Strigolactone Alleviates NaCl Stress by Regulating Antioxidant Capacity and Hormone Levels in Rice (Oryza sativa L.) Seedlings
Abstract
1. Introduction
2. Materials and Methods
2.1. Test Materials
2.2. Experimental Design
2.3. Germination Characteristics
2.4. Determination of Growth Index of Rice Seedlings
2.5. Determination of Root Morphology of Rice Seedlings
2.6. Measurement of Photosynthetic Pigment Content
2.7. Determination of Antioxidant Enzyme Activities
2.8. Determination of Antioxidant Content
2.9. Determination of Membrane Damage Index
2.10. Determination of Osmoregulatory Substances
2.11. Measurement of Endogenous Hormone Content
2.12. Statistical Analysis
3. Results and Analysis
3.1. Effect of GR24 Seed-Soaking on Seedling Emergence Rate in Rice under NaCl Stress
3.2. Effect of GR24 Soaking on Rice Seedling Growth under NaCl Stress
3.3. Effect of GR24 Soaking on Root Morphological Traits of Rice Seedlings under NaCl Stress
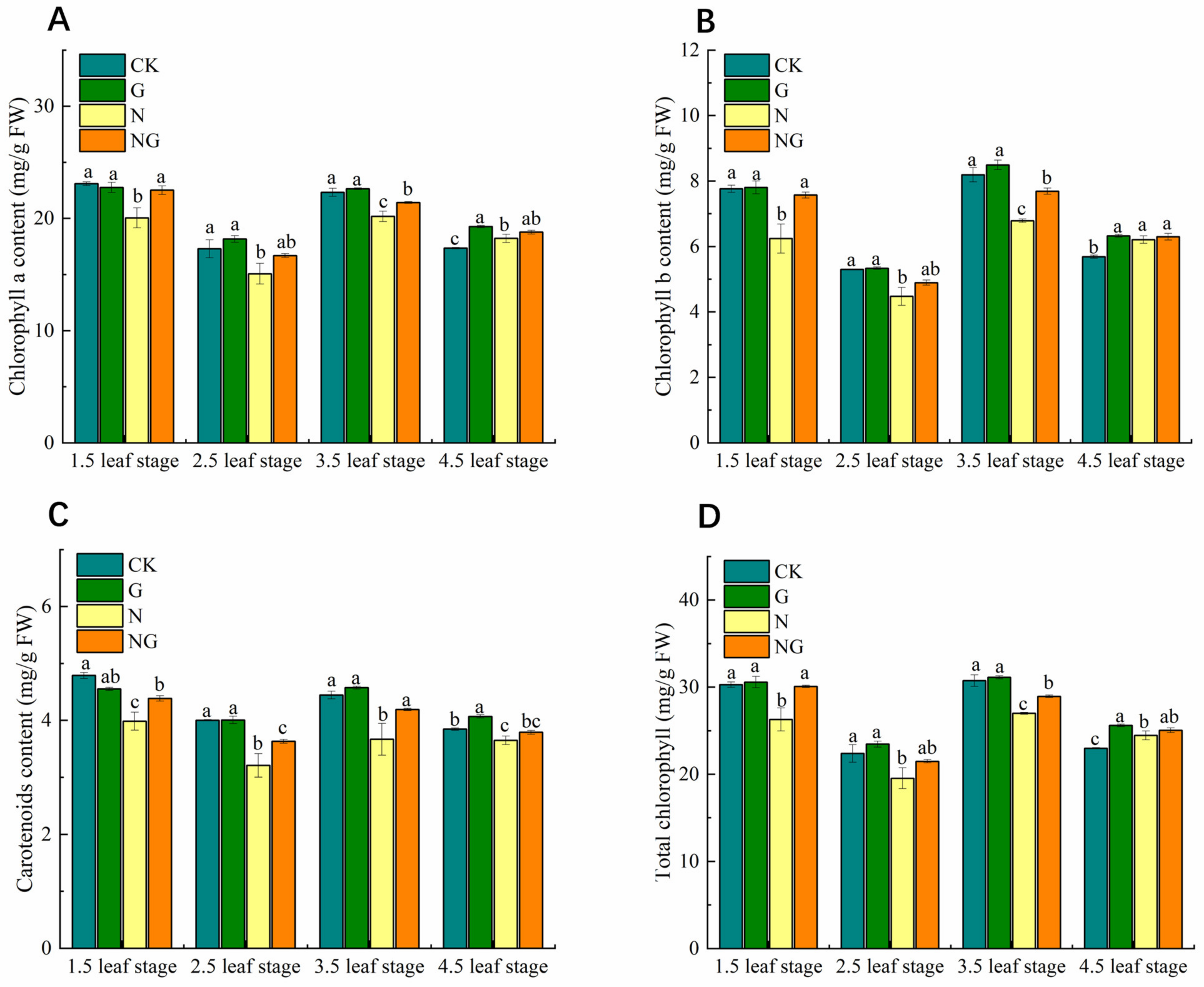
3.4. Effect of GR24 Soaking on the Photosynthetic Pigment Content of Rice Seedlings under NaCl Stress
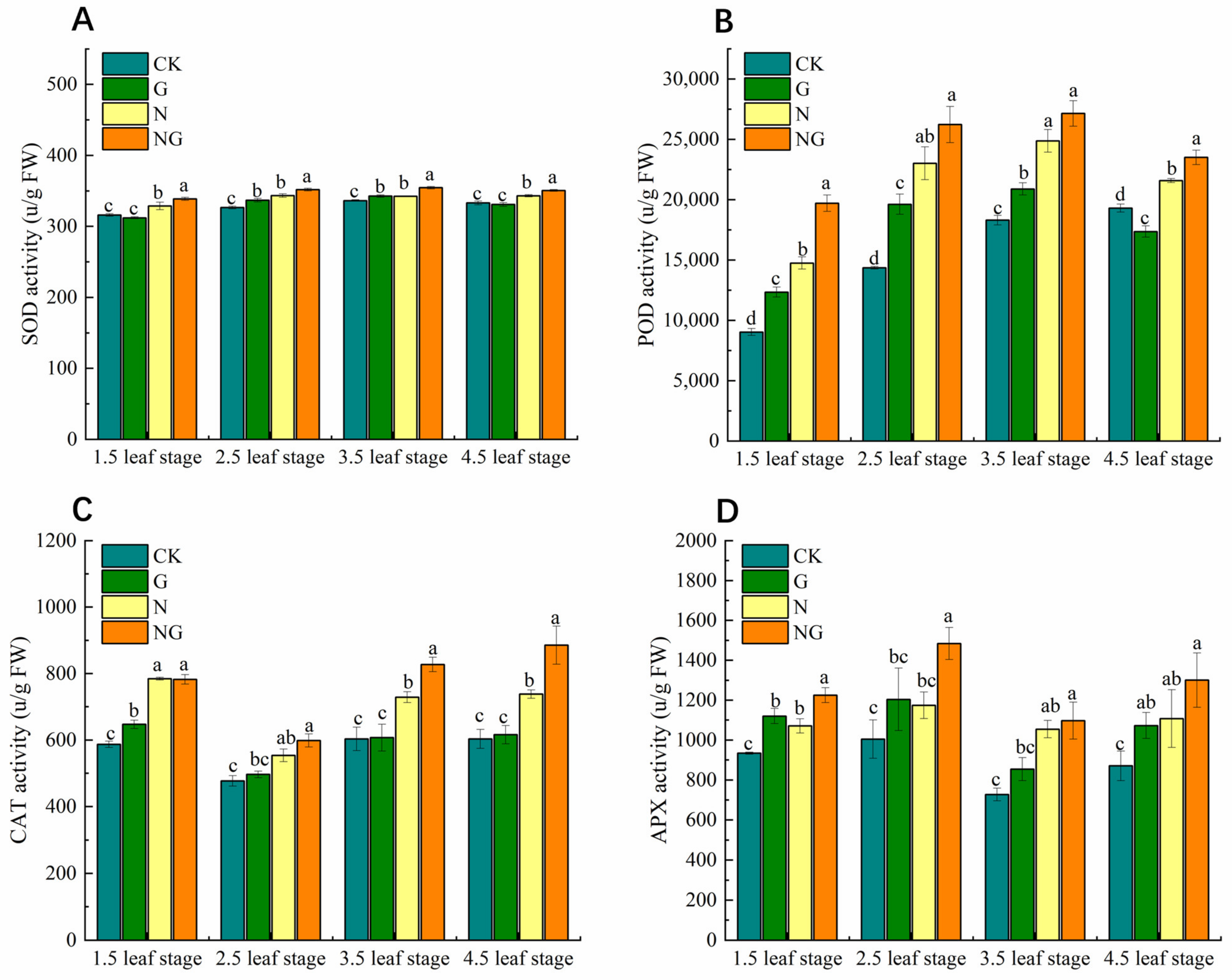
3.5. Effect of GR24 Soaking on Antioxidant Enzyme Activities of Rice Seedling Leaves under NaCl Stress
3.6. Effect of GR24 Soaking on AsA and GSH Contents of Rice Seedling Leaves under NaCl Stress
3.7. Effect of GR24 Soaking on the Degree of Leaf Membrane Damage in Rice Seedlings under NaCl Stress
3.8. Effects of GR24 Soaking on Osmoregulatory Substances in Rice Seedling Leaves under NaCl Stress
3.9. Effect of GR24 Soaking on Leaf Hormone Content of Rice Seedlings under NaCl Stress
3.10. Effect of GR24 Dipping on the Hormone Balance of Rice Seedling Leaves under NaCl Stress
4. Discussion
5. Conclusions
Author Contributions
Funding
Institutional Review Board Statement
Data Availability Statement
Acknowledgments
Conflicts of Interest
References
- Vejan, P.; Abdullah, R.; Khadiran, T.; Ismail, S.; Nasrulhaq Boyce, A. Role of plant growth promoting rhizobacteria in agricultural sustainability—A review. Molecules 2016, 21, 537. [Google Scholar] [CrossRef] [PubMed]
- Chen, Y.; Dan, Z.; Li, S. GROWTH REGULATING FACTOR 7-mediated arbutin metabolism enhances rice salt tolerance. Plant Cell 2024, 36, 2834–2850. [Google Scholar] [CrossRef] [PubMed]
- Sarma, B.; Kashtoh, H.; Lama Tamang, T.; Bhattacharyya, P.N.; Mohanta, Y.K.; Baek, K.H. Abiotic Stress in Rice: Visiting the Physiological Response and Its Tolerance Mechanisms. Plants 2023, 12, 3948. [Google Scholar] [CrossRef] [PubMed]
- Zeng, P.; Xie, T.; Shen, J.; Liang, T.; Yin, L.; Liu, K.; He, Y.; Chen, M.; Tang, H.; Chen, S.; et al. Potassium transporter OsHAK9 regulates seed germination under salt stress by preventing gibberellin degradation through mediating OsGA2ox7 in rice. J. Integr. Plant Biol. 2024, 66, 731–748. [Google Scholar] [CrossRef]
- Zhang, R.; Wang, Y.; Hussain, S.; Yang, S.; Li, R.; Liu, S.; Chen, Y.; Wei, H.; Dai, Q.; Hou, H. Study on the effect of salt stress on yield and grain quality among different rice varieties. Front. Plant Sci. 2022, 13, 918460. [Google Scholar] [CrossRef]
- Zheng, C.; Liu, C.; Liu, L.; Tan, Y.; Sheng, X.; Yu, D.; Sun, Z.; Sun, X.; Chen, J.; Yuan, D.; et al. Effect of salinity stress on rice yield and grain quality: A meta-analysis. Eur. J. Agron. 2023, 144, 126765. [Google Scholar] [CrossRef]
- Shi, Y.; Gao, L.; Wu, Z.; Zhang, X.; Wang, M.; Zhang, C.; Zhang, F.; Zhou, Y.; Li, Z. Genome-wide association study of salt tolerance at the seed germination stage in rice. BMC Plant Biol. 2017, 17, 92. [Google Scholar] [CrossRef]
- Makihara, D.; Tsuda, M.; Morita, M.; Hirai, Y.; Kuroda, T. Effect of salinity on the growth and development of rice (Oryza sativa L.) varieties. Jpn. J. Trop. Agric. 1999, 43, 285–294. [Google Scholar] [CrossRef]
- Farooq, M.; Siddique, K.H.; Rehman, H.; Aziz, T.; Lee, D.-J.; Wahid, A. Rice direct seeding: Experiences, challenges and opportunities. Soil Tillage Res. 2011, 111, 87–98. [Google Scholar] [CrossRef]
- Xu, J.; Kang, Z.; Zhu, K.; Zhao, D.; Yuan, Y.; Yang, S.; Zhen, W.; Hu, X. RBOH1-dependent H2O2 mediates spermine-induced antioxidant enzyme system to enhance tomato seedling tolerance to salinity–alkalinity stress. Plant Physiol. Biochem. 2021, 164, 237–246. [Google Scholar] [CrossRef]
- Zhang, Y.; Fang, J.; Wu, X.; Dong, L. Na+/K+ balance and transport regulatory mechanisms in weedy and cultivated rice (Oryza sativa L.) under salt stress. BMC Plant Biol. 2018, 18, 375. [Google Scholar] [CrossRef] [PubMed]
- Shahzad, B.; Rehman, A.; Tanveer, M.; Wang, L.; Park, S.K.; Ali, A. Salt stress in brassica: Effects, tolerance mechanisms, and management. J. Plant Growth Regul. 2022, 41, 781–795. [Google Scholar] [CrossRef]
- Jahan, M.S.; Guo, S.; Baloch, A.R.; Sun, J.; Shu, S.; Wang, Y.; Ahammed, G.J.; Kabir, K.; Roy, R. Melatonin alleviates nickel phytotoxicity by improving photosynthesis, secondary metabolism and oxidative stress tolerance in tomato seedlings. Ecotoxicol. Environ. Saf. 2020, 197, 110593. [Google Scholar] [CrossRef]
- Yu, Z.; Duan, X.; Luo, L.; Dai, S.; Ding, Z.; Xia, G. How plant hormones mediate salt stress responses. Trends Plant Sci. 2020, 25, 1117–1130. [Google Scholar] [CrossRef]
- Mu, D.; Feng, N.; Zheng, D.; Zhou, H.; Liu, L.; Chen, G. Studies on the physiological mechanism of brassinolide to improve the resistance of rice seedlings to NaCl stress. Water Air Soil Pollut. 2022, 233, 238. [Google Scholar] [CrossRef]
- Iftikhar, A.; Ali, S.; Yasmeen, T.; Arif, M.S.; Zubair, M.; Rizwan, M.; Alhaithloul, H.A.S.; Alayafi, A.A.; Soliman, M.H. Effect of gibberellic acid on growth, photosynthesis and antioxidant defense system of wheat under zinc oxide nanoparticle stress. Environ. Pollut. 2019, 254, 113109. [Google Scholar] [CrossRef]
- Feng, Y.; Liu, J.; Zhai, L.; Gan, Z.; Zhang, G.; Yang, S.; Wang, Y.; Wu, T.; Zhang, X.; Xu, X. Natural variation in cytokinin maintenance improves salt tolerance in apple rootstocks. Plant Cell Environ. 2019, 42, 424–436. [Google Scholar] [CrossRef] [PubMed]
- Kleman, J.; Matusova, R.J.B. Strigolactones: Current research progress in the response of plants to abiotic stress. Biologia 2023, 78, 307–318. [Google Scholar] [CrossRef]
- Bhoi, A.; Yadu, B.; Chandra, J.; Keshavkant, S. Contribution of strigolactone in plant physiology, hormonal interaction and abiotic stresses. Planta 2021, 254, 28. [Google Scholar] [CrossRef]
- López-Ráez, J.A.; Shirasu, K.; Foo, E. Strigolactones in plant interactions with beneficial and detrimental organisms: The Yin and Yang. Trends Plant Sci. 2017, 22, 527–537. [Google Scholar] [CrossRef]
- Meng, F.; Feng, N.; Zheng, D.; Liu, M.; Zhou, H.; Zhang, R.; Huang, X.; Huang, A. Exogenous Hemin enhances the antioxidant defense system of rice by regulating the AsA-GSH cycle under NaCl stress. PeerJ 2024, 12, 17219. [Google Scholar] [CrossRef] [PubMed]
- Liu, H.; Li, C.; Yan, M.; Zhao, Z.; Huang, P.; Wei, L.; Wu, X.; Wang, C.; Liao, W. Strigolactone is involved in nitric oxide-enhanced the salt resistance in tomato seedlings. J. Plant Res. 2022, 135, 337–350. [Google Scholar] [CrossRef] [PubMed]
- Lu, J.; Shen, Y.; Yang, Y.; Li, X.; Li, X.e.; Liu, D.; Wang, L. Synthetic strigolactone (rac-GR24) alleviates the photosynthetic inhibition and oxidative damage in alfalfa (Medicago sativa L.) under salt stress. Grassl. Sci. 2024, 70, 23–34. [Google Scholar] [CrossRef]
- Danish, S.; Hareem, M.; Dawar, K.; Naz, T.; Iqbal, M.M.; Ansari, M.J.; Salmen, S.H.; Datta, R.J.B.P.B. The role of strigolactone in alleviating salinity stress in chili pepper. BMC Plant Biol. 2024, 24, 209. [Google Scholar] [CrossRef] [PubMed]
- Ling, F.; Su, Q.; Jiang, H.; Cui, J.; He, X.; Wu, Z.; Zhang, Z.; Liu, J.; Zhao, Y. Effects of strigolactone on photosynthetic and physiological characteristics in salt-stressed rice seedlings. Sci. Rep. 2020, 10, 6138. [Google Scholar] [CrossRef]
- Ma, N.; Hu, C.; Wan, L.; Hu, Q.; Xiong, J.; Zhang, C. Strigolactones improve plant growth, photosynthesis, and alleviate oxidative stress under salinity in rapeseed (Brassica napus L.) by regulating gene expression. Front. Plant Sci. 2017, 8, 1671. [Google Scholar] [CrossRef]
- Faisal, M.; Faizan, M.; Tonny, S.H.; Rajput, V.D.; Minkina, T.; Alatar, A.A.; Pathirana, R. Strigolactone-Mediated Mitigation of Negative Effects of Salinity Stress in Solanum lycopersicum through Reducing the Oxidative Damage. Sustainability 2023, 15, 5805. [Google Scholar] [CrossRef]
- Wang, Y.; Zhao, L.M.; Feng, N.; Zheng, D.; Shen, X.F.; Zhou, H.; Jiang, W.; Du, Y.; Zhao, H.; Lu, X.; et al. Plant growth regulators mitigate oxidative damage to rice seedling roots by NaCl stress. PeerJ 2024, 12, e17068. [Google Scholar] [CrossRef]
- Lichtenthaler, H.K. Chlorophylls and carotenoids: Pigments of photosynthetic biomembranes. In Methods in Enzymology; Elsevier: Amsterdam, The Netherlands, 1987; Volume 148, pp. 350–382. [Google Scholar]
- Spychalla, J.P.; Desborough, S.L. Superoxide Dismutase, Catalase, and alpha-Tocopherol Content of Stored Potato Tubers. Plant Physiol. 1990, 94, 1214–1218. [Google Scholar] [CrossRef] [PubMed]
- Nakano, Y.; Asada, K. Hydrogen peroxide is scavenged by ascorbate-specific peroxidase in spinach chloroplasts. Plant Cell Physiol. 1981, 22, 867–880. [Google Scholar] [CrossRef]
- Ekinci, M.; Ors, S.; Yildirim, E.; Turan, M.; Sahin, U.; Dursun, A.; Kul, R. Determination of physiological indices and some antioxidant enzymes of chard exposed to nitric oxide under drought stress. Russ. J. Plant Physiol. 2020, 67, 740–749. [Google Scholar] [CrossRef]
- Zuffellato-Ribas, K.C.; Morini, S.; Picciarelli, P.; Mignolli, F. Extraction and determination of ascorbate and dehydroascorbate from apoplastic fluid of stem of rooted and non-rooted cuttings in relation to the rhizogenesis. Braz. J. Plant Physiol. 2010, 22, 123–129. [Google Scholar] [CrossRef]
- Tyburski, J.; Tretyn, A. Glutathione and glutathione disulfide affect adventitious root formation and growth in tomato seedling cuttings. Acta Physiol. Plant. 2010, 32, 411–417. [Google Scholar] [CrossRef]
- Hussain, S.J.; Masood, A.; Anjum, N.A.; Khan, N.A. Sulfur-mediated control of salinity impact on photosynthesis and growth in mungbean cultivars screened for salt tolerance involves glutathione and proline metabolism, and glucose sensitivity. Acta Physiol. Plant. 2019, 41, 129. [Google Scholar] [CrossRef]
- He, J.; Ren, Y.; Chen, X.; Chen, H. Protective roles of nitric oxide on seed germination and seedling growth of rice (Oryza sativa L.) under cadmium stress. Ecotoxicol. Environ. Saf. 2014, 108, 114–119. [Google Scholar] [CrossRef]
- Talubaghi, M.J.; Daliri, M.S.; Mazloum, P.; Rameeh, V.; Mousavi, A. Effect of salt stress on growth, physiological and biochemical parameters and activities of antioxidative enzymes of rice cultivars. Cereal Res. Commun. 2023, 51, 403–411. [Google Scholar] [CrossRef]
- Shu, S.; Tang, Y.; Yuan, Y.; Sun, J.; Zhong, M.; Guo, S. The role of 24-epibrassinolide in the regulation of photosynthetic characteristics and nitrogen metabolism of tomato seedlings under a combined low temperature and weak light stress. Plant Physiol. Biochem. 2016, 107, 344–353. [Google Scholar] [CrossRef]
- Gill, S.; Ramzan, M.; Naz, G.; Ali, L.; Danish, S.; Ansari, M.J.; Salmen, S.H. Effect of silicon nanoparticle-based biochar on wheat growth, antioxidants and nutrients concentration under salinity stress. Sci. Rep. 2024, 14, 6380. [Google Scholar] [CrossRef]
- Koltai, H. Cellular events of strigolactone signalling and their crosstalk with auxin in roots. J. Exp. Bot. 2015, 66, 4855–4861. [Google Scholar] [CrossRef]
- Wang, C.; Wei, L.; Zhang, J.; Hu, D.; Gao, R.; Liu, Y.; Feng, L.; Gong, W.; Liao, W. Nitric oxide enhances salt tolerance in tomato seedlings by regulating endogenous S-nitrosylation levels. J. Plant Growth Regul. 2022, 42, 275–293. [Google Scholar] [CrossRef]
- Parihar, P.; Singh, S.; Singh, R.; Singh, V.P.; Prasad, S.M. Effect of salinity stress on plants and its tolerance strategies: A review. Environ. Sci. Pollut. Res. Int. 2015, 22, 4056–4075. [Google Scholar] [CrossRef] [PubMed]
- Kaushal, M. Insights Into Microbially Induced Salt Tolerance and Endurance Mechanisms (STEM) in Plants. Front. Microbiol. 2020, 11, 1518. [Google Scholar] [CrossRef] [PubMed]
- Lu, T.; Yu, H.; Li, Q.; Chai, L.; Jiang, W. Improving plant growth and alleviating photosynthetic inhibition and oxidative stress from low-light stress with exogenous GR24 in tomato (Solanum lycopersicum L.) seedlings. Front. Plant Sci. 2019, 10, 490. [Google Scholar] [CrossRef]
- Kouřil, R.; Wientjes, E.; Bultema, J.B.; Croce, R.; Boekema, E.J. High-light vs. low-light: Effect of light acclimation on photosystem II composition and organization in Arabidopsis thaliana. Biochim. Biophys. Acta 2013, 1827, 411–419. [Google Scholar] [CrossRef]
- Hamani, A.K.M.; Li, S.; Chen, J.; Amin, A.S.; Wang, G.; Xiaojun, S.; Zain, M.; Gao, Y. Linking exogenous foliar application of glycine betaine and stomatal characteristics with salinity stress tolerance in cotton (Gossypium hirsutum L.) seedlings. BMC Plant Biol. 2021, 21, 146. [Google Scholar] [CrossRef] [PubMed]
- Zheng, X.; Li, Y.; Xi, X.; Ma, C.; Sun, Z.; Yang, X.; Li, X.; Tian, Y.; Wang, C. Exogenous Strigolactones alleviate KCl stress by regulating photosynthesis, ROS migration and ion transport in Malus hupehensis Rehd. Plant Physiol. Biochem. 2021, 159, 113–122. [Google Scholar] [CrossRef]
- Xu, Q.; Wei, Q.; Kong, Y.; Zhu, L.; Tian, W.; Huang, J.; Pan, L.; Jin, Q.; Zhang, J.; Zhu, C. Unearthing the alleviatory mechanisms of brassinolide in cold stress in rice. Life 2022, 12, 833. [Google Scholar] [CrossRef]
- Shah, T.; Khan, Z.; Asad, M.; Imran, A.; Niazi, M.B.K.; Alsahli, A.A. Alleviation of cadmium toxicity in wheat by strigolactone: Regulating cadmium uptake, nitric oxide signaling, and genes encoding antioxidant defense system. Plant Physiol. Biochem. 2023, 202, 107916. [Google Scholar] [CrossRef]
- Ma, C.; Bian, C.; Liu, W.; Sun, Z.; Xi, X.; Guo, D.; Liu, X.; Tian, Y.; Wang, C.; Zheng, X. Strigolactone alleviates the salinity-alkalinity stress of Malus hupehensis seedlings. Front. Plant Sci. 2022, 13, 901782. [Google Scholar] [CrossRef]
- Ahsan, M.; Zulfiqar, H.; Farooq, M.A.; Ali, S.; Tufail, A.; Kanwal, S.; Shaheen, M.R.; Sajid, M.; Gul, H.; Jamal, A.; et al. Strigolactone (GR24) Application Positively Regulates Photosynthetic Attributes, Stress-Related Metabolites and Antioxidant Enzymatic Activities of Ornamental Sunflower (Helianthus annuus cv. Vincent’s Choice) under Salinity Stress. Agriculture 2023, 13, 50. [Google Scholar] [CrossRef]
- Zhang, X.; Zhang, L.; Sun, Y.; Zheng, S.; Wang, J.; Zhang, T. Hydrogen peroxide is involved in strigolactone induced low temperature stress tolerance in rape seedlings (Brassica rapa L.). Plant Physiol. Biochem. 2020, 157, 402–415. [Google Scholar] [CrossRef] [PubMed]
- Zhao, S.; Kamran, M.; Rizwan, M.; Ali, S.; Yan, L.; Alwahibi, M.S.; Elshikh, M.S.; Riaz, M. Regulation of proline metabolism, AsA-GSH cycle, cadmium uptake and subcellular distribution in Brassica napus L. under the effect of nano-silicon. Environ. Pollut. 2023, 335, 122321. [Google Scholar] [CrossRef] [PubMed]
- Li, C.; Lu, X.; Liu, Y.; Xu, J.; Yu, W. Strigolactone alleviates the adverse effects of salt stress on seed germination in cucumber by enhancing antioxidant capacity. Antioxidants 2023, 12, 1043. [Google Scholar] [CrossRef] [PubMed]
- Bai, Y.; Xiao, S.; Zhang, Z.; Zhang, Y.; Sun, H.; Zhang, K.; Wang, X.; Bai, Z.; Li, C.; Liu, L. Melatonin improves the germination rate of cotton seeds under drought stress by opening pores in the seed coat. PeerJ 2020, 8, e9450. [Google Scholar] [CrossRef] [PubMed]
- Ferchichi, S.; Hessini, K.; Dell Aversana, E.; D’Amelia, L.; Woodrow, P.; Ciarmiello, L.F.; Fuggi, A.; Carillo, P. Hordeum vulgare and Hordeum maritimum respond to extended salinity stress displaying different temporal accumulation pattern of metabolites. Funct. Plant Biol. 2018, 45, 1096–1109. [Google Scholar] [CrossRef] [PubMed]
- Carillo, P. GABA Shunt in Durum Wheat. Front. Plant Sci. 2018, 9, 100. [Google Scholar] [CrossRef]
- Ghosh, U.K.; Islam, M.N.; Siddiqui, M.N.; Cao, X.; Khan, M.A.R. Proline, a multifaceted signalling molecule in plant responses to abiotic stress: Understanding the physiological mechanisms. Plant Biol. 2022, 24, 227–239. [Google Scholar] [CrossRef]
- de Lacerda, C.F.; Cambraia, J.; Oliva, M.A.; Ruiz, H.A.; Prisco, J.T. Solute accumulation and distribution during shoot and leaf development in two sorghum genotypes under salt stress. Environ. Exp. Bot. 2003, 49, 107–120. [Google Scholar] [CrossRef]
- Abdel Latef, A.A.; Tran, L.S.P. Impacts of priming with silicon on the growth and tolerance of maize plants to alkaline stress. Front. Plant Sci. 2016, 7, 243. [Google Scholar] [CrossRef]
- Chen, C.; Xu, L.; Zhang, X.; Wang, H.; Nisa, Z.u.; Jin, X.; Yu, L.; Jing, L.; Chen, C.J.P.P. Exogenous strigolactones enhance tolerance in soybean seedlings in response to alkaline stress. Physiol. Plant. 2022, 174, e13784. [Google Scholar] [CrossRef]
- Lv, B.-S.; Ma, H.-Y.; Li, X.-W.; Wei, L.-X.; Lv, H.-Y.; Yang, H.-Y.; Jiang, C.-J.; Liang, Z.-W. Proline accumulation is not correlated with saline-alkaline stress tolerance in rice seedlings. Agron. J. 2015, 107, 51–60. [Google Scholar] [CrossRef]
- Jogawat, A.; Yadav, B.; Chhaya; Lakra, N.; Singh, A.K.; Narayan, O.P. Crosstalk between phytohormones and secondary metabolites in the drought stress tolerance of crop plants: A review. Physiol Plant 2021, 172, 1106–1132. [Google Scholar] [CrossRef] [PubMed]
- Yan, M.; Yao, Y.; Mou, K.; Dan, Y.; Li, W.; Wang, C.; Liao, W. The involvement of abscisic acid in hydrogen gas-enhanced drought resistance in tomato seedlings. Sci. Hortic. 2022, 292, 110631. [Google Scholar] [CrossRef]
- Zhao, B.; Liu, Q.; Wang, B.; Yuan, F. Roles of phytohormones and their signaling pathways in leaf development and stress responses. J. Agric. Food Chem. 2021, 69, 3566–3584. [Google Scholar] [CrossRef] [PubMed]
- Müller, L.M.; Flokova, K.; Schnabel, E.; Sun, X.; Fei, Z.; Frugoli, J.; Bouwmeester, H.J.; Harrison, M.J. A CLE-SUNN module regulates strigolactone content and fungal colonization in arbuscular mycorrhiza. Nat. Plants 2019, 5, 933–939. [Google Scholar] [CrossRef] [PubMed]
- Wu, F.; Gao, Y.; Yang, W.; Sui, N.; Zhu, J. Biological functions of strigolactones and their crosstalk with other phytohormones. Front. Plant Sci. 2022, 13, 821563. [Google Scholar] [CrossRef]
- Tang, Z.; Huang, X.; Huang, K. Strigolactones affect the yield of Tartary buckwheat by regulating endogenous hormone levels. BMC Plant Biol. 2024, 24, 320. [Google Scholar] [CrossRef]
- Liu, J.; He, H.; Vitali, M.; Visentin, I.; Charnikhova, T.; Haider, I.; Schubert, A.; Ruyter-Spira, C.; Bouwmeester, H.; Lovisolo, C.; et al. Osmotic stress represses strigolactone biosynthesis in Lotus japonicus roots: Exploring the interaction between strigolactones and ABA under abiotic stress. Planta 2015, 241, 14351451. [Google Scholar] [CrossRef]
- Ruiz-Lozano, J.M.; Aroca, R.; Zamarreño, Á.M.; Molina, S.; Andreo-Jiménez, B.; Porcel, R.; García-Mina, J.M.; Ruyter-Spira, C.; López-Ráez, J.A. Arbuscular mycorrhizal symbiosis induces strigolactone biosynthesis under drought and improves drought tolerance in lettuce and tomato. Plant Cell Environ. 2016, 39, 441–452. [Google Scholar] [CrossRef]
- Min, Z.; Li, R.; Chen, L.; Zhang, Y.; Li, Z.; Liu, M.; Ju, Y.; Fang, Y. Alleviation of drought stress in grapevine by foliar-applied strigolactones. Plant Physiol. Biochem. 2019, 135, 99–110. [Google Scholar] [CrossRef]
- Alvi, A.F.; Sehar, Z.; Fatma, M.; Masood, A.; Khan, N.A. Strigolactone: An Emerging Growth Regulator for Developing Resilience in Plants. Plants 2022, 11, 2604. [Google Scholar] [CrossRef] [PubMed]








| Treatment | Seedling Emergence Rate (%) |
|---|---|
| CK | 95.65 ± 0.8367 ab |
| G | 98.07 ± 0.4831 a |
| N | 72.95 ± 0.4836 c |
| NG | 90.82 ± 0.4831 b |
| Standard | Treatment | Stage | |||
|---|---|---|---|---|---|
| 1.5th Leaf | 2.5th Leaf | 3.5th Leaf | 4.5th Leaf | ||
| Plant height/cm | CK | 14.23 ± 0.2 b | 17.99 ± 0.18 b | 19.23 ± 0.08 b | 26.6 ± 0.14 b |
| G | 16.68 ± 0.12 a | 20.13 ± 0.11 a | 22.49 ± 0.21 a | 27.84 ± 0.22 a | |
| N | 8.53 ± 0.13 d | 13.01 ± 0.16 d | 15.7 ± 0.18 d | 19.6 ± 0.2 d | |
| NG | 12.08 ± 0.25 c | 15.85 ± 0.19 c | 16.85 ± 0.15 c | 24.54 ± 0.16 c | |
| Stem width/mm | CK | 0.91 ± 0.04 ab | 1.35 ± 0.02 b | 2.43 ± 0.04 b | 3.45 ± 0.03 b |
| G | 0.98 ± 0.03 a | 1.45 ± 0.03 a | 3.06 ± 0.06 a | 4.14 ± 0.07 a | |
| N | 0.71 ± 0.04 c | 1.03 ± 0.03 d | 1.64 ± 0.03 d | 2.6 ± 0.06 d | |
| NG | 0.84 ± 0.02 b | 1.26 ± 0.02 c | 2.16 ± 0.03 c | 3.0 ± 0.05 c | |
| Shoot freshly weight/g | CK | 0.0593 ± 0.0012 b | 0.106 ± 0.0037 b | 0.2108 ± 0.0044 b | 0.3315 ± 0.007 b |
| G | 0.0734 ± 0.0012 a | 0.1455 ± 0.0027 a | 0.2483 ± 0.0031 a | 0.3866 ± 0.0072 a | |
| N | 0.0358 ± 0.0009 d | 0.0725 ± 0.0012 d | 0.1153 ± 0.003 d | 0.1928 ± 0.0086 d | |
| NG | 0.0488 ± 0.0004 c | 0.0859 ± 0.0015 c | 0.148 ± 0.0044 c | 0.2513 ± 0.0055 c | |
| Shoot dry weight/g | CK | 0.0094 ± 0.0003 b | 0.0235 ± 0.0005 b | 0.0356 ± 0.0005 b | 0.0709 ± 0.0018 b |
| G | 0.0102 ± 0.0001 a | 0.0281 ± 0.0007 a | 0.0444 ± 0.0006 a | 0.0897 ± 0.002 a | |
| N | 0.0049 ± 0.0001 d | 0.0149 ± 0.0001 d | 0.0226 ± 0.0006 d | 0.0371 ± 0.0019 d | |
| NG | 0.0072 ± 0.0001 c | 0.0168 ± 0.0004 c | 0.0267 ± 0.0004 c | 0.0527 ± 0.0012 c | |
| Root fresh weight/g | CK | 0.0218 ± 0.0004 b | 0.0983 ± 0.0032 b | 0.1654 ± 0.0032 b | 0.2314 ± 0.0098 b |
| G | 0.0254 ± 0.0005 a | 0.1258 ± 0.0024 a | 0.1906 ± 0.0051 a | 0.2703 ± 0.0159 a | |
| N | 0.0154 ± 0.0006 d | 0.0521 ± 0.0026 d | 0.0814 ± 0.0029 d | 0.1039 ± 0.0031 d | |
| NG | 0.0195 ± 0.0004 c | 0.0628 ± 0.0009 c | 0.1044 ± 0.0043 c | 0.1519 ± 0.0037 c | |
| Root dry weight/g | CK | 0.0034 ± 0.0001 b | 0.0093 ± 0.0002 b | 0.0143 ± 0.0003 b | 0.0278 ± 0.0005 b |
| G | 0.0039 ± 0.0001 a | 0.0124 ± 0.0002 a | 0.0168 ± 0.0004 a | 0.0347 ± 0.0016 a | |
| N | 0.0015 ± 0.0001 d | 0.0048 ± 0.0001 d | 0.006 ± 0.0001 d | 0.0106 ± 0.0005 d | |
| NG | 0.0019 ± 0.0001 c | 0.0063 ± 0.0001 c | 0.0079 ± 0.0003 c | 0.0187 ± 0.0007 c | |
| Standard | Treatment | Stage | |||
|---|---|---|---|---|---|
| 1.5th Leaf | 2.5th Leaf | 3.5th Leaf | 4.5th Leaf | ||
| Total root length/cm | CK | 37.81 ± 1.1485 ab | 141.01 ± 1.0612 b | 227.09 ± 2.3753 b | 367.18 ± 10.6145 b |
| G | 42.46 ± 2.9531 a | 169.86 ± 4.5188 a | 244.03 ± 6.6281 a | 399.18 ± 2.5649 a | |
| N | 25.56 ± 1.4765 c | 103.92 ± 1.3854 d | 142.97 ± 0.8088 d | 209.98 ± 2.7684 d | |
| NG | 33.91 ± 0.2505 b | 116.69 ± 2.2825 c | 163.5 ± 3.5481 c | 279.79 ± 8.1806 c | |
| Total root surface area/cm2 | CK | 3.19 ± 0.1397 a | 13.35 ± 0.208 b | 20.51 ± 0.2558 b | 34.53 ± 1.206 a |
| G | 3.28 ± 0.1754 a | 16.03 ± 0.4771 a | 21.45 ± 0.4202 a | 36.18 ± 0.7503 a | |
| N | 1.65 ± 0.087 c | 8.31 ± 0.1429 d | 11.18 ± 0.3127 d | 16.93 ± 0.8313 c | |
| NG | 2.4 ± 0.0291 b | 10.48 ± 0.1152 c | 14.26 ± 0.1372 c | 23.88 ± 1.2475 b | |
| Total root volume/cm3 | CK | 0.03856 ± 0.0011 a | 0.15354 ± 0.0038 b | 0.36069 ± 0.0136 a | 0.45062 ± 0.0141 b |
| G | 0.03838 ± 0.0013 a | 0.19042 ± 0.0083 a | 0.366 ± 0.006 a | 0.52595 ± 0.0162 a | |
| N | 0.02003 ± 0.0006 c | 0.09403 ± 0.0033 d | 0.1716 ± 0.0077 c | 0.25028 ± 0.0115 d | |
| NG | 0.02501 ± 0.0007 b | 0.12476 ± 0.0032 c | 0.22168 ± 0.0125 b | 0.31168 ± 0.0059 c | |
| Mean root diameter/mm | CK | 0.294 ± 0.0024 a | 0.294 ± 0.0033 a | 0.317 ± 0.0046 a | 0.333 ± 0.0023 a |
| G | 0.287 ± 0.0044 ab | 0.306 ± 0.0023 a | 0.325 ± 0.0037 a | 0.339 ± 0.0021 a | |
| N | 0.229 ± 0.009 c | 0.266 ± 0.0049 a | 0.272 ± 0.0009 b | 0.293 ± 0.0039 c | |
| NG | 0.271 ± 0.0036 b | 0.293 ± 0.0089 b | 0.28 ± 0.0085 b | 0.316 ± 0.0059 b | |
| Treatment | SL (ng g−1) | ABA (ng g−1) | CTK (ng g−1) | IAA (ng g−1) | GA3 (ng g−1) | IAA/ABA | CTK/ABA |
|---|---|---|---|---|---|---|---|
| CK | 1706.11 ± 33.7278 d | 492.57 ± 12.6549 d | 269.51 ± 3.5092 c | 79.33 ± 1.2657 c | 0.33 ± 0.0060 b | 0.16 ± 0.0016 a | 0.55 ± 0.0072 b |
| G | 6652.79 ± 46.6260 a | 582.3 ± 12.1714 c | 419.13 ± 7.4722 a | 85.16 ± 0.2175 b | 0.33 ± 0.0064 b | 0.15 ± 0.0027 b | 0.72 ± 0.0025 a |
| N | 2006.05 ± 32.5903 c | 897.19 ± 2.3231 a | 217.05 ± 3.5979 d | 47.39 ± 0.7614 d | 0.25 ± 0.0019 c | 0.05 ± 0.007 d | 0.24 ± 0.0036 d |
| NG | 4144.17 ± 14.6975 b | 748.19 ± 4.9391 b | 376.16 ± 4.1620 b | 90.15 ± 1.2119 a | 0.38 ± 0.0037 a | 0.12 ± 0.0013 c | 0.5 ± 0.0025 c |
Disclaimer/Publisher’s Note: The statements, opinions and data contained in all publications are solely those of the individual author(s) and contributor(s) and not of MDPI and/or the editor(s). MDPI and/or the editor(s) disclaim responsibility for any injury to people or property resulting from any ideas, methods, instructions or products referred to in the content. |
© 2024 by the authors. Licensee MDPI, Basel, Switzerland. This article is an open access article distributed under the terms and conditions of the Creative Commons Attribution (CC BY) license (https://creativecommons.org/licenses/by/4.0/).
Share and Cite
Zhang, J.; Feng, N.; Zheng, D.; Khan, A.; Du, Y.; Wang, Y.; Deng, R.; Wu, J.; Xiong, J.; Sun, Z.; et al. Strigolactone Alleviates NaCl Stress by Regulating Antioxidant Capacity and Hormone Levels in Rice (Oryza sativa L.) Seedlings. Agriculture 2024, 14, 1662. https://doi.org/10.3390/agriculture14091662
Zhang J, Feng N, Zheng D, Khan A, Du Y, Wang Y, Deng R, Wu J, Xiong J, Sun Z, et al. Strigolactone Alleviates NaCl Stress by Regulating Antioxidant Capacity and Hormone Levels in Rice (Oryza sativa L.) Seedlings. Agriculture. 2024; 14(9):1662. https://doi.org/10.3390/agriculture14091662
Chicago/Turabian StyleZhang, Jianqin, Naijie Feng, Dianfeng Zheng, Aaqil Khan, Youwei Du, Yaxing Wang, Rui Deng, Jiashuang Wu, Jian Xiong, Zhiyuan Sun, and et al. 2024. "Strigolactone Alleviates NaCl Stress by Regulating Antioxidant Capacity and Hormone Levels in Rice (Oryza sativa L.) Seedlings" Agriculture 14, no. 9: 1662. https://doi.org/10.3390/agriculture14091662
APA StyleZhang, J., Feng, N., Zheng, D., Khan, A., Du, Y., Wang, Y., Deng, R., Wu, J., Xiong, J., Sun, Z., Zhang, Q., & Wang, M. (2024). Strigolactone Alleviates NaCl Stress by Regulating Antioxidant Capacity and Hormone Levels in Rice (Oryza sativa L.) Seedlings. Agriculture, 14(9), 1662. https://doi.org/10.3390/agriculture14091662
