A Comparative Analysis of Microbial Communities in the Rhizosphere Soil and Plant Roots of Healthy and Diseased Yuanyang Nanqi (Panax vietnamensis) with Root Rot
Abstract
1. Introduction
2. Materials and Methods
2.1. Sampling Location and Sample Collection
2.2. Genome DNA Extraction
2.3. PCR Amplification
2.4. Illumina MiSeq Sequencing
2.5. Statistical Analysis
2.6. Isolation Microorganisms in the Roots of Diseased Plants
2.7. Molecular Biological Identification of Fungi Strains
2.8. Pathogenicity Determination and Reisolation of Pathogens
2.9. Construction of Phylogenetic Trees
3. Results
3.1. Quality Analysis of Sequencing Results
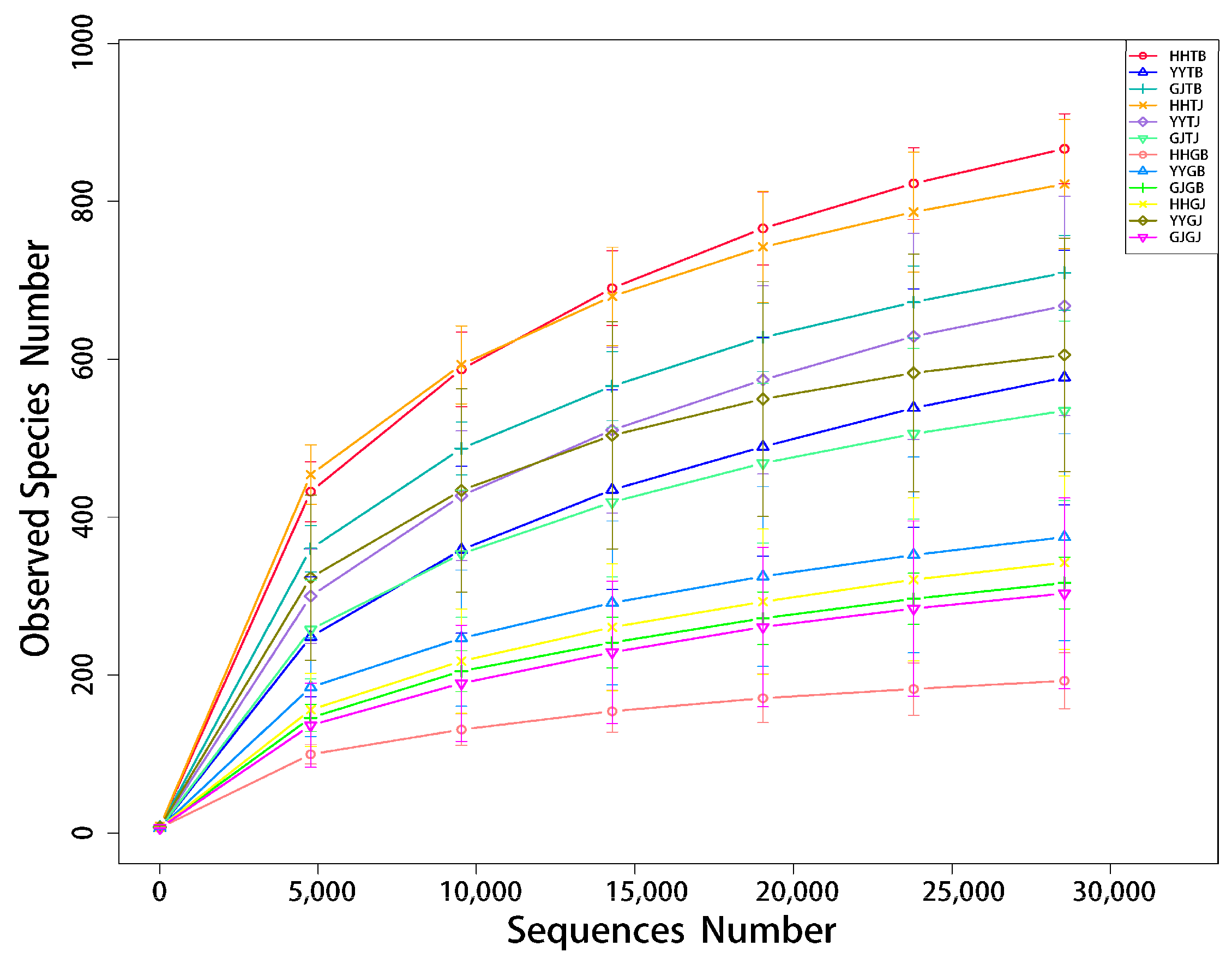
3.2. Microbial Diversity of Rhizosphere Soil and Roots in Yuanyang Nanqi OTU Levels
3.3. Bacterial and Fungal α-Diversity
3.4. Relative Abundance of Bacterial and Fungal Genera
3.5. β-Diversity Analysis
3.6. Functional Prediction of Fungal Communities
3.7. Molecular Identification Results of Microorganisms Separated via the Culture Method
3.8. Anti-Inoculation Test Results and Phylogenetic Tree of Pathogenic Fungi
4. Discussion
5. Conclusions
Supplementary Materials
Author Contributions
Funding
Data Availability Statement
Conflicts of Interest
References
- Ung, L. Phytoconstituents and Biological Activities of Panax vietnamensis (Vietnamese ginseng): A Precious Ginseng and Call for Further Research-A systematic review. Nat. Prod. Commun. 2018, 13, 1381–1384. [Google Scholar] [CrossRef]
- Zhu, S.; Fushimi, H.; Cai, S.; Chen, H.; Komatsu, K. A New Variety of the Genus Panax from Southern Yunnan, China and Its Nucleotide Sequences of 18S Ribosomal RNA Gene and matK Gene. J. Plant Res. 2003, 78, 86–94. [Google Scholar]
- Liu, J.; Xu, Y.; Yang, J.; Wang, W.; Zhang, J.; Zhang, R.; Meng, Q. Discovery, semisynthesis, biological activities, and metabolism of ocotillol-type saponins. J. Ginseng Res. 2017, 41, 373–378. [Google Scholar] [CrossRef] [PubMed]
- Christensen, L.P. Chapter 1 Ginsenosides. In Advances in Food and Nutrition Research; Elsevier: Amsterdam, The Netherlands, 2008; Volume 55, pp. 1–99. ISBN 978-0-12-374120-2. [Google Scholar]
- Shin, B.K.; Kwon, S.W.; Park, J.H. Chemical diversity of ginseng saponins from Panax ginseng. J. Ginseng Res. 2015, 39, 287–298. [Google Scholar] [CrossRef]
- Qi, L.; Wang, C.; Yuan, C. Ginsenosides from American ginseng: Chemical and pharmacological diversity. Phytochemistry 2011, 72, 689–699. [Google Scholar] [CrossRef]
- Nguyen, M.D.; Kasai, R.; Ohtani, K.; Ito, A.; Nguyen, T.N.; Yamasaki, K.; Tanaka, O. Saponins from Vietnamese Ginseng, Panax vietnamensis HA et Grushv. Collected in central Vietnam. II. Chem. Pharm. Bull. 1994, 42, 115–122. [Google Scholar] [CrossRef]
