Distribution Characteristics of Cadmium in Soil Aggregates and Their Regulating Effects on Cd Bioavailability
Abstract
1. Introduction
2. Materials and Methods
2.1. Soil Preparation
2.2. Preparation of Cd-Contaminated Soil
2.3. Soil Aggregates Separation
2.4. Soil Determination and Analysis
2.5. Pot Experiment
2.6. Data Analysis
3. Results
3.1. Characteristics of Aggregate Mass Distribution
3.2. The Enrichment of T-Cd in Various Soil Aggregates
3.3. The Distribution of T-Cd Loads in Soil Aggregates
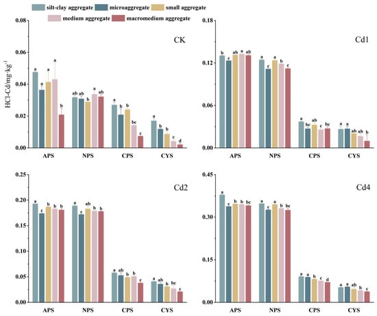
3.4. The Extractability of Cd in Soil Aggregates by HCl
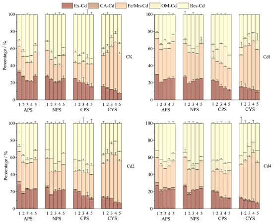
3.5. The Fractionation of Cd in Soil Aggregates
3.6. Cd Contamination on Ryegrass Growth
3.7. Accumulation of Cd in Ryegrass
3.8. Ryegrass Cd Accumulation in Relation to Cd States in Soil Aggregates
4. Discussion
4.1. pH-Dependent Regulation of Cd Distribution and Bioavailability by Soil Aggregates
4.2. Particle Size-Dependent Control of Cd Distribution and Bioavailability in Soil Aggregates
4.3. Mechanisms and Perspectives for Soil Aggregate in Regulating Cd Bioavailability
5. Conclusions
Author Contributions
Funding
Data Availability Statement
Conflicts of Interest
Appendix A
| Soil Type (CK) | Particle Size (mm) | Ex-Cd (mg·kg−1) | CA-Cd (mg·kg−1) | Fe/Mn-Cd (mg·kg−1) | OM-Cd (mg·kg−1) | Res-Cd (mg·kg−1) | Rate of Recovery (%) |
| APS | <0.053 | 0.0213 | 0.0006 | 0.0227 | 0.0052 | 0.0187 | 94 |
| 0.053–0.25 | 0.0173 | 0.0006 | 0.0145 | 0.0031 | 0.0285 | 88 | |
| 0.25–0.5 | 0.0204 | 0.0019 | 0.0201 | 0.0065 | 0.0449 | 107 | |
| 0.5–1 | 0.0203 | 0.0004 | 0.0285 | 0.0077 | 0.0346 | 93 | |
| 1–2 | 0.0193 | 0.0002 | 0.0221 | 0.0058 | 0.0202 | 82 | |
| NPS | <0.053 | 0.0212 | 0.0000 | 0.0255 | 0.0036 | 0.0309 | 88 |
| 0.053–0.25 | 0.0189 | 0.0001 | 0.0145 | 0.0019 | 0.0494 | 113 | |
| 0.25–0.5 | 0.0191 | 0.0001 | 0.0169 | 0.0043 | 0.0302 | 103 | |
| 0.5–1 | 0.0202 | 0.0002 | 0.0152 | 0.0014 | 0.0338 | 87 | |
| 1–2 | 0.0201 | 0.0000 | 0.0192 | 0.0041 | 0.0488 | 118 | |
| CYS | <0.053 | 0.0147 | 0.0000 | 0.0362 | 0.0080 | 0.0419 | 116 |
| 0.053–0.25 | 0.0080 | 0.0000 | 0.0561 | 0.0112 | 0.0214 | 101 | |
| 0.25–0.5 | 0.0133 | 0.0000 | 0.0433 | 0.0077 | 0.0308 | 112 | |
| 0.5–1 | 0.0123 | 0.0000 | 0.0214 | 0.0081 | 0.0360 | 105 | |
| 1–2 | 0.0083 | 0.0000 | 0.0420 | 0.0091 | 0.0196 | 106 | |
| CPS | <0.053 | 0.0266 | 0.0002 | 0.0263 | 0.0102 | 0.0208 | 109 |
| 0.053–0.25 | 0.0204 | 0.0002 | 0.0177 | 0.0085 | 0.0511 | 105 | |
| 0.25–0.5 | 0.0354 | 0.0002 | 0.0211 | 0.0079 | 0.0244 | 111 | |
| 0.5–1 | 0.0290 | 0.0002 | 0.0243 | 0.0050 | 0.0217 | 100 | |
| 1–2 | 0.0237 | 0.0002 | 0.0129 | 0.0010 | 0.0295 | 96 | |
