Increasing Planting Density with Reduced Topdressing Nitrogen Inputs Increased Nitrogen Use Efficiency and Improved Grain Quality While Maintaining Yields in Weak-Gluten Wheat
Abstract
1. Introduction
2. Materials and Methods
2.1. Experimental Design
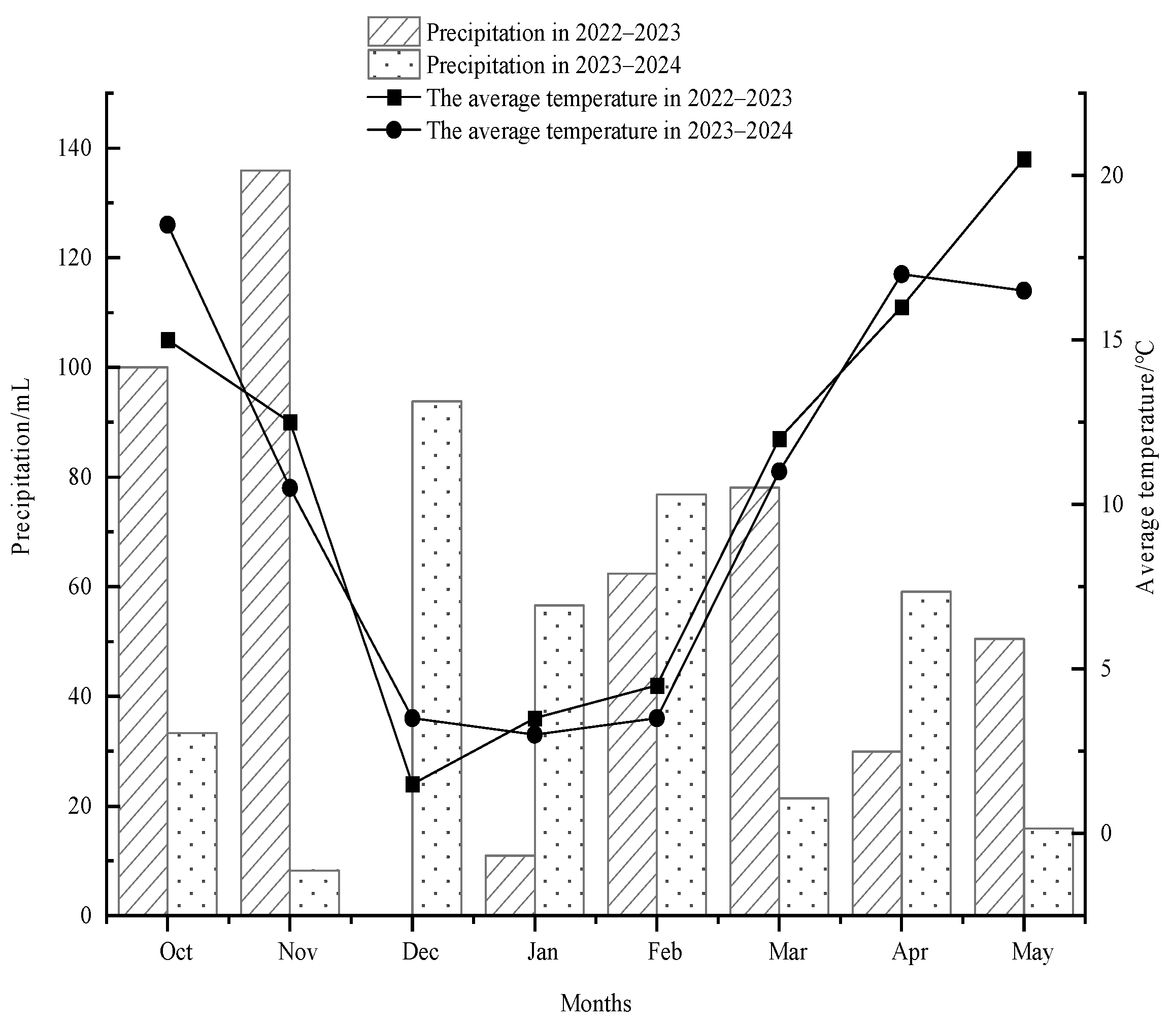
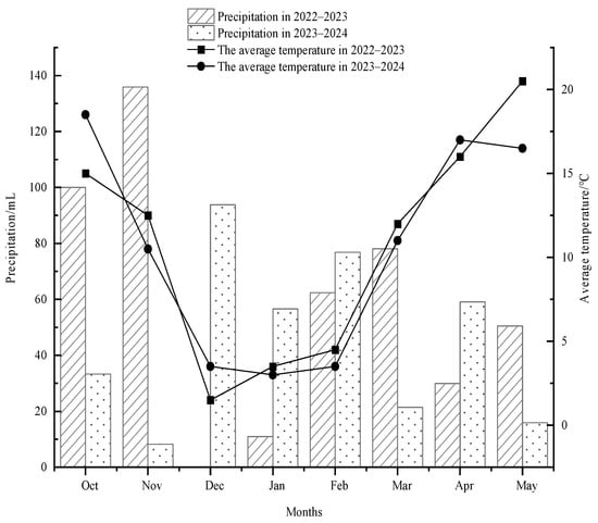
2.2. Overview of the Test Site
2.3. Determination of Leaf Area Index
2.4. Determination of Relative SPAD Content in Flag Leaves
2.5. Determination of Dry Matter Accumulation and Calculation of Related Parameters
2.6. Determination and Calculation of Nitrogen Accumulation
2.7. Determination of Population Dynamics, Yield and Yield Components in Wheat
2.8. Measurement of Quality Traits
2.9. Data Processing
3. Results
3.1. Effect of Nitrogen Supplementation and Density on Wheat Stem Tiller Dynamics
3.2. Effect of Nitrogen Supplementation and Density on the LAI of Wheat
3.3. Effect of Nitrogen Supplementation and Density on Chlorophyll Content (SPAD Value) of Wheat
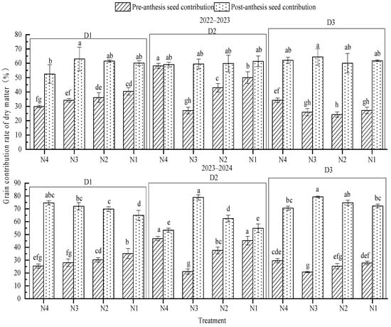
3.4. Effect of Nitrogen Supplementation and Density on Dry Matter Translocation and Accumulation in Wheat
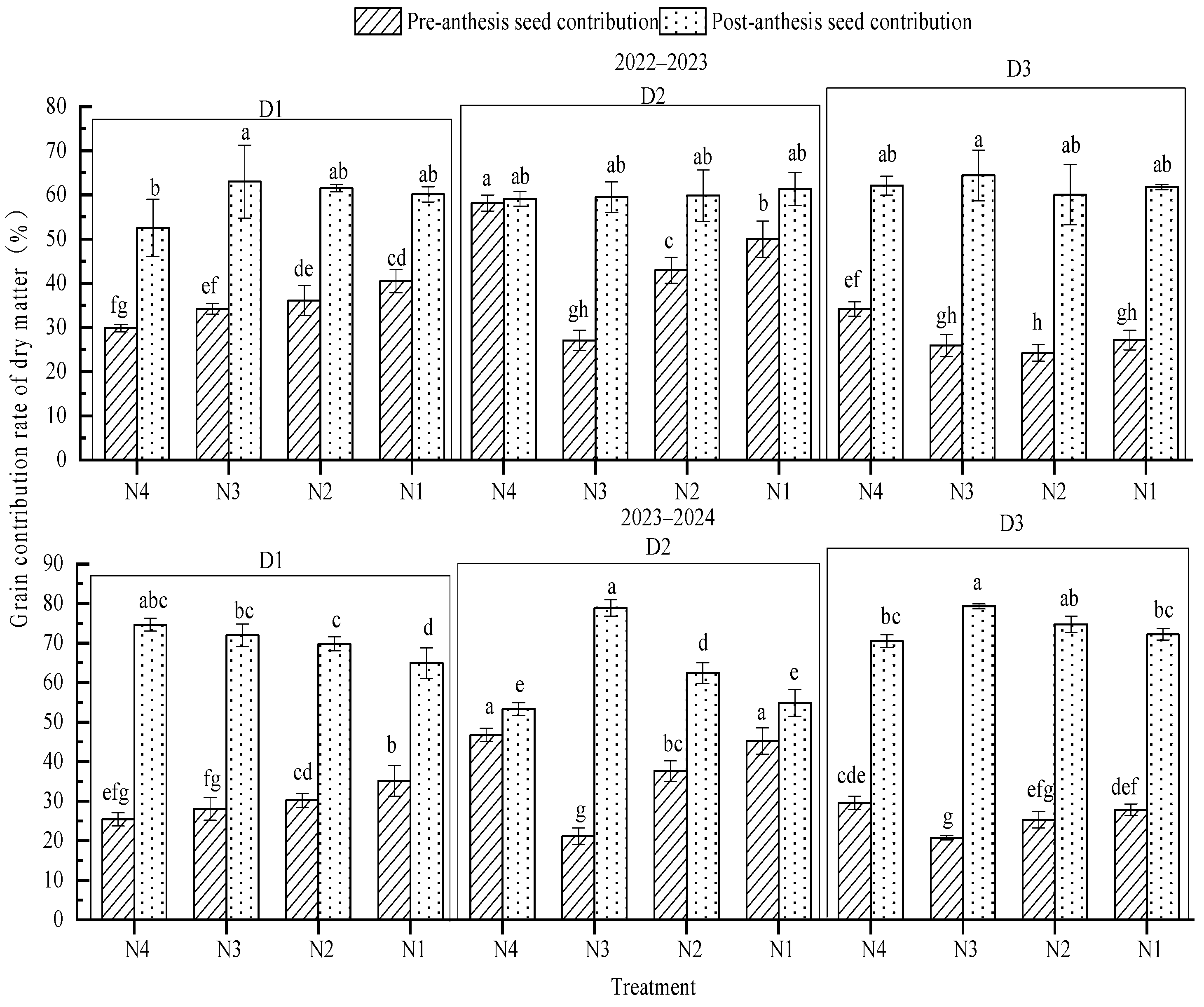
3.5. Effects of Nitrogen Topdressing Amount and Density on Dry Matter Distribution of Wheat at Maturity Stage
3.6. Effects of Nitrogen Topdressing Amount and Density on Wheat Yield and Yield Components
3.7. Effects of Nitrogen Supplementation and Planting Density on Nitrogen Accumulation in the Nutrient Organs and Grains at the Flowering and Maturity Stages of Wheat
3.8. Effects of Nitrogen Topdressing and Planting Density on the Efficiency of Nitrogen Fertilizer Utilization
3.9. Effect of Nitrogen Supplementation and Density on Protein, Wet Gluten and Sedimentation Value of Wheat Kernels
3.10. Correlation Analysis
4. Discussion
5. Conclusions
Author Contributions
Funding
Institutional Review Board Statement
Data Availability Statement
Acknowledgments
Conflicts of Interest
References
- Lu, Y.; Jenkins, A.; Ferrier, R.C.; Bailey, M.; Gordon, I.J.; Song, S.; Huang, J.; Jia, S.; Zhang, F.; Liu, X. Addressing China’s grand challenge of achieving food security while ensuring environmental sustainability. Sci. Adv. 2015, 1, e1400039. [Google Scholar] [CrossRef] [PubMed]
- Ashraf, M. Stress-induced changes in wheat grain composition and quality. Crit. Rev. Food Sci. Nutr. 2014, 54, 1576–1583. [Google Scholar] [CrossRef] [PubMed]
- De Santis, M.A.; Giuliani, M.M.; Flagella, Z.; Reyneri, A.; Blandino, M. Impact of nitrogen fertilisation strategies on the protein content, gluten composition and rheological properties of wheat for biscuit production. Field Crops Res. 2020, 254, 107829. [Google Scholar] [CrossRef]
- Ghafoor, I.; Habib-ur-Rahman, M.; Ali, M.; Afzal, M.; Ahmed, W.; Gaiser, T.; Ghaffar, A. Slow-release nitrogen fertilizers enhance growth, yield, NUE in wheat crop and reduce nitrogen losses under an arid environment. Environ. Sci. Pollut. Res. 2021, 28, 43528–43543. [Google Scholar] [CrossRef]
- Si, Z.; Qin, A.; Liang, Y.; Duan, A.; Gao, Y. A review on regulation of irrigation management on wheat physiology, grain yield, and quality. Plants 2023, 12, 692. [Google Scholar] [CrossRef]
- Wan, C.; Dang, P.; Gao, L.; Wang, J.; Tao, J.; Qin, X.; Feng, B.; Gao, J. How does the environment affect wheat yield and protein content response to drought? A meta-analysis. Front. Plant Sci. 2022, 13, 896985. [Google Scholar] [CrossRef]