- Zhu, S.; Zou, K.; Cai, S.Q.; Meselhy, M.R.; Komatsu, K. Simultaneous determination of triterpene saponins in Ginseng drugs by high-performance liquid chromatography. Chem. Pharm. Bull. 2004, 52, 995–998. [Google Scholar] [CrossRef] [PubMed]
- Zhu, S.; Zou, K.; Fushimi, H.; Cai, S.; Komatsu, K. Comparative study on triterpene saponins of Ginseng drugs. Planta Medica Nat. Prod. Med. Plant Res. 2004, 70, 666–677. [Google Scholar] [CrossRef]
- Yamasaki, K. Bioactive Saponins In Vietnamese Ginseng, Panax Vietnamensis. Pharm. Biol. 2000, 38 (Suppl. S1), 16–24. [Google Scholar] [CrossRef]
- Konoshima, T.; Takasaki, M.; Ichiishi, E.; Murakami, T.; Tokuda, H.; Nishino, H.; Duc, N.M.; Kasai, R.; Yamasaki, K. Cancer chemopreventive activity of majonoside-R2 from Vietnamese ginseng, Panax vietnamensis. Cancer Lett. 1999, 147, 11–16. [Google Scholar] [CrossRef]
- Nguyen, T.T.; Matsumoto, K.; Yamasaki, K.; Nguyen, M.D.; Nguyen, T.N.; Watanabe, H. Crude saponin extracted from Vietnamese ginseng and its major constituent majonoside-R2 attenuate the psychological stress- and foot-shock stress-induced antinociception in mice. Pharmacol. Biochem. Behav. 1995, 52, 427–432. [Google Scholar] [CrossRef]
- Huong, N.T.; Matsumoto, K.; Yamasaki, K.; Duc, N.M.; Nham, N.T.; Watanabe, H. Majonoside-R2, a major constituent of Vietnamese ginseng, attenuates opioid-induced antinociception. Pharmacol. Biochem. Behav. 1997, 57, 285–291. [Google Scholar] [CrossRef]
- Zheng, K.; Su, X.; Xue, Z.; Zhang, L.; Chen, Y.; Wu, K.; Li, T.; Zhang, Z.; Zhao, Z. First Report of Stenotrophomonas maltophilia Causing Root Soft Rot of Sanqi (Panax notoginseng) in China. Plant Dis. 2022, 106, 755. [Google Scholar] [CrossRef] [PubMed]
- Wu, B.; Juan, C.; Xiaolin, J.; Weiwei, G. Identification of the pathogens causing the root rot and their pathogenicity on American ginseng in Beijing. Plant Prot. 2011, 37, 135–138. [Google Scholar]
- Saravanan, V.S.; Madhaiyan, M.; Sa, T.M. Bacterial Endophytes and Their Role in Agriculture. 2009. Available online: https://www.researchgate.net/publication/287567896_Bacterial_endophytes_and_their_role_in_agriculture (accessed on 1 January 2019).
- Manter, D.K.; Delgado, J.A.; Holm, D.G.; Stong, R.A. Pyrosequencing Reveals a Highly Diverse and Cultivar-Specific Bacterial Endophyte Community in Potato Roots. Microb. Ecol. 2010, 60, 157–166. [Google Scholar] [CrossRef]
