Feasibility of Using Biomarkers for Assessing Heavy-Metal Contamination in Soil: A Meta-Analysis
Abstract
1. Introduction
2. Materials and Methods
2.1. Search Strategy
2.2. Inclusion and Exclusion Criteria
2.3. Data Extraction
2.4. Statistical Analysis
- (i)
- Conversion of standard error (SE) to SD:
- (ii)
- Conversion of 95% confidence interval (CI) to SD:
3. Results
3.1. Search Results
3.2. Detailed Characteristics of Included Studies
3.3. Results of Meta-Analysis
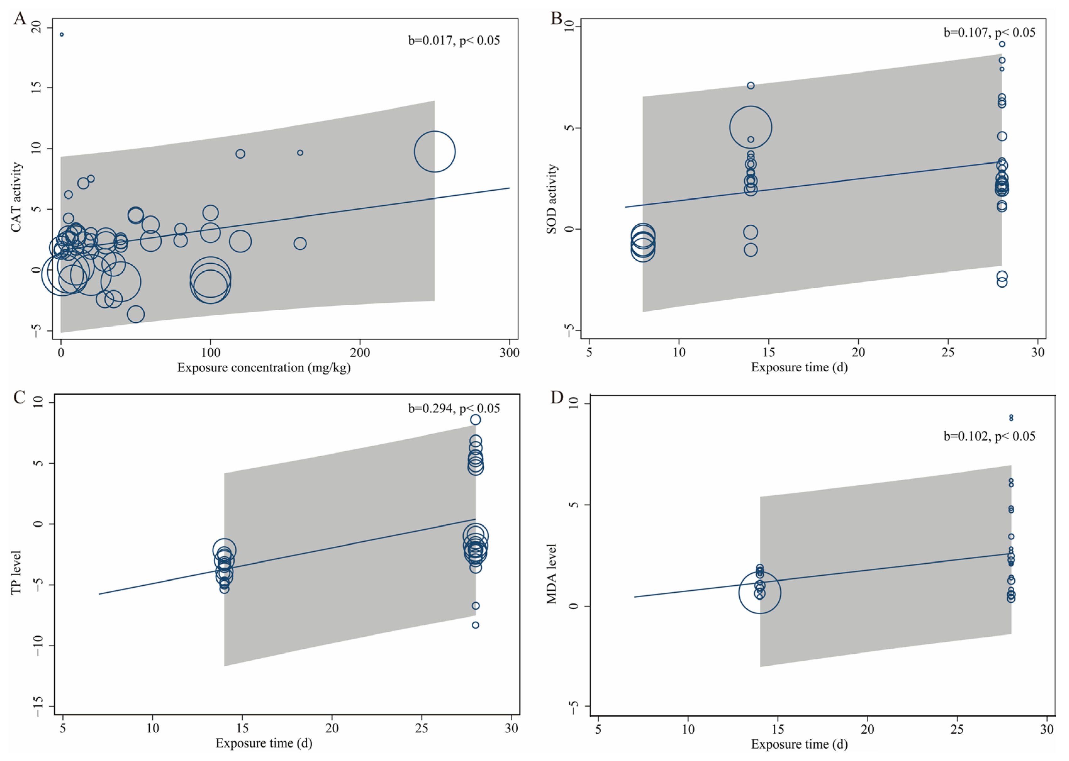
3.4. Leave-One-out Sensitivity Analysis
3.5. Publication Bias
4. Discussion
5. Conclusions
Supplementary Materials
Author Contributions
Funding
Data Availability Statement
Conflicts of Interest
References
- Qin, G.; Niu, Z.; Yu, J.; Li, Z.; Ma, J.; Xiang, P. Soil heavy metal pollution and food safety in China: Effects, sources and removing technology. Chemosphere 2021, 267, 129205. [Google Scholar] [CrossRef] [PubMed]
- Rehman, A.U.; Nazir, S.; Irshad, R.; Tahir, K.; ur Rehman, K.; Islam, R.U.; Wahab, Z. Toxicity of heavy metals in plants and animals and their uptake by magnetic iron oxide nanoparticles. J. Mol. Liq. 2021, 321, 114455. [Google Scholar] [CrossRef]
- Ghori, N.H.; Ghori, T.; Hayat, M.Q.; Imadi, S.R.; Gul, A.; Altay, V.; Ozturk, M. Heavy metal stress and responses in plants. Int. J. Environ. Sci. Technol. 2019, 16, 1807–1828. [Google Scholar] [CrossRef]
- Jakubczyk, K.; Dec, K.; Kałduńska, J.; Kawczuga, D.; Kochman, J.; Janda, K. Reactive oxygen species-sources, functions, oxidative damage. Pol. Merkur. Lek. Organ. Pol. Tow. Lek. 2020, 48, 124–127. [Google Scholar]
- Ullah, N.; Mansha, M.; Khan, I.; Qurashi, A. Nanomaterial-based optical chemical sensors for the detection of heavy metals in water: Recent advances and challenges. Trends Anal. Chem. 2018, 100, 155–166. [Google Scholar] [CrossRef]
- Xu, M.; Wang, X.; Liu, X. Detection of heavy metal ions by ratiometric photoelectric sensor. J. Agric. Food Chem. 2020, 70, 11468–11480. [Google Scholar] [CrossRef] [PubMed]
- Adnan, N.A.; Halmi, M.I.E.; Abd Gani, S.S.; Zaidan, U.H.; Abd Shukor, M.Y. Comparison of joint effect of acute and chronic toxicity for combined assessment of heavy metals on Photobacterium sp. NAA-MIE. Int. J. Environ. Res. Public Health 2021, 18, 6644. [Google Scholar] [CrossRef]
- Derrick, A.; Yohana, M.A.; Yudong, Z.; Gongyu, L.; Tan, B.; Zhang, S. Understanding the detrimental effects of heavy metal pollution in shrimp farming and treatment methods–a review. Ann. Anim. Sci. 2025, 25, 35–56. [Google Scholar] [CrossRef]
- Samanta, P.; Im, H.; Na, J.; Jung, J. Ecological risk assessment of a contaminated stream using multi-level integrated biomarker response in Carassius auratus. Environ. Pollut. 2018, 233, 429–438. [Google Scholar] [CrossRef]
- McCarthy, J.F.; Shugart, L.R. Biomarkers of Environmental Contamination. Lewis Publishers: Boca Raton, FL, USA, 1990; pp. 3–16. [Google Scholar]
- McCarty, L.S.; Power, M.; Munkittrick, K.R. Bioindicators versus biomarkers in ecological risk assessment. Hum. Ecol. Risk Assess. 2002, 8, 159–164. [Google Scholar] [CrossRef]
- Quina, A.S.; Durão, A.F.; Muñoz-Muñoz, F.; Ventura, J.; da Luz Mathias, M. Population effects of heavy metal pollution in wild Algerian mice (Mus spretus). Ecotoxicol. Environ. Saf. 2019, 171, 414–424. [Google Scholar] [CrossRef] [PubMed]
- Swaleh, S.B.; Banday, U.Z.; Asadi, M.A.; Usmani, N. Biochemical profile and gene expression of Clarias gariepinus as a signature of heavy metal stress. Environ. Pollut. 2020, 264, 114693. [Google Scholar] [CrossRef] [PubMed]
- Mukherjee, A.G.; Wanjari, U.R.; Renu, K.; Vellingiri, B.; Gopalakrishnan, A.V. Heavy metal and metalloid-induced reproductive toxicity. Environ. Toxicol. Pharmacol. 2022, 92, 103859. [Google Scholar] [CrossRef] [PubMed]
- Li, Y.; Peng, J.; Cheng, Z.; Zhang, K.; Gu, H.; Feng, J.; Liu, Y. Excessive heavy metal enrichment disturbs liver functions through the gut microbe in the great Himalayan leaf-nosed bat (Hipposideros armiger). Ecotoxicol. Environ. Saf. 2024, 282, 116758. [Google Scholar] [CrossRef]
- Yin, J.; Zhang, N.; Wang, H. Liquid chromatography-mass spectrometry for analysis of DNA damages induced by environmental exposure. Trends Anal. Chem. 2019, 120, 115645. [Google Scholar] [CrossRef]
- Sun, Y.; Lu, Z.; Xiao, K.; Zeng, L.; Wang, J.; Gabrielsen, G.W. Antarctic Adélie penguin feathers as bio-indicators of geographic and temporal variations in heavy metal concentrations in their habitats. Ecotoxicol. Environ. Saf. 2020, 206, 111135. [Google Scholar] [CrossRef]
- Fatima, R.A.; Ahmad, M. Certain antioxidant enzymes of Allium cepa as biomarkers for the detection of toxic heavy metals in wastewater. Sci. Total Environ. 2005, 346, 256–273. [Google Scholar] [CrossRef]
- Van der Oost, R.; Beyer, J.; Vermeulen, N.P. Fish bioaccumulation and biomarkers in environmental risk assessment: A review. Environ. Toxicol. Pharmacol. 2003, 13, 57–149. [Google Scholar] [CrossRef]
- Ghemari, C.; Waterlot, C.; Ayari, A.; Douay, F.; Nasri-Ammar, K. Bioaccumulation of heavy metals in the terrestrial isopod Porcellionides pruinosus in the vicinity of Gabes-Ghannouch industrial complex. Hum. Ecol. Risk Assess. 2020, 26, 1270–1284. [Google Scholar] [CrossRef]
- Ugbaja, R.N.; Enilolobo, M.A.; James, A.S.; Akinhanmi, T.F.; Akamo, A.J.; Babayemi, D.O.; Ademuyiwa, O. Bioaccumulation of heavy metals, lipid profiles, and antioxidant status of snails (Achatina achatina) around cement factory vicinities. Toxicol. Ind. Health 2020, 36, 863–875. [Google Scholar] [CrossRef]
- Chemicals, D. OECD Guideline for Testing of Chemicals; OECD: Paris, France, 2005; pp. 1–13. [Google Scholar]
- Zhu, L.; Li, B.; Wu, R.; Li, W.; Wang, J.; Zhu, L. Acute toxicity, oxidative stress and DNA damage of chlorpyrifos to earthworms (Eisenia fetida): The difference between artificial and natural soils. Chemosphere 2020, 255, 126982. [Google Scholar] [CrossRef]
- Wu, Y.; Qi, L.; Wang, B.; Medley, P.; Drake, J.; Vernon, J.; Chen, G. Assess long-term As, Pb and Cr contamination and uptake by Eriocaulon decangulare in the Apalachicola National Forest. Sci. Total Environ. 2022, 838, 156040. [Google Scholar] [CrossRef]
- Sharma, A.; Kapoor, D.; Wang, J.; Shahzad, B.; Kumar, V.; Bali, A.S.; Yan, D. Chromium bioaccumulation and its impacts on plants: An overview. Plants 2020, 9, 100. [Google Scholar] [CrossRef]
- Smirnoff, N.; Arnaud, D. Hydrogen peroxide metabolism and functions in plants. New Phytol. 2019, 221, 1197–1214. [Google Scholar] [CrossRef]
- Das, S.K.; Patra, J.K.; Thatoi, H. Antioxidative response to abiotic and biotic stresses in mangrove plants: A review. Int. Rev. Hydrobiol. 2016, 101, 3–19. [Google Scholar] [CrossRef]
- Xikeranmu, Z.; Abdunasir, M.; Ma, J.; Tusong, K.; Liu, X. Characterization of two copper/zinc superoxide dismutases (Cu/Zn-SODs) from the desert beetle Microdera punctipennis and their activities in protecting E. coli cells against cold. Cryobiology 2019, 87, 15–27. [Google Scholar] [CrossRef]
- Twala, P.P.; Mitema, A.; Baburam, C.; Feto, N.A. Breakthroughs in the discovery and use of different peroxidase isoforms of microbial origin. AIMS Microbiol. 2020, 6, 330. [Google Scholar] [CrossRef]
- Emamverdian, A.; Ghorbani, A.; Li, Y.; Pehlivan, N.; Barker, J.; Ding, Y.; Zargar, M. Responsible mechanisms for the restriction of heavy metal toxicity in plants via the co-foliar spraying of nanoparticles. Agronomy 2023, 13, 1748. [Google Scholar] [CrossRef]
- Ning, Y.; Liu, L.; Rong, G.; Cao, X.; Li, J.; Su, Y.; Zhou, D. Study on the influential biochemical indices of Cd (II) on Eisenia fetida in oxidative stress by principal component analysis in the natural soil. Environ. Sci. Pollut. Res. Int. 2018, 25, 4268–4278. [Google Scholar] [CrossRef]
- Yang, Z.; Xu, Z.; Shu, W.; Zhu, T. Evaluation of soil antimony stress on the biological health status of earthworm Eisenia andrei using Biomarker Response Index. J. Soils Sediments 2022, 22, 1999–2008. [Google Scholar] [CrossRef]
- Zhang, M.; Li, L.; Liu, Y.; Gao, X. Effects of sudden drop in salinity on osmotic pressure regulation and antioxidant defense mechanism of Scapharca subcrenata. Front. Physiol. 2020, 11, 884. [Google Scholar] [CrossRef]
- Jozefczak, M.; Remans, T.; Vangronsveld, J.; Cuypers, A. Glutathione is a key player in metal-induced oxidative stress defenses. Int. J. Mol. Sci. 2012, 13, 3145–3175. [Google Scholar] [CrossRef] [PubMed]
- Prokić, M.D.; Radovanović, T.B.; Gavrić, J.P.; Faggio, C. Ecotoxicological effects of microplastics: Examination of biomarkers, current state and future perspectives. Trends Anal. Chem. 2019, 111, 37–46. [Google Scholar] [CrossRef]
- Georgiou-Siafis, S.K.; Tsiftsoglou, A.S. The key role of GSH in keeping the redox balance in mammalian cells: Mechanisms and significance of GSH in detoxification via formation of conjugates. Antioxidants 2023, 12, 1953. [Google Scholar] [CrossRef] [PubMed]
- Forman, H.J.; Zhang, H.; Rinna, A. Glutathione: Overview of its protective roles, measurement, and biosynthesis. Mol. Aspects Med. 2009, 30, 1–12. [Google Scholar] [CrossRef]
- de Souza, I.D.; de Andrade, A.S.; Dalmolin, R.J.S. Lead-interacting proteins and their implication in lead poisoning. Crit. Rev. Toxicol. 2018, 48, 375–386. [Google Scholar] [CrossRef]
- Saricay, Y.; Wierenga, P.A.; de Vries, R. Changes in protein conformation and surface hydrophobicity upon peroxidase-catalyzed cross-linking of apo-α-lactalbumin. J. Agric. Food Chem. 2014, 62, 9345–9352. [Google Scholar] [CrossRef]
- Patricia, C.S.; Nerea, G.V.; Erik, U.; Elena, S.M.; Eider, B.; Manu, S. Responses to silver nanoparticles and silver nitrate in a battery of biomarkers measured in coelomocytes and in target tissues of Eisenia fetida earthworms. Ecotoxicol. Environ. Saf. 2017, 141, 57–63. [Google Scholar] [CrossRef]
- Šrut, M.; Drechsel, V.; Höckner, M. Low levels of Cd induce persisting epigenetic modifications and acclimation mechanisms in the earthworm Lumbricus terrestris. PLoS ONE 2017, 12, e0176047. [Google Scholar] [CrossRef]
- Li, N.; Xu, P.; Jing, W.X.; Hwang, J.S.; Wang, L. Toxic effects of Pb2+ entering sperm through Ca2+ channels in the freshwater crab Sinopotamon henanense. Aquat. Toxicol. 2017, 192, 24–29. [Google Scholar] [CrossRef]
- Gao, C.; Xu, J.; Li, J.; Liu, Z. Biological responses in the earthworm Eisenia fetida exposed to soils near a typical lead acid battery plant. Soil Sediment. Contam. 2016, 25, 573–585. [Google Scholar]
- Ahmadpour, M.; Wang, W.; Sinkakarimi, M.H.; Ahmadpour, M.; Hosseini, S.H. Joint toxicity of cadmium and fenpyroximate on two earthworms: Interspecific differences, subcellular partitioning and biomarker responses. Chemosphere 2023, 337, 139329. [Google Scholar] [CrossRef] [PubMed]
- Fisker, K.V.; Holmstrup, M.; Sørensen, J.G. Variation in metallothionein gene expression is associated with adaptation to copper in the earthworm Dendrobaena octaedra. Comp. Biochem. Physiol. C Toxicol. Pharmacol. 2013, 157, 220–226. [Google Scholar] [CrossRef] [PubMed]
- Liu, G.; Ling, S.; Zhan, X.; Lin, Z.; Zhang, W.; Lin, K. Interaction effects and mechanism of Pb pollution and soil microorganism in the presence of earthworm. Chemosphere 2017, 173, 227–234. [Google Scholar] [CrossRef] [PubMed]
- Zhong, X.; Chen, Z.; Li, Y.; Ding, K.; Liu, W.; Liu, Y.; Qiu, R. Factors influencing heavy metal availability and risk assessment of soils at typical metal mines in Eastern China. J. Hazard. Mater. 2020, 400, 123289. [Google Scholar] [CrossRef]
- Blokhina, O.; Virolainen, E.; Fagerstedt, K.V. Antioxidants, oxidative damage and oxygen deprivation stress: A review. Ann. Bot. 2003, 91, 179–194. [Google Scholar] [CrossRef]
- Irizar, A.; Rodríguez, M.P.; Izquierdo, A.; Cancio, I.; Marigómez, I.; Soto, M. Effects of soil organic matter content on cadmium toxicity in Eisenia fetida: Implications for the use of biomarkers and standard toxicity tests. Arch. Environ. Contam. Toxicol. 2015, 68, 181–192. [Google Scholar] [CrossRef]
- Hirano, T.; Tamae, K. Earthworms and soil pollutants. Sensors 2011, 11, 11157–11167. [Google Scholar] [CrossRef]
- Markad, V.L.; Gaupale, T.C.; Bhargava, S.; Kodam, K.M.; Ghole, V.S. Biomarker responses in the earthworm, Dichogaster curgensis exposed to fly ash polluted soils. Ecotoxicol. Environ. Saf. 2015, 118, 62–70. [Google Scholar] [CrossRef]
