Straw Returning Combined with Application of Sulfur-Coated Urea Improved Rice Yield and Nitrogen Use Efficiency Through Enhancing Carbon and Nitrogen Metabolism
Abstract
1. Introduction
2. Materials and Methods
2.1. Experimental Site and Soil Properties
2.2. Experimental Design and Agricultural Practices
2.3. Measurement Index and Methods
2.3.1. Tillering Dynamics and LAI
2.3.2. Rice Yield
2.3.3. Estimation of NUE Parameters
2.3.4. SPAD Value and Net Photosynthetic Rate of the Rice Leaves
2.3.5. Non-Structural Carbohydrate Content in Rice Leaves
2.3.6. Key Enzyme Activities of Carbon and Nitrogen Metabolism in Rice Leaves
2.3.7. Plant Organic Carbon and Nitrogen Content
2.4. Statistical Analysis
3. Results
3.1. Effects of Straw Returning Combined with Application of SCU on Tillering Dynamics of Rice
3.2. Effects of Straw Returning Combined with Application of SCU on Rice LAI
3.3. Effects of Straw Returning Combined with Application of SCU on Rice Grain Yield
3.4. Effect of Straw Returning Combined with Application of SCU on Nitrogen Utilization Rate
3.5. Effects of Straw Returning Combined with Application of SCU on SPAD Value and Net Photosynthetic Rate of Rice Leaves
3.6. Effects of Straw Returning Combined with Application of SCU on Dry Matter Accumulation of Rice
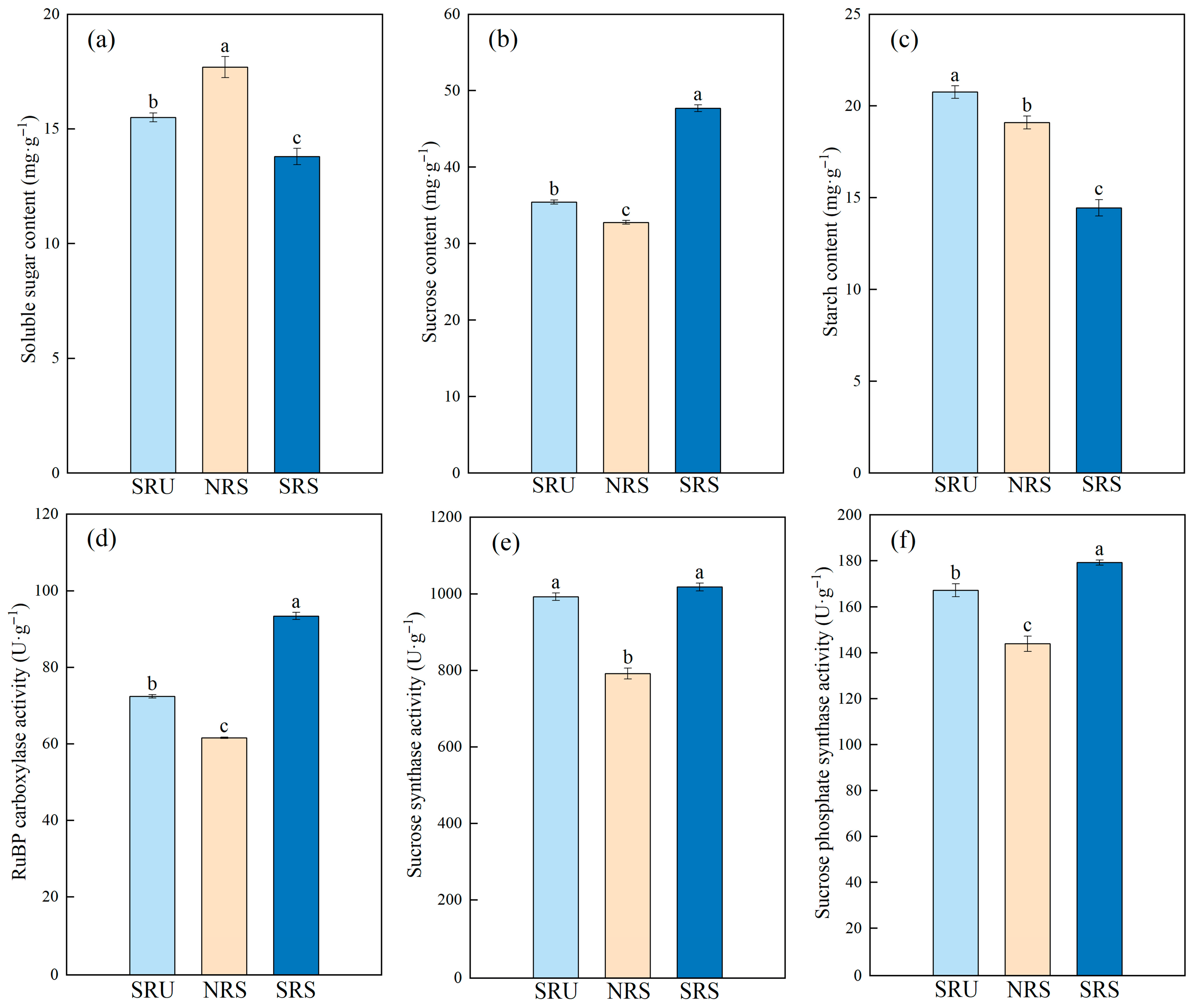
3.7. Effects of Straw Returning Combined with Application of SCU on Non-Structural Carbohydrate Content and Carbon Metabolic Enzyme Activity in Rice Leaves
3.8. Effects of Straw Returning Combined with Application of SCU on Nitrogen Absorption and Key Enzyme Activities of Nitrogen Metabolism in Rice Leaves
3.9. Effects of Straw Returning Combined with Application of SCU on Organic Carbon and Nitrogen Accumulation in Rice Plants During Grain Filling Stage
3.10. Correlation Analysis
4. Discussion
4.1. Effects of Straw Returning Combined with Application of SCU on Rice Yield and NUE
4.2. Effects of Straw Returning Combined with Application of SCU on Physiological Characteristics of Rice Leaves
4.3. Straw Returning Combined with Application of SCU Increased Yield and NUE by Promoting Carbon and Nitrogen Metabolism
5. Conclusions
Author Contributions
Funding
Institutional Review Board Statement
Data Availability Statement
Conflicts of Interest
Appendix A
| Year | N | P | K | |||
|---|---|---|---|---|---|---|
| Leaf | Stem | Leaf | Stem | Leaf | Stem | |
| 2021 | 7.54 ± 0.12 | 4.63 ± 0.08 | 0.09 ± 0.01 | 0.10 ± 0.05 | 0.84 ± 0.04 | 1.32 ± 0.08 |
| 2022 | 9.43 ± 0.16 | 5.79 ± 0.16 | 0.12 ± 0.01 | 0.17 ± 0.03 | 0.93 ± 0.03 | 1.45 ± 0.15 |

References