| Soil Type (Cd2) | Particle Size (mm) | Ex-Cd (mg·kg−1) | CA-Cd (mg·kg−1) | Fe/Mn-Cd (mg·kg−1) | OM-Cd (mg·kg−1) | Res-Cd (mg·kg−1) | Rate of Recovery (%) |
| APS | <0.053 | 0.0890 | 0.0008 | 0.1348 | 0.0103 | 0.0587 | 98 |
| 0.053–0.25 | 0.0839 | 0.0008 | 0.1121 | 0.0095 | 0.0729 | 112 | |
| 0.25–0.5 | 0.0868 | 0.0008 | 0.1528 | 0.0180 | 0.0334 | 102 | |
| 0.5–1 | 0.0827 | 0.0008 | 0.1062 | 0.0150 | 0.0401 | 88 | |
| 1–2 | 0.0759 | 0.0009 | 0.0904 | 0.02119 | 0.0246 | 83 | |
| NPS | <0.053 | 0.0670 | 0.0006 | 0.1466 | 0.0506 | 0.0394 | 101 |
| 0.053–0.25 | 0.0636 | 0.0006 | 0.1605 | 0.0148 | 0.0244 | 102 | |
| 0.25–0.5 | 0.0646 | 0.0006 | 0.1471 | 0.0205 | 0.0294 | 94 | |
| 0.5–1 | 0.0419 | 0.0006 | 0.1043 | 0.0426 | 0.0272 | 83 | |
| 1–2 | 0.0583 | 0.0005 | 0.1014 | 0.0282 | 0.0238 | 88 | |
| CYS | <0.053 | 0.0435 | 0.0003 | 0.1804 | 0.0271 | 0.0414 | 97 |
| 0.053–0.25 | 0.0412 | 0.0004 | 0.1500 | 0.0261 | 0.0589 | 92 | |
| 0.25–0.5 | 0.0401 | 0.0004 | 0.1490 | 0.0257 | 0.0829 | 98 | |
| 0.5–1 | 0.0419 | 0.0004 | 0.1324 | 0.0203 | 0.0798 | 98 | |
| 1–2 | 0.0436 | 0.0004 | 0.1102 | 0.0129 | 0.0895 | 97 | |
| CPS | <0.053 | 0.0582 | 0.0008 | 0.1420 | 0.0199 | 0.0560 | 97 |
| 0.053–0.25 | 0.0597 | 0.0008 | 0.1481 | 0.0061 | 0.0745 | 104 | |
| 0.25–0.5 | 0.0670 | 0.0008 | 0.1138 | 0.0067 | 0.0737 | 99 | |
| 0.5–1 | 0.0552 | 0.0008 | 0.1598 | 0.0063 | 0.0579 | 14 | |
| 1–2 | 0.0553 | 0.0008 | 0.0666 | 0.0040 | 0.0594 | 86 |
References
- Gu, Y.; Wang, P.; Zhang, S.; Dai, J.; Chen, H.P.; Lombi, E.; Howard, D.L.; van der Ent, A.; Zhao, F.J.; Kopittke, P.M. Chemical Speciation and Distribution of Cadmium in Rice Grain and Implications for Bioavailability to Humans. Environ. Sci. Technol. 2020, 54, 12072–12080. [Google Scholar] [CrossRef] [PubMed]
- Fattorini, L.; Ronzan, M.; Piacentini, D.; Della Rovere, F.; De Virgilio, C.; Sofo, A.; Altamura, M.M.; Falasca, G. Cadmium and arsenic affect quiescent centre formation and maintenance in Arabidopsis thaliana post-embryonic roots disrupting auxin biosynthesis and transport. Environ. Exp. Bot. 2017, 144, 37–48. [Google Scholar] [CrossRef]
- Cui, H.; Tang, S.; Huang, S.; Lei, L.; Jiang, Z.; Li, L.; Wei, S. Simultaneous mitigation of arsenic and cadmium accumulation in rice grains by foliar inhibitor with ZIF-8@Ge-132. Sci. Total Environ. 2023, 860, 160307. [Google Scholar] [CrossRef]
- Shahid, M.; Dumat, C.; Khalid, S.; Niazi, N.K.; Antunes, P.M.C. Cadmium Bioavailability, Uptake, Toxicity and Detoxification in Soil-Plant System. Rev. Environ. Contam. Toxicol. 2017, 241, 73–137. [Google Scholar] [PubMed]