- Yang, L.; Hou, A.; Zhang, J.; Wang, S.; Man, W.; Yu, H.; Zheng, S.; Wang, X.; Liu, S.; Jiang, H. Panacis Quinquefolii Radix: A Review of the Botany, Phytochemistry, Quality Control, Pharmacology, Toxicology and Industrial Applications Research Progress. Front. Pharmacol. 2020, 11, 602092. [Google Scholar] [CrossRef]
- Wang, J.Y.; Yang, J.Y.; Wang, F.; Fu, S.Y.; Hou, Y.; Jiang, B.; Ma, J.; Song, C.; Wu, C.F. Neuroprotective Effect of Pseudoginsenoside-F11 on a Rat Model of Parkinson’s Disease Induced by 6-Hydroxydopamine. Evid. Based Complement. Alternat. Med. 2013, 2013, 152798. [Google Scholar] [CrossRef]
- Wang, C.-Z.; Zhang, Z.; Wan, J.-Y.; Zhang, C.-F.; Anderson, S.; He, X.; Yu, C.; He, T.-C.; Qi, L.-W.; Yuan, C.-S. Protopanaxadiol, an active ginseng metabolite, significantly enhances the effects of fluorouracil on colon cancer. Nutrients 2015, 7, 799–814. [Google Scholar] [CrossRef]
- Jung, Y.; Kim, K.; Bian, Y.; Ngo, T.; Bae, O.-N.; Lim, K.-M.; Chung, J.-H. Ginsenoside Rg3 disrupts actin-cytoskeletal integrity leading to contractile dysfunction and apoptotic cell death in vascular smooth muscle. Food Chem. Toxicol. Int. J. Publ. Br. Ind. Biol. Res. Assoc. 2018, 118, 645–652. [Google Scholar] [CrossRef]
- Degnan, P.H.; Ochman, H. Illumina-based analysis of microbial community diversity. ISME J. 2012, 6, 183–194. [Google Scholar] [CrossRef]
- Wang, P.; Yang, L.; Sun, J.; Yang, Y.; Qu, Y.; Wang, C.; Liu, D.; Huang, L.; Cui, X.; Liu, Y. Structure and Function of Rhizosphere Soil and Root Endophytic Microbial Communities Associated With Root Rot of Panax notoginseng. Front. Plant Sci. 2021, 12, 752683. [Google Scholar] [CrossRef]
- Doyle, J.J. A rapid DNA isolation procedure for small quantities of fresh leaf tissue. Phytochem Bull 1987, 19, 11–15. [Google Scholar]
- Zheng, S.; Shan, L.; Zhuang, Y.; Shang, Y. Identification of pyrG Used as an Endogenous Reference Gene in Qualitative and Real-Time Quantitative PCR Detection of Pleurotus ostreatus. J. Food Sci. 2018, 83, 750–755. [Google Scholar] [CrossRef] [PubMed]
- Caporaso, J.G.; Lauber, C.L.; Walters, W.A.; Berg-Lyons, D.; Huntley, J.; Fierer, N.; Owens, S.M.; Betley, J.; Fraser, L.; Bauer, M.; et al. Ultra-high-throughput microbial community analysis on the Illumina HiSeq and MiSeq platforms. ISME J. 2012, 6, 1621–1624. [Google Scholar] [CrossRef] [PubMed]
- Armour, C.R.; Sovacool, K.L.; Close, W.L.; Topçuoğlu, B.D.; Wiens, J.; Schloss, P.D. Machine learning classification by fitting amplicon sequences to existing OTUs. mSphere 2023, 8, e00336-23. [Google Scholar] [CrossRef]