- Wang, J.; Hussain, S.; Sun, X.; Zhang, P.; Javed, T.; Dessoky, E.S.; Ren, X.; Chen, X. Effects of nitrogen application rate under straw incorporation on photosynthesis, productivity and nitrogen use efficiency in winter wheat. Front. Plant Sci. 2022, 13, 862088. [Google Scholar] [CrossRef]
- Wardlaw, I.; Sofield, I.; Cartwright, P. Factors limiting the rate of dry matter accumulation in the grain of wheat grown at high temperature. Funct. Plant Biol. 1980, 7, 387–400. [Google Scholar] [CrossRef]
- Gültekin Subaşı, B.; Vahapoğlu, B.; Capanoglu, E.; Mohammadifar, M. A review on protein extracts from sunflower cake: Techno-functional properties and promising modification methods. J. Cereal Sci. 2022, 62, 6682–6697. [Google Scholar] [CrossRef]
- Huang, X.; Wang, C.; Hou, J.; Du, C.; Liu, S.; Kang, J.; Lu, H.; Xie, Y.; Guo, T.; Ma, D. Coordination of carbon and nitrogen accumulation and translocation of winter wheat plant to improve grain yield and processing quality. Sci. Rep. 2020, 10, 10340. [Google Scholar] [CrossRef]
- Kant, S.; Bi, Y.M.; Rothstein, S.J. Understanding plant response to nitrogen limitation for the improvement of crop nitrogen use efficiency. J. Exp. Bot. 2011, 62, 1499–1509. [Google Scholar] [CrossRef] [PubMed]
- Koua, A.P.; Siddiqui, M.N.; Heß, K.; Klag, N.; Kambona, C.M.; Duarte-Delgado, D.; Oyiga, B.C.; Léon, J.; Ballvora, A. Genome-wide dissection and haplotype analysis identified candidate loci for nitrogen use efficiency under drought conditions in winter wheat. Plant Genome 2024, 17, e20394. [Google Scholar] [CrossRef] [PubMed]
- Li, X.X.; Shi, Z.L.; Wang, J.-C.; Wang, F.; Jiang, R.F. Economical nitrogen application rate of winter wheat under rice-wheat rotation in the Yangtze River basin of China. J. Appl. Ecol. 2020, 31, 3015–3022. [Google Scholar]
- Li, Y.; Cui, Z.; Ni, Y.; Zheng, M.; Yang, D.; Jin, M.; Chen, J.; Wang, Z.; Yin, Y. Plant density effect on grain number and weight of two winter wheat cultivars at different spikelet and grain positions. PLoS ONE 2016, 11, e0155351. [Google Scholar] [CrossRef]
- Liu, Q.; Wu, K.; Song, W.; Zhong, N.; Wu, Y.; Fu, X. Improving crop nitrogen use efficiency toward sustainable green revolution. Annu. Rev. Plant Biol. 2022, 73, 523–551. [Google Scholar] [CrossRef]
- Conant, R.T.; Berdanier, A.B.; Grace, P.R. Patterns and trends in nitrogen use and nitrogen recovery efficiency in world agriculture. Glob. Biogeochem. Cycles 2013, 27, 558–566. [Google Scholar] [CrossRef]
- Hawkesford, M.J. Reducing the reliance on nitrogen fertilizer for wheat production. J. Cereal Sci. 2014, 59, 276–283. [Google Scholar] [CrossRef]
- Zhang, Z.; Yu, Z.; Zhang, Y.; Shi, Y. Optimized nitrogen fertilizer application strategies under supplementary irrigation improved winter wheat (Triticum aestivum L.) yield and grain protein yield. PeerJ 2021, 9, e11467. [Google Scholar] [CrossRef]
- Arduini, I.; Masoni, A.; Ercoli, L.; Mariotti, M. Grain yield, and dry matter and nitrogen accumulation and remobilization in durum wheat as affected by variety and seeding rate. Eur. J. Agron. 2006, 25, 309–318. [Google Scholar] [CrossRef]
- Rogers, C.W.; Dari, B.; Schroeder, K.L. Comparison of Soil-Test Extractants for Potassium, Calcium, Magnesium, Sulfur, and Micronutrients in Idaho Soils. Agrosystems Geosci. Environ. 2019, 2, 1–9. [Google Scholar] [CrossRef]