- Cui, H.B.; Ma, K.Q.; Fan, Y.C.; Peng, X.H.; Mao, J.D.; Zhou, D.M.; Zhang, Z.B.; Zhou, J. Stability and heavy metal distribution of soil aggregates affected by application of apatite, lime, and charcoal. Environ. Sci. Pollut. Res. 2016, 23, 10808–10817. [Google Scholar] [CrossRef] [PubMed]
- Liu, Y.-z.; Xiao, T.-f.; Xiong, Y.; Ning, Z.-p.; Shuang, Y.; Li, H.; Ma, L.; Chen, H.-y. Accumulation of Heavy Metals in Agricultural Soils and Craps from an with a High Geochemical Background of Cadmium, Southwestern China. Huanjing Kexue 2019, 40, 2877–2884. [Google Scholar] [CrossRef] [PubMed]
- Nursita, A.I.; Singh, B.; Lees, E. Cadmium bioaccumulation in Proisotoma minuta in relation to bioavailability in soils. Ecotoxicol. Environ. Saf. 2009, 72, 1767–1773. [Google Scholar] [CrossRef]
- Zhou, J.W.; Li, Z.; Liu, M.S.; Yu, H.M.; Wu, L.H.; Huang, F.; Luo, Y.M.; Christie, P. Cadmium Isotopic Fractionation in the Soil-Plant System during Repeated Phytoextraction with a Cadmium Hyperaccumulating Plant Species. Environ. Sci. Technol. 2020, 54, 13598–13609. [Google Scholar] [CrossRef]
- Liu, M.X.; Han, Z.Q. Distribution and Bioavailability of Heavy Metals in Soil Aggregates from the Fenhe River Basin, China. Bull. Environ. Contam. Toxicol. 2020, 104, 532–537. [Google Scholar] [CrossRef]
- Fang, X.; Zhong, X.; Cui, Z.; Zhang, Y.; Du, L.; Yang, Y.; Lv, J. Distribution and Remediation Techniques of Heavy Metals in Soil Aggregates Perspective: A Review. Water Air Soil Pollut. 2023, 234, 631. [Google Scholar] [CrossRef]
- Rabot, E.; Wiesmeier, M.; Schlüter, S.; Vogel, H.J. Soil structure as an indicator of soil functions: A review. Geoderma 2018, 314, 122–137. [Google Scholar] [CrossRef]
- Lv, Z.G.; Ronn, R.; Liao, H.; Rensing, C.; Chen, W.L.; Huang, Q.Y.; Hao, X.L. Soil aggregates affect the legacy effect of copper pollution on the microbial communities. Soil Biol. Biochem. 2023, 182, 109048. [Google Scholar] [CrossRef]
- Liu, G.N.; Wang, J.; Xue, W.; Zhao, J.B.; Wang, J.; Liu, X.H. Effect of the size of variable charge soil particles on cadmium accumulation and adsorption. J. Soils Sediments 2017, 17, 2810–2821. [Google Scholar] [CrossRef]
- Zhang, H.B.; Luo, Y.M.; Makino, T.; Wu, L.H.; Nanzyo, M. The heavy metal partition in size-fractions of the fine particles in agricultural soils contaminated by waste water and smelter dust. J. Hazard. Mater. 2013, 248, 303–312. [Google Scholar] [CrossRef] [PubMed]
- Wang, H.H.; Li, L.Q.; Wu, X.M.; Pan, G.X. Distribution of Cu and Pb in particle size fractions of urban soils from different city zones of Nanjing, China. J. Environ. Sci. 2006, 18, 482–487. [Google Scholar]
- Duong, C.N.; Schlenk, D.; Chang, N.I.; Kim, S.D. The effect of particle size on the bioavailability of estrogenic chemicals from sediments. Chemosphere 2009, 76, 395–401. [Google Scholar] [CrossRef] [PubMed]