- Maki, K.A.; Wolff, B.; Varuzza, L.; Green, S.J.; Barb, J.J. Multi-amplicon microbiome data analysis pipelines for mixed orientation sequences using QIIME2: Assessing reference database, variable region and pre-processing bias in classification of mock bacterial community samples. PLoS ONE 2023, 18, e0280293. [Google Scholar] [CrossRef] [PubMed]
- Edgar, R.C. UPARSE: Highly Accurate OTU Sequences from Microbial Amplicon Reads. Nat Methods. 2013, 10, 996–998. [Google Scholar] [CrossRef]
- Fabien, C.; Agata, L.; Hélène, A.; Ijaz, U.Z.; Pineau, P.; Nicolas, L.; Smith, C.J. Ecological Observations Based on Functional Gene Sequencing Are Sensitive to the Amplicon Processing Method. Msphere 2022, 7, e00324-22. [Google Scholar] [CrossRef] [PubMed]
- Sijia, W.; Wenzhen, L.; Xianan, X.; Hui, C.; Ming, T.; Wentao, H.U. Isolation and Identification of Symbiotic Fungi in Eucalyptus Roots. Acta Bot. Boreali-Occident. Sin. 2018, 38, 1553–1561. [Google Scholar]
- White, T.J.; Bruns, T.; Lee, S.; Taylor, J. Amplification and direct sequencing of fungal ribosomal rna genes for phylogenetics. PCR Protoc. A Guide Methods Appl. 1990, 18, 315–322. [Google Scholar]
- O’Donnell, K.; Kistler, H.C.; Cigelnik, E.; Ploetz, R.C. Multiple evolutionary origins of the fungus causing Panama disease of banana: Concordant evidence from nuclear and mitochondrial gene genealogies. Proc. Natl. Acad. Sci. USA 1998, 95, 2044–2049. [Google Scholar] [CrossRef]
- O’Donnell, K.; Sutton, D.A.; Fothergill, A.; McCarthy, D.; Rinaldi, M.G.; Brandt, M.E.; Zhang, N.; Geiser, D.M. Molecular phylogenetic diversity, multilocus haplotype nomenclature, and in vitro antifungal resistance within the Fusarium solani species complex. J. Clin. Microbiol. 2008, 46, 2477–2490. [Google Scholar] [CrossRef] [PubMed]
- Zhou, X.; O’Donnell, K.; Kim, H.S.; Proctor, R.H.; Doehring, G.; Cao, Z.M. Heterothallic sexual reproduction in three canker-inducing tree pathogens within the Fusarium torreyae species complex. Mycologia 2018, 110, 710–725. [Google Scholar] [CrossRef] [PubMed]
- O’Donnell, K.; Sutton, D.A.; Rinaldi, M.G.; Sarver, B.A.J.; Balajee, S.A.; Schroers, H.-J.; Summerbell, R.C.; Robert, V.A.R.G.; Crous, P.W.; Zhang, N.; et al. Internet-accessible DNA sequence database for identifying fusaria from human and animal infections. J. Clin. Microbiol. 2010, 48, 3708–3718. [Google Scholar] [CrossRef] [PubMed]
- Liu, Y.J.; Whelen, S.; Hall, B.D. Phylogenetic relationships among ascomycetes: Evidence from an RNA polymerse II subunit. Mol. Biol. Evol. 1999, 16, 1799–1808. [Google Scholar] [CrossRef] [PubMed]