- Alengebawy, A.; Ran, Y.; Ghimire, N.; Osman, A.I.; Ai, P. Rice straw for energy and value-added products in China: A review. Environ. Chem. Lett. 2023, 21, 2729–2760. [Google Scholar] [CrossRef] [PubMed]
- Singh, Y.; Sharma, S.; Kumar, U.; Sihag, P.; Balyan, P.; Singh, K.P.; Dhankher, O.P. Strategies for economic utilization of rice straw residues into value-added by-products and prevention of environmental pollution. Sci. Total Environ. 2024, 906, 167714. [Google Scholar] [CrossRef] [PubMed]
- Li, H.; Dai, M.W.; Dai, S.L.; Dong, X.J. Current status and environment impact of direct straw return in China’s cropland—A review. Ecotoxicol. Environ. Saf. 2018, 159, 293–300. [Google Scholar] [CrossRef] [PubMed]
- Ul Islam, M.; Guo, Z.C.; Jiang, F.H.; Peng, X.H. Does straw return increase crop yield in the wheat-maize cropping system in China? A meta-analysis. Field Crops Res. 2022, 279, 108447. [Google Scholar] [CrossRef]
- Indoshi, S.N.; Cheruiyot, W.K.; Rehman, M.M.U.; Mei, F.J.; Wen, Q.H.; Munyasya, A.N.; Koskei, K.; Mburu, D.M.; Nyende, A.B.; Kavagi, L.; et al. Straw incorporating in shallow soil layer improves field productivity by impacting soil hydrothermal conditions and maize reproductive allocation in semiarid east African Plateau. Soil. Tillage Res. 2025, 246, 106351. [Google Scholar] [CrossRef]
- Liu, B.; Xia, H.; Jiang, C.; Jiang, C.; Riaz, M.; Yang, L.; Chen, Y.; Fan, X.; Zhang, Z.; Duan, X.; et al. Straw addition enhances crop yield, soil aggregation, and soil microorganisms in a 14-year wheat-rice rotation system in central China. Plants 2024, 13, 985. [Google Scholar] [CrossRef] [PubMed]
- Hu, Y.; Ma, P.; Yang, Z.; Liu, S.; Li, Y.; Li, L.; Wang, T.; Siddique, K.H.M. The responses of crop yield and greenhouse gas emissions to straw returning from staple crops: A meta-analysis. Agriculture 2025, 15, 408. [Google Scholar] [CrossRef]
- Li, S.C.; Zhang, Y.L.; Guo, L.H.; Li, X.F. Impact of tillage and straw treatment methods on rice growth and yields in a rice-ratoon rice cropping system. Sustainability 2022, 14, 9290. [Google Scholar] [CrossRef]
- Xie, J.; Evgenia, B.; Zhang, Y.; Wan, Y.; Hu, Q.J.; Zhang, C.M.; Wang, J.; Zhang, Y.Q.; Shi, X.J. Substituting nitrogen and phosphorus fertilizer with optimal amount of crop straw improves rice grain yield, nutrient use efficiency and soil carbon sequestration. J. Integr. Agric. 2022, 21, 3345–3355. [Google Scholar] [CrossRef]
- Xiong, Z.; Zhu, D.; Lu, Y.; Lu, J.; Liao, Y.; Ren, T.; Li, X. Continuous potassium fertilization combined with straw return increased soil potassium availability and risk of potassium loss in rice-upland rotation systems. Chemosphere 2023, 344, 140390. [Google Scholar] [CrossRef] [PubMed]
