Stable and Mobile (Water-Extractable) Forms of Organic Matter in High-Latitude Volcanic Soils Under Various Land Use Scenarios in Southeastern Iceland
Abstract
1. Introduction
2. Materials and Methods
2.1. Study Area
2.2. Field Sampling
2.3. Laboratory Analyses
2.4. Statistical Analyses
3. Results
3.1. Texture, Bulk Density, and pH
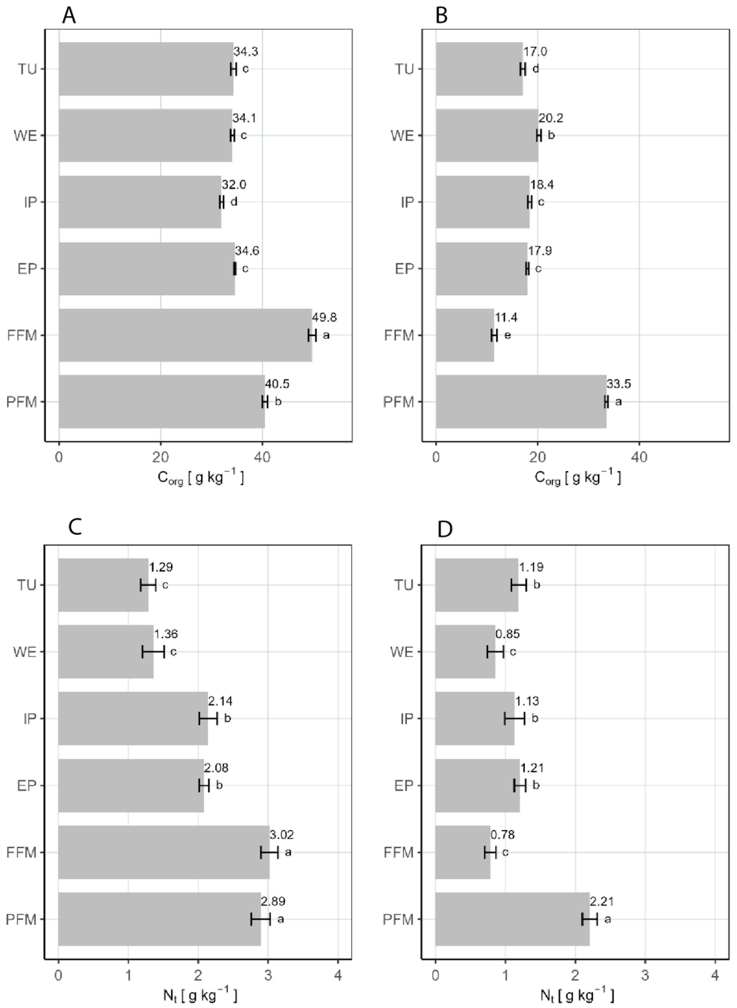
3.2. Organic Matter
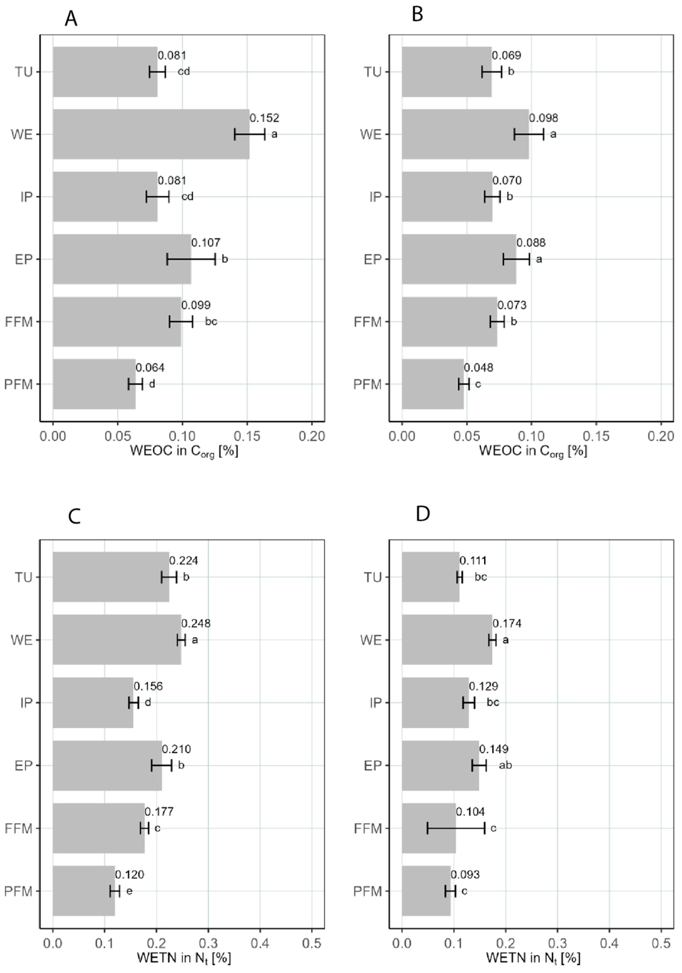
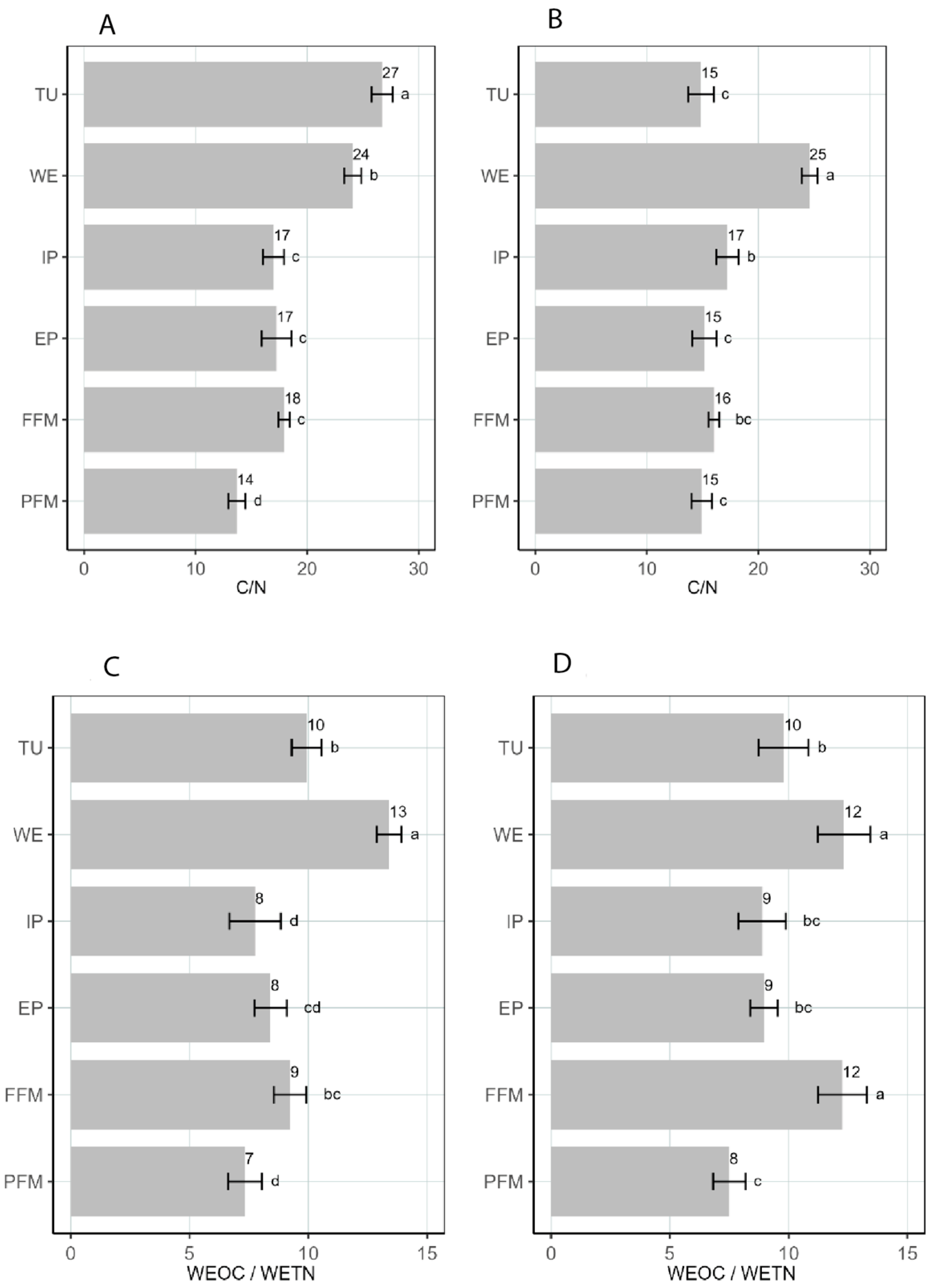
3.3. Water-Extractable Organic Matter
4. Discussion
5. Conclusions
Supplementary Materials
Author Contributions
Funding
Data Availability Statement
Acknowledgments
Conflicts of Interest
Abbreviations
| WEOM | Water-extractable organic matter |
| TU | Tundra |
| WE | Wetland |
| IP | Intensively grazed pastureland |
| EP | Extensively grazed pastureland |
| FFM | Formerly fertilized meadow |
| PFM | Presently fertilized meadow |
| WEOC | Water-extractable organic carbon |
| WETN | Water-extractable total nitrogen |
References
- Eswaran, H.; Van Den Berg, E.; Reich, P. Organic Carbon in Soils of the World. Soil Sci. Soc. Am. J. 1993, 57, 192–194. [Google Scholar] [CrossRef]
- Matus, F.; Rumpel, C.; Neculman, R.; Panichini, M.; Mora, M.L. Soil Carbon Storage and Stabilisation in Andic Soils: A Review. Catena 2014, 120, 102–110. [Google Scholar] [CrossRef]
- Dahlgren, R.A.; Saigusa, M.; Ugolini, F.C. The Nature, Properties and Management of Volcanic Soils. Adv. Agron. 2004, 82, 113–182. [Google Scholar] [CrossRef]
- Arnalds, O. Volcanic Soils of Iceland. Catena 2004, 56, 3–20. [Google Scholar] [CrossRef]
- Tonneijck, F.H.; Jansen, B.; Nierop, K.G.J.; Verstraten, J.M.; Sevink, J.; De Lange, L. Towards Understanding of Carbon Stocks and Stabilization in Volcanic Ash Soils in Natural Andean Ecosystems of Northern Ecuador. Eur. J. Soil Sci. 2010, 61, 392–405. [Google Scholar] [CrossRef]
- Herndon, E.M.; Mann, B.F.; Roy Chowdhury, T.; Yang, Z.; Wullschleger, S.D.; Graham, D.; Liang, L.; Gu, B. Pathways of Anaerobic Organic Matter Decomposition in Tundra Soils from Barrow, Alaska. J. Geophys. Res. G Biogeosci. 2015, 120, 2345–2359. [Google Scholar] [CrossRef]
- Shibata, H.; Petrone, K.C.; Hinzman, L.D.; Boone, R.D. Effect of Fire on Dissolved Organic Carbon and Inorganic Solutes in Spruce Forest in the Permafrost Region of Interior Alaska. Soil Sci. Plant Nutr. 2003, 49, 25–29. [Google Scholar] [CrossRef]
- Zhao, A.; Zhang, M.; He, Z. Spectroscopic Characteristics and Biodegradability of Cold and Hot Water-Extractable Soil Organic Matter under Different Land Uses in Subarctic Alaska. Commun. Soil Sci. Plant Anal. 2013, 44, 3030–3048. [Google Scholar] [CrossRef]
- Szymański, W. Quantity and Chemistry of Water-Extractable Organic Matter in Surface Horizons of Arctic Soils under Different Types of Tundra Vegetation—A Case Study from the Fuglebergsletta Coastal Plain (SW Spitsbergen). Geoderma 2017, 305, 30–39. [Google Scholar] [CrossRef]
- Lehtinen, T.; Gísladóttir, G.; Lair, G.J.; van Leeuwen, J.P.; Blum, W.E.H.; Bloem, J.; Steffens, M.; Ragnarsdóttir, K.V. Aggregation and Organic Matter in Subarctic Andosols under Different Grassland Management. Acta Agric. Scand. Sect. B Soil Plant Sci. 2015, 65, 246–263. [Google Scholar] [CrossRef]
