Effect of Powdery Mildew on the Photosynthetic Parameters and Leaf Microstructure of Melon
Abstract
1. Introduction
2. Materials and Methods
2.1. Experimental Material and Conditions
2.2. Index Measurement
2.2.1. Determination of Melon Appearance
2.2.2. Determining Photosynthetic Indices and Chlorophyll Content
2.2.3. Powdery Mildew Disease Index Investigation
2.2.4. Observation and Determination of the Leaf Epidermis Ultrastructure
2.2.5. Determining Melon Yield and Fruit Quality Index
2.3. Data Analysis
3. Results
3.1. Appearance of the Five Tested Varieties of Melon
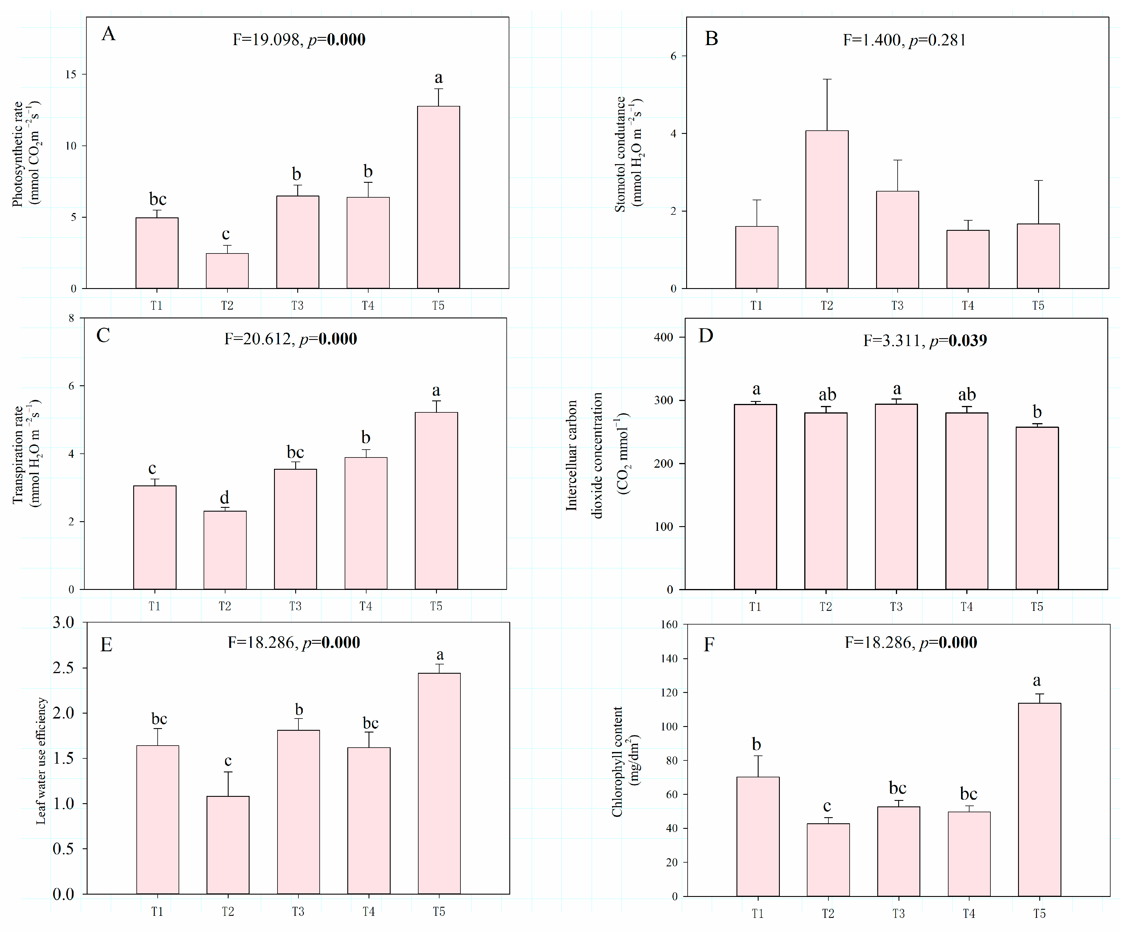
3.2. Effect of Powdery Mildew on the Photosynthetic Parameters of Melon Leaves
3.3. Effect of Powdery Mildew on the Disease Index of Melon Leaves
3.4. Effect of Powdery Mildew on the Ultrastructure of Melon Leaves
3.5. Effect of Powdery Mildew on the Yield and Quality of Melon Varieties
4. Discussion
5. Conclusions
Supplementary Materials
Author Contributions
Funding
Institutional Review Board Statement
Data Availability Statement
Conflicts of Interest
References
- Jeffrey, C.; De Wilde, W.J.J.O. A review of the subtribe Thladianthinae (Cucurbitaceae). Bot. Zhurn. 2006, 91, 766–776. [Google Scholar]
- Wang, Y.L.; Gao, L.Y.; Yang, S.Y.; Xu, Y.B.; Zhu, H.Y.; Yang, L.M.; Li, Q.; Hu, J.B.; Sun, S.R.; Ma, C.S. Molecular diversity and population structure of oriental thin-skinned melons, Cucumis melo subsp. agrestis, revealed by a set of core SSR markers. Sci. Hortic. 2018, 229, 59–64. [Google Scholar] [CrossRef]
- Vendruscolo, E.P.; Campos, L.F.C.; Seleguini, A.; Martins, A.P.B.; Lima, S.F.D. Economic viability of muskmelon cultivation in different planting spacing in Brazil central region. Rev. Fac. Nac. Agric. Medellín 2017, 70, 8319–8325. [Google Scholar] [CrossRef]
- Tian, M.; Liang, J.J.; Liu, S.F.; Yu, R.; Zhang, X.X. Effects of watermelon cropping management on soil bacteria and fungi biodiversity. Agriculture 2023, 13, 1010. [Google Scholar] [CrossRef]
- McGrath, M.T.; Thomas, C.E. Powdery mildew. In Compendium of Cucurbit Diseases; Zitter, T.A., Hopkins, D.L., Thomas, C.E., Eds.; APS Press: St. Paul, MN, USA, 1997; pp. 28–30. [Google Scholar]
- Sitterly, R.W. Powdery mildews of cucurbits. In The Powdery Mildews; Spencer, D.M., Ed.; Academic Press: London, UK, 1978; pp. 359–379. [Google Scholar]
- Wang, Z.L.; Li, L.H.; He, Z.H.; Duan, X.Y.; Zhou, Y.L.; Chen, X.M.; Lillemo, M.; Singh, R.P.; Wang, H.; Xia, X.C. Seedling and adult plant resistance to powdery mildew in Chinese bread wheat cultivars and lines. Plant Dis. 2005, 89, 457–463. [Google Scholar] [CrossRef] [PubMed]