- Meng, X.Y.; Ran, C.; Liu, B.L.; Zhao, Z.X.; Bai, T.Q.; Zhao, M.M.; Cheng, Z.W.; Chen, G.; Geng, Y.Q. Effect of straw return with nitrogen fertilizer on photosynthetic characteristics and yield of rice in soda saline-alkali rice paddy fields. Cereal Res. Commun. 2023, 51, 509–526. [Google Scholar] [CrossRef]
- Yadvinder-Singh; Bijay-Singh; Ladha, J.K.; Khind, C.S.; Khera, T.S.; Bueno, C.S. Effects of residue decomposition on productivity and soil fertility in rice–wheat rotation. Soil. Sci. Soc. Am. J. 2004, 68, 854–864. [Google Scholar] [CrossRef]
- Shan, Y.H.; Cai, Z.C.; Han, Y.; Johnson, S.E.; Buresh, R.J. Organic acid accumulation under flooded soil conditions in relation to the incorporation of wheat and rice straws with different C:N ratios. Soil. Sci. Plant Nutr. 2008, 54, 46–56. [Google Scholar] [CrossRef]
- Yan, F.J.; Sun, Y.J.; Xu, H.; Yin, Y.Z.; Wang, H.Y.; Wang, C.Y.; Guo, C.C.; Yang, Z.Y.; Sun, Y.Y.; Ma, J. Effects of wheat straw mulch application and nitrogen management on rice root growth, dry matter accumulation and rice quality in soils of different fertility. Paddy Water Environ. 2018, 16, 507–518. [Google Scholar] [CrossRef]
- Iboko, M.P.; Dossou-Yovo, E.R.; Obalum, S.E.; Oraegbunam, C.J.; Diedhiou, S.; Brümmer, C.; Témé, N. Paddy rice yield and greenhouse gas emissions: Any trade-off due to co-application of biochar and nitrogen fertilizer? A systematic review. Heliyon 2023, 9, e22132. [Google Scholar] [CrossRef] [PubMed]
- Irfan, S.A.; Razali, R.; KuShaari, K.; Mansor, N.; Azeem, B.; Ford Versypt, A.N. A review of mathematical modeling and simulation of controlled-release fertilizers. J. Control Release 2018, 271, 45–54. [Google Scholar] [CrossRef] [PubMed]
- Qi, D.; Zhu, J.; Wang, X. Nitrogen loss via runoff and leaching from paddy fields with the proportion of controlled-release urea and conventional urea rates under alternate wetting and drying irrigation. Environ. Sci. Pollut. Res. Int. 2023, 30, 61741–61752. [Google Scholar] [CrossRef] [PubMed]
- Haseeb-ur-Rehman; Asghar, M.G.; Ikram, R.M.; Hashim, S.; Hussain, S.; Irfan, M.; Mubeen, K.; Ali, M.; Alam, M.; Ali, M.; et al. Sulphur coated urea improves morphological and yield characteristics of transplanted rice (Oryza sativa L.) through enhanced nitrogen uptake. J. King Saud Univ. Sci. 2022, 34, 101664. [Google Scholar] [CrossRef]
- AL Aasmi, A.; Li, J.; Hamoud, Y.A.; Lan, Y.; Alordzinu, K.E.; Appiah, S.A.; Shaghaleh, H.; Sheteiwy, M.; Wang, H.; Qiao, S.; et al. Impacts of slow-release nitrogen fertilizer rates on the morpho-physiological traits, yield, and nitrogen use efficiency of rice under different water regimes. Agriculture 2022, 12, 86. [Google Scholar] [CrossRef]
