Interaction Effects of Water and Nitrogen Practices on Wheat Yield, Water and Nitrogen Productivity under Drip Fertigation in Northern China
Abstract
1. Introduction
2. Materials and Methods
2.1. Experimental Site and Design
2.2. Sampling and Measurements
2.2.1. Meteorological Data
2.2.2. Soil Bulk Density, Water Content, NO3−–N and NH4+–N Concentrations
2.2.3. Plant Physiology Characteristics Analysis
2.2.4. Plant N Content and Grain Yield
2.2.5. Root Samples Collection
2.3. Data Analysis
2.3.1. Water Consumption Characteristics
2.3.2. Crop Water and Nitrogen Use Efficiency
2.3.3. Soil Ammonia/Nitrate-Nitrogen Accumulation
2.4. Statistical Analysis
3. Results
3.1. Soil Environmental Parameters
3.1.1. Soil Water Consumption and Sources of Water Consumption
3.1.2. Soil Inorganic Nitrogen Accumulation
3.2. Wheat Growth Parameters
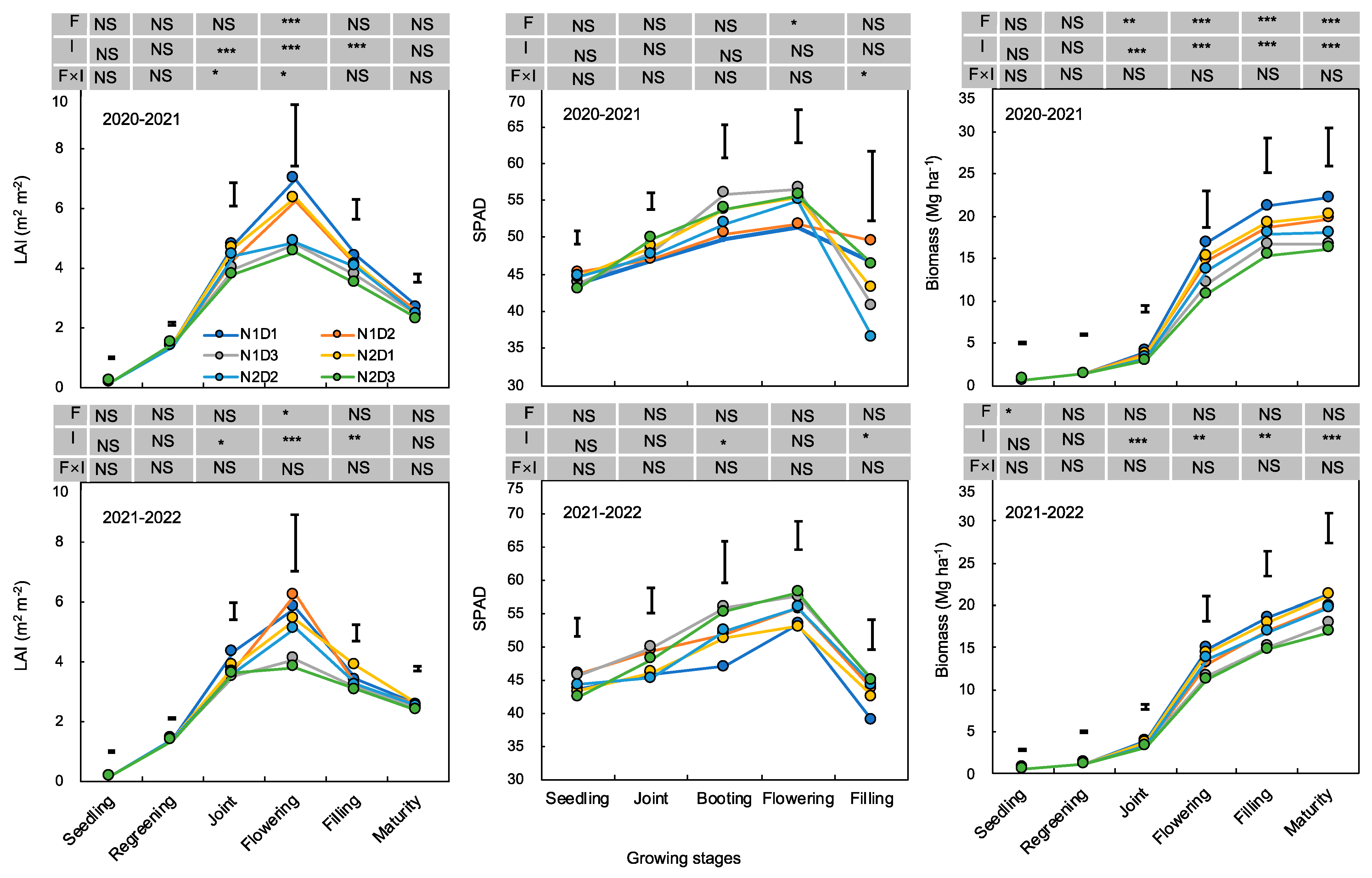
3.2.1. Leaf Area Index, SPAD Value and Biomass
3.2.2. Nitrogen Content of Plants
3.2.3. Root Length and Weight Density
3.2.4. N Accumulation and Distribution
3.3. Yield, Water and N Productivity
3.4. The Effects of Irrigation and N Managements on Wheat Growth and Crop Water Productivity
4. Discussion
4.1. The Effects of Fertilization and Irrigation on Soil Water and Nitrogen Conditions
4.2. The Effects of Fertilization and Irrigation on Crop Growth
4.3. The Effects of Fertilization and Irrigation on Biomass and Yield
5. Conclusions
Author Contributions
Funding
Institutional Review Board Statement
Data Availability Statement
Acknowledgments
Conflicts of Interest
References
- Asmamaw, D.K.; Janssens, P.; Dessie, M.; Tilahun, S.A.; Adgo, E.; Nyssen, J.; Walraevens, K.; Assaye, H.; Yenehun, A.; Nigate, F.; et al. Effect of deficit irrigation and soil fertility management on wheat production and water productivity in the Upper Blue Nile Basin, Ethiopia. Agric. Water Manag. 2023, 277, 108077. [Google Scholar] [CrossRef]
- Kharrou, M.H.; Le Page, M.; Chehbouni, A.; Simonneaux, V.; Er-Raki, S.; Jarlan, L.; Ouzine, L.; Khabba, S.; Chehbouni, G. Assessment of equity and adequacy of water delivery in irrigation systems using remote sensing-based indicators in semi-arid region, Morocco. Water Resour. Manag. 2013, 27, 4697–4714. [Google Scholar] [CrossRef]
- Rady, M.O.A.; Semida, W.M.; Howladar, S.M.; Abd El-Mageed, T.A. Raised beds modulate physiological responses, yield and water use efficiency of wheat (Triticum aestivum L.) under deficit irrigation. Agric. Water Manag. 2021, 245, 106629. [Google Scholar] [CrossRef]