- Acosta, J.A.; Faz, Á.; Kalbitz, K.; Jansen, B.; Martínez-Martínez, S. Heavy metal concentrations in particle size fractions from street dust of Murcia (Spain) as the basis for risk assessment. J. Environ. Monit. 2011, 13, 3087–3096. [Google Scholar] [CrossRef]
- Lombi, E.; Sletten, R.S.; Wenzel, W.W. Sequentially extracted arsenic from different size fractions of contaminated soils. Water Air Soil Pollut. 2000, 124, 319–332. [Google Scholar] [CrossRef]
- Li, Z.; Wu, L.H.; Luo, Y.M.; Christie, P. Dynamics of plant metal uptake and metal changes in whole soil and soil particle fractions during repeated phytoextraction. Plant Soil 2014, 374, 857–869. [Google Scholar] [CrossRef]
- Cambardella, C.A.; Elliott, E.T. Carbon and Nitrogen Distribution in Aggregates from Cultivated and Native Grassland Soils. Soil Sci. Soc. Am. J. 1993, 57, 1071–1076. [Google Scholar] [CrossRef]
- Lu, H.P.; Zhuang, P.; Li, Z.A.; Tai, Y.P.; Zou, B.; Li, Y.W.; McBride, M.B. Contrasting effects of silicates on cadmium uptake by three dicotyledonous crops grown in contaminated soil. Environ. Sci. Pollut. Res. 2014, 21, 9921–9930. [Google Scholar] [CrossRef] [PubMed]
- Tang, S.-T.; Xiao, S.-B.; Cui, H.; Wei, S.-Q. Influences of Acidification on the Allocation and Availability of Lead and Cadmium within Soil Aggregates. Huanjingkexue 2025, 46, 1107–1117. [Google Scholar] [CrossRef]
- Chen, Y.; Liu, H.; Liu, N.; Jiang, Z.; Wei, S. Screening and evaluation of methods for determining the effectiveness of heavy metals Pb and Cd in agricultural soils. huanjingkexue 2021, 42, 3494–3506. [Google Scholar] [CrossRef]
- Li, Z.W.; Huang, B.; Huang, J.Q.; Chen, G.Q.; Zhang, C.; Nie, X.D.; Luo, N.L.; Yao, H.B.; Ma, W.M.; Zeng, G.M. Influence of removal of organic matter and iron and manganese oxides on cadmium adsorption by red paddy soil aggregates. Rsc Adv. 2015, 5, 90588–90595. [Google Scholar] [CrossRef]
- Huang, B.; Li, Z.W.; Huang, J.Q.; Chen, G.Q.; Nie, X.D.; Ma, W.M.; Yao, H.B.; Zhen, J.M.; Zeng, G.M. Aging effect on the leaching behavior of heavy metals (Cu, Zn, and Cd) in red paddy soil. Environ. Sci. Pollut. Res. 2015, 22, 11467–11477. [Google Scholar] [CrossRef]
- Mo, X.X.; Siebecker, M.H.; Gou, W.X.; Li, L.; Li, W. A review of cadmium sorption mechanisms on soil mineral surfaces revealed from synchrotron-based X-ray absorption fine structure spectroscopy: Implications for soil remediation. Pedosphere 2021, 31, 11–27. [Google Scholar] [CrossRef]
- Liu, P.-Y.; Wen, Q.-L.; Li, Y.-J.; Dong, C.-X.; Pan, G.-X. Kinetics of Specific and Non-Specific Copper Sorption on Aggregates of an Acidic Paddy Soil from the Taihu Lake Region in East China. Pedosphere 2015, 25, 37–45. [Google Scholar] [CrossRef]