- Zhu, Y.; Deng, K.; Wu, P.; Feng, K.; Zhao, S.; Li, L. Effects of slow-release fertilizer on lotus rhizome yield and starch quality under different fertilization periods. Plants 2023, 12, 1311. [Google Scholar] [CrossRef] [PubMed]
- Azeem, B.; KuShaari, K.; Man, Z.B.; Basit, A.; Thanh, T.H. Review on materials & methods to produce controlled release coated urea fertilizer. J. Control Release 2014, 181, 11–21. [Google Scholar] [CrossRef] [PubMed]
- Ghafoor, I.; Habib-ur-Rahman, M.; Ali, M.; Afzal, M.; Ahmed, W.; Gaiser, T.; Ghaffar, A. Slow-release nitrogen fertilizers enhance growth, yield, NUE in wheat crop and reduce nitrogen losses under an arid environment. Environ. Sci. Pollut. Res. 2021, 28, 43528–43543. [Google Scholar] [CrossRef] [PubMed]
- Dawar, K.; Dawar, A.; Tariq, M.; Mian, I.A.; Muhammad, A.; Farid, L.; Khan, S.; Khan, K.; Fahad, S.; Danish, S.; et al. Enhancing nitrogen use efficiency and yield of maize (Zea mays L.) through Ammonia volatilization mitigation and nitrogen management approaches. BMC Plant Biol. 2024, 24, 74. [Google Scholar] [CrossRef] [PubMed]
- Chattha, M.U.; Fatima, F.; Khan, I.; Daji, L.; Chattha, M.B.; Rasheed, A.; Elnour, R.O.; Asseri, T.A.Y.; Hashem, M.; Alhaithloul, H.A.S.; et al. Nutrient-coated urea mitigates deleterious impacts of salinity and supports wheat performance by enhancing antioxidant activities, photosynthetic performance and nitrogen use efficiency. Ital. J. Agron. 2024, 19, 100003. [Google Scholar] [CrossRef]
- Deng, F.; Li, W.; Wang, L.; Hu, H.; Liao, S.; Pu, S.L.; Tao, Y.F.; Li, G.H.; Ren, W.J. Effect of controlled-release fertilizers on leaf characteristics, grain yield, and nitrogen use efficiency of machine-transplanted rice in southwest China. Arch. Agron. Soil. Sci. 2021, 67, 1739–1753. [Google Scholar] [CrossRef]
- Liu, X.; Chen, L.; Hua, Z.; Mei, S.; Wang, P.; Wang, S. Comparing ammonia volatilization between conventional and slow-release nitrogen fertilizers in paddy fields in the Taihu Lake region. Environ. Sci. Pollut. Res. 2020, 27, 8386–8394. [Google Scholar] [CrossRef] [PubMed]
- Shaviv, A.; Raban, S.; Zaidel, E. Modeling controlled nutrient release from polymer coated fertilizers: Diffusion release from single granules. Environ. Sci. Technol. 2003, 37, 2251–2256. [Google Scholar] [CrossRef] [PubMed]
- Bao, S.D. Soil and Agro-Chemistry Analysis, 3rd ed.; Agricultural Press: Beijing, China, 2018. [Google Scholar]
- Nda, S.; Sebetha, E. Data on effect of variety, seedling transplanting age and nitrogen fertilizer rates on growth performance of rice in Southern Guinea Savannah, Nigeria. Data Brief 2021, 39, 107582. [Google Scholar] [CrossRef] [PubMed]