- Wang, H.; Guo, Z.; Shi, Y.; Zhang, Y.; Yu, Z. Impact of tillage practices on nitrogen accumulation and translocation in wheat and soil nitrate-nitrogen leaching in drylands. Soil Till. Res. 2015, 153, 20–27. [Google Scholar] [CrossRef]
- Hu, C.; Tian, Z.; Gu, S.; Guo, H.; Fan, Y.; Abid, M.; Chen, K.; Jiang, D.; Cao, W.; Dai, T. Winter and spring night-warming improve root extension and soil nitrogen supply to increase nitrogen uptake and utilization of winter wheat (Triticum aestivum L.). Eur. J. Agron. 2018, 96, 96–107. [Google Scholar] [CrossRef]
- Kaur, R.; Kaur, H.; Srivastava, P. Role of tryptophan content in determining gluten quality and wheat grain characteristics. Heliyon 2022, 8, e10715. [Google Scholar] [CrossRef]
- Noor, H.; Noor, F.; Liang, L.T.; Ding, P.; Sun, M.; Gao, Z. Nitrogen fertilization and precipitation affected Wheat (Triticum aestivum L.) in dryland the Loess Plateau of South Shanxi, China. Heliyon 2023, 9, e18177. [Google Scholar] [CrossRef]
- Kubar, M.S.; Alshallash, K.S.; Asghar, M.A.; Feng, M.; Raza, A.; Wang, C.; Saleem, K.; Ullah, A.; Yang, W.; Kubar, K. Improving winter wheat photosynthesis, nitrogen use efficiency, and yield by optimizing nitrogen fertilization. Life 2022, 12, 1478. [Google Scholar] [CrossRef]
- Kubar, M.S.; Zhang, Q.; Feng, M.; Wang, C.; Yang, W.; Kubar, K.A.; Riaz, S.; Gul, H.; Samoon, H.A.; Sun, H. Growth, yield and photosynthetic performance of winter wheat as affected by co-application of nitrogen fertilizer and organic manures. Life 2022, 12, 1000. [Google Scholar] [CrossRef]
- Ma, C.; Liu, M.; Ding, F.; Li, C.; Cui, Y.; Chen, W.; Wang, Y. Wheat growth monitoring and yield estimation based on remote sensing data assimilation into the SAFY crop growth model. Sci. Rep. 2022, 12, 5473. [Google Scholar] [CrossRef]
- Ghafoor, I.; Rahman, M.H.U.; Hasnain, M.U.; Ikram, R.M.; Khan, M.A.; Iqbal, R.; Hussain, M.I.; Sabagh, A.E. Effect of slow-release nitrogenous fertilizers on dry matter accumulation, grain nutritional quality, water productivity and wheat yield under an arid environment. Sci. Rep. 2022, 12, 14783. [Google Scholar] [CrossRef]
- Chen, W.; Deng, X.-P.; Eneji, A.E.; Wang, L.L.; Xu, Y.; Cheng, Y. Dry-matter partitioning across parts of the wheat internode during the grain filling period as influenced by fertilizer and tillage treatments. Commun. Soil Sci. Plant Anal. 2014, 45, 1799–1812. [Google Scholar] [CrossRef]
- Li, J.; Wang, Z.; Song, Y.; Li, J.; Zhang, Y. Effects of reducing nitrogen application rate under different irrigation methods on grain yield, water and nitrogen utilization in winter wheat. Agronomy 2022, 12, 1835. [Google Scholar] [CrossRef]
- Zheng, B.; Zhang, X.; Wang, Q.; Li, W.; Huang, M.; Zhou, Q.; Cai, J.; Wang, X.; Cao, W.; Dai, T. Increasing plant density improves grain yield, protein quality and nitrogen agronomic efficiency of soft wheat cultivars with reduced nitrogen rate. Field Crops Res. 2021, 267, 108145. [Google Scholar] [CrossRef]
- Yang, D.; Cai, T.; Luo, Y.; Wang, Z. Optimizing plant density and nitrogen application to manipulate tiller growth and increase grain yield and nitrogen-use efficiency in winter wheat. PeerJ 2019, 7, e6484. [Google Scholar] [CrossRef] [PubMed]
- Li, J.; Xu, X.; Lin, G.; Wang, Y.; Liu, Y.; Zhang, M.; Zhou, J.; Wang, Z.; Zhang, Y. Micro-irrigation improves grain yield and resource use efficiency by co-locating the roots and N-fertilizer distribution of winter wheat in the North China Plain. Sci. Total Environ. 2018, 643, 367–377. [Google Scholar] [CrossRef] [PubMed]
- Ding, Y.G.; Zhang, X.B.; Quan, M.; Li, F.J.; Tao, R.-R.; Min, Z.; Li, C.Y.; Zhu, X.K.; Guo, W.S.; Ding, J.F. Tiller fertility is critical for improving grain yield, photosynthesis, and nitrogen efficiency in wheat. J. Integr. Agric. 2023, 22, 2054–2066. [Google Scholar] [CrossRef]
- Fuertes-Mendizábal, T.; Estavillo, J.M.; Duñabeitia, M.K.; Huérfano, X.; Castellón, A.; González-Murua, C.; Aizpurua, A.; González-Moro, M.B. 15N natural abundance evidences a better use of N sources by late nitrogen application in bread wheat. Front. Plant Sci. 2018, 9, 853. [Google Scholar] [CrossRef]
- Demotes-Mainard, S.; Jeuffroy, M.H. Effects of nitrogen and radiation on dry matter and nitrogen accumulation in the spike of winter wheat. Field Crops Res. 2004, 87, 221–233. [Google Scholar] [CrossRef]
- Ullah, I.; Ali, N.; Durrani, S.; Shabaz, M.A.; Hafeez, A.; Ameer, H.; Ishfaq, M.; Fayyaz, M.R.; Rehman, A.; Waheed, A. Effect of different nitrogen levels on growth, yield and yield contributing attributes of wheat. Int. J. Sci. Eng. Res. 2018, 9, 595–602. [Google Scholar]
- Wu, H.; Wang, Z.; Zhang, X.; Wang, J.; Hu, W.; Wang, H.; Gao, D.; Souza, E.; Cheng, S. Effects of different fertilizer treatments, environment and varieties on the yield, grain, flour, and dough-related traits and cookie quality of weak-gluten wheat. Plants 2022, 11, 3370. [Google Scholar] [CrossRef]








| Year | Organic Matter (g·kg−1) | Available Nitrogen (mg·kg−1) | Available Phosphorus (mg·kg−1) | Available Potassium (mg·kg−1) |
|---|---|---|---|---|
| 2022–2023 | 16.65 | 72.75 | 17.45 | 96.05 |
| 2023–2024 | 17.68 | 75.87 | 16.81 | 111.65 |
| Year | Density | Nitrogen Topdressing | Tillers Number (×104 ha−1) | Panicle Bearing Tiller Rate | |||
|---|---|---|---|---|---|---|---|
| Wintering Period | Jointing Stage | Heading Stage | Mature Stage | ||||
| 2022–2023 | D1 | N4 | 424.00 ± 18.18 bc | 1600.00 ± 29.93 d | 612.00 ± 23.55 cd | 522.67 ± 13.20 f | 32.66 ± 0.22 def |
| N3 | 416.00 ± 14.97 c | 1633.33 ± 41.35 d | 577.33 ± 13.20 cd | 518.67 ± 26.40 fg | 31.74 ± 0.90 ef | ||
| N2 | 430.67 ± 14.73 bc | 1636.00 ± 24.66 d | 572.00 ± 40.92 d | 516.00 ± 21.42 fg | 31.53 ± 0.86 ef | ||
| N1 | 425.33 ± 16.76 bc | 1606.67 ± 54.78 d | 558.67 ± 12.36 d | 496.00 ± 40.92 fg | 30.83 ± 1.71 f | ||
| D2 | N4 | 470.67 ± 9.98 bc | 1778.67 ± 57.35 b | 641.33 ± 28.53 bc | 600.00 ± 14.24 ef | 33.74 ± 0.43 bcd | |
| N3 | 510.67 ± 27.19 b | 1665.33 ± 29.45 cd | 616.00 ± 27.9 cd | 569.33 ± 16.76 def | 34.18 ± 0.46 bcd | ||
| N2 | 494.67 ± 21.25 bc | 1664.00 ± 22.86 cd | 596.00 ± 57.78 cd | 556.00 ± 17.28 cde | 33.41 ± 0.63 cde | ||
| N1 | 480.00 ± 40.13 bc | 1670.67 ± 70.07 cd | 594.67 ± 25.37 cd | 553.33 ± 14.73 bcd | 33.17 ± 1.55 cde | ||
| D3 | N4 | 632.00 ± 34.10 a | 1886.67 ± 29.63 a | 736.00 ± 36.37 a | 657.33 ± 23.17 bc | 34.83 ± 0.70 abc | |
| N3 | 626.67 ± 13.60 a | 1718.67 ± 16.11 bc | 682.67 ± 18.86 ab | 628.00 ± 8.64 ab | 36.54 ± 0.47 a | ||
| N2 | 632.00 ± 34.10 a | 1720.00 ± 16.33 bc | 638.67 ± 24.07 bc | 622.67 ± 26.40 ab | 36.20 ± 1.44 a | ||
| N1 | 652.00 ± 20.40 a | 1678.67 ± 24.94 cd | 621.33 ± 38.96 bcd | 598.67 ± 9.43 a | 35.66 ± 0.18 ab | ||
| D | 153.55 ** | 22.35 ** | 16.69 ** | 57.65 ** | 39.057 ** | ||
| F Value | N | 0.24 | 7.97 ** | 6.08 ** | 4.50 * | 1.00 | |
| D × N | 0.64 | 3.68 * | 0.61 | 0.4 | 1.01 | ||
| 2023–2024 | D1 | N4 | 466.67 ± 12.36 d | 1612.00 ± 37.09 bcd | 694.67 ± 32.71 d | 521.33 ± 9.98 cdef | 32.35 ± 0.33 def |