- Peng, S.M.; Wang, P.; Peng, L.F.; Cheng, T.; Sun, W.M.; Shi, Z.Q. Predicting Heavy Metal Partition Equilibrium in Soils: Roles of Soil Components and Binding Sites. Soil Sci. Soc. Am. J. 2018, 82, 839–849. [Google Scholar] [CrossRef]
- Zong, Y.; Chen, H.; Malik, Z.; Xiao, Q.; Lu, S. Comparative study on the potential risk of contaminated-rice straw, its derived biochar and phosphorus modified biochar as an amendment and their implication for environment. Environ. Pollut. 2022, 293, 118515. [Google Scholar] [CrossRef]
- Li, Q.; Wang, Y.; Li, Y.; Li, L.; Tang, M.; Hu, W.; Chen, L.; Ai, S. Speciation of heavy metals in soils and their immobilization at micro-scale interfaces among diverse soil components. Sci. Total Environ. 2022, 825, 153862. [Google Scholar] [CrossRef]
- Shen, Q.; Xiang, J.M.; Zhang, M.K. Distribution and chemical speciation of heavy metals in various size fractions of aggregates from zonal soils. Int. J. Environ. Anal. Chem. 2022, 102, 4272–4287. [Google Scholar] [CrossRef]
- Li, Q.; Du, H.; Chen, W.; Hao, J.; Huang, Q.; Cai, P.; Feng, X. Aging shapes the distribution of copper in soil aggregate size fractions. Environ. Pollut. 2018, 233, 569–576. [Google Scholar] [CrossRef] [PubMed]
- Lu, Y.; Gu, K.; Wang, X.; Shen, Z.; Tang, C.-S.; Shi, B.; Zhou, Q. The role of soil structure on the cracking and cadmium leaching behavior of biochar-amended fine-grained soils. Chemosphere 2024, 362, 142596. [Google Scholar] [CrossRef] [PubMed]
- Yang, C.; Liu, N.; Zhang, Y.J. Soil aggregates regulate the impact of soil bacterial and fungal communities, on soil respiration. Geoderma 2019, 337, 444–452. [Google Scholar] [CrossRef]
- Li, Q.; Li, L.; Yin, B.; Lin, X.; Xiao, A.; Xue, W.; Liu, H.; Li, Y. Accumulation and distribution of cadmium at organic-mineral micro-interfaces across soil aggregates. Ecotoxicol. Environ. Saf. 2024, 289, 117457. [Google Scholar] [CrossRef]
- Wang, Q.-Y.; Sun, J.-Y.; Hu, N.-W.; Wang, T.-Y.; Yue, J.; Hu, B.; Yu, H.-W. Effects of soil aging conditions on distributions of cadmium distribution and phosphatase activity in different soil aggregates. Sci. Total Environ. 2022, 834, 155440. [Google Scholar] [CrossRef]
- Liang, Y.; Ding, Y.; Wang, P.; Lu, G.; Dang, Z.; Shi, Z. Molecular characteristics, proton dissociation properties, and metal binding properties of soil organic matter: A theoretical study. Sci. Total Environ. 2018, 656, 521–530. [Google Scholar] [CrossRef]
- Wen, L.; Liao, B.; Liu, G.; Tang, H.; Yang, S.; Wen, H.; Qin, J. The Adsorption and Aging Process of Cadmium and Chromium in Soil Micro-aggregates. Environ. Toxicol. Chem. 2022, 4, 975–990. [Google Scholar] [CrossRef]
- Zhang, S.; Hu, W.J.; Zhang, J.T.; Yu, G.J.; Liu, Y.Z.; Kong, Z.Y.; Wu, L. Long-term cultivation reduces soil carbon storage by altering microbial network complexity and metabolism activity in macroaggregates. Sci. Total Environ. 2024, 930, 172788. [Google Scholar] [CrossRef]







| Soil Type | pH | Organic Matter /g·kg−1 | Available N /mg·kg−1 | Available P /mg·kg−1 | Available K /mg·kg−1 | CEC /cmol·kg−1 | Total Cd /mg·kg−1 | Soil Texture % | ||
|---|---|---|---|---|---|---|---|---|---|---|
| Sand | Silt | Clay | ||||||||
| APS | 6.04 | 29.42 | 205.59 | 23.40 | 88.28 | 22.00 | 0.39 | 32.00 | 36.00 | 32.00 |
| NPS | 7.30 | 31.63 | 105.91 | 24.26 | 233.22 | 24.71 | 0.40 | 44.00 | 34.00 | 22.00 |
| CPS | 7.81 | 22.55 | 80.99 | 25.69 | 161.04 | 23.00 | 0.42 | 8.00 | 30.00 | 62.00 |
| CYS | 7.67 | 19.01 | 67.28 | 24.93 | 193.48 | 22.14 | 0.45 | 20.00 | 44.00 | 36.00 |
| Soil Type | Aggregates in Native Soil | Bulk Soils | ||||
| <0.053 mm | 0.053–0.25 mm | 0.25–0.5 mm | 0.5–1 mm | 1–2 mm | 0~2 mm | |
| APS | 65.45 ± 0.47 a 1 | 65.05 ± 4.21 a | 47.56 ± 7.26 b | 43.81 ± 10.57 b | 22.15 ± 4.25 c | 48.77 ± 0.24 |
| NPS | 34.31 ± 1.05 c | 49.29 ± 2.62 a | 42.55 ± 0.00 b | 36.79 ± 2.21 c | 41.96 ± 1.70 b | 44.10 ± 0.16 |
| CPS | 37.08 ± 0.48 a | 24.32 ± 4.24 bc | 30.15 ± 1.18 b | 17.85 ± 0.44 c | 9.79 ± 0.26 d | 26.02 ± 0.25 |
| CYS | 23.35 ± 4.90 a | 12.50 ± 0.26 b | 11.23 ± 1.90 b | 5.79 ± 1.41 c | 2.9 ± 1.03 d | 20.94 ± 0.05 |
| Soil Type | Aggregates in Soils with Cd1 Addition | Bulk Soils | ||||
| <0.053 mm | 0.053–0.25 mm | 0.25–0.5 mm | 0.5–1 mm | 1–2 mm | 0~2 mm | |
| APS | 43.30 ± 0.00 d | 52.06 ± 0.00 a | 46.03 ± 0.00 b | 45.94 ± 0.29 b | 45.06 ± 0.45 c | 51.25 ± 0.17 |
| NPS | 38.64 ± 0.21 d | 43.83 ± 0.26 b | 42.90 ± 0.36 c | 38.97 ± 0.00 d | 46.23 ± 0.47 a | 39.93 ± 0.28 |
| CPS | 12.54 ± 0.30 a | 10.30 ± 0.79 ab | 12.33 ± 1.09 a | 9.97 ± 0.69 b | 12.10 ± 1.07 ab | 12.22 ± 0.41 |
| CYS | 8.81 ± 1.43 a | 8.86 ± 1.06 a | 6.75 ± 0.00 b | 5.91 ± 1.09 b | 3.73 ± 0.29 c | 8.68 ± 0.04 |
| Soil Type | Aggregates in Soils with Cd2 Addition | Bulk Soils | ||||
| <0.053 mm | 0.053–0.25 mm | 0.25–0.5 mm | 0.5–1 mm | 1–2 mm | 0~2 mm | |
| APS | 31.28 ± 0.45 d | 40.28 ± 0.07 a | 39.78 ± 0.00 a | 38.69 ± 0.00 b | 36.35 ± 0.74 c | 39.57 ± 0.21 |
| NPS | 33.22 ± 0.28 c | 48.59 ± 0.24 a | 39.27 ± 1.03 b | 34.29 ± 0.41 c | 37.71 ± 0.45 b | 43.37 ± 0.09 |
| CPS | 10.36 ± 1.26 b | 9.50 ± 0.51 b | 12.09 ± 0.47 b | 13.35 ± 0.34 a | 12.06 ± 0.29 b | 11.79 ± 0.16 |
| CYS | 7.91 ± 0.32 a | 6.57 ± 0.08 b | 6.42 ± 0.01 b | 6.21 ± 0.14 b | 5.02 ± 0.03 c | 7.08 ± 0.07 |
| Soil Type | Aggregates in Soils with Cd4 Addition | Bulk Soils | ||||
| <0.053 mm | 0.053–0.25 mm | 0.25–0.5 mm | 0.5–1 mm | 1–2 mm | 0~2 mm | |
| APS | 30.71 ± 0.31 c | 39.12 ± 0.00 a | 38.86 ± 0.17 a | 36.66 ± 0.06 b | 35.34 ± 0.51 b | 38.43 ± 0.03 |
| NPS | 32.86 ± 0.64 c | 49.47 ± 0.00 a | 39.61 ± 0.00 b | 34.05 ± 0.58 c | 37.44 ± 1.09 b | 42.22 ± 0.25 |
| CPS | 8.91 ± 0.00 b | 10.05 ± 0.01 a | 9.28 ± 0.76 ab | 8.91 ± 0.22 b | 10.32 ± 0.15 a | 10.39 ± 0.06 |
| CYS | 5.47 ± 0.13 a | 5.36 ± 0.05 a | 5.20 ± 0.02 a | 5.17 ± 0.00 a | 4.86 ± 0.03 b | 6.02 ± 0.25 |
| T-Cd | <0.053 mm | 0.053–0.25 mm | 0.25–0.5 mm | 0.5–1 mm | 1–2 mm |
|---|---|---|---|---|---|
| Plant-Cd (CK) | 0.329 | 0.703 * 1 | 0.423 | 0.571 | −0.990 ** |
| Plant-Cd (Cd1) | 0.018 | 0.806 ** | 0.053 | 0.361 | −0.729 ** |
| Plant-Cd (Cd2) | 0.214 | 0.811 ** | 0.416 | 0.516 | −0.807 ** |
| Plant-Cd (Cd4) | 0.475 | 0.793 ** | 0.327 | 0.104 | −0.795 ** |
| HCl-Cd | <0.053 mm | 0.053~0.25 mm | 0.25~0.5 mm | 0.5~1 mm | 1~2 mm |
|---|---|---|---|---|---|
| Plant-Cd (CK) | 0.715 ** | 0.615 * 1 | 0.480 | 0.513 | 0.185 |
| Plant-Cd (Cd1) | 0.834 ** | 0.669 * | 0.484 | 0.522 | 0.540 |
| Plant-Cd (Cd2) | 0.817 ** | 0.652 * | 0.311 | 0.489 | 0.372 |
| Plant-Cd (Cd4) | 0.779 ** | 0.695 * | 0.405 | 0.547 | 0.468 |
Disclaimer/Publisher’s Note: The statements, opinions and data contained in all publications are solely those of the individual author(s) and contributor(s) and not of MDPI and/or the editor(s). MDPI and/or the editor(s) disclaim responsibility for any injury to people or property resulting from any ideas, methods, instructions or products referred to in the content. |
© 2025 by the authors. Licensee MDPI, Basel, Switzerland. This article is an open access article distributed under the terms and conditions of the Creative Commons Attribution (CC BY) license (https://creativecommons.org/licenses/by/4.0/).
Share and Cite
Chen, Y.; Zhang, Y.; Li, H.; Wei, S. Distribution Characteristics of Cadmium in Soil Aggregates and Their Regulating Effects on Cd Bioavailability. Agriculture 2025, 15, 1514. https://doi.org/10.3390/agriculture15141514
Chen Y, Zhang Y, Li H, Wei S. Distribution Characteristics of Cadmium in Soil Aggregates and Their Regulating Effects on Cd Bioavailability. Agriculture. 2025; 15(14):1514. https://doi.org/10.3390/agriculture15141514
Chicago/Turabian StyleChen, Ying, Ya Zhang, Hanqing Li, and Shiqiang Wei. 2025. "Distribution Characteristics of Cadmium in Soil Aggregates and Their Regulating Effects on Cd Bioavailability" Agriculture 15, no. 14: 1514. https://doi.org/10.3390/agriculture15141514
APA StyleChen, Y., Zhang, Y., Li, H., & Wei, S. (2025). Distribution Characteristics of Cadmium in Soil Aggregates and Their Regulating Effects on Cd Bioavailability. Agriculture, 15(14), 1514. https://doi.org/10.3390/agriculture15141514