- Uddling, J.; Gelang-Alfredsson, J.; Piikki, K.; Pleijel, H. Evaluating the relationship between leaf chlorophyll concentration and SPAD-502 chlorophyll meter readings. Photosynth. Res. 2007, 91, 37–46. [Google Scholar] [CrossRef] [PubMed]
- Chen, G.Y.; Peng, L.G.; Gong, J.; Wang, J.; Wu, C.Y.; Sui, X.D.; Tian, Y.F.; Hu, M.M.; Li, C.M.; He, X.M.; et al. Effects of water stress on starch synthesis and accumulation of two rice cultivars at different growth stages. Front. Plant Sci. 2023, 14, 1133524. [Google Scholar] [CrossRef] [PubMed]
- Chen, T.T.; Li, G.Y.; Islam, M.R.; Fu, W.M.; Feng, B.H.; Tao, L.X.; Fu, G.F. Abscisic acid synergizes with sucrose to enhance grain yield and quality of rice by improving the source-sink relationship. BMC Plant Biol. 2019, 19, 525. [Google Scholar] [CrossRef] [PubMed]
- Firmanda, A.; Fahma, F.; Syamsu, K.; Mahardika, M.; Suryanegara, L.; Munif, A.; Gozan, M.; Wood, K.; Hidayat, R.; Yulia, D. Biopolymer-based slow/controlled-release fertilizer (SRF/CRF): Nutrient release mechanism and agricultural sustainability. J. Environ. Chem. Eng. 2024, 12, 112177. [Google Scholar] [CrossRef]
- Shu, X.; Zhang, X.; Wang, S.; Fu, T.; Ding, Z.; Yang, Y.; Wang, Z.; Zhao, S.; Xu, J.; Zhou, J.; et al. Simplified panicle fertilization is applicable to japonica cultivars, but splits are preferred in indica rice for a higher paddy yield under wheat straw return. Front. Plant Sci. 2024, 15, 1273774. [Google Scholar] [CrossRef] [PubMed]
- Zhang, J.; Wang, J.; Zhou, Y.; Xu, L.; Chen, Y.; Ding, Y.; Ning, Y.; Liang, D.; Zhang, Y.; Li, G. Reduced basal and increased topdressing fertilizer rate combined with straw incorporation improves rice yield stability and soil organic carbon sequestration in a rice-wheat system. Front. Plant Sci. 2022, 13, 964957. [Google Scholar] [CrossRef] [PubMed]
- Singh, A.K.; Mehta, C.; Jaswal, A.; Sarkar, S. Influence of modified fertilizers on crop growth, productivity and soil biological values under rice (Oryza sativa)—wheat (Triticum aestivum) cropping system of Punjab, India. Res. Crops 2024, 25, 409–415. [Google Scholar] [CrossRef]
- Ding, W.C.; Xu, X.P.; He, P.; Ullah, S.; Zhang, J.J.; Cui, Z.L.; Zhou, W. Improving yield and nitrogen use efficiency through alternative fertilization options for rice in China: A meta-analysis. Field Crops Res. 2018, 227, 11–18. [Google Scholar] [CrossRef]
- Zhu, S.; Liu, L.; Xu, Y.; Yang, Y.; Shi, R. Application of controlled release urea improved grain yield and nitrogen use efficiency: A meta-analysis. PLoS ONE 2020, 15, e0241481. [Google Scholar] [CrossRef] [PubMed]