| N3 | 445.33 ± 16.44 d | 1556.00 ± 20.40 d | 677.33 ± 34.92 d | 497.33 ± 14.73 ef | 31.96 ± 0.68 ef | ||
| N2 | 462.67 ± 13.20 d | 1557.33 ± 23.17 d | 525.33 ± 36.12 e | 482.67 ± 21.75 fg | 30.98 ± 1.12 fg | ||
| N1 | 430.67 ± 34.31 d | 1540.00 ± 47.10 d | 521.33 ± 21.00 e | 452.00 ± 20.40 g | 29.34 ± 0.72 h | ||
| D2 | N4 | 546.67 ± 17.99 bc | 1652.00 ± 43.20 abc | 845.33 ± 87.72 bc | 557.33 ± 19.14 bc | 33.73 ± 0.46 bcd | |
| N3 | 521.33 ± 18.57 c | 1588.00 ± 43.20 cd | 753.33 ± 55.55 cd | 541.33 ± 16.76 bcd | 34.09 ± 0.17 abc | ||
| N2 | 550.67 ± 11.47 bc | 1666.67 ± 35.83 ab | 724.00 ± 36.81 d | 521.33 ± 27.39 cdef | 31.26 ± 0.97 efg | ||
| N1 | 548.00 ± 25.51 bc | 1714.67 ± 55.55 a | 697.33 ± 49.46 d | 514.67 ± 21.00 def | 30.01 ± 0.44 gh | ||
| D3 | N4 | 574.67 ± 22.23 ab | 1728.00 ± 14.97 a | 964.00 ± 75.33 a | 602.67 ± 13.20 a | 34.88 ± 0.65 ab | |
| N3 | 602.67 ± 9.98 a | 1594.67 ± 24.07 bcd | 940.00 ± 5.66 ab | 569.33 ± 19.14 ab | 35.69 ± 0.72 a | ||
| N2 | 613.33 ± 13.20 a | 1660.00 ± 16.33 abc | 901.33 ± 75.64 ab | 545.33 ± 26.4 bcd | 32.85 ± 1.5 cde | ||
| N1 | 596.00 ± 17.28 a | 1672.00 ± 43.20 ab | 885.33 ± 48.92 ab | 536.00 ± 18.18 bcde | 32.05 ± 0.54 ef | ||
| D | 117.32 ** | 16.67 ** | 76.63 ** | 27.66 ** | 23.94 ** | ||
| F Value | N | 1.22 | 5.50 ** | 8.92 ** | 9.62 ** | 26.04 ** | |
| D × N | 1.37 | 2.05 | 0.95 | 0.29 | 0.75 | ||
| Year | Density | Nitrogen Topdressing | Jointing Stage | Booting Stage | Heading Stage | Anthesis Stage | Filling Stage |
|---|---|---|---|---|---|---|---|
| 2022–2023 | D1 | N4 | 2.91 ± 0.07 ef | 3.58 ± 0.11 def | 4.55 ± 0.24 cdef | 5.34 ± 0.53 bc | 4.16 ± 0.58 bcd |
| N3 | 2.83 ± 0.53 ef | 3.33 ± 0.25 ef | 4.08 ± 0.18 efg | 4.67 ± 0.26 cde | 3.73 ± 0.17 de | ||
| N2 | 2.55 ± 0.32 f | 3.13 ± 0.27 f | 3.96 ± 0.34 fg | 4.47 ± 0.83 cde | 3.91 ± 0.44 cde | ||
| N1 | 2.89 ± 0.49 ef | 3.02 ± 0.22 f | 3.79 ± 0.16 g | 3.94 ± 0.13 e | 3.33 ± 0.13 e | ||
| D2 | N4 | 3.96 ± 0.23 bc | 4.43 ± 0.27 bc | 4.86 ± 0.24 abcd | 5.18 ± 0.54 bcd | 4.38 ± 0.16 bcd | |
| N3 | 3.45 ± 0.28 cde | 4.07 ± 0.37 cd | 4.79 ± 0.21 bcde | 4.86 ± 0.30 cde | 4.40 ± 0.31 bc | ||
| N2 | 3.60 ± 0.36 cd | 3.88 ± 0.35 cde | 4.34 ± 0.11 defg | 4.45 ± 0.23 cde | 3.98 ± 0.32 bcde | ||
| N1 | 3.29 ± 0.16 de | 3.77 ± 0.19 de | 4.14 ± 0.8 efg | 4.29 ± 0.34 de | 3.34 ± 0.35 e | ||
| D3 | N4 | 4.82 ± 0.24 a | 5.54 ± 0.03 a | 5.49 ± 0.36 ab | 6.11 ± 0.53 ab | 4.60 ± 0.26 b | |
| N3 | 4.62 ± 0.24 ab | 5.29 ± 0.29 a | 5.56 ± 0.53 a | 6.38 ± 0.47 a | 5.39 ± 0.14 a | ||
| N2 | 4.88 ± 0.04 a | 5.02 ± 0.32 a | 5.41 ± 0.12 ab | 6.03 ± 0.36 ab | 4.48 ± 0.32 bc | ||
| N1 | 4.35 ± 0.36 ab | 4.97 ± 0.38 ab | 5.15 ± 0.06 abc | 5.41 ± 0.50 abc | 4.21 ± 0.18 bcd | ||
| D | 67.35 ** | 97.39 ** | 30.01 ** | 21.17 ** | 16.44 ** | ||
| F Value | N | 1.50 | 5.42 ** | 3.62 * | 4.99 ** | 8.84 ** | |
| D × N | 0.84 | 0.02 | 0.4 | 0.49 | 1.67 | ||
| 2023–2024 | D1 | N4 | 2.61 ± 0.16 ef | 3.74 ± 0.24 cd | 4.37 ± 0.24 de | 4.92 ± 0.06 cde | 3.76 ± 0.25 def |
| N3 | 2.35 ± 0.23 f | 3.55 ± 0.23 cde | 4.06 ± 0.29 ef | 4.4 ± 0.65 def | 3.56 ± 0.50 ef | ||
| N2 | 2.73 ± 0.17 def | 3.27 ± 0.32 de | 3.80 ± 0.41 fg | 4.25 ± 0.47 def | 3.50 ± 0.28 ef | ||
| N1 | 2.36 ± 0.24 f | 3.11 ± 0.19 e | 3.42 ± 0.14 g | 4.11 ± 0.19 ef | 3.36 ± 0.33 f | ||
| D2 | N4 | 3.35 ± 0.19 c | 4.47 ± 0.18 b | 4.85 ± 0.31 bcd | 5.09 ± 0.95 bcd | 4.32 ± 0.35 bcd | |
| N3 | 3.01 ± 0.24 cde | 3.94 ± 0.39 c | 4.7 ± 0.29 bcd | 4.49 ± 0.42 def | 4.09 ± 0.36 cde | ||