- Van Leeuwen, J.P.; Lehtinen, T.; Lair, G.J.; Bloem, J.; Hemerik, L.; Ragnarsdóttir, K.V.; Gísladóttir, G.; Newton, J.S.; De Ruiter, P.C. An Ecosystem Approach to Assess Soil Quality in Organically and Conventionally Managed Farms in Iceland and Austria. Soil 2015, 1, 83–101. [Google Scholar] [CrossRef]
- van Leeuwen, J.P.; Lair, G.J.; Gísladóttir, G.; Sandén, T.; Bloem, J.; Hemerik, L.; de Ruiter, P.C. Soil Food Web Assembly and Vegetation Development in a Glacial Chronosequence in Iceland. Pedobiol. J. Soil Ecol. 2018, 70, 12–21. [Google Scholar] [CrossRef]
- Hunziker, M.; Arnalds, O.; Kuhn, N.J. Evaluating the Carbon Sequestration Potential of Volcanic Soils in Southern Iceland after Birch Afforestation. Soil 2019, 5, 223–238. [Google Scholar] [CrossRef]
- Marañón-Jiménez, S.; Peñuelas, J.; Richter, A.; Sigurdsson, B.D.; Fuchslueger, L.; Leblans, N.I.W.; Janssens, I.A. Coupled Carbon and Nitrogen Losses in Response to Seven Years of Chronic Warming in Subarctic Soils. Soil Biol. Biochem. 2019, 134, 152–161. [Google Scholar] [CrossRef]
- Poeplau, C.; Kätterer, T.; Leblans, N.I.W.; Sigurdsson, B.D. Sensitivity of Soil Carbon Fractions and Their Specific Stabilization Mechanisms to Extreme Soil Warming in a Subarctic Grassland. Glob. Change Biol. 2017, 23, 1316–1327. [Google Scholar] [CrossRef]
- Poeplau, C.; Sigurdsson, P.; Sigurdsson, B.D. Depletion of Soil Carbon and Aggregation after Strong Warming of a Subarctic Andosol under Forest and Grassland Cover. Soil 2020, 6, 115–129. [Google Scholar] [CrossRef]
- Zsolnay, Á. Dissolved Organic Matter: Artefacts, Definitions, and Functions. Geoderma 2003, 113, 187–209. [Google Scholar] [CrossRef]
- McDowell, W.H. Dissolved Organic Matter in Soils—Future Directions and Unanswered Questions. Geoderma 2003, 113, 179–186. [Google Scholar] [CrossRef]
- Kleber, M.; Eusterhues, K.; Keiluweit, M.; Mikutta, C.; Mikutta, R.; Nico, P.S. Mineral-Organic Associations: Formation, Properties, and Relevance in Soil Environments. Adv. Agron. 2015, 130, 1–140. [Google Scholar] [CrossRef]
- Guggenberger, G.; Kaiser, K. Dissolved Organic Matter in Soil: Challenging the Paradigm of Sorptive Preservation. Geoderma 2003, 113, 293–310. [Google Scholar] [CrossRef]
- Þórhallsdóttir, A.G.; Júlíusson, A.D.; Ögmundardóttir, H. The Sheep, the Market and the Soil: Environmental Destruction in the Icelandic Highlands 1880–1910. In Northscapes: History, Technology and the Making of Northern Environments; Jørgensen, D., Sorlin, S., Eds.; University of British Columbia Press: Vancouver, BC, Canada, 2013; pp. 153–173. [Google Scholar]
- Heslop, J.K.; Winkel, M.; Walter Anthony, K.M.; Spencer, R.G.M.; Podgorski, D.C.; Zito, P.; Kholodov, A.; Zhang, M.; Liebner, S. Increasing Organic Carbon Biolability with Depth in Yedoma Permafrost: Ramifications for Future Climate Change. J. Geophys. Res. Biogeosci. 2019, 124, 2021–2038. [Google Scholar] [CrossRef]
- Poeplau, C.; Dechow, R. The Legacy of One Hundred Years of Climate Change for Organic Carbon Stocks in Global Agricultural Topsoils. Sci. Rep. 2023, 13, 7483. [Google Scholar] [CrossRef] [PubMed]
- Gewin, V. Climate Change is a Boon to Tourism in Iceland—The Atlantic. Available online: https://www.theatlantic.com/science/archive/2017/03/we-all-scream-for-iceland-cream/520980/ (accessed on 23 March 2025).
- Bergh, S.G.; Sigvaldason, G.E. Pleistocene Mass-Flow Deposits of Basaltic Hyaloclastite on a Shallow Submarine Shelf, South Iceland. Bull. Volcanol. 1991, 53, 597–611. [Google Scholar] [CrossRef]
- Banik, T.J. Mechanisms of Magma Disaggregation on a Cooler Host: Volcanic, Plutonic, and Theoretical Considerations; Vanderbilt University: Nashville, TN, USA, 2008. [Google Scholar]
- Robinson, Z. The Geochemistry and Behaviour of Shallow Groundwater in an Icelandic Sandur, Skeidararsandur, SE Iceland. Ph.D. Thesis, Keele University, Newcastle, UK, 2003. [Google Scholar]
- Law, A.C.; Robinson, Z.; Szkornik, K.; Waller, R.I. Diatom Assemblages from Short-Lived Jökulhlaup-Formed Kettle Lakes in a Proglacial Outwash Plain, South-East Iceland. Geogr. Ann. Ser. A Phys. Geogr. 2020, 102, 162–181. [Google Scholar] [CrossRef]
- Aggarwal, A.; Young, K.L. Surface-Groundwater Exchange between a Wetland, Sandur, and Lava Field in Southeastern Iceland. Hydrol. Res. 2023, 54, 14–30. [Google Scholar] [CrossRef]
- Arnalds, O. The Soils of Iceland; Springer: Berlin/Heidelberg, Germany, 2015; Volume 91, ISBN 9789401796200. [Google Scholar]
- Vilmundardóttir, O.K.; Gísladóttir, G.; Lal, R. Early Stage Development of Selected Soil Properties along the Proglacial Moraines of Skaftafellsjökull Glacier, SE-Iceland. Catena 2014, 121, 142–150. [Google Scholar] [CrossRef]
- Dugmore, A.J. Geochemical Stability of Fine-Grained Silicic Holocene Tephra in Iceland and Scotland. J. Quat. Sci. 1992, 7, 173–183. [Google Scholar] [CrossRef]
- Einarsson, M.A. Climate of Iceland. In Climates of the Oceans, World Survey of Climatology; Van Loon, H., Ed.; Elsevier Science Publishers: Amsterdam, The Netherlands, 1984; Volume 15, pp. 673–697. [Google Scholar]
- Bjornsson, H.; Olason, E.O.; Jónsson, T.; Henriksen, S. Analysis of a Smooth Seasonal Cycle with Daily Resolution and Degree Day Maps for Iceland. Meteorol. Z. 2007, 16, 57–69. [Google Scholar] [CrossRef]
- Ottosson, J.; Sveinsdottir, A.; Hardardottir, M. Fjölrit Náttúrufræðistofnunar; Icelandic Institute of Natural History: Garðabær, Iceland, 2016; Volume 54. [Google Scholar]
- EEA EUNIS (the European Nature Information System) Database. Available online: http://eunis.eea.europa.eu/ (accessed on 4 February 2025).
- Mankasingh, U.; Gísladóttir, G. Early Indicators of Soil Formation in the Icelandic Sub-Arctic Highlands. Geoderma 2019, 337, 152–163. [Google Scholar] [CrossRef]
- Parfitt, R.L. Allophane in New Zealand—A Review. Aust. J. Soil Res. 1990, 28, 343–360. [Google Scholar] [CrossRef]
- Parfitt, R.L.; Childs, C.W. Estimation of Forms of Fe and Al: A Review, and Analysis of Contrasting Soils by Dissolution and Moessbauer Methods. Aust. J. Soil Res. 1988, 26, 121–144. [Google Scholar] [CrossRef]
- Tamm, O. Om Bestämning Av de Oorganiska Komponenterna i Markens Gelcomplex. Rep. Swed. Inst. Emeriment. For. 1922, 19, 385–404. [Google Scholar]
- Schwertmann, U. Use of Oxalate for Fe Extraction from Soils. Can. J. Soil Sci. 1973, 53, 244–246. [Google Scholar] [CrossRef]
- He, Z.; Zhang, M.; Zhao, A.; Olanya, O.M.; Larkin, R.P.; Honeycutt, C.W. Quantity and Nature of Water-Extractable Organic Matter from Sandy Loam Soils with Potato Cropping Management. Agric. Environ. Lett. 2016, 1, 160023. [Google Scholar] [CrossRef]
- Adamson, D.M.; Norton, U.; Norton, J.B.; Albeke, S.E.; Sebade, B.M.; van Diepen, L.T.A. Soil Carbon and Nitrogen Responses to Long-Term Flood Irrigation and Fertilization in High-Elevation Hay Meadows. Rangel. Ecol. Manag. 2025, 98, 283–292. [Google Scholar] [CrossRef]
- Helgadóttir, Á.; Frankow-Lindberg, B.E.; Seppänen, M.M.; Søegaard, K.; Østrem, L. European Grasslands Overview: Nordic Region. In EGF at 50: The Future of European Grassland, Proceedings of the 25th General Meeting of the European Grassland Federation, Aberystwyth, Wales, 7–11 September 2014; European Grassland Federation: Leeuwarden, The Netherlands, 2014; pp. 15–28. [Google Scholar]
- Thorhallsdottir, A.G.; Gudmundsson, J. Carbon Dioxide Fluxes and Soil Carbon Storage in Relation to Long-Term Grazing and No Grazing in Icelandic Semi-Natural Grasslands. Appl. Veg. Sci. 2023, 26, e12757. [Google Scholar] [CrossRef]
- Mayel, S.; Jarrah, M.; Kuka, K. How Does Grassland Management Affect Physical and Biochemical Properties of Temperate Grassland Soils? A Review Study. Grass Forage Sci. 2021, 76, 215–244. [Google Scholar] [CrossRef]
- Li, W.; Sun, Q.; Zhang, S.; Hu, X.; Asiya, M.; Xiong, J.; Wang, M.; Wang, X.; Long, R.; Jin, G. Trampling and Dung and Urine Addition of Livestock Increase the Soil Organic Carbon in Mountain Meadows by Augmenting the Organic Carbon in Different Aggregates. Agronomy 2025, 15, 843. [Google Scholar] [CrossRef]
- Paré, M.C.; Bedard-Haughn, A. Soil Organic Matter Quality Influences Mineralization and GHG Emissions in Cryosols: A Field-Based Study of Sub- to High Arctic. Glob. Change Biol. 2013, 19, 1126–1140. [Google Scholar] [CrossRef]
- Chantigny, M.H. Dissolved and Water-Extractable Organic Matter in Soils: A Review on the Influence of Land Use and Management Practices. Geoderma 2003, 113, 357–380. [Google Scholar] [CrossRef]
- Hallsdóttir, B.S.; Wöll, C.; Guðmundsson, J.; Snorrason, A.; Þórsson, J. Emissions of Greenhouse Gases in Iceland from 1990 to 2010; National Inventory Report 2012; Environment Agency of Iceland: Reykjavik, Iceland, 2012.
- Kalbitz, K.; Popp, P.; Geyer, W.; Hanschmann, G. β-HCH Mobilization in Polluted Wetland Soils as Influenced by Dissolved Organic Matter. Sci. Total Environ. 1997, 204, 37–48. [Google Scholar] [CrossRef]
- Ju, W.; Ma, D.; Chen, M.; Sardans, J.; Zhu, B.; Liu, J.; Chen, J.; Peñuelas, J.; Liu, X. Soil-Derived Dissolved Organic Matter in Inland Wetlands along A Temperate River: Insights from Spectroscopic Characteristics Coupled with Machine Learning Methods. Water Res. X 2025, 29, 100339. [Google Scholar] [CrossRef]
- Kurek, M.R.; Wickland, K.P.; Nichols, N.A.; McKenna, A.M.; Anderson, S.M.; Dornblaser, M.M.; Koupaei-Abyazani, N.; Poulin, B.A.; Bansal, S.; Fellman, J.B.; et al. Linking Dissolved Organic Matter Composition to Landscape Properties in Wetlands Across the United States of America. Glob. Biogeochem. Cycles 2024, 38, 7917. [Google Scholar] [CrossRef]
- Saputra, D.D.; Sari, R.R.; Hairiah, K.; Widianto; Suprayogo, D.; van Noordwijk, M. Recovery after Volcanic Ash Deposition: Vegetation Effects on Soil Organic Carbon, Soil Structure and Infiltration Rates. Plant Soil 2022, 474, 163–179. [Google Scholar] [CrossRef]
- Saputra, D.D.; Sari, R.R.; Sari, I.N.; Suprayogo, D.; van Noordwijk, M. Water Repellency by Volcanic Ash Interacting with Organic Matter: Incubation Response and Effect on Infiltration. Geoderma 2023, 436, 116535. [Google Scholar] [CrossRef]
- Curtin, D.; Wright, C.E.; Beare, M.H.; McCallum, F.M. Hot Water-Extractable Nitrogen as an Indicator of Soil Nitrogen Availability. Soil Sci. Soc. Am. J. 2006, 70, 1512–1521. [Google Scholar] [CrossRef]
- Sharifi, M.; Zebarth, B.J.; Burton, D.L.; Rodd, V.; Grant, C.A. Long-Term Effects of Semisolid Beef Manure Application to Forage Grass on Soil Mineralizable Nitrogen. Soil Sci. Soc. Am. J. 2011, 75, 649–658. [Google Scholar] [CrossRef]
- García-Palacios, P.; Crowther, T.W.; Dacal, M.; Hartley, I.P.; Reinsch, S.; Rinnan, R.; Rousk, J.; van den Hoogen, J.; Ye, J.S.; Bradford, M.A. Evidence for Large Microbial-Mediated Losses of Soil Carbon under Anthropogenic Warming. Nat. Rev. Earth Environ. 2021, 2, 507–517. [Google Scholar] [CrossRef]
- Björnsson, H.; Pálsson, F. Icelandic Glaciers. Jökull 2008, 58, 365–386. [Google Scholar] [CrossRef]






| Site Name | Symbol | Vegetation—Dominant Species | Landform | Altitude (m a.s.l.) | Soil Classification (WRB, 2022) |
|---|---|---|---|---|---|
| Semi-natural habitats | |||||
| Tundra | TU | bog bilberry (Vaccinium uliginosum L.) heather (Calluna vulgaris L.) moss (Racomitrium lanuginosum) three-leaved rush (Oreojuncus trifidus L.) wavy hair-grass (Deschampsia flexuosa L.) | Moderately steep (15–30% slope) | 145–260 | Skeletic Andosol |
| Wetland | WE | Arctic rush (Juncus arcticus ssp. arcticus Willd.) common sedge (Carex nigra L.) moss (Racomitrium lanuginosum) moss (Sphagnum teres) moss (Rhytidiadelphus triquetrus) narrow small-reed (Calamagrostis stricta Timm.) three-flowered rush (Juncus triglumis L.) | River valley, flat (0.5–1% slope) | 42–48 | Gleyic Andosol |
| Human-managed sites | |||||
| Intensively grazed pastureland | IP | common bent (Agrostis capillaris L.) moss (Rhytidiadelphus triquetrus) rough meadow-grass (Poa trivialis L.) smooth meadow-grass (Poa pratensis L.) | Plain, flat (0.5–1% slope) | 29–38 | Cambisol/Andosol |
| Extensively grazed pastureland | EP | alpine cat’s-tail (Phleum alpinum L.) common bent (Agrostis capillaris L.) moss (Rhytidiadelphus triquetrus) moss (Sanionia uncinata) smooth meadow-grass (Poa pratensis L.) | Plain, flat (0.5–1% slope) | 40–44 | Andosol |
| Formerly fertilized meadow | FFM | annual meadow-grass (Poa annua L.) common bent (Agrostis capillaris L.) smooth meadow-grass (Poa pratensis L.) timothy (Phleum pratense L.) | Medium steep (5–10% slope) | 38–69 | Andosol |
| Presently fertilized meadow | PFM | common bent (Agrostis capillaris L.) moss (Sanionia uncinata) smooth meadow-grass (Poa pratensis L.) timothy (Phleum pretense L.) | Plateau, flat (0.2–0.5% slope) | 110–139 | Andosol (Drainic) |
Disclaimer/Publisher’s Note: The statements, opinions and data contained in all publications are solely those of the individual author(s) and contributor(s) and not of MDPI and/or the editor(s). MDPI and/or the editor(s) disclaim responsibility for any injury to people or property resulting from any ideas, methods, instructions or products referred to in the content. |
© 2025 by the authors. Licensee MDPI, Basel, Switzerland. This article is an open access article distributed under the terms and conditions of the Creative Commons Attribution (CC BY) license (https://creativecommons.org/licenses/by/4.0/).
Share and Cite
Kot, A.; Norton, U.; Kulczycki, G.; Guðmundsson, J.; Medyńska-Juraszek, A.; Mattilio, C.M.; Jędrzejewski, S.; Waroszewski, J. Stable and Mobile (Water-Extractable) Forms of Organic Matter in High-Latitude Volcanic Soils Under Various Land Use Scenarios in Southeastern Iceland. Agriculture 2025, 15, 1255. https://doi.org/10.3390/agriculture15121255
Kot A, Norton U, Kulczycki G, Guðmundsson J, Medyńska-Juraszek A, Mattilio CM, Jędrzejewski S, Waroszewski J. Stable and Mobile (Water-Extractable) Forms of Organic Matter in High-Latitude Volcanic Soils Under Various Land Use Scenarios in Southeastern Iceland. Agriculture. 2025; 15(12):1255. https://doi.org/10.3390/agriculture15121255
Chicago/Turabian StyleKot, Aleksandra, Urszula Norton, Grzegorz Kulczycki, Jón Guðmundsson, Agnieszka Medyńska-Juraszek, Chloe M. Mattilio, Szymon Jędrzejewski, and Jarosław Waroszewski. 2025. "Stable and Mobile (Water-Extractable) Forms of Organic Matter in High-Latitude Volcanic Soils Under Various Land Use Scenarios in Southeastern Iceland" Agriculture 15, no. 12: 1255. https://doi.org/10.3390/agriculture15121255
APA StyleKot, A., Norton, U., Kulczycki, G., Guðmundsson, J., Medyńska-Juraszek, A., Mattilio, C. M., Jędrzejewski, S., & Waroszewski, J. (2025). Stable and Mobile (Water-Extractable) Forms of Organic Matter in High-Latitude Volcanic Soils Under Various Land Use Scenarios in Southeastern Iceland. Agriculture, 15(12), 1255. https://doi.org/10.3390/agriculture15121255