- Torres-Cruz, T.J.; Whitaker, B.K.; Proctor, R.H.; Broders, K.; Laraba, I.; Kim, H.-S.; Brown, D.W.; O’Donnell, K.; Estrada-Rodríguez, T.L.; Lee, Y.-H.; et al. FUSARIUM-ID v.3.0: An Updated, Downloadable Resource for Fusarium Species Identification. Plant Dis. 2022, 106, 1610–1616. [Google Scholar] [CrossRef] [PubMed]
- Nguyen, N.H.; Song, Z.; Bates, S.T.; Branco, S.; Tedersoo, L.; Menke, J.; Schilling, J.S. FUNGuild: An open annotation tool for parsing fungal community datasets by ecological guild. Fungal Ecol. 2016, 20, 241–248. [Google Scholar] [CrossRef]
- Xiao, Y.; Lai, H.; Zhou, W.; Yang, C.; Cui, C. First Report of Diaporthe fusicola Causing Postharvest Fruit Rot of Peach (Prunus persica) in China. Plant Dis. 2023, 107, 2231. [Google Scholar] [CrossRef] [PubMed]
- Dean, R.; Van Kan, J.A.L.; Pretorius, Z.A.; Hammond-Kosack, K.E.; Di Pietro, A.; Spanu, P.D.; Rudd, J.J.; Dickman, M.; Kahmann, R.; Ellis, J.; et al. The Top 10 fungal pathogens in molecular plant pathology. Mol. Plant Pathol. 2012, 13, 414–430. [Google Scholar] [CrossRef]
- Li, S.; Wang, Z.; Tang, B.; Zheng, L.; Chen, H.; Cui, X.; Ge, F.; Liu, D. A Pathogenesis-Related Protein-Like Gene Is Involved in the Panax notoginseng Defense Response to the Root Rot Pathogen. Front. Plant Sci. 2021, 11, 610176. [Google Scholar] [CrossRef]
- Kaya, C.; Uğurlar, F.; Adamakis, I.-D.S. Epigenetic and Hormonal Modulation in Plant–Plant Growth-Promoting Microorganism Symbiosis for Drought-Resilient Agriculture. Int. J. Mol. Sci. 2023, 24, 16064. [Google Scholar] [CrossRef]
- Petrushin, I.S.; Filinova, N.V.; Gutnik, D.I. Potato Microbiome: Relationship with Environmental Factors and Approaches for Microbiome Modulation. Int. J. Mol. Sci. 2024, 25, 750. [Google Scholar] [CrossRef]
- Nakamura, N.; Toju, H.; Kitajima, K. Leaf, Root, and Soil Microbiomes of an Invasive Plant, Ardisia Crenata, Differ between Its Native and Exotic Ranges. Front Microbiol. 2023, 14, 1302167. [Google Scholar] [CrossRef]
- Ma, X.; Ren, B.; Yu, J.; Wang, J.; Bai, L.; Li, J.; Li, D.; Meng, M. Changes in Grassland Soil Types Lead to Different Characteristics of Bacterial and Fungal Communities in Northwest Liaoning, China. Front Microbiol. 2023, 14, 1205574. [Google Scholar] [CrossRef]
- Wu, Q.; Zhou, W.; Chen, D.; Tian, J.; Ao, J. Biochar Mitigates the Negative Effects of Microplastics on Sugarcane Growth by Altering Soil Nutrients and Microbial Community Structure and Function. Plants 2023, 13, 83. [Google Scholar] [CrossRef]
- Jiao, N.; Song, X.; Song, R.; Yin, D.; Deng, X. Diversity and structure of the microbial community in rhizosphere soil of Fritillaria ussuriensis at different health levels. PeerJ 2022, 10, e12778. [Google Scholar] [CrossRef]