- Vranković, J.; Janković-Tomanić, M.; Vukov, T. Comparative assessment of biomarker response to tissue metal concentrations in urban populations of the land snail Helix pomatia (Pulmonata: Helicidae). Comp. Biochem. Physiol. Part B Biochem. Mol. Biol. 2020, 245, 110448. [Google Scholar] [CrossRef]
- El-Shenawy, N.S.; Mohammadden, A.; Al-Fahmie, Z.H. Using the enzymatic and non-enzymatic antioxidant defense system of the land snail Eobania vermiculata as biomarkers of terrestrial heavy metal pollution. Ecotoxicol. Environ. Saf. 2012, 84, 347–354. [Google Scholar] [CrossRef]
- Panday, R.; Bhatt, P.S.; Bhattarai, T.; Shakya, K.; Sreerama, L. Aldehyde dehydrogenase expression in Metaphire posthuma as a bioindicator to monitor heavy metal pollution in soil. BMC Res. Notes 2016, 9, 491. [Google Scholar] [CrossRef]
- Dedeke, G.A.; Owagboriaye, F.O.; Adebambo, A.O.; Ademolu, K.O. Earthworm metallothionein production as biomarker of heavy metal pollution in abattoir soil. Appl. Soil Ecol. 2016, 104, 42–47. [Google Scholar] [CrossRef]
- Hønsi, T.G.; Stubberud, H.E.; Andersen, S.; Stenersen, J. Lysosomal fragility in earthworms (Eisenia veneta) exposed to heavy metal contaminated soils from two abandoned pyrite ore mines in Southern Norway. Water Air Soil Pollut. 2003, 142, 27–37. [Google Scholar] [CrossRef]
- Calisi, A.; Zaccarelli, N.; Lionetto, M.G.; Schettino, T. Integrated biomarker analysis in the earthworm Lumbricus terrestris: Application to the monitoring of soil heavy metal pollution. Chemosphere 2013, 90, 2637–2644. [Google Scholar] [CrossRef]
- Jin, M.; Sun, Y.; Chai, B.; Wang, M.; Wu, Y.; Wu, W.; Fu, L. Combined toxicity of decabromodiphenyl ethane and Pb on earthworms (Eisenia fetida) based on multiple biomarker responses. J. Soils Sediments 2025, 25, 1897–1910. [Google Scholar] [CrossRef]
- Cao, X.; Bi, R.; Song, Y. Toxic responses of cytochrome P450 sub-enzyme activities to heavy metals exposure in soil and correlation with their bioaccumulation in Eisenia fetida. Ecotoxicol. Environ. Saf. 2017, 144, 158–165. [Google Scholar] [CrossRef]
- Markad, V.L.; Kodam, K.M.; Ghole, V.S. Effect of fly ash on biochemical responses and DNA damage in earthworm, Dichogaster curgensis. Hazard. Mater. 2012, 215, 191–198. [Google Scholar] [CrossRef]
- Larba, R.; Soltani, N. Use of the land snail Helix aspersa for monitoring heavy metal soil contamination in Northeast Algeria. Environ. Monit. Assess. 2014, 186, 4987–4995. [Google Scholar] [CrossRef]
- Bennour, A.; Habes, D.; Soltani, N. Assessment of soil quality in Annaba Area (Northeast Algeria) using the earthworm Lumbricus terrestris: Bioindicative stress responses and heavy metal contamination. Fresen Environ. Bull. 2020, 29, 9635–9643. [Google Scholar]
- Butt, A.; Aziz, N. Bioaccumulation of heavy metals mixture and its effect on detoxification enzymes of wolf spider, Pardosa oakleyi. J. Anim. Plant Sci. 2016, 26, 1507–1515. [Google Scholar]