- Wang, H.; Hu, K.; Yao, L.; Zhang, Q.; Lin, C.; Liu, H.; Luo, F.; Chen, H. Effects of the combining straw return with urease inhibitor on ammonia volatilization, nitrogen use efficiency, and rice yield in purple soil areas. Plants 2023, 12, 2071. [Google Scholar] [CrossRef] [PubMed]
- Koyama, K.; Kikuzawa, K. Is whole-plant photosynthetic rate proportional to leaf area? A test of scalings and a logistic equation by leaf demography census. Am. Nat. 2009, 173, 640–649. [Google Scholar] [CrossRef] [PubMed]
- Ali, M.M.; Al-Ani, A.; Eamus, D.; Tan, D.K.Y. Leaf nitrogen determination using non-destructive techniques—A review. J. Plant Nutr. 2017, 40, 928–953. [Google Scholar] [CrossRef]
- Maloney, V.J.; Park, J.Y.; Unda, F.; Mansfield, S.D. Sucrose phosphate synthase and sucrose phosphate phosphatase interact in planta and promote plant growth and biomass accumulation. J. Exp. Bot. 2015, 66, 4383–4394. [Google Scholar] [CrossRef] [PubMed]
- Stein, O.; Granot, D. An overview of sucrose synthases in plants. Front. Plant Sci. 2019, 10, 95. [Google Scholar] [CrossRef] [PubMed]
- Miao, S.H.; Wang, X.D.; Song, Y.; Zhang, Y.; Li, X.B.; Che, W.K.; Piao, J.L.; Xie, L.M.; Jin, F. Optimal agronomic measures combined with biochar increased rice yield through enhancing nitrogen use efficiency in soda saline-alkali fields. Eur. J. Agron. 2024, 161, 127365. [Google Scholar] [CrossRef]
- Fiaz, M.; Ahmed, I.; Ul Hassan, S.M.; Niazi, A.K.; Khokhar, M.F.; Zeshan; Farooq, M.A.; Arshad, M. Antibiotics induced changes in nitrogen metabolism and antioxidative enzymes in mung bean (Vigna radiata). Sci. Total Environ. 2023, 873, 162449. [Google Scholar] [CrossRef] [PubMed]
- Deng, S.; Ashraf, U.; Nawaz, M.; Abbas, G.; Tang, X.; Mo, Z. Water and nitrogen management at the booting stage affects yield, grain quality, nutrient uptake, and use efficiency of fragrant rice under the agro-climatic conditions of South China. Front. Plant Sci. 2022, 13, 907231. [Google Scholar] [CrossRef] [PubMed]
- Liang, C.; Li, Y.; Zhang, K.; Wu, Z.; Liu, J.; Liu, J.; Zhou, C.; Wang, S.; Li, F.; Sui, G. Selection and yield formation characteristics of dry direct seeding rice in Northeast China. Plants 2023, 12, 3496. [Google Scholar] [CrossRef] [PubMed]
- Li, Y.; Ai, Z.; Mu, Y.; Zhao, T.; Zhang, Y.; Li, L.; Huang, Z.; Nie, L.; Khan, M.N. Rice yield penalty and quality deterioration is associated with failure of nitrogen uptake from regreening to panicle initiation stage under salinity. Front. Plant Sci. 2023, 14, 1120755. [Google Scholar] [CrossRef] [PubMed]
- Peng, S.; Buresh, R.J.; Huang, J.; Zhong, X.; Zou, Y.; Yang, J.; Wang, G.; Liu, Y.; Hu, R.; Tang, Q. Improving nitrogen fertilization in rice by site-specific N management. A review. Agron. Sustain. Dev. 2010, 30, 649–656. [Google Scholar] [CrossRef]
- Lassaletta, L.; Billen, G.; Garnier, J.; Bouwman, L.; Velazquez, E.; Mueller, N.D.; Gerber, J.S. Nitrogen use in the global food system: Past trends and future trajectories of agronomic performance, pollution, trade, and dietary demand. Environ. Res. Lett. 2016, 11, 095007. [Google Scholar] [CrossRef]
- Fernie, A.R.; Bachem, C.W.B.; Helariutta, Y.; Neuhaus, H.E.; Prat, S.; Ruan, Y.L.; Stitt, M.; Sweetlove, L.J.; Tegeder, M.; Wahl, V.; et al. Synchronization of developmental, molecular and metabolic aspects of source-sink interactions. Nat. Plants 2020, 6, 55–66. [Google Scholar] [CrossRef] [PubMed]
- Deng, J.; Ye, J.Y.; Liu, K.; Harrison, M.T.; Zhong, X.F.; Wang, C.H.; Tian, X.H.; Huang, L.Y.; Zhang, Y.B. Optimizing agronomy improves super hybrid rice yield and nitrogen use efficiency through enhanced post-heading carbon and nitrogen metabolism. Agronomy 2023, 13, 13. [Google Scholar] [CrossRef]
- Jiang, Z.R.; Chen, Q.L.; Liu, D.; Tao, W.K.; Gao, S.; Li, J.Q.; Lin, C.H.; Zhu, M.C.; Ding, Y.F.; Li, W.W.; et al. Application of slow-controlled release fertilizer coordinates the carbon flow in carbon-nitrogen metabolism to effect rice quality. BMC Plant Biol. 2024, 24, 621. [Google Scholar] [CrossRef] [PubMed]








| Year | Treatment | Effective Panicle Number per m2 | Grain Number per Panicle | Seed-Setting Rate(%) | 1000-Grain Weight (g) | Grain Yield (kg·ha−1) |
|---|---|---|---|---|---|---|
| 2022 | SRU | 254.67 ± 4.00 c | 163.44 ± 4.82 b | 95.12 ± 1.85 a | 24.28 ± 0.99 a | 8248.41 ± 156.45 c |
| NRS | 291.00 ± 4.93 a | 184.11 ± 6.88 a | 91.75 ± 1.55 b | 21.32 ± 1.62 b | 9077.75 ± 97.56 b | |
| SRS | 276.67 ± 4.93 b | 180.89 ± 6.81 a | 95.96 ± 1.35 a | 23.50 ± 1.5 a | 9453.83 ± 138.10 a | |
| 2023 | SRU | 280.67 ± 3.51 c | 164.11 ± 3.67 b | 95.52 ± 0.09 a | 24.07 ± 0.77 a | 8999.38 ± 15.80 c |
| NRS | 303.33 ± 3.21 a | 185.78 ± 1.54 a | 92.65 ± 0.60 b | 21.63 ± 0.91 b | 9743.27 ± 78.64 b | |
| SRS | 290.33 ± 5.51 b | 185.00 ± 4.70 a | 96.15 ± 0.19 a | 23.75 ± 0.67 a | 10,459.18±34.61 a |
| Treatment | NRE (%) | NAE (kg·kg−1) | NFP (kg·kg−1) |
|---|---|---|---|
| SRU | 34.00 ± 1.41 c | 31.38 ± 0.63 b | 55.73 ± 0.42 b |
| NRS | 49.64 ± 2.72 b | 31.73 ± 0.74 b | 56.09 ± 0.60 b |
| SRS | 61.04 ± 1.79 a | 37.24 ± 0.10 a | 61.59 ± 0.31 a |
| Year | Treatment | TS | HS | FS | |||||
|---|---|---|---|---|---|---|---|---|---|
| Leaf | Stem | Leaf | Stem | Panicle | Leaf | Stem | Panicle | ||
| 2022 | SRU | 33.79 ± 0.09 c | 14.19 ± 0.09 b | 16.99 ± 0.09 c | 5.51 ± 0.09 b | 9.33 ± 0.09 a | 8.96 ± 0.16 c | 5.51 ± 0.09 a | 6.35 ± 0.09 b |
| NRS | 34.25 ± 0.09 b | 14.65 ± 0.09 a | 17.45 ± 0.09 b | 5.97 ± 0.09 a | 8.96 ± 0.16 ab | 9.43 ± 0.09 b | 5.79 ± 0.09 a | 7.00 ± 0.16 a | |
| SRS | 35.00 ± 0.16 a | 14.00 ± 0.16 c | 18.20 ± 0.16 a | 5.41 ± 0.09 b | 8.77 ± 0.09 b | 9.89 ± 0.09 a | 4.67 ± 0.09 b | 6.81 ± 0.09 a | |
| 2023 | SRU | 34.98 ± 0.23 a | 13.56 ± 0.25 b | 18.11 ± 0.12 c | 5.85 ± 0.23 a | 10.84 ± 0.22 a | 9.53 ± 0.15 b | 6.15 ± 0.13 a | 6.45 ± 0.12 b |
| NRS | 35.61 ± 0.29 a | 15.05 ± 0.27 a | 18.54 ± 0.14 b | 6.36 ± 0.02 a | 9.22 ± 0.13 b | 9.89 ± 0.06 b | 6.38 ± 0.07 a | 7.64 ± 0.03 a | |
| SRS | 35.71 ± 0.70 a | 13.23 ± 0.19 b | 19.46 ± 0.07 a | 5.94 ± 0.10 a | 9.44 ± 0.22 b | 11.03 ± 0.09 a | 5.32 ± 0.15 b | 7.62 ± 0.03 a | |
Disclaimer/Publisher’s Note: The statements, opinions and data contained in all publications are solely those of the individual author(s) and contributor(s) and not of MDPI and/or the editor(s). MDPI and/or the editor(s) disclaim responsibility for any injury to people or property resulting from any ideas, methods, instructions or products referred to in the content. |
© 2025 by the authors. Licensee MDPI, Basel, Switzerland. This article is an open access article distributed under the terms and conditions of the Creative Commons Attribution (CC BY) license (https://creativecommons.org/licenses/by/4.0/).
Share and Cite
Zhao, G.; Gao, K.; Gao, M.; Xu, X.; Li, Z.; Yang, X.; Tian, P.; Wei, X.; Wu, Z.; Yang, M. Straw Returning Combined with Application of Sulfur-Coated Urea Improved Rice Yield and Nitrogen Use Efficiency Through Enhancing Carbon and Nitrogen Metabolism. Agriculture 2025, 15, 1554. https://doi.org/10.3390/agriculture15141554
Zhao G, Gao K, Gao M, Xu X, Li Z, Yang X, Tian P, Wei X, Wu Z, Yang M. Straw Returning Combined with Application of Sulfur-Coated Urea Improved Rice Yield and Nitrogen Use Efficiency Through Enhancing Carbon and Nitrogen Metabolism. Agriculture. 2025; 15(14):1554. https://doi.org/10.3390/agriculture15141554
Chicago/Turabian StyleZhao, Guangxin, Kaiyu Gao, Ming Gao, Xiaotian Xu, Zeming Li, Xianzhi Yang, Ping Tian, Xiaoshuang Wei, Zhihai Wu, and Meiying Yang. 2025. "Straw Returning Combined with Application of Sulfur-Coated Urea Improved Rice Yield and Nitrogen Use Efficiency Through Enhancing Carbon and Nitrogen Metabolism" Agriculture 15, no. 14: 1554. https://doi.org/10.3390/agriculture15141554
APA StyleZhao, G., Gao, K., Gao, M., Xu, X., Li, Z., Yang, X., Tian, P., Wei, X., Wu, Z., & Yang, M. (2025). Straw Returning Combined with Application of Sulfur-Coated Urea Improved Rice Yield and Nitrogen Use Efficiency Through Enhancing Carbon and Nitrogen Metabolism. Agriculture, 15(14), 1554. https://doi.org/10.3390/agriculture15141554

