Nevertheless, there is a lack of information on sustainability in APV systems, such as rice yield and quality under various conditions, including regional weather variations and differences in solar modules. Therefore, this study aims to analyze the potential for rice yield and electric power production using the glutinous rice variety in an APV system in Namhae-gun, Gyeongsangnam-do.

2. Materials and Methods

2.1. APV System and Rice Cultivation

A photovoltaic system was installed at a height of 3.5 m on a rice paddy area of 2939 m2 in Gohyeon-ri, Namhae-gun, Gyeongsangnam-do, to ensure that there are no problems using agricultural machinery such as rice transplanters, tractors, and combines. Photovoltaic modules were installed at 60 cm intervals to facilitate adequate solar radiation penetration between units, thereby minimizing shading effects on crops. The inclination angle of photovoltaic modules can be adjusted in accordance with the solar altitude and azimuth or alternatively maintained in a fixed position. In the present system, the modules are fixed at an inclination of 30°, which represents the optimal angle for maximizing power generation efficiency relative to installation and maintenance costs. A total of 607 modules, each with a 160 W capacity, were installed in a southeastern configuration, providing a total capacity of approximately 97.12 kW. Structural design considerations, including load-bearing capacity and cost-efficiency, were incorporated into the installation process (Figure 1). The Baegokchal variety of rice was mechanically transplanted on 7 June, with a planting distance of 30 × 15 cm. The fertilization comprised 9 kg of nitrogen, 4.5 kg of phosphorus, and 5.7 kg of potassium per 10 a. In total, 50% of nitrogen was applied as basal fertilization, 30% as topdressing at the tillering stage, and 20% as fertilization at the panicle initiation stage. Phosphorus was applied entirely as basal fertilization, while 70% of potassium was applied as basal fertilization and 30% at the panicle initiation stage. Additionally, the cultivation method followed the standard rice cultivation practices recommended by the Rural Development Administration [13].

2.2. Agricultural Characteristics

The growth characteristics of rice were investigated according to the agricultural science and technology research and analysis standards. To observe growth changes at each stage of rice development, plant height and the number of tillers were examined at two-week intervals after transplanting. The yield components of rice, such as the number of panicles, number of spikelets per panicle, ripening rate, and thousand-grain weight, were also analyzed. To measure the ripening rate, three plants were sampled three times each, and the ripening and non-ripening grains were separated using a salt solution. The ratio of ripening grains was then calculated. The yield was converted to the quantity per 10 a by harvesting 100 plants.

2.3. Chlorophyll Content and Fluorescence Analysis

During plant photosynthesis, the amount of fluorescence emitted changes as the activity of photochemical reactions increases or decreases. These photochemical and fluorescence reactions respond sensitively to external environmental conditions. The degree of stress caused by reduced sunlight due to solar power modules in rice was measured using a chlorophyll fluorescence reaction meter (OS30P+, Opti-Sciences Inc., Hudson, NY, USA), and leaf aging was assessed. To measure the extent of chlorophyll content non-destructively, a CCM-300 (Opti-Sciences Inc., Hudson, NY, USA) was used.

2.4. Statistical Analysis

Statistical analyses were conducted to obtain the arithmetic mean and standard error. These statistical procedures were performed using Microsoft Excel 2019.

3. Results and Discussion

3.1. Climate Characteristics of Rice Growing Period

For this study, the minimum temperature, maximum temperature, average temperature, precipitation, and sunshine hours during the rice cultivation period are shown in Figure 2. During the rice growing period in 2021, the monthly average temperature was often lower than normal in August and September, exhibiting a typical Korean climate with heavy rainfall in July and August. Despite this, there was more rainfall than usual. Additionally, September had many cloudy days, resulting in less sunlight compared to the average year, while October had a similar amount of sunlight to the average year. These weather conditions are thought to have negatively impacted yield formation due to a lack of sunlight during the critical ripening period after the heading date. However, the restored sunlight in October likely had a positive effect on yield formation as the rice plants reached maturity. These sunlight conditions in September and October are believed to have similarly affected both rice yield and electricity production.