| N2 | 3.16 ± 0.38 cd | 3.00 ± 0.37 c | 4.51 ± 0.21 cde | 4.31 ± 0.72 def | 3.88 ± 0.35 def | ||
| N1 | 2.98 ± 0.07 cde | 3.46 ± 0.09 cde | 4.32 ± 0.21 def | 4.03 ± 0.17 f | 3.60 ± 0.28 ef | ||
| D3 | N4 | 4.48 ± 0.22 ab | 5.17 ± 0.16 a | 5.2 ± 0.27 ab | 6.34 ± 0.15 a | 4.58 ± 0.11 abc | |
| N3 | 4.68 ± 0.22 ab | 4.94 ± 0.17 ab | 5.43 ± 0.15 a | 6.55 ± 0.18 a | 5.11 ± 0.20 a | ||
| N2 | 4.74 ± 0.09 a | 4.93 ± 0.08 ab | 5.17 ± 0.09 ab | 5.82 ± 0.35 ab | 4.76 ± 0.24 ab | ||
| N1 | 4.21 ± 0.40 b | 4.87 ± 0.15 ab | 5.02 ± 0.36 abc | 5.41 ± 0.51 bc | 4.11 ± 0.19 cde | ||
| D | 157.17 ** | 84.98 ** | 49.64 ** | 36.17 ** | 26.40 ** | ||
| F Value | N | 2.80 | 7.57 ** | 5.57 ** | 5.41 ** | 4.35 * | |
| D × N | 0.83 | 0.85 | 0.81 | 0.51 | 1.04 |
| Year | Density | Nitrogen Topdressing | Spike Number (kg ha−1) | Grains Per Spike | 1000-Kernels Weight (g) | Yield (kg ha−1) |
|---|---|---|---|---|---|---|
| 2022–2023 | D1 | N4 | 522.67 ± 13.20 f | 51.53 ± 1.83 a | 43.96 ± 1.43 abc | 9173.87 ± 431.87 efg |
| N3 | 518.67 ± 26.40 fg | 51.03 ± 4.24 ab | 44.42 ± 1.14 ab | 8622.93 ± 163.67 fgh | ||
| N2 | 516.00 ± 21.42 fg | 50.47 ± 2.31 ab | 43.76 ± 1.18 bcd | 8396.53 ± 129.65 gh | ||
| N1 | 496.00 ± 40.92 fg | 50.73 ± 3.16 ab | 42.37 ± 0.46 cd | 7912.67 ± 601.34 h | ||
| D2 | N4 | 600.00 ± 14.24 ef | 44.63 ± 0.52 cd | 45.13 ± 0.37 ab | 9726.93 ± 269.40 cde | |
| N3 | 569.33 ± 16.76 def | 46.9 ± 0.99 bcd | 45.83 ± 0.98 a | 10188.93 ± 374.50 bc | ||
| N2 | 556.00 ± 17.28 cde | 51.17 ± 0.87 a | 41.88 ± 1.26 d | 9324.80 ± 494.63 def | ||
| N1 | 553.33 ± 14.73 bcd | 47.7 ± 1.16 abcd | 43.24 ± 0.15 bcd | 8113.20 ± 362.50 h | ||
| D3 | N4 | 657.33 ± 23.17 bc | 43.77 ± 0.31 d | 43.97 ± 0.64 abc | 9992.67 ± 235.33 bcd | |
| N3 | 628.00 ± 8.64 ab | 48.53 ± 1.8 abc | 45.00 ± 1.47 ab | 11372.40 ± 330.32 a | ||
| N2 | 622.67 ± 26.40 ab | 45.67 ± 1.82 cd | 44.57 ± 0.59 ab | 10549.47 ± 502.51 b | ||
| N1 | 598.67 ± 9.43 a | 45.57 ± 0.59 cd | 44.09 ± 0.7 abc | 9379.73 ± 316.44 def | ||
| D | 57.65 ** | 12.84 ** | 1.43 | 44.45 ** | ||
| F Value | N | 4.50 * | 1.77 | 5.26 * | 18.65 ** | |
| D × N | 0.40 | 1.89 | 2.35 | 2.91 ** | ||
| 2023–2024 | D1 | N4 | 521.33 ± 9.98 cdef | 58.80 ± 4.71 a | 44.24 ± 0.56 def | 8367.73 ± 129.82 de |
| N3 | 497.33 ± 14.73 ef | 60.00 ± 2.68 a | 45.1 ± 0.22 bcd | 8259.00 ± 173.91 e | ||
| N2 | 482.67 ± 21.75 fg | 49.80 ± 2.71 d | 43.75 ± 0.34 fg | 7932.27 ± 115.53 f | ||
| N1 | 452.00 ± 20.40 g | 48.60 ± 2.42 d | 43.03 ± 0.85 g | 7787.87 ± 84.26 f | ||
| D2 | N4 | 557.33 ± 19.14 bc | 57.20 ± 1.72 ab | 45.13 ± 0.55 bcd | 8596.27 ± 103.77 bcd | |
| N3 | 541.33 ± 16.76 bcd | 55.20 ± 4.71 abc | 45.50 ± 0.40 bc | 8718.60 ± 142.89 bc | ||
| N2 | 521.33 ± 27.39 cdef | 52.60 ± 2.58 bcd | 44.88 ± 0.46 cde | 8375.60 ± 57.11 de | ||
| N1 | 514.67 ± 21.00 def | 50.00 ± 4.38 cd | 43.91 ± 0.45 efg | 7818.67 ± 136.09 f | ||
| D3 | N4 | 602.67 ± 13.20 a | 49.80 ± 3.06 d | 46.64 ± 0.35 a | 9078.93 ± 189.24 a | |
| N3 | 569.33 ± 19.14 ab | 56.40 ± 4.13 ab | 47.01 ± 0.53 a | 9118.60 ± 183.71 a | ||
| N2 | 545.33 ± 26.40 bcd | 48.40 ± 4.27 d | 46.15 ± 0.75 ab | 8847.80 ± 195.14 ab | ||
| N1 | 536.00 ± 18.18 bcde | 50.6 ± 4.92 cd | 44.79 ± 0.33 cdef | 8494.53 ± 103.05 cde | ||
| D | 27.66 ** | 2.88 | 34.15 ** | 64.32 ** | ||
| F Value | N | 9.62 ** | 11.54 ** | 15.49 ** | 28.84 ** | |
| D × N | 0.29 | 2.33 | 0.37 | 1.09 * |
| Year | Density | Nitrogen Topdressing | Flowering Plants mg·Plant−1 | Mature Period mg·Plant−1 | |
|---|---|---|---|---|---|
| Plants | Grain | ||||
| 2022–2023 | D1 | N4 | 35.60 ± 0.02 d | 11.07 ± 0.01 f | 33.62 ± 0.35 e |
| N3 | 35.00 ± 0.01 fg | 10.81 ± 0.01 g | 31.98 ± 0.07 f | ||
| N2 | 32.36 ± 0.04 h | 10.40 ± 0.06 h | 30.75 ± 0.06 g | ||
| N1 | 29.62 ± 0.16 i | 9.88 ± 0.15 i | 29.42 ± 0.07 h | ||
| D2 | N4 | 36.36 ± 0.05 c | 11.87 ± 0.02 d | 35.02 ± 0.31 c | |
| N3 | 35.79 ± 0.06 d | 11.48 ± 0.16 e | 34.12 ± 0.06 d | ||
| N2 | 35.00 ± 0.02 f | 10.47 ± 0.02 h | 33.84 ± 0.05 de | ||
| N1 | 34.77 ± 0.04 g | 10.35 ± 0.01 h | 32.21 ± 0.03 f | ||
| D3 | N4 | 37.62 ± 0.03 a | 13.39 ± 0.01 a | 37.29 ± 0.09 a | |
| N3 | 37.47 ± 0.06 a | 12.80 ± 0.03 b | 36.93 ± 0.00 a | ||
| N2 | 36.75 ± 0.16 b | 12.43 ± 0.02 c | 36.24 ± 0.20 b | ||
| N1 | 35.28 ± 0.04 e | 11.46 ± 0.05 e | 35.27 ± 0.03 c | ||
| D | 2444.54 ** | 882.69 ** | 957.09 ** | ||
| F Value | N | 1205.65 ** | 287.35 ** | 185.60 ** | |
| D × N | 224.53 ** | 11.26 ** | 10.27 ** | ||
| 2023–2024 | D1 | N4 | 37.44 ± 0.37 cde | 11.08 ± 0.13 e | 32.42 ± 0.25 g |
| N3 | 36.39 ± 0.17 de | 10.77 ± 0.04 ef | 30.08 ± 0.41 h | ||
| N2 | 35.08 ± 0.48 e | 10.35 ± 0.10 gh | 28.00 ± 0.25 i | ||
| N1 | 30.79 ± 0.02 f | 9.51 ± 0.06 i | 25.12 ± 0.11 j | ||
| D2 | N4 | 39.58 ± 0.57 bc | 12.08 ± 0.11 bc | 36.78 ± 0.12 cd | |
| N3 | 37.39 ± 0.41 cde | 7.39 ± 0.03 d | 36.59 ± 0.19 de | ||
| N2 | 37.52 ± 0.62 cde | 10.75 ± 0.08 ef | 35.77 ± 0.41 e | ||
| N1 | 36.62 ± 0.10 de | 10.16 ± 0.08 h | 34.27 ± 0.14 f | ||
| D3 | N4 | 43.04 ± 2.47 a | 12.80 ± 0.14 a | 38.55 ± 0.02 a | |
| N3 | 41.04 ± 0.88 ab | 12.17 ± 0.07 b | 38.05 ± 0.08 ab | ||
| N2 | 39.70 ± 1.00 bc | 11.76 ± 0.09 cd | 37.61 ± 0.12 bc | ||
| N1 | 38.77 ± 0.16 bcd | 10.55 ± 0.33 fg | 36.42 ± 0.53 de | ||
| D | 39.24 ** | 145.20 ** | 1121.82 ** | ||
| F Value | N | 13.35 ** | 151.35 ** | 114.87 ** | |
| D × N | 1.50 ** | 2.65 | 20.01 ** | ||
| Year | Density | Nitrogen Topdressing | Nitrogen Fertilizer Production Efficiency/(kg·kg−1) | Nitrogen Use Efficiency/% |
|---|---|---|---|---|
| 2022–2023 | D1 | N4 | 42.42 ± 0.46 de | 31.78 ± 0.05 g |
| N3 | 42.19 ± 0.08 de | 31.34 ± 0.02 h | ||
| N2 | 38.44 ± 0.42 fg | 30.33 ± 0.07 i | ||
| N1 | 37.51 ± 0.26 g | 28.45 ± 0.03 j | ||
| D2 | N4 | 47.77 ± 0.34 c | 34.81 ± 0.05 e | |
| N3 | 53.69 ± 0.17 a | 34.38 ± 0.04 f | ||
| N2 | 40.14 ± 1.08 ef | 34.54 ± 0.05 ef | ||
| N1 | 38.27 ± 1.60 fg | 34.52 ± 0.07 ef | ||
| D3 | N4 | 50.89 ± 0.57 b | 38.03 ± 0.04 b | |
| N3 | 55.36 ± 2.05 a | 36.27 ± 0.09 d | ||
| N2 | 49.53 ± 1.15 bc | 37.70 ± 0.05 c | ||
| N1 | 43.72 ± 1.35 d | 39.21 ± 0.27 a | ||
| D | 137.18 ** | 5938.47 ** | ||
| F Value | N | 94.64 ** | 53.70 ** | |
| D × N | 10.69 ** | 176.09 ** | ||
| 2023–2024 | D1 | N4 | 36.17 ± 0.46 d | 35.11 ± 0.13 d |
| N3 | 35.75 ± 0.08 de | 33.05 ± 0.31 e | ||
| N2 | 31.80 ± 0.42 fg | 30.47 ± 0.28 f | ||
| N1 | 30.67 ± 0.26 g | 27.34 ± 0.15 g | ||
| D2 | N4 | 40.90 ± 0.28 c | 35.84 ± 0.52 d | |
| N3 | 44.89 ± 0.48 ab | 35.10 ± 0.15 d | ||
| N2 | 33.50 ± 1.08 ef | 33.70 ± 0.12 e | ||
| N1 | 31.42 ± 1.60 fg | 31.12 ± 0.21 f | ||
| D3 | N4 | 43.81 ± 0.27 b | 43.01 ± 0.09 ab | |
| N3 | 46.35 ± 0.53 a | 43.56 ± 0.06 a | ||
| N2 | 42.89 ± 1.15 bc | 42.26 ± 1.01 b | ||
| N1 | 36.87 ± 1.35 d | 37.60 ± 0.44 c | ||
| D | 128.59 ** | 941.60 ** | ||
| F Value | N | 85.98 ** | 178.86 ** | |
| D × N | 8.63 ** | 7.73 ** |
| Year | Density | Nitrogen | Protein Content/% | Wet Gluten Content/% |