- Jiang, Y.; Chen, J.; Wu, Y.; Wang, Q.; Li, H. Sublethal toxicity endpoints of heavy metals to the nematode Caenorhabditis elegans. PLoS ONE 2016, 11, e0148014. [Google Scholar] [CrossRef]
- Song, S.; Han, Y.; Zhang, Y.; Ma, H.; Zhang, L.; Huo, J.; Gao, M. Protective role of citric acid against oxidative stress induced by heavy metals in Caenorhabditis elegans. Environ. Sci. Pollut. Res. 2019, 26, 36820–36831. [Google Scholar] [CrossRef]






| No. | Published Year | Heavy Metal | Species | Index |
|---|---|---|---|---|
| 1 | 2023 | Arsenic (As) | earthworm | CAT, SOD |
| 2 | 2023 | Cd | earthworm | LC50, CAT, SOD, TP, MDA |
| 3 | 2022 | Antimony (Sb) | earthworm | CAT, SOD, POD, TP, MDA |
| 4 | 2021 | Selenium (Se) | earthworm | LC50 |
| 5 | 2020 | Sb, Cd | earthworm | CAT, SOD, POD, TP, MDA |
| 6 | 2019 | Cd | earthworm | CAT, MDA |
| 7 | 2017 | Argentum (Ag) | earthworm | CAT |
| 8 | 2016 | Cd | earthworm | CAT, MDA |
| 9 | 2016 | Chromium (Cr) | earthworm | LC50 |
| 10 | 2015 | Lead (Pb) | earthworm | CAT, SOD, MDA |
| 11 | 2012 | Cu | earthworm | LC50 |
| 12 | 2011 | Cd, Zn | earthworm | LC50, CAT, SOD, GSH |
| 13 | 2009 | Pb | earthworm | LC50 |
| 14 | 2008 | Pb | earthworm | GSH |
| 15 | 2022 | Cd | spider | CAT |
| 16 | 2015 | Nickel (Ni) | isopoda | CAT |
| 17 | 2010 | Ni | collembolans | LC50 |
| Soil Type | pH | Organic Carbon | |
|---|---|---|---|
| CAT | 2.8885 | 2.1561 | −4.0852 |
| SOD | 4.3800 | 2.3796 | −89.8394 |
| POD | 3.3595 | ||
| TP | 17.6339 | 229.8228 | |
| MDA | 1.0892 | −99.0021 | |
| GSH | −2.3988 |
Disclaimer/Publisher’s Note: The statements, opinions and data contained in all publications are solely those of the individual author(s) and contributor(s) and not of MDPI and/or the editor(s). MDPI and/or the editor(s) disclaim responsibility for any injury to people or property resulting from any ideas, methods, instructions or products referred to in the content. |
© 2025 by the authors. Licensee MDPI, Basel, Switzerland. This article is an open access article distributed under the terms and conditions of the Creative Commons Attribution (CC BY) license (https://creativecommons.org/licenses/by/4.0/).
Share and Cite
Liu, Y.; Li, Z.; Li, L.; Zhao, S.; Zhao, W.; Shu, Y. Feasibility of Using Biomarkers for Assessing Heavy-Metal Contamination in Soil: A Meta-Analysis. Agriculture 2025, 15, 1728. https://doi.org/10.3390/agriculture15161728
Liu Y, Li Z, Li L, Zhao S, Zhao W, Shu Y. Feasibility of Using Biomarkers for Assessing Heavy-Metal Contamination in Soil: A Meta-Analysis. Agriculture. 2025; 15(16):1728. https://doi.org/10.3390/agriculture15161728
Chicago/Turabian StyleLiu, Yangbeijia, Zixuan Li, Liyu Li, Sisi Zhao, Wendi Zhao, and Yinghua Shu. 2025. "Feasibility of Using Biomarkers for Assessing Heavy-Metal Contamination in Soil: A Meta-Analysis" Agriculture 15, no. 16: 1728. https://doi.org/10.3390/agriculture15161728
APA StyleLiu, Y., Li, Z., Li, L., Zhao, S., Zhao, W., & Shu, Y. (2025). Feasibility of Using Biomarkers for Assessing Heavy-Metal Contamination in Soil: A Meta-Analysis. Agriculture, 15(16), 1728. https://doi.org/10.3390/agriculture15161728