3.2. Changes in Agricultural Characteristics of Rice

Starting two weeks after transplanting, the plant height and number of tillers of rice were examined in the APV system and the control site. In the early stages of growth, there was no difference in plant height and the number of tillers. However, in the later stages of growth, the plant height of the rice plants in the APV system tended to become greater and the number of tillers less compared to the control group (Figure 3). This trend became more pronounced as growth progressed. These findings are consistent with a report that 55% shading increases the plant height of rice and reduces the effective number of tillers [14].
To determine whether a decrease in sunlight affects the morphology of rice leaves, the length and width of leaves were examined. The shape of the flag leaves just before harvest showed that the leaves of rice plants in the APV system were significantly longer and wider (Figure 4A,B). This is thought to be the response of rice plants to sustain photosynthesis and increase efficiency when faced with the decrease in sunlight caused by solar power modules. However, there was no difference in the length of the panicle between the control and APV systems (Figure 4C). These results align with reports that shading significantly increased leaf area, decreased leaf thickness, and improved plant height [15,16]. It has been reported that these responses vary depending on the rice variety [14,15,17,18]. Accordingly, the rice variety used in this study, Baegokchal, is presumed to be sensitive to the decrease in sunlight caused by the solar modules.

3.3. Changes in Chlorophyll Content and Chlorophyll Fluorescence

Chlorophyll content was analyzed to investigate the effect of reduced sunlight due to APV facilities during the entire growth period of rice. The chlorophyll content was measured on the fully developed leaves among the top leaves during the vegetative growth period, and then on the flag leaves as they developed. Measurements were taken from four weeks after transplanting, when the rice leaves had grown sufficiently, to immediately before harvest. The chlorophyll content of rice in APV systems was generally higher than that in the control group throughout the entire growing period and remained higher until harvest (Figure 5). While the chlorophyll content of the leaves in the control group decreased as harvest time approached, the chlorophyll content in the APV systems remained significantly higher even as the plants matured. These results align with reports that photosynthetic pigments chlorophyll a and chlorophyll b increase under shaded conditions, although the chlorophyll a/b ratio decreases [18,19]. This adaptation improves light harvesting and usage capacity by blocking solar radiation with the solar module [15,20].
Chlorophyll fluorescence analysis of rice leaves was performed to evaluate the effect of reduced sunlight due to solar power modules in the later stages of rice growth. Fluorescence variables such as initial fluorescence yield (F0), maximum fluorescence yield (Fm), and maximum photochemical efficiency (Fv/Fm) were measured [21]. This analysis is used as a basis for stress evaluation. Generally, when a plant is stressed, the F0 value increases, and the Fm value decreases, and these values vary depending on the chlorophyll content [22]. As growth progressed to the later stages, the difference in chlorophyll content increased. Accordingly, the F0 and Fm values of chlorophyll fluorescence were higher in rice in APV systems compared to the control (Figure 6A,B). Consequently, the maximum photochemical efficiency of rice leaves in APV systems was higher than that in the control site (Figure 6C). These results suggest that rice in the control group grew at a normal rate, while the growth of rice in APV systems slowed, causing the aging of rice leaves to progress more slowly.

3.4. Yield and Yield Components

The yield of rice is determined by the interaction between the source, which supplies assimilates through photosynthesis; the sink, which accumulates these assimilates; and the translocation pathway, which serves as the conduit for the movement of these assimilates. To increase the yield of rice, the ratio of the source to the sink, the vitality of the related traits of the source and sink, and factors such as temperature and sunlight are crucial [23,24]. The effect of insufficient sunlight on rice varies by variety during the vegetative growth stage, with reports indicating that even with 75% shading, rice growth is not significantly affected [25]. However, during the reproductive growth stage, which is crucial for yield, the yield increases in proportion to the amount of sunlight.
In a system with APV panels, rice yield was approximately 541 kg/10 a, compared to about 595 kg/10 a in the control group, showing a yield reduction of about 9% (Table 1). Although the number of panicles per plant was slightly lower in APV systems, the number of grains per panicle was higher, somewhat offsetting the deficit in panicle number. However, the lower ripened grain rate in APV systems, due to reduced sunlight, is thought to have impacted the yield. Recent reports indicate that 55% shading increases plant height, reduces the effective tiller number, delays flowering, increases small panicle sterility, reduces biomass and grain yield, and alters rice quality [14,15,16,17,26,27]. Despite the slower growth in APV systems, the harvest time did not differ significantly, likely due to the characteristics of the Baegokchal rice used in this study.
In Chiba Prefecture, Japan, APV systems reported a yield reduction of about 20% [28], whereas in this study, the yield reduction was around 9%, possibly due to favorable weather conditions and the genetic traits of the glutinous rice. Thus, experiments with various rice varieties and weather conditions are needed. To achieve carbon neutrality and sustainable agriculture, continuous research on various crops and varieties within APV systems is necessary.

3.5. Electric Power Production of APV System

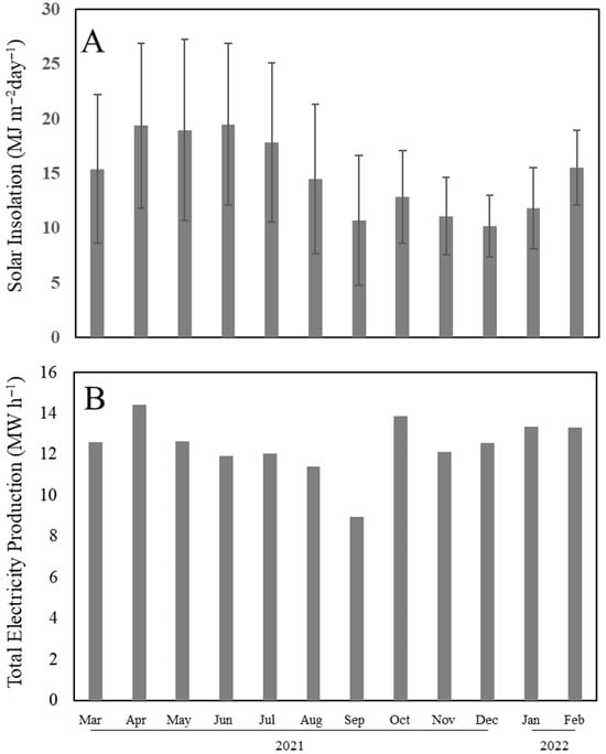
The APV system had a total installed capacity of approximately 97.12 kW and was installed at intervals of 3.5 m in height and 5 m in width. The monthly electric power production and solar radiation for one year are shown in Figure 7. The month with the highest electric power production was April, at 14,414 kWh, while the month with the lowest electric power production was September, at 8943 kWh, a decrease of approximately 38%. This decrease is thought to be due to a 61% reduction in solar radiation caused by weather conditions. Except for September, changes in solar radiation throughout the year were minimal and consistent, resulting in stable electricity production.
The capital investment for the agriphotovoltaic (APV) system was approximately KRW 170 million. The installation yields an estimated annual electricity sales revenue of KRW 13.4 million and an additional 11.52 million KRW from the sale of Renewable Energy Certificates (RECs), resulting in a combined annual income of approximately KRW 24.9 million. Based on these figures, the simple payback period is projected to be approximately seven years. Given the manufacturer’s operational guarantee of approximately 20 years for the photovoltaic modules, the system is expected to generate net profits for the remaining 13 years of its operational lifespan.
Moreover, it was confirmed that as long as a certain amount of solar radiation is secured, the variation in power production is less than the variation in solar radiation, ensuring steady electricity output. The results of this electric power production indicate that APV systems can positively impact the spread of renewable energy generation by increasing farmers’ income through energy sales profits.
It was confirmed that, in the absence of limiting factors related to the weather environment, a uniform amount of electricity was produced annually in Namhae-gun, Gyeongsangnam-do. Therefore, with support for research on the productivity of various crops in APV systems, it is believed that APV systems can significantly contribute to the spread of renewable energy power generation systems and improve farm household income.

4. Conclusions

This study explored the integration of photovoltaic systems with rice cultivation, assessing the impact on growth characteristics, chlorophyll content and fluorescence, yield components, and electricity production.
The rice growing period in 2021 experienced lower than average temperatures and higher than usual rainfall, especially in July and August. Despite these conditions, rice in the photovoltaic (APV) systems showed increased chlorophyll content and fluorescence, suggesting an adaptive response to reduced sunlight. Rice plants in APV systems exhibited greater plant height but fewer tillers compared to the control. This trend became more pronounced during later growth stages, aligning with previous studies on the effects of shading. The leaves of rice plants in the APV systems were significantly longer and wider, enhancing photosynthetic efficiency under reduced sunlight conditions. Although the yield of rice in APV systems was reduced by approximately 9% compared to the control, this decrease was less severe than reported in other studies, such as in Chiba Prefecture, Japan, where a 20% reduction was observed. The reduction in yield was primarily due to fewer panicles and a lower ripening rate, influenced by decreased sunlight. However, favorable weather conditions and the characteristics of the Baegokchal rice variety used in this study helped mitigate the impact. The APV system demonstrated stable electricity production, with the highest output in April and the lowest in September, correlating with solar radiation levels. Despite the variations in solar radiation, the APV system maintained consistent electricity production, suggesting that such systems can provide reliable renewable energy.
Overall, this study confirms that integrating photovoltaic systems with rice cultivation is feasible and beneficial. While there is a slight reduction in rice yield, the stability of electricity production can enhance farm income and contribute to renewable energy expansion. Further research on various crops and conditions will be essential to optimize APV systems and maximize their benefits for sustainable agriculture and energy production.

Author Contributions

Conceptualization, J.-S.C. and J.J.L.; formal analysis, J.-S.C. and S.-M.Y.; investigation, J.-S.C., S.-M.Y. and D.-G.S.; writing—original draft, S.-M.Y. and J.-S.C.; writing—review and editing, J.-S.C. and J.J.L. All authors have read and agreed to the published version of the manuscript.

Funding

This research received no external funding.

Institutional Review Board Statement

Not applicable.

Data Availability Statement

The original contributions presented in the study are included in the article. Further inquiries can be directed to the corresponding author.

Conflicts of Interest

The authors declare no conflicts of interest.

References

  1. Blankenship, R.E.; Tiede, D.M.; Barber, J.; Brudvig, G.W.; Fleming, G.; Ghirardi, M.; Gunner, M.R.; Junge, W.; Kramer, D.M.; Melis, A.; et al. Comparing Photosynthetic and Photovoltaic Efficiencies and Recognizing the Potential for Improvement. Science 2011, 6031, 805–809. [Google Scholar] [CrossRef]
  2. International Renewable Energy Agency (IRENA). Renewable Power Generation Costs in 2022; IRENA: Masdar City, United Arab Emirates, 2024; p. 108.
  3. Implementation Plans for Renewable Energy 3020 (IPRE 3020); Ministry of Trade, Industry and Energy (MOTIE) of Korea: Sejong, Republic of Korea, 2018; pp. 1–2.
  4. Chae, S.H.; Kim, H.J.; Moon, H.W.; Kim, Y.H.; Ku, K.M. Agrivoltaic Systems Enhance Farmers’ Profits Through Broccoli Visual Quality and Electricity Production without Dramatic Changes in Yield, Antioxidant Capacity, and Glucosinolates. Agronomy 2022, 12, 1415. [Google Scholar] [CrossRef]
  5. Moon, H.W.; Ku, K.M. Impact of an Agriphotovoltaic System on Metabolites and the Sensorial Quality of Cabbage (Brassica oleracea var. capitata) and Its High-Temperature-Extracted Juice. Foods 2022, 11, 498. [Google Scholar] [CrossRef]
  6. Marrou, H.; Wery, J.; Dufour, L.; Dupraz, C. Productivity and Radiation Use Efficiency of Lettuces Grown in the Partial Shade of Photovoltaic Panels. Eur. J. Agron. 2013, 44, 54–66. [Google Scholar] [CrossRef]
  7. Baharuddin, R.; Chozin, M.A.; Syukur, D.M. Toleransi 20 Genotipe Tanaman Tomat terhadap Naungan. J. Agron. Indones. (Indones. J. Agron.) 2014, 42, 132–137. Available online: https://www.neliti.com/publications/163353/toleransi-20-genotipe-tanaman-tomat-terhadap-naungan (accessed on 14 May 2025).
  8. Nangare, D.D.; Singh, J.; Meena, V.S.; Bhushan, B.; Bhatnagar, P.R. Effect of Green Shade Nets on Yield and Quality of Tomato (Lycopersicon esculentum Mill) in Semi-Arid Region of Punjab. Asian J. Adv. Basic Appl. Sci. 2015, 1, 1–8. Available online: https://scispace.com/pdf/effect-of-green-shade-nets-on-yield-and-quality-of-tomato-4wzlzsggsj.pdf (accessed on 14 May 2025).
  9. Jeong, O.Y.; Park, H.S.; Baek, M.K. Review of Rice in Korea: Current Status, Future Prospects, and Comparisons with Rice in Other Countries. J. Crop Sci. Biotechnol. 2021, 24, 1–11. [Google Scholar] [CrossRef]
  10. Statistics Korea. 2023 Cultivated Area Survey Report. Available online: https://kostat.go.kr/board.es?mid=a10301080800&bid=229&tag=&act=view&list_no=429546&ref_bid= (accessed on 15 May 2025).
  11. Statistics Korea. 2023 Rice Production Survey Report. Available online: https://kostat.go.kr/board.es?mid=a10301080700&bid=228&act=view&list_no=427975 (accessed on 15 May 2025).
  12. Gonocruz, R.A.; Nakamura, R.; Yoshino, K.; Homma, M.; Doi, T.; Yoshida, Y. Analysis of the Rice Yield under an Agrivoltaic System: A Case Study in Japan. Environments 2021, 8, 65. [Google Scholar] [CrossRef]
  13. RDA. Standard Analysis Method of Agricultural Science & Technology; Rural Development Administration (RDA): Jeonju, Republic of Korea, 2012; pp. 315–324. [Google Scholar]
  14. Hairmansis, A.; Yullianida, Y.; Supartopo, S.; Jamil, A.; Suwarno, S. Variability of Upland Rice Genotypes Response to Low Light Intensity. Biodiversitas J. Biol. Divers. 2017, 18, 1122–1129. [Google Scholar] [CrossRef]
  15. Li, H.W.; Jiang, D.; Wollenweber, B.; Dai, T.B.; Cao, W.X. Effects of Shading on Morphology, Physiology and Grain Yield of Winter Wheat. Eur. J. Agron. 2010, 33, 267–275. [Google Scholar] [CrossRef]
  16. Vityakon, P.; Sae-Lee, S.; Seripong, S. Effects of Tree Leaf Litter and Shading on Growth and Yield of Paddy Rice in Northeast Thailand. Agric. Nat. Resour. 1993, 27, 219–222. Available online: https://li01.tci-thaijo.org/index.php/anres/article/view/241724/164893 (accessed on 14 May 2025).
  17. Mu, H.; Jiang, D.; Wollenweber, B.; Dai, T.; Jing, Q.; Cao, W. Long-term Low Radiation Decreases Leaf Photosynthesis, Photochemical Efficiency and Grain Yield in Winter Wheat. J. Agron. Crop Sci. 2010, 196, 38–47. [Google Scholar] [CrossRef]
  18. Viji, M.; Thangaraj, M.; Jayapragasam, M. Effect of Low Light on Photosynthetic Pigments, Photochemical Efficiency and Hill Reaction in Rice (Oryza sativa L.). J. Agron. Crop Sci. 1997, 178, 193–196. [Google Scholar] [CrossRef]
  19. Dai, Y.J.; Shen, Z.G.; Liu, Y.; Wang, L.L.; Hannaway, D.; Lu, H.F. Effects of Shade Treatments on the Photosynthetic Capacity, Chlorophyll Fluorescence, and Chlorophyll Content of Tetrastigma hemsleyanum Diels et Gilg. Environ. Exp. Bot. 2009, 65, 177–182. [Google Scholar] [CrossRef]
  20. Shaver, J.M.; Oldenburg, D.J.; Bendich, A.J. The Structure of Chloroplast DNA Molecules and the Effects of Light on the Amount of Chloroplast DNA during Development in Medicago truncatula. Plant Physiol. 2008, 146, 1064–1074. [Google Scholar] [CrossRef]
  21. Wan, Y.; Zhang, Y.; Zhang, M.; Hong, A.; Yang, H.; Liu, Y. Shade Effects on Growth, Photosynthesis and Chlorophyll Fluorescence Parameters of Three Paeonia species. PeerJ 2020, 8, e9316. [Google Scholar] [CrossRef]
  22. Murchie, E.H.; Lawson, T. Chlorophyll Fluorescence Analysis: A Guide to Good Practice and Understanding Some New Applications. J. Exp. Bot. 2013, 64, 3983–3998. [Google Scholar] [CrossRef]
  23. Wardlaw, I.F.; Sofield, I.; Cartwright, P.M. Factors Limiting the Rate of Dry Matter Accumulation in the Grain of Wheat Grown at High Temperature. Funct. Plant Biol. 1980, 7, 387–400. [Google Scholar] [CrossRef]
  24. Lee, C.K.; Kwon, Y.U.; Lee, J.E.; Seo, J.H.; Shin, J.C.; Lee, B.W. Effect of Sink and Source Related Characteristics on Grain Weight and Grain Nitrogen Content in Rice. Korean J. Crop Sci. 2009, 54, 45–54. Available online: https://koreascience.or.kr/article/JAKO200914852871387.page (accessed on 9 August 2024).
  25. Yoshida, S.; Parao, F.T. Climatic Influence on Yield and Yield Components of Lowland Rice in the Tropics. In Climate and Rice; International Rice Research Institute, Ed.; International Rice Research Institute: Los Banos, Philippines, 1976; pp. 471–491. Available online: https://api.semanticscholar.org/CorpusID:182769110 (accessed on 9 August 2024).
  26. Acreche, M.M.; Briceño-Félix, G.; Sánchez, J.A.M.; Slafer, G.A. Grain Number Determination in an Old and a Modern Mediterranean Wheat as Affected by Pre-anthesis Shading. Crop Pasture Sci. 2009, 60, 271–279. [Google Scholar] [CrossRef]
  27. Cai, Z.Q. Shade Delayed Flowering and Decreased Photosynthesis, Growth and Yield of Sacha Inchi (Plukenetia volubilis) Plants. Ind. Crops Prod. 2011, 34, 1235–1237. [Google Scholar] [CrossRef]
  28. Homma, M.; Doi, T.; Yoshida, Y. A Field Experiment and the Simulation on Agrivoltaic-systems Regarding to Rice in a Paddy Field. J. Jpn. Soc. Energy Resour. 2016, 37, 23–31. [Google Scholar] [CrossRef]
Figure 1. Theoretical background and practical installation of agriphotovoltaic systems (installation location: Ogok-ri, Gohyeon-myeon, Namhae-gun, Gyeongsangnam-do in South Korea; facility scale: 2939 m2; installed capacity: 97.12 kW).
Figure 1. Theoretical background and practical installation of agriphotovoltaic systems (installation location: Ogok-ri, Gohyeon-myeon, Namhae-gun, Gyeongsangnam-do in South Korea; facility scale: 2939 m2; installed capacity: 97.12 kW).
Agriculture 15 01741 g001
Figure 2. Comparison of the weather at the field where rice was grown with the average weather over the past 30 years: (A) minimum temperature; (B) maximum temperature; (C) mean temperature; (D) sunshine duration; (E) precipitation.
Figure 2. Comparison of the weather at the field where rice was grown with the average weather over the past 30 years: (A) minimum temperature; (B) maximum temperature; (C) mean temperature; (D) sunshine duration; (E) precipitation.
Agriculture 15 01741 g002
Figure 3. Change in rice height and tiller number of agriphotovoltaic systems: (A) plant height; (B) no. of tillers. Each value represents the mean ± SE of twenty biological replications.
Figure 3. Change in rice height and tiller number of agriphotovoltaic systems: (A) plant height; (B) no. of tillers. Each value represents the mean ± SE of twenty biological replications.
Agriculture 15 01741 g003
Figure 4. The flag leaf shape (heading date) and panicle length (harvest period) of agriphotovoltaic systems: flag leaf length (A); flag leaf width (B); panicle length (C). Each value represents the mean ± SE of twenty biological replications.
Figure 4. The flag leaf shape (heading date) and panicle length (harvest period) of agriphotovoltaic systems: flag leaf length (A); flag leaf width (B); panicle length (C). Each value represents the mean ± SE of twenty biological replications.
Agriculture 15 01741 g004
Figure 5. Changes in chlorophyll content of rice under agriphotovoltaic systems. Each value represents the mean ± SE of twenty biological replications.
Figure 5. Changes in chlorophyll content of rice under agriphotovoltaic systems. Each value represents the mean ± SE of twenty biological replications.
Agriculture 15 01741 g005
Figure 6. Changes in the chlorophyll fluorescence parameters of rice under agriphotovoltaic systems: minimum fluorescence, F0 (A); maximum fluorescence, Fm (B); maximum quantum yield (C). Each value represents the mean ± SE of twenty biological replications.
Figure 6. Changes in the chlorophyll fluorescence parameters of rice under agriphotovoltaic systems: minimum fluorescence, F0 (A); maximum fluorescence, Fm (B); maximum quantum yield (C). Each value represents the mean ± SE of twenty biological replications.
Agriculture 15 01741 g006
Figure 7. Annual incoming solar energy (A) and overall electricity yield (B) from agriphotovoltaic systems deployed at the study site.
Figure 7. Annual incoming solar energy (A) and overall electricity yield (B) from agriphotovoltaic systems deployed at the study site.
Agriculture 15 01741 g007
Table 1. Rice yield and yield components of agriphotovoltaic systems.
Table 1. Rice yield and yield components of agriphotovoltaic systems.
TreatmentNo. of Panicles/HillNo. of Grains per PanicleGrain Filling Ratio (%)1000 Grain Weight (g)Yield
(kg/10 a)
Yield Ratio
(%)
Control12.70 ± 3.3689.67 ± 4.2592.34 ± 1.5522.66 ± 0.23595.02 ± 43.39100
APV11.53 ± 2.77104.41 ± 3.7486.81 ± 8.5322.42 ± 0.10541.20 ± 33.8691
Disclaimer/Publisher’s Note: The statements, opinions and data contained in all publications are solely those of the individual author(s) and contributor(s) and not of MDPI and/or the editor(s). MDPI and/or the editor(s) disclaim responsibility for any injury to people or property resulting from any ideas, methods, instructions or products referred to in the content.