|---|---|---|---|---|
| 2022–2023 | D1 | N4 | 13.40 ± 0.29 a | 27.43 ± 1.11 a |
| N3 | 12.53 ± 0.21 bc | 26.23 ± 0.42 b | ||
| N2 | 12.03 ± 0.37 cd | 25.43 ± 0.21 bc | ||
| N1 | 11.13 ± 0.21 efg | 24.70 ± 1.07 cde | ||
| D2 | N4 | 13.17 ± 0.29 ab | 26.50 ± 0.86 ab | |
| N3 | 12.17 ± 0.61 cd | 26.17 ± 0.33 b | ||
| N2 | 11.53 ± 0.21 def | 24.77 ± 0.25 cde | ||
| N1 | 10.77 ± 0.48 fg | 24.07 ± 0.17 e | ||
| D3 | N4 | 12.77 ± 0.37 abc | 25.33 ± 0.26 bcd | |
| N3 | 12.17 ± 0.52 cd | 24.90 ± 0.14 cde | ||
| N2 | 11.63 ± 0.12 de | 24.20 ± 0.41 de | ||
| N1 | 10.67 ± 0.26 g | 23.83 ± 0.17 e | ||
| D | 3.52 * | 11.90 ** | ||
| F Value | N | 39.38 ** | 18.09 ** | |
| D × N | 0.18 | 0.66 | ||
| 2023–2024 | D1 | N4 | 14.30 ± 0.24 a | 26.53 ± 0.29 a |
| N3 | 13.57 ± 0.41 ab | 25.83 ± 0.26 abc | ||
| N2 | 12.30 ± 0.14 cd | 24.83 ± 0.26 cdef | ||
| N1 | 12.17 ± 0.19 cd | 24.23 ± 0.42 efg | ||
| D2 | N4 | 13.80 ± 0.08 ab | 26.27 ± 0.45 ab | |
| N3 | 13.23 ± 0.37 b | 25.20 ± 0.37 cde | ||
| N2 | 12.30 ± 0.43 cd | 24.5 ± 0.75 defg | ||
| N1 | 11.60 ± 0.54 d | 23.77 ± 0.46 g | ||
| D3 | N4 | 13.23 ± 0.37 b | 25.83 ± 0.69 abc | |
| N3 | 12.40 ± 0.24 c | 25.33 ± 0.41 bcd | ||
| N2 | 12.23 ± 0.29 cd | 24.13 ± 0.33 fg | ||
| N1 | 11.57 ± 0.57 d | 23.60 ± 0.37 g | ||
| D | 7.79 ** | 3.83 * | ||
| F Value | N | 34.41 ** | 29.59 ** | |
| D × N | 1.16 | 0.15 |
Disclaimer/Publisher’s Note: The statements, opinions and data contained in all publications are solely those of the individual author(s) and contributor(s) and not of MDPI and/or the editor(s). MDPI and/or the editor(s) disclaim responsibility for any injury to people or property resulting from any ideas, methods, instructions or products referred to in the content. |
© 2024 by the authors. Licensee MDPI, Basel, Switzerland. This article is an open access article distributed under the terms and conditions of the Creative Commons Attribution (CC BY) license (https://creativecommons.org/licenses/by/4.0/).
Share and Cite
Zhou, W.; Yan, S.; Rehman, A.; Li, H.; Zhang, S.; Yong, Y.; Liu, Y.; Xiao, L.; Zheng, C.; Li, W. Increasing Planting Density with Reduced Topdressing Nitrogen Inputs Increased Nitrogen Use Efficiency and Improved Grain Quality While Maintaining Yields in Weak-Gluten Wheat. Agriculture 2025, 15, 13. https://doi.org/10.3390/agriculture15010013
Zhou W, Yan S, Rehman A, Li H, Zhang S, Yong Y, Liu Y, Xiao L, Zheng C, Li W. Increasing Planting Density with Reduced Topdressing Nitrogen Inputs Increased Nitrogen Use Efficiency and Improved Grain Quality While Maintaining Yields in Weak-Gluten Wheat. Agriculture. 2025; 15(1):13. https://doi.org/10.3390/agriculture15010013
Chicago/Turabian StyleZhou, Wenyin, Suhui Yan, Abdul Rehman, Haojie Li, Shiya Zhang, Yudong Yong, Yang Liu, Longfei Xiao, Chengyan Zheng, and Wenyang Li. 2025. "Increasing Planting Density with Reduced Topdressing Nitrogen Inputs Increased Nitrogen Use Efficiency and Improved Grain Quality While Maintaining Yields in Weak-Gluten Wheat" Agriculture 15, no. 1: 13. https://doi.org/10.3390/agriculture15010013
APA StyleZhou, W., Yan, S., Rehman, A., Li, H., Zhang, S., Yong, Y., Liu, Y., Xiao, L., Zheng, C., & Li, W. (2025). Increasing Planting Density with Reduced Topdressing Nitrogen Inputs Increased Nitrogen Use Efficiency and Improved Grain Quality While Maintaining Yields in Weak-Gluten Wheat. Agriculture, 15(1), 13. https://doi.org/10.3390/agriculture15010013