- Gadoury, D.M.; Seem, R.C.; Pearson, R.C.; Wilcox, W.F.; Dunst, R.M. Effects of powdery mildew on vine growth, yield, and quality of Concord grapes. Plant Dis. 2001, 85, 137–140. [Google Scholar] [CrossRef] [PubMed]
- Calonnec, A.; Cartolaro, P.; Deliere, L.; Chadoeuf, J. Powderymildew on grapevine: The date of primary contamination affects disease development on leaves and damage on grape. Bull. OILB/SROP 2006, 29, 67–73. [Google Scholar]
- Caffi, T.; Legler, S.E.; Rossi, V.; Bugiani, R.; Ji, T.; Carisse, O.; Li, M.; A Weldon, W.; Marks, M.; Gevens, A.J.; et al. Evaluation of a warning system for early-season control of grapevine powdery mildew. Plant Dis. 2012, 96, 104–110. [Google Scholar] [CrossRef] [PubMed]
- Cui, L.; Siskos, L.; Wang, C.; Schouten, H.J.; Visser, R.G.F.; Bai, Y. Breeding melon (Cucumis melo) with resistance to powdery mildew and downy mildew. Hortic. Plant J. 2022, 8, 545–561. [Google Scholar] [CrossRef]
- Freires, A.L.A.; Figueiredo, F.R.A.; Alves, T.R.C.; Barroso, K.A.; da Silva, I.V.P.; Silva, J.L.S.; de Almeida Nogueira, G.; Melo, N.J.A.; Júnior, R.S.; Negreiros, A.M.P.; et al. Alternative products in the management of powdery mildew (Podosphaera xanthii) in melon. Trop. Plant Pathol. 2022, 47, 608–617. [Google Scholar] [CrossRef]
- Qiu, L.; Liu, N.; Wang, H.; Shi, X.; Li, F.; Zhang, Q.; Wang, W.; Guo, W.; Hu, Z.; Li, H.; et al. Fine mapping of a powdery mildew resistance gene MlIW39 derived from wild emmer wheat (Triticum turgidum ssp. dicoccoides). Theor. Appl. Genet. 2021, 134, 2469–2479. [Google Scholar] [CrossRef] [PubMed]
- Li, M.M.; Dong, L.L.; Li, B.B.; Wang, Z.; Xie, J.; Qiu, D.; Li, Y.; Shi, W.; Yang, L.; Wu, Q.; et al. A CNL protein in wild emmer wheat confers powdery mildew resistance. New Phytol. 2020, 228, 1027–1037. [Google Scholar] [CrossRef] [PubMed]
- Rana, C.; Sharma, A.; Rathour, R.; Bansuli; Banyal, D.K.; Rana, R.S.; Sharma, P. In vivo and in vitro validation of powdery mildew resistance in garden pea genotypes. Sci. Rep. 2023, 13, 2243. [Google Scholar] [CrossRef] [PubMed]
- Wang, Y.H.; Wu, D.H.; Huang, J.H.; Tsao, S.J.; Hwu, K.K.; Lo, H.F. Mapping quantitative trait loci for fruit traits and powdery mildew resistance in melon (Cucumis melo). Bot. Stud. 2016, 57, 19. [Google Scholar] [CrossRef] [PubMed]
- He, L.M.; Cui, K.D.; Ma, D.C.; Shen, R.P.; Huang, X.P.; Jiang, J.G.; Mu, W.; Liu, F. Activity, translocation, and persistence of isopyrazam for controlling cucumber powdery mildew. Plant Dis. 2017, 101, 1139–1144. [Google Scholar] [CrossRef] [PubMed]
- Lozano-Durán, R.; Bourdais, G.; He, S.Y.; Robatzek, S. The bacterial effect or HopM1 suppresses PAMP-triggered oxidative burst and stomatal immunity. New Phytol. 2014, 202, 259–269. [Google Scholar] [CrossRef] [PubMed]
- Zhang, H.J.; Ge, Y.; Wang, Q.; Zhang, J.N. Role of leaf structure in resistance to powdery mildew in water melon. Indian J. Genet. Plant Breed. 2015, 75, 237–241. [Google Scholar] [CrossRef]
- Ye, W.; Hu, S.; Wu, L.; Ge, C.; Cui, Y.; Chen, P.; Xu, J.; Dong, G.; Guo, L.; Qian, Q. Fine mapping a major QTL qFCC7L for chlorophyll content in rice (Oryza sativa L.) cv. PA64s. Plant Growth Regul. 2017, 81, 81–90. [Google Scholar] [CrossRef]
- Huang, W.; Lamb, D.W.; Niu, Z.; Zhang, Y.J.; Liu, L.Y.; Wang, J.H. Identification of yellow rust in wheat using in-situ spectral reflectance measurements and airborne hyperspectral imaging. Precis. Agric. 2007, 8, 187–197. [Google Scholar] [CrossRef]
- Kou, M.-Z.; Bastías, D.A.; Christensen, M.J.; Zhong, R.; Nan, Z.-B.; Zhang, X.-X. The Plant salicylic acid signalling pathway regulates the infection of a biotrophic pathogen in grasses associated with an Epichloë endophyte. J. Fungi 2021, 7, 633. [Google Scholar] [CrossRef] [PubMed]
- Kuo, C.C.; Huang, Y.C.; Deng, W.L. Evaluating the efficacy of the fermentation formula of Bacillus velezensis strain tcb43 in controlling cucumber powdery mildew. Agriculture 2023, 13, 1558. [Google Scholar] [CrossRef]
- Allen, D.J.; Ort, D.R. Impacts of chilling temperatures on photosynthesis in warm-climate plants. Trends Plant Sci. 2001, 6, 36–42. [Google Scholar] [CrossRef] [PubMed]
- Blankenship, R.E. Photosynthesis. Annu. Rev. Plant Biol. 2008, 62, 515–548. [Google Scholar]
- Zhao, Z.Q.; Dong, Y.M.; Wang, J.Y.; Zhang, G.; Zhang, Z.; Zhang, A.; Wang, Z.; Ma, P.; Li, Y.; Zhang, X.; et al. Comparative transcriptome analysis of melon (Cucumis melo L.) reveals candidate genes and pathways involved in powdery mildew resistance. Sci. Rep. 2022, 12, 4936. [Google Scholar] [CrossRef]
- Carver, T.L.W.; Griffiths, E. Relationship between powdery mildew infection, green leaf area and grain yield of barley. Ann. Appl. Biol. 1981, 99, 255–266. [Google Scholar] [CrossRef]
- Tsialtas, J.T.; Theologidou, G.S.; Karaoglanidis, G.S. Effects of pyraclostrobin on leaf diseases, leaf physiology, yield and quality of durum wheat under Mediterranean conditions. Crop Prot. 2018, 113, 48–55. [Google Scholar] [CrossRef]
- Kang, B.S.; Hao, X.Y.; Wu, H.J.; Peng, B.; Liu, L.; Gu, Q.S. Identification method of resistance to powdery mildew in melon at seed ling stage. Chin. Cucurb. Veg. 2022, 35, 22–26, (In Chinese with English Abstract). [Google Scholar]
- Wang, L.X.; Wang, X.M.; Song, J.Y.; Zhang, X.Y.; Tian, M.; Yu, R. Screenings of the identification method at seedling stage in indoor and the resistant germplasm resources of muskmelon to powdery mildew in Ningxia. Chin. Cucurb. Veg. 2020, 33, 11–15, (In Chinese with English Abstract). [Google Scholar]
- Wang, X.M.; Wang, L.X.; Song, J.Y.; Liu, Y.; Gao, Y.M.; Li, J.S.; Zhang, H.Y.; Xu, Y. Identification of powdery mildew pathogen of watermelons and muskmelons in Ningxia and screening of resistant germplasm resources. J. Gansu Agric. Univ. 2021, 5, 83–91, (In Chinese with English Abstract). [Google Scholar]
- Yin, H.; Fang, X.; Li, P.; Yang, Y.; Hao, Y.; Liang, X.; Bo, C.; Ni, F.; Ma, X.; Du, X.; et al. Genetic mapping of a novel powdery mildew resistance gene in wild emmer wheat from “Evolution Canyon” in Mt. Carmel Israel. Theor. Appl. Genet. 2021, 134, 909–921. [Google Scholar] [CrossRef] [PubMed]
- Zhu, K.Y.; Li, M.M.; Wu, H.B.; Zhang, D.; Dong, L.; Wu, Q.; Chen, Y.; Xie, J.; Lu, P.; Guo, G.; et al. Fine mapping of powdery mildew resistance gene MlWE74 derived from wild emmer wheat (Triticum turgidum ssp. dicoccoides) in an NBS-LRR gene cluster. Theor. Appl. Genet. 2022, 135, 1235–1245. [Google Scholar] [CrossRef] [PubMed]
- Li, Y.Y.; Wei, Z.Z.; Sela, H.; Govta, L.; Klymiuk, V.; Roychowdhury, R.; Chawla, H.S.; Ens, J.; Wiebe, K.; Bocharova, V.; et al. Dissection of a rapidly evolving wheat resistance gene cluster by long-read genome sequencing accelerated the cloning of Pm69. Plant Commun. 2024, 5, 100646. [Google Scholar] [CrossRef] [PubMed]
- Zheng, Y. Study on Powdery Mildew of Melon in Xinjiang and the Disease Resistance of the Cultivas. Master’s Thesis, Xinjiang Agriculture University, Urumqi, China, 2000. (In Chinese with English Abstract). [Google Scholar]
- Zhu, K.; Zheng, G.H.; Liu, L.J.; Zhou, L.; Li, S.; Fan, Z.; Zhang, Y.; Ni, N. Study on anatomical structure of leaf epidermis and powdery mildew resistance in Poa pratensis. Acta Agrestia Sin. 2021, 29, 007, (In Chinese with English Abstract). [Google Scholar]
- Zhu, K.; Jin, Z.M.; Zhang, J.; Zhang, C.; Huang, R.; Li, S.; Wang, W.; Zhong, Y.; Chang, A.; Li, X. Effects of exogenous hormones on resistance to powdery mildew and structure of leaf surface and photosynthetic characteristics of Poa pratensis. Acta Agrestia Sin. 2023, 31, 019, (In Chinese with English Abstract). [Google Scholar]
- Zhang, L. Resistance Identification of Different Melons to Acidovorax citrulli and Studies on Morph-Physiology of Disease Resistance. Master’s Thesis, Xinjiang Agriculture University, Urumqi, China, 2016. (In Chinese with English Abstract). [Google Scholar]
- Jahn, M.; Munger, H.; McCreight, J. Breeding cucurbit crops for powdery mildew resistance. In The Powdery Mildews: A Comprehensive Treatise; Belanger, R.R., Bushnell, W.R., Dik, A.J., Carver, T.L.W., Eds.; APS Press: St. Paul, MN, USA, 2002; pp. 239–248. [Google Scholar]
- Wall, S.; Vialet-Chabrand, S.; Davey, P.; Van Rie, J.; Galle, A.; Cockram, J.; Lawson, T. Stomata on the abaxial and adaxial leaf surfaces contribute differently to leaf gas exchange and photosynthesis in wheat. New Phytologist. 2022, 235, 1743–1756. [Google Scholar] [CrossRef] [PubMed]





| Treatment | Variety | Seed Source |
|---|---|---|
| T1 | Zhongtianxueqiong | Zhengzhou Fruit Research Institute, CAAS, Zhengzhou, China |
| T2 | Zhongtian No. 9 | Zhengzhou Fruit Research Institute, CAAS, Zhengzhou, China |
| T3 | Zhongtian No. 8 | Zhengzhou Fruit Research Institute, CAAS, Zhengzhou, China |
| T4 | Zhongtian No. 12 | Zhengzhou Fruit Research Institute, CAAS, Zhengzhou, China |
| T5 | Kangbing F3800 | KNOWN-YOU SEED CO., LTD., Taiwan, China |
| Scanning Electron Microscope Index | T1 | T2 | T3 | T4 | T5 | |
|---|---|---|---|---|---|---|
| The number of gas holes in the table | 54 | 58 | 79 | 38 | 54 | |
| Number of closed stomata in the upper epidermis | 0 | 16 | 8 | 0 | 22 | |
| Stomatal opening and closing rate | 1.00 | 0.78 | 0.91 | 1.00 | 0.71 | |
| Surface porosity | Total number of pores in the upper epidermis | 54 | 74 | 87 | 38 | 76 |
| Unit area | 300,394.10 | 300,394.10 | 300,394.10 | 300,394.10 | 300,394.10 | |
| Density | 0.00 | 0.00 | 0.00 | 0.00 | 0.00 | |
| Upper epidermal stomatal length (µm) | 15.77 | 10.36 | 11.21 | 17.43 | 12.47 | |
| Upper epidermal stomatal width (µm) | 4.10 | 3.04 | 3.62 | 4.32 | 2.77 | |
| Scanning Electron Microscope Index | T1 | T2 | T3 | T4 | T5 | |
|---|---|---|---|---|---|---|
| Number of open stomata in the lower epidermis | 83 | 113 | 119 | 125 | 60 | |
| Number of closed stomata in the lower epidermis | 5 | 8 | 5 | 6 | 4 | |
| Stomatal opening and closing rate | 0.94 | 0.93 | 0.96 | 0.95 | 0.94 | |
| Stomatal density of lower epidermis | Total number of stomata in the lower epidermis | 88 | 121 | 124 | 131 | 64 |
| Unit area | 300,394.10 | 300,394.10 | 300,394.10 | 300,394.10 | 300,394.10 | |
| Density | 0.00 | 0.00 | 0.00 | 0.00 | 0.00 | |
| Stomatal length of lower epidermis (µm) | 20.04 | 9.48 | 13.28 | 12.33 | 13.45 | |
| Lower epidermal stomatal width (µm) | 6.48 | 3.59 | 4.99 | 3.40 | 4.10 | |
| Total Output (Kg/hm2) | Meat Thickness (cm) | Thick-Skinned (cm) | Central Soluble Solids Content (%) | Central Soluble Solids Content (%) | |
|---|---|---|---|---|---|
| T1 | 3822.48 ± 146.88 a | 4.63 ± 0.07 a | 0.37 ± 0.07 | 16.83 ± 0.38 | 7.4 ± 1.1 c |
| T2 | 2972.95 ± 130.96 b | 3.3 ± 0.2 c | 0.47 ± 0.03 | 16.9 ± 0.4 | 12.9 ± 1.36 a |
| T3 | 3246.56 ± 107.04 b | 3.7 ± 0.06 ab | 0.6 ± 0.06 | 17.37 ± 0.24 | 12.37 ± 0.13 a |
| T4 | 3152.63 ± 34.92 b | 3.77 ± 0.07 ab | 0.47 ± 0.03 | 17 ± 0.36 | 11.8 ± 0.23 ab |
| T5 | 2893.5 ± 242.41 b | 4.07 ± 0.23 b | 0.67 ± 0.2 | 15.83 ± 1.33 | 9.57 ± 0.64 bc |
Disclaimer/Publisher’s Note: The statements, opinions and data contained in all publications are solely those of the individual author(s) and contributor(s) and not of MDPI and/or the editor(s). MDPI and/or the editor(s) disclaim responsibility for any injury to people or property resulting from any ideas, methods, instructions or products referred to in the content. |
© 2024 by the authors. Licensee MDPI, Basel, Switzerland. This article is an open access article distributed under the terms and conditions of the Creative Commons Attribution (CC BY) license (https://creativecommons.org/licenses/by/4.0/).
Share and Cite
Tian, M.; Yu, R.; Yang, W.; Guo, S.; Liu, S.; Du, H.; Liang, J.; Zhang, X. Effect of Powdery Mildew on the Photosynthetic Parameters and Leaf Microstructure of Melon. Agriculture 2024, 14, 886. https://doi.org/10.3390/agriculture14060886
Tian M, Yu R, Yang W, Guo S, Liu S, Du H, Liang J, Zhang X. Effect of Powdery Mildew on the Photosynthetic Parameters and Leaf Microstructure of Melon. Agriculture. 2024; 14(6):886. https://doi.org/10.3390/agriculture14060886
Chicago/Turabian StyleTian, Mei, Rong Yu, Wanbang Yang, Song Guo, Shengfeng Liu, Huiying Du, Jinjin Liang, and Xingxu Zhang. 2024. "Effect of Powdery Mildew on the Photosynthetic Parameters and Leaf Microstructure of Melon" Agriculture 14, no. 6: 886. https://doi.org/10.3390/agriculture14060886
APA StyleTian, M., Yu, R., Yang, W., Guo, S., Liu, S., Du, H., Liang, J., & Zhang, X. (2024). Effect of Powdery Mildew on the Photosynthetic Parameters and Leaf Microstructure of Melon. Agriculture, 14(6), 886. https://doi.org/10.3390/agriculture14060886