Share and Cite

MDPI and ACS Style

Yun, S.-M.; Seong, D.-G.; Lee, J.J.; Chung, J.-S. Assessment of Rice Productivity and Solar Power Generation in Agriphotovoltaic Systems. Agriculture 2025, 15, 1741. https://doi.org/10.3390/agriculture15161741

AMA Style

Yun S-M, Seong D-G, Lee JJ, Chung J-S. Assessment of Rice Productivity and Solar Power Generation in Agriphotovoltaic Systems. Agriculture. 2025; 15(16):1741. https://doi.org/10.3390/agriculture15161741

Chicago/Turabian Style

Yun, Su-Min, Deok-Gyeong Seong, Jeung Joo Lee, and Jung-Sung Chung. 2025. "Assessment of Rice Productivity and Solar Power Generation in Agriphotovoltaic Systems" Agriculture 15, no. 16: 1741. https://doi.org/10.3390/agriculture15161741

APA Style

Yun, S.-M., Seong, D.-G., Lee, J. J., & Chung, J.-S. (2025). Assessment of Rice Productivity and Solar Power Generation in Agriphotovoltaic Systems. Agriculture, 15(16), 1741. https://doi.org/10.3390/agriculture15161741

Note that from the first issue of 2016, this journal uses article numbers instead of page numbers. See further details here.

Article Metrics

Back to TopTop