- Jha, S.K.; Gao, Y.; Liu, H.; Huang, Z.; Wang, G.; Liang, Y.; Duan, A. Root development and water uptake in winter wheat under different irrigation methods and scheduling for North China. Agric. Water Manag. 2017, 182, 139–150. [Google Scholar] [CrossRef]
- Liu, C.; Zhang, X.; Zhang, Y. Determination of daily evaporation and evapotranspiration of winter wheat and maize by large-scale weighing lysimeter and micro-lysimeter. Agric. For. Meteorol. 2002, 111, 109–120. [Google Scholar] [CrossRef]
- Zhang, X.; Bol, R.; Rahn, C.; Xiao, G.; Meng, F.; Wu, W. Agricultural sustainable intensification improved nitrogen use efficiency and maintained high crop yield during 1980-2014 in Northern China. Sci. Total Environ. 2017, 596–597, 61–68. [Google Scholar] [CrossRef]
- Akbari, M.; Gheysari, M.; Mostafazadeh-Fard, B.; Shayannejad, M. Surface irrigation simulation-optimization model based on meta-heuristic algorithms. Agric. Water Manag. 2018, 201, 46–57. [Google Scholar] [CrossRef]
- Shen, H.; Gao, Y.; Sun, K.; Gu, Y.; Ma, X. Effects of differential irrigation and nitrogen reduction replacement on winter wheat yield and water productivity and nitrogen-use efficiency. Agric. Water Manag. 2023, 282, 108289. [Google Scholar] [CrossRef]
- Zhang, X.; Meng, F.; Li, H.; Wang, L.; Wu, S.; Xiao, G.; Wu, W. Optimized fertigation maintains high yield and mitigates N2O and NO emissions in an intensified wheat–maize cropping system. Agric. Water Manag. 2019, 211, 26–36. [Google Scholar] [CrossRef]
- Mounzer, O.; Pedrero-Salcedo, F.; Nortes, P.A.; Bayona, J.-M.; Nicolás-Nicolás, E.; Alarcón, J.J. Transient soil salinity under the combined effect of reclaimed water and regulated deficit drip irrigation of Mandarin trees. Agric. Water Manag. 2013, 120, 23–29. [Google Scholar] [CrossRef]
- Farneselli, M.; Benincasa, P.; Tosti, G.; Simonne, E.; Guiducci, M.; Tei, F. High fertigation frequency improves nitrogen uptake and crop performance in processing tomato grown with high nitrogen and water supply. Agric. Water Manag. 2015, 154, 52–58. [Google Scholar] [CrossRef]
- Wang, J.; Niu, W.; Li, Y.; Lv, W. Subsurface drip irrigation enhances soil nitrogen and phosphorus metabolism in tomato root zones and promotes tomato growth. Appl. Soil Ecol. 2018, 124, 240–251. [Google Scholar] [CrossRef]
- Guo, R.; Qian, R.; Han, F.; Khaliq, A.; Hussain, S.; Yang, L.; Zhang, P.; Chen, X.; Ren, X. Managing straw and nitrogen fertilizer based on nitrate threshold for balancing nitrogen requirement of maize and nitrate residue. J. Environ. Manag. 2023, 329, 117084. [Google Scholar] [CrossRef] [PubMed]
- Yao, C.; Li, J.; Zhang, Z.; Liu, Y.; Wang, Z.; Sun, Z.; Zhang, Y. Improving wheat yield, quality and resource utilization efficiency through nitrogen management based on micro-sprinkler irrigation. Agric. Water Manag. 2023, 282, 108277. [Google Scholar]
- Si, Z.; Zain, M.; Mehmood, F.; Wang, G.; Gao, Y.; Duan, A. Effects of nitrogen application rate and irrigation regime on growth, yield, and water-nitrogen use efficiency of drip-irrigated winter wheat in the North China Plain. Agric. Water Manag. 2020, 231, 106002. [Google Scholar] [CrossRef]
- Tedone, L.; Alhajj Ali, S.; Verdini, L.; De Mastro, G. Nitrogen management strategy for optimizing agronomic and environmental performance of rainfed durum wheat under Mediterranean climate. J. Clean. Prod. 2018, 172, 2058–2074. [Google Scholar] [CrossRef]
- Zhang, Z.; Yu, Z.; Zhang, Y.; Shi, Y. Split nitrogen fertilizer application improved grain yield in winter wheat (Triticum aestivum L.) via modulating antioxidant capacity and 13C photosynthate mobilization under water-saving irrigation conditions. Ecol. Process. 2021, 10, 21. [Google Scholar] [CrossRef]
- Yu, X.; Keitel, C.; Zhang, Y.; Wangeci, A.N.; Dijkstra, F.A. Global meta-analysis of nitrogen fertilizer use efficiency in rice, wheat and maize. Agric. Ecosyst. Environ. 2022, 338, 108089. [Google Scholar] [CrossRef]
- Foulkes, M.J.; Hawkesford, M.J.; Barraclough, P.B.; Holdsworth, M.J.; Kerr, S.; Kightley, S.; Shewry, P.R. Identifying traits to improve the nitrogen economy of wheat: Recent advances and future prospects. Field Crops Res. 2009, 114, 329–342. [Google Scholar] [CrossRef]
- Li, J.; Xu, X.; Lin, G.; Wang, Y.; Liu, Y.; Zhang, M.; Zhou, J.; Wang, Z.; Zhang, Y. Micro-irrigation improves grain yield and resource use efficiency by co-locating the roots and N-fertilizer distribution of winter wheat in the North China Plain. Sci. Total Environ. 2018, 643, 367–377. [Google Scholar] [CrossRef]
- Yang, D.; Li, S.; Wu, M.; Yang, H.; Zhang, W.; Chen, J.; Wang, C.; Huang, S.; Zhang, R.; Zhang, Y. Drip irrigation improves spring wheat water productivity by reducing leaf area while increasing yield. Eur. J. Agron. 2023, 143, 126710. [Google Scholar] [CrossRef]
- Guo, Y.; Yin, W.; Hu, F.; Fan, Z.; Fan, H.; Zhao, C.; Yu, A.; Chai, Q.; Coulter, J.A. Reduced irrigation and nitrogen coupled with no-tillage and plastic mulching increase wheat yield in maize-wheat rotation in an arid region. Field Crops Res. 2019, 243, 107615. [Google Scholar] [CrossRef]
- Wang, J.; Du, G.; Tian, J.; Jiang, C.; Zhang, Y.; Zhang, W. Mulched drip irrigation increases cotton yield and water use efficiency via improving fine root plasticity. Agric. Water Manag. 2021, 255, 106992. [Google Scholar] [CrossRef]
- Sampathkumar, T.; Pandian, B.J.; Mahimairaja, S. Soil moisture distribution and root characters as influenced by deficit irrigation through drip system in cotton–maize cropping sequence. Agric. Water Manag. 2012, 103, 43–53. [Google Scholar] [CrossRef]
- Wang, C.; Liu, W.; Li, Q.; Ma, D.; Lu, H.; Feng, W.; Xie, Y.; Zhu, Y.; Guo, T. Effects of different irrigation and nitrogen regimes on root growth and its correlation with above-ground plant parts in high-yielding wheat under field conditions. Field Crops Res. 2014, 165, 138–149. [Google Scholar] [CrossRef]
- Gao, Z.; Liang, X.G.; Lin, S.; Zhao, X.; Zhang, L.; Zhou, L.L.; Shen, S.; Zhou, S.L. Supplemental irrigation at tasseling optimizes water and nitrogen distribution for high-yield production in spring maize. Field Crops Res. 2017, 209, 120–128. [Google Scholar] [CrossRef]
- Ye, T.; Ma, J.; Zhang, P.; Shan, S.; Liu, L.; Tang, L.; Cao, W.; Liu, B.; Zhu, Y. Interaction effects of irrigation and nitrogen on the coordination between crop water productivity and nitrogen use efficiency in wheat production on the North China Plain. Agric. Water Manag. 2022, 271, 107787. [Google Scholar] [CrossRef]
- Yan, P.; Yue, S.; Qiu, M.; Chen, X.; Cui, Z.; Chen, F. Using maize hybrids and in-season nitrogen management to improve grain yield and grain nitrogen concentrations. Field Crops Res. 2014, 166, 38–45. [Google Scholar] [CrossRef]
- Zhang, D.B.; Zhang, C.; Ren, H.L.; Xu, Q.; Yao, Z.Y.; Yuan, Y.Q.; Yao, P.W.; Zhao, N.; Li, Y.Y.; Zhang, S.Q.; et al. Trade-offs between winter wheat production and soil water consumption via leguminous green manures in the Loess Plateau of China. Field Crop Res. 2021, 272, 108278. [Google Scholar] [CrossRef]
- Wang, D.; Yu, Z.; White, P.J. The effect of supplemental irrigation after jointing on leaf senescence and grain filling in wheat. Field Crops Res. 2013, 151, 35–44. [Google Scholar] [CrossRef]
- Jha, S.K.; Ramatshaba, T.S.; Wang, G.; Liang, Y.; Liu, H.; Gao, Y.; Duan, A. Response of growth, yield and water use efficiency of winter wheat to different irrigation methods and scheduling in North China Plain. Agric. Water Manag. 2019, 217, 292–302. [Google Scholar]
- Koutroubas, S.D.; Fotiadis, S.; Damalas, C.A. Biomass and nitrogen accumulation and translocation in spelt (Triticum spelta) grown in a Mediterranean area. Field Crops Res. 2012, 127, 1–8. [Google Scholar] [CrossRef]
- Dai, Y.; Fan, J.; Liao, Z.; Zhang, C.; Yu, J.; Feng, H.; Zhang, F.; Li, Z. Supplemental irrigation and modified plant density improved photosynthesis, grain yield and water productivity of winter wheat under ridge-furrow mulching. Agric. Water Manag. 2022, 274, 107985. [Google Scholar] [CrossRef]
- Wang, B.; van Dam, J.; Yang, X.; Ritsema, C.; Du, T.; Kang, S. Reducing water productivity gap by optimizing irrigation regime for winter wheat-summer maize system in the North China Plain. Agric. Water Manag. 2023, 280, 108229. [Google Scholar] [CrossRef]
- He, Y.; Xi, B.; Li, G.; Wang, Y.; Jia, L.; Zhao, D. Influence of drip irrigation, nitrogen fertigation, and precipitation on soil water and nitrogen distribution, tree seasonal growth and nitrogen uptake in young triploid poplar (Populus tomentosa) plantations. Agric. Water Manag. 2021, 243, 106460. [Google Scholar] [CrossRef]
- Sato, S.; Morgan, K.T.; Ozores-Hampton, M.; Simonne, E.H. Spatial and temporal distributions in sandy soils with seepage irrigation: I. ammonium and nitrate. Soil Sci. Soc. Am. J. 2009, 73, 1044–1052. [Google Scholar] [CrossRef]
- Yan, S.; Wu, Y.; Fan, J.; Zhang, F.; Guo, J.; Zheng, J.; Wu, L. Optimization of drip irrigation and fertilization regimes to enhance winter wheat grain yield by improving post-anthesis dry matter accumulation and translocation in northwest China. Agric. Water Manag. 2022, 271, 107782. [Google Scholar] [CrossRef]
- Maurel, C.; Nacry, P. Root architecture and hydraulics converge for acclimation to changing water availability. Nat. Plants 2020, 6, 744–749. [Google Scholar] [CrossRef]
- Boedhram, N.; Arkebauer, T.J.; Batchelor, W.D. Season-long characterization of vertical distribution of leaf area in corn. Agron. J. 2001, 93, 1235–1242. [Google Scholar] [CrossRef]
- Han, Y.; Wang, Y.; Zhang, D.; Gao, H.; Sun, Y.; Tao, B.; Zhang, F.; Ma, H.; Liu, X.; Ren, H. Planting models and deficit irrigation strategies to improve radiation use efficiency, dry matter translocation and winter wheat productivity under semi-arid regions. J. Plant Physiol. 2023, 280, 153864. [Google Scholar] [CrossRef]
- Liu, K.; Zhang, T.Q.; Tan, C.S.; Astatkie, T.; Price, G.W. Crop and soil nitrogen responses to phosphorus and potassium fertilization and drip irrigation under processing tomato. Nutr. Cycl. Agroecosystems 2012, 93, 151–162. [Google Scholar] [CrossRef]
- Ye, T.; Liu, B.; Wang, X.; Zhou, J.; Liu, L.; Tang, L.; Cao, W.; Zhu, Y. Effects of water-nitrogen interactions on the fate of nitrogen fertilizer in a wheat-soil system. Eur. J. Agron. 2022, 136, 126507. [Google Scholar] [CrossRef]
- Ercoli, L.; Lulli, L.; Mariotti, M.; Masoni, A.; Arduini, I. Post-anthesis dry matter and nitrogen dynamics in durum wheat as affected by nitrogen supply and soil water availability. Eur. J. Agron. 2008, 28, 138–147. [Google Scholar] [CrossRef]
- Liu, M.; Wu, X.; Li, C.; Li, M.; Xiong, T.; Tang, Y. Dry matter and nitrogen accumulation, partitioning, and translocation in synthetic-derived wheat cultivars under nitrogen deficiency at the post-jointing stage. Field Crops Res. 2020, 248, 107720. [Google Scholar] [CrossRef]
- Shang, Y.; Wang, S.; Lin, X.; Gu, S.; Wang, D. Supplemental irrigation at jointing improves spike formation of wheat tillers by regulating sugar distribution in ear and stem. Agric. Water Manag. 2023, 279, 108160. [Google Scholar] [CrossRef]
- Aisawi, K.A.B.; Reynolds, M.P.; Singh, R.P.; Foulkes, M.J. The physiological basis of the genetic progress in yield potential of CIMMYT spring wheat cultivars from 1966 to 2009. Crop Sci. 2015, 55, 1749–1764. [Google Scholar] [CrossRef]
- Piao, L.; Qi, H.; Li, C.; Zhao, M. Optimized tillage practices and row spacing to improve grain yield and matter transport efficiency in intensive spring maize. Field Crops Res. 2016, 198, 258–268. [Google Scholar] [CrossRef]
- Liu, C.; Ren, D.; Liu, H.; Zhang, Y.; Wang, L.; Li, Z.; Zhang, M. Optimizing nitrogen management diminished reactive nitrogen loss and acquired optimal net ecosystem economic benefit in a wheat-maize rotation system. J. Clean. Prod. 2022, 331, 129964. [Google Scholar] [CrossRef]
- Wang, Y.; Peng, Y.; Lin, J.; Wang, L.; Jia, Z.; Zhang, R. Optimal nitrogen management to achieve high wheat grain yield, grain protein content, and water productivity: A meta-analysis. Agric. Water Manag. 2023, 290, 108587. [Google Scholar] [CrossRef]
- Gao, Z.; Wang, C.; Zhao, J.; Wang, K.; Shang, M.; Qin, Y.; Bo, X.; Chen, F.; Chu, Q. Adopting different irrigation and nitrogen management based on precipitation year types balances winter wheat yields and greenhouse gas emissions. Field Crops Res. 2022, 280, 108484. [Google Scholar] [CrossRef]









| Year | Treatment | NAM kg ha−1 | NT kg ha−1 | NTPC % |
|---|---|---|---|---|
| 2020–2021 | N1D1 | 320.1 ± 5.4 a | 207.1 ± 7.6 a | 78.4 ± 3.0 a |
| N1D2 | 274.3 ± 3.6 b | 172.0 ± 4.5 b | 75.3 ± 2.9 ab | |
| N1D3 | 219.7 ± 5.7 d | 138.6 ± 2.1 c | 75.8 ± 2.0 ab | |
| N2D1 | 288.0 ± 4.5 b | 171.3 ± 3.2 b | 76.3 ± 1.9 ab | |
| N2D2 | 259.3 ± 6.3 c | 148.3 ± 3.3 c | 70.1 ± 0.5 b | |
| N2D3 | 195.2 ± 1.5 e | 115.9 ± 1.7 d | 70.1 ± 0.7 b | |
| 2021–2022 | N1D1 | 323.1 ± 13.1 a | 189.6 ± 7.1 ab | 71.0 ± 4.9 ab |
| N1D2 | 328.6 ± 8.9 a | 197.6 ± 4.5 a | 72.2 ± 5.7 a | |
| N1D3 | 251.8 ± 3.6 cd | 126.3 ± 1.0 d | 58.5 ± 0.6 b | |
| N2D1 | 316.4 ± 20.3 ab | 181.8 ± 5.5 b | 70.5 ± 3.0 ab | |
| N2D2 | 281.3 ± 13.0 bc | 147.2 ± 2.3 c | 64.2 ± 5.0 ab | |
| N2D3 | 241.4 ± 7.7 d | 122.0 ± 2.5 d | 59.5 ± 1.0 ab | |
| Three-way ANOVA | ||||
| Year (Y) | ** | NS | ** | |
| Fertilization (F) | ** | ** | NS | |
| Irrigation (I) | ** | ** | ** | |
| Y × F | NS | NS | NS | |
| Y × I | NS | * | NS | |
| F × I | NS | ** | NS | |
| Y × F × I | NS | ** | NS | |
| Formation of Yield | Yield | N Uptake | Water Productivity | N Productivity | ||||||||
|---|---|---|---|---|---|---|---|---|---|---|---|---|
| Year | Treatment | Spike Number | Kernels per Spike | 1000-Grain Weight | Straw | Grain | Total | WUE | IWUE | PFP | ANUE | |
| 104 ha−1 | g | Mg ha−1 | kg N ha−1 | kg mm−1 | ||||||||
| 2020–2021 | N1D1 | 687.7 ± 5.2 a | 39.7 ± 1.0 a | 47.7 ± 0.6 a | 10.7 ± 0.2 a | 48.8 ± 4.7 ab | 242.6 ± 4.9 a | 291.4 ± 7.2 a | 1.9 ± 0.0 b | 4.8 ± 0.1 c | 50.9 ± 0.8 a | 138.8 ± 3.4 a |
| N1D2 | 651.0 ± 15.9 a | 38.6 ± 1.8 a | 48.6 ± 0.9 a | 10.0 ± 0.1 ab | 38.9 ± 1.9 abc | 232.0 ± 2.7 ab | 270.8 ± 4.4 a | 1.9 ± 0.1 b | 5.4 ± 0.1 b | 47.8 ± 0.7 ab | 129.0 ± 2.1 a | |
| N1D3 | 611.3 ± 7.4 b | 39.7 ± 2.2 a | 48.6 ± 0.4 a | 9.8 ± 0.1 b | 28.3 ± 3.7 cd | 219.8 ± 5.2 b | 248.1 ± 8.7 b | 2.2 ± 0.0 a | 6.7 ± 0.1 a | 46.4 ± 0.6 b | 118.2 ± 4.2 b | |
| N2D1 | 605.3 ± 2.4 b | 40.6 ± 0.4 a | 49.6 ± 1.7 a | 9.9 ± 0.2 ab | 55.6 ± 5.4 a | 240.4 ± 2.4 a | 296.0 ± 7.1 a | 1.9 ± 0.1 b | 4.4 ± 0.1 c | 47.4 ± 1.0 ab | 140.9 ± 3.4 a | |
| N2D2 | 609.0 ± 2.1 b | 39.8 ± 2.4 a | 50.4 ± 0.8 a | 9.9 ± 0.2 ab | 37.1 ± 2.5 bcd | 248.1 ± 8.2 a | 285.1 ± 7.6 a | 2.0 ± 0.1 ab | 5.4 ± 0.1 b | 47.3 ± 0.8 ab | 135.8 ± 3.6 a | |
| N2D3 | 611.7 ± 5.8 b | 38.6 ± 1.8 a | 47.8 ± 0.7 a | 9.5 ± 0.3 b | 20.9 ± 2.7 d | 219.8 ± 5.1 b | 240.6 ± 2.4 b | 1.9 ± 0.1 b | 6.5 ± 0.2 a | 45.2 ± 1.3 b | 114.6 ± 1.1 b | |
| 2021–2022 | N1D1 | 671.0 ± 8.7 bc | 35.9 ± 0.7 a | 51.2 ± 0.5 a | 10.2 ± 0.1 a | 51.9 ± 3.2 ab | 258.9 ± 10.2 ab | 310.8 ± 10.4 a | 2.0 ± 0.1 ab | 8.4 ± 0.0 b | 48.5 ± 0.3 a | 148.0 ± 5.0 a |
| N1D2 | 719.3 ± 12.1 ab | 33.5 ± 1.0 a | 51.0 ± 1.4 a | 10.3 ± 0.4 a | 43.9 ± 8.5 abc | 276.8 ± 6.0 a | 320.8 ± 5.7 a | 2.2 ± 0.1 a | 10.0 ± 0.3 a | 48.9 ± 1.7 a | 152.7 ± 2.7 a | |
| N1D3 | 717.0 ± 18.6 ab | 33.2 ± 2.1 a | 49.4 ± 1.5 a | 9.9 ± 0.0 a | 25.7 ± 2.6 c | 236.2 ± 19.0 b | 261.9 ± 16.9 b | 1.8 ± 0.0 b | 10.6 ± 0.0 a | 47.1 ± 0.1 a | 124.7 ± 8.1 b | |
| N2D1 | 714.3 ± 9.8 ab | 34.9 ± 0.8 a | 50.2 ± 1.8 a | 10.1 ± 0.0 a | 55.0 ± 6.0 a | 248.3 ± 19.0 ab | 303.3 ± 25.0 ab | 2.0 ± 0.1 ab | 8.4 ± 0.0 b | 48.2 ± 0.2 a | 144.4 ± 11.9 ab | |
| N2D2 | 754.7 ± 2.2 a | 34.2 ± 0.6 a | 46.6 ± 2.3 a | 10.1 ± 0.2 a | 39.6 ± 3.1 abc | 269.0 ± 3.8 a | 308.7 ± 4.8 a | 2.1 ± 0.1 ab | 9.8 ± 0.2 a | 48.1 ± 1.1 a | 147.0 ± 2.3 a | |
| N2D3 | 658.7 ± 4.2 c | 35.5 ± 0.7 a | 49.7 ± 1.3 a | 9.6 ± 0.2 a | 30.9 ± 3.1 bc | 246.4 ± 12.9 b | 277.3 ± 12.8 ab | 1.9 ± 0.0 ab | 10.4 ± 0.2 a | 45.9 ± 0.7 a | 132.0 ± 6.1 ab | |
| Three-way ANOVA | ||||||||||||
| Year (Y) | *** | *** | NS | NS | NS | ** | ** | NS | *** | NS | ** | |
| Fertilization (F) | ** | NS | NS | * | NS | NS | NS | NS | NS | * | NS | |
| Irrigation (I) | *** | NS | NS | *** | *** | * | *** | * | *** | ** | *** | |
| Y × F | *** | NS | NS | NS | NS | NS | NS | NS | NS | NS | NS | |
| Y × I | *** | NS | NS | NS | NS | NS | NS | ** | ** | NS | NS | |
| F × I | NS | NS | NS | NS | NS | NS | NS | NS | NS | NS | NS | |
| Y × F × I | *** | NS | NS | NS | NS | * | NS | NS | NS | NS | NS | |
Disclaimer/Publisher’s Note: The statements, opinions and data contained in all publications are solely those of the individual author(s) and contributor(s) and not of MDPI and/or the editor(s). MDPI and/or the editor(s) disclaim responsibility for any injury to people or property resulting from any ideas, methods, instructions or products referred to in the content. |
© 2024 by the authors. Licensee MDPI, Basel, Switzerland. This article is an open access article distributed under the terms and conditions of the Creative Commons Attribution (CC BY) license (https://creativecommons.org/licenses/by/4.0/).
Share and Cite
Zhang, X.; Zhang, J.; Li, L.; Liu, Y.; Zhen, W.; Wang, G. Interaction Effects of Water and Nitrogen Practices on Wheat Yield, Water and Nitrogen Productivity under Drip Fertigation in Northern China. Agriculture 2024, 14, 1496. https://doi.org/10.3390/agriculture14091496
Zhang X, Zhang J, Li L, Liu Y, Zhen W, Wang G. Interaction Effects of Water and Nitrogen Practices on Wheat Yield, Water and Nitrogen Productivity under Drip Fertigation in Northern China. Agriculture. 2024; 14(9):1496. https://doi.org/10.3390/agriculture14091496
Chicago/Turabian StyleZhang, Xin, Jianheng Zhang, Liwei Li, Yang Liu, Wenchao Zhen, and Guiyan Wang. 2024. "Interaction Effects of Water and Nitrogen Practices on Wheat Yield, Water and Nitrogen Productivity under Drip Fertigation in Northern China" Agriculture 14, no. 9: 1496. https://doi.org/10.3390/agriculture14091496
APA StyleZhang, X., Zhang, J., Li, L., Liu, Y., Zhen, W., & Wang, G. (2024). Interaction Effects of Water and Nitrogen Practices on Wheat Yield, Water and Nitrogen Productivity under Drip Fertigation in Northern China. Agriculture, 14(9), 1496. https://doi.org/10.3390/agriculture14091496