- Liu, K.; Sun, W.; Li, X.; Shen, B.; Zhang, T. Isolation, identification, and pathogenicity of Pseudomonas glycinae causing ginseng bacterial soft rot in China. Microb. Pathog. 2024, 186, 106497. [Google Scholar] [CrossRef]
- Ma, K.; Wang, Y.; Wang, J.; Zhang, Y.; Gao, J. First report of ginseng root rot caused by Fusarium subglutinans. J. Gen. Plant Pathol. 2023, 89, 296–303. [Google Scholar] [CrossRef]
- Ma, K.; Cai, L.; Wang, R.; Wang, J.; Zhan, H.; Ni, H.; Lu, B.; Zhang, Y.; Gao, J. Complete genome sequence of a novel mitovirus isolated from the fungus Fusarium oxysporum f. sp. ginseng causing ginseng root rot. Arch. Virol. 2024, 169, 53. [Google Scholar] [CrossRef]
- Song, J.-S.; Ran, A.G.; Jung, S. Efficacy of Hydrogen Peroxide on Root Rot Disease of Ginseng Sprouts. Res. Plant Dis. 2022, 28, 204–208. [Google Scholar] [CrossRef]
- Wang, R.; Zhang, Q.; Ju, M.; Yan, S.; Zhang, Q.; Gu, P. The Endophytic Fungi Diversity, Community Structure, and Ecological Function Prediction of Sophora alopecuroides in Ningxia, China. Microorganisms 2022, 10, 2099. [Google Scholar] [CrossRef]
- Yurgel, S.N.; Nearing, J.T.; Douglas, G.M.; Langille, M.G.I. Metagenomic Functional Shifts to Plant Induced Environmental Changes. Front. Microbiol. 2019, 10, 1682. [Google Scholar] [CrossRef]
- Wu, Z.; Hao, Z.; Zeng, Y.; Guo, L.; Huang, L.; Chen, B. Molecular characterization of microbial communities in the rhizosphere soils and roots of diseased and healthy Panax notoginseng. Antonie Van Leeuwenhoek 2015, 108, 1059–1074. [Google Scholar] [CrossRef]
- Zboralski, A.; Filion, M. Pseudomonas spp. can help plants face climate change. Front. Microbiol. 2023, 14, 1198131. [Google Scholar] [CrossRef]
- Cheng, G.; Cheng, Y.; Rahman, E. Diversity analysis of Populus euphratica endophytic bacteria in Tarim River Basin, China. PeerJ 2023, 11, e15934. [Google Scholar] [CrossRef]
- Bischoff Nunes, I.; Goodwin, P.H. Interaction of Ginseng with Ilyonectria Root Rot Pathogens. Plants 2022, 11, 2152. [Google Scholar] [CrossRef]
- Manik, V.T.; Nurcahya, I.; Setiaramdani, S.; Yulianto, Y. Molecular Identification of Endophytic Fungi from Javanese Ginseng (Talinum paniculatum Gaertn.) and their Potential against Phytopathogens. IOP Conf. Ser. Earth Environ. Sci. 2023, 1287, 012024. [Google Scholar] [CrossRef]
- Detection, Diagnosis and Management of Soil-Borne—ProQuest. Available online: https://www.proquest.com/docview/2793427529/8E8D7164E3BE48DBPQ/15?sourcetype=Books (accessed on 7 April 2024).
- Shalapy, N.M.; Kang, W. Fusarium oxysporum & Fusarium solani: Identification, Characterization, and Differentiation the Fungal Phenolic Profiