Optimized Sugar Beet Seedling Growth via Coordinated Photosynthate Allocation and N Assimilation Regulation
Abstract
1. Introduction
2. Materials and Methods
2.1. Experimental Materials and Culture Conditions
2.2. Measurement of Morphological Traits in Sugar Beet
2.3. Chlorophyll, Total Nitrogen, and Photosynthetic Parameter Analysis
2.4. Glutamine Synthetase (GS) and Glutamate Synthase (GOGAT) Activity Assays
2.5. Sucrose Quantification, and Sucrose Synthase and Sucrose Phosphate Synthase Activity Assays
2.6. Statistical Analysis
3. Results
3.1. Nitrogen-Dependent Growth Regulation in Sugar Beet Seedlings
3.2. Nitrogen-Mediated Regulation of Photosynthetic Performance
3.2.1. Changes in Chlorophyll Content
3.2.2. Gas Exchange Parameters
3.3. Nitrogen Metabolism Regulation of Sugar Beet Under Different Nitrogen Supply
3.3.1. Nitrogen Content
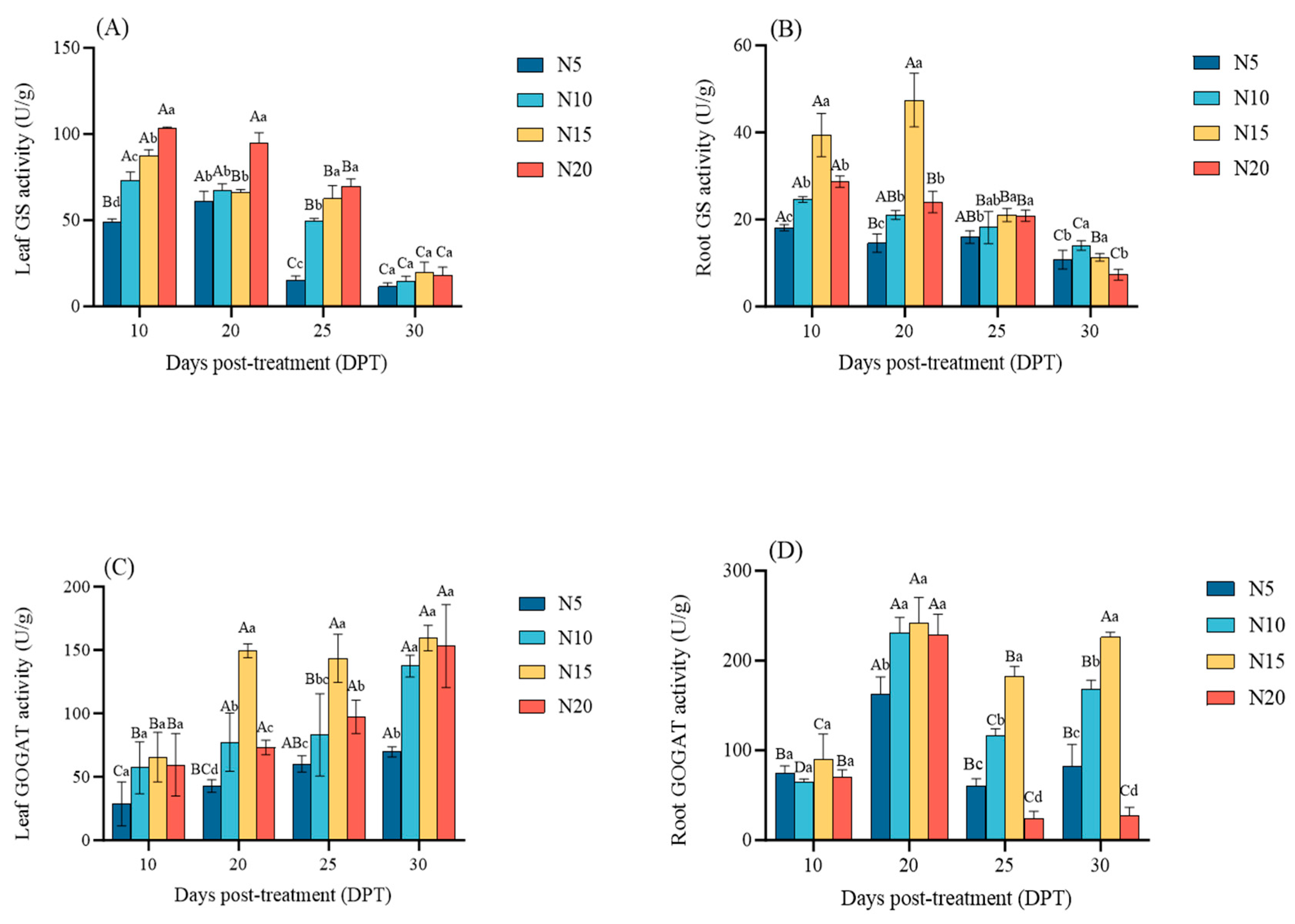
3.3.2. Glutamine Synthetase (GS) and Glutamate Synthase (GOGAT) Activity
3.4. Carbon Metabolism of Sugar Beet Under Different Nitrogen Supply
3.4.1. Sucrose Accumulation
3.4.2. Sucrose Synthase (SS) and Sucrose Phosphate Synthase (SPS) Activity
3.5. Carbon and Nitrogen Metabolic Network Coordination
4. Discussion
5. Conclusions
Supplementary Materials
Author Contributions
Funding
Data Availability Statement
Acknowledgments
Conflicts of Interest
References
- Kraiser, T.; Gras, D.E.; Gutiérrez, A.G.; González, B.; Gutiérrez, R.A. A holistic view of nitrogen acquisition in plants. J. Exp. Bot. 2011, 62, 1455–1466. [Google Scholar] [CrossRef] [PubMed]
- Nacry, P.; Bouguyon, E.; Gojon, A. Nitrogen acquisition by roots: Physiological and developmental mechanisms ensuring plant adaptation to a fluctuating resource. Plant Soil 2013, 370, 1–29. [Google Scholar] [CrossRef]
- Adhikari, C.; Bronson, K.F.; Panuallah, G.M.; Regmi, A.P.; Saha, P.K.; Dobermann, A.; Olk, D.C.; Hobbs, P.R.; Pasuquin, E. On-farm soil N supply and N nutrition in the rice–wheat system of Nepal and Bangladesh. Field Crops Res. 1999, 64, 273–286. [Google Scholar] [CrossRef]
- Guo, S.; Zhou, Y.; Shen, Q.; Zhang, F. Effect of ammonium and nitrate nutrition on some physiological processes in higher plants-growth, photosynthesis, photorespiration, and water relations. Plant Biol. 2007, 9, 21–29. [Google Scholar] [CrossRef]
- Chikov, V.; Bakirova, G. Relationship between carbon and nitrogen metabolisms in photosynthesis. The role of photooxidation processes. Photosynthetica 2000, 37, 519–527. [Google Scholar] [CrossRef]
- Liu, H.; Gao, X.; Fan, W.; Fu, X. Optimizing carbon and nitrogen metabolism in plants: From fundamental principles to practical applications. J. Integr. Plant Biol. 2025, 67, 1447–1466. [Google Scholar] [CrossRef]
- Kusano, M.; Fukushima, A.; Redestig, H.; Kazuki, S. Metabolomic approaches toward understanding nitrogen metabolism in plants. J. Exp. Bot. 2011, 62, 1439–1453. [Google Scholar] [CrossRef]
- Liu, X.; Yin, C.; Xiang, L.; Jiang, W.; Xu, S.; Mao, Z. Transcription strategies related to photosynthesis and nitrogen metabolism of wheat in response to nitrogen deficiency. BMC Plant Biol. 2020, 20, 448. [Google Scholar] [CrossRef]
- Otori, K.; Tanabe, N.; Maruyama, T.; Sato, S.; Yanagisawa, S.; Tamoi, M.; Shigeoka, S. Enhanced photosynthetic capacity increases nitrogen metabolism through the coordinated regulation of carbon and nitrogen assimilation in Arabidopsis thaliana. J. Plant Res. 2017, 130, 909–927. [Google Scholar] [CrossRef]
- Nunes-Nesi, A.; Fernie, A.R.; Stitt, M. Metabolic and signaling aspects underpinning the regulation of plant carbon nitrogen interactions. Mol. Plant 2010, 3, 973–996. [Google Scholar] [CrossRef]
- Sweetlove, L.J.; Beard, K.F.M.; Nunes-Nesi, A.; Fernie, A.R.; Ratcliffe, R.G. Not just a circle: Flux modes in the plant TCA cycle. Trends Plant Sci. 2010, 15, 462–470. [Google Scholar] [CrossRef] [PubMed]
- Erdal, S. Melatonin promotes plant growth by maintaining integration and coordination between carbon and nitrogen metabolisms. Plant Cell Rep. 2019, 38, 1001–1012. [Google Scholar] [CrossRef] [PubMed]
- Paul, M.J.; Pellny, T.K. Carbon metabolite feedback regulation of leaf photosynthesis and development. J. Exp. Bot. 2003, 54, 539–547. [Google Scholar] [CrossRef]
- Lawlor, D.W. Carbon and nitrogen assimilation in relation to yield: Mechanisms are the key to understanding production systems. J. Exp. Bot. 2002, 53, 773–787. [Google Scholar] [CrossRef] [PubMed]
- Zhong, C.; Cao, X.; Hu, J.; Zhu, L.; Zhang, J.; Huang, J.; Jin, Q. Nitrogen metabolism in adaptation of photosynthesis to water stress in rice grown under different nitrogen levels. Front. Plant Sci. 2017, 8, 1079. [Google Scholar] [CrossRef]
- Bao, A.; Zhao, Z.; Ding, G.; Shi, L.; Xu, F.; Cai, H. Accumulated expression level of cytosolic glutamine synthetase 1 gene (OsGS1;1 or OsGS1;2) alter plant development and the carbon-nitrogen metabolic status in rice. PLoS ONE 2014, 9, e95581. [Google Scholar] [CrossRef]
- Nagy, Z.; Németh, E.; Guóth, A.; Bona, L.; Wodala, B.; Pécsváradi, L. Metabolic indicators of drought stress tolerance in wheat: Glutamine synthetase isoenzymes and Rubisco. Plant Physiol. Biochem. 2013, 67, 48–54. [Google Scholar] [CrossRef]
- Teixeira, J.; Pereira, S. High salinity and drought act on an organ-dependent manner on potato glutamine synthetase expression and accumulation. Environ. Exp. Bot. 2007, 60, 121–126. [Google Scholar] [CrossRef]
- Zhang, L.; Sun, S.; Liang, Y.; Li, B.; Ma, S.; Wang, Z.; Ma, B.; Li, M. Nitrogen levels regulate sugar metabolism and transport in the shoot tips of crabapple plants. Front. Plant Sci. 2021, 12, 626149. [Google Scholar] [CrossRef]
- Li, Y.; Lv, Y.; Lian, M.; Peng, F.; Xiao, Y. Effects of combined glycine and urea fertilizer application on the photosynthesis, sucrose metabolism, and fruit development of peach. Sci. Hortic. 2021, 289, 110504. [Google Scholar] [CrossRef]
- Coruzzi, G.M.; Zhou, L. Carbon and nitrogen sensing and signaling in plants: Emerging ‘matrix effects’. Curr. Opin. Plant Biol. 2001, 4, 247–253. [Google Scholar] [CrossRef]
- Krapp, A.; Traong, H.N. Regulation of C/N interaction in model plant species. J. Crop Improv. 2006, 15, 127–173. [Google Scholar] [CrossRef]
- Geng, G.; Yang, J. Sugar beet production and industry in China. Sugar Tech 2015, 17, 13–21. [Google Scholar] [CrossRef]
- Simões, W.L.; Yuri, J.E.; Guimarães, M.J.M.; Santos, J.D.; Araújo, E.F.J. Beet cultivation with saline effluent from fish farming. Rev. Bras. Eng. Agrícola Ambient. 2016, 20, 62–66. [Google Scholar] [CrossRef]
- Xing, X.; Dong, S.; Guo, M.; Wei, L.; Shi, S. Optimizing Nitrogen Application Enhances Sugar Beet (Beta vulgaris L.) Productivity by Modulating Carbon and Nitrogen Metabolism. Agronomy 2025, 15, 1142. [Google Scholar] [CrossRef]
- Su, J.; Zhou, H.; Wang, K.; Fan, H.; Hou, Z. Effects of nitrogen fertilizer management on dry matter accumulation and yield of drip-irrigated sugar beet in arid areas. Agronomy 2016, 14, 1010. [Google Scholar] [CrossRef]
- Li, J.; Li, W.; Xu, L.; Wang, M.; Zhou, Q.; Li, S.; Tan, W.; Wang, Q.; Xing, W.; Liu, D. Acclimation of sugar beet in morphological, physiological and BvAMT1. 2 expression under low and high nitrogen supply. PLoS ONE 2022, 17, e0278327. [Google Scholar] [CrossRef] [PubMed]
- Wang, K.; Huang, J. Principle and Technology of Plant Physiological and Biochemical Experiments; China Higher Education Publishing House: Beijing, China, 2015. [Google Scholar]
- Ignatova, L.K.; Novichkova, N.S.; Mudrik, V.A.; Lyubimov, V.U.; Ivanov, B.N.; Romanova, A.K. Growth, photosynthesis, and metabolism of sugar beet at an early stage of exposure to elevated CO2. Russ. J. Plant Physiol. 2005, 52, 158–164. [Google Scholar] [CrossRef]
- Mu, X.; Chen, Y. The physiological response of photosynthesis to nitrogen deficiency. Plant Physiol. Biochem. 2021, 158, 76–82. [Google Scholar] [CrossRef]
- Xiong, Q.; Tang, G.; Zhong, L.; He, H.; Chen, X. Response to nitrogen deficiency and compensation on physiological characteristics, yield formation, and nitrogen utilization of rice. Front. Plant Sci. 2018, 9, 1075. [Google Scholar] [CrossRef]
- Oner, F. Effects of nitrogen doses on stomatal characteristics, chlorophyll content, and agronomic traits in wheat (Triticum aestivum L.). PeerJ 2024, 212, e18792. [Google Scholar] [CrossRef] [PubMed]
- Jiang, L.; Dong, D.; Gan, X.; Wei, S. Photosynthetic efficiency and nitrogen distribution under different nitrogen management and relationship with physiological N-use efficiency in three rice genotypes. Plant Soil 2005, 271, 321–328. [Google Scholar] [CrossRef]
- Mostafa, H.H.A.; Li, B.; Zhu, X.; Song, C. Nitrogen assimilation under osmotic stress in maize (Zea mays L.) seedlings. Plant Growth Regul. 2021, 94, 87–99. [Google Scholar] [CrossRef]
- Gu, J. Optimizing irrigation and nitrogen regimes in rice plants can contribute to achieving sustainable rice productivity. Agronomy 2023, 13, 2495. [Google Scholar] [CrossRef]
- Wang, L.; Ruan, Y.L. Shoot-root carbon allocation, sugar signalling and their coupling with nitrogen uptake and assimilation. Funct. Plant Biol. 2015, 43, 105–113. [Google Scholar] [CrossRef] [PubMed]
- Hartmann, H.; Bahn, M.; Carbone, M.; Richardson, A.D. Plant carbon allocation in a changing world-challenges and progress. New Phytol. 2020, 227, 981–988. [Google Scholar] [CrossRef]
- Zhang, J.; He, N.; Liu, C.; Xu, L.; Chen, Z.; Li, Y.; Wang, R.; Yu, G.; Sun, W.; Xiao, C.; et al. Variation and evolution of C: N ratio among different organs enable plants to adapt to N-limited environments. Glob. Change Biol. 2020, 26, 2534–2543. [Google Scholar] [CrossRef]
- Cun, Z.; Li, X.; Zhang, J.Y.; Hong, J.; Gao, L.; Yang, J.; Ma, S.; Chen, J. Identification of candidate genes and residues for improving nitrogen use efficiency in the N-sensitive medicinal plant Panax notoginseng. BMC Plant Biol. 2024, 24, 105. [Google Scholar] [CrossRef]
- Matiolli, C.C.; Soares, R.C.; Alves, H.L.S.; Abreu, I.A. Turning the knobs: The impact of post-translational modifications on carbon metabolism. Front. Plant Sci. 2022, 12, 781508. [Google Scholar] [CrossRef]
- Mahboob, W.; Yang, G.; Irfan, M. Crop nitrogen (N) utilization mechanism and strategies to improve N use efficiency. Acta Physiol. Plant. 2023, 45, 52. [Google Scholar] [CrossRef]
- Havé, M.; Marmagne, A.; Chardon, F.; Masclaux-Daubresse, C.; Notes, A. Nitrogen remobilization during leaf senescence: Lessons from Arabidopsis to crops. J. Exp. Bot. 2017, 68, 2513–2529. [Google Scholar] [PubMed]
- Fortunato, S.; Nigro, D.; Lasorella, C.; Marcotuli, I.; Gadaleta, A.; Pinto, M.C. The role of glutamine synthetase (GS) and glutamate synthase (GOGAT) in the Improvement of nitrogen use efficiency in cereals. Biomolecules 2023, 13, 1771. [Google Scholar] [CrossRef] [PubMed]









Disclaimer/Publisher’s Note: The statements, opinions and data contained in all publications are solely those of the individual author(s) and contributor(s) and not of MDPI and/or the editor(s). MDPI and/or the editor(s) disclaim responsibility for any injury to people or property resulting from any ideas, methods, instructions or products referred to in the content. |
© 2025 by the authors. Licensee MDPI, Basel, Switzerland. This article is an open access article distributed under the terms and conditions of the Creative Commons Attribution (CC BY) license (https://creativecommons.org/licenses/by/4.0/).
Share and Cite
Chen, K.; Chu, M.; Bai, Q.; Xu, L.; Zhou, Y.; Li, X.; Wang, H.; Xing, W.; Liu, D. Optimized Sugar Beet Seedling Growth via Coordinated Photosynthate Allocation and N Assimilation Regulation. Agriculture 2025, 15, 1273. https://doi.org/10.3390/agriculture15121273
Chen K, Chu M, Bai Q, Xu L, Zhou Y, Li X, Wang H, Xing W, Liu D. Optimized Sugar Beet Seedling Growth via Coordinated Photosynthate Allocation and N Assimilation Regulation. Agriculture. 2025; 15(12):1273. https://doi.org/10.3390/agriculture15121273
Chicago/Turabian StyleChen, Kehua, Mingyue Chu, Qing Bai, Lingqing Xu, Yuanhang Zhou, Xiaodong Li, Hao Wang, Wang Xing, and Dali Liu. 2025. "Optimized Sugar Beet Seedling Growth via Coordinated Photosynthate Allocation and N Assimilation Regulation" Agriculture 15, no. 12: 1273. https://doi.org/10.3390/agriculture15121273
APA StyleChen, K., Chu, M., Bai, Q., Xu, L., Zhou, Y., Li, X., Wang, H., Xing, W., & Liu, D. (2025). Optimized Sugar Beet Seedling Growth via Coordinated Photosynthate Allocation and N Assimilation Regulation. Agriculture, 15(12), 1273. https://doi.org/10.3390/agriculture15121273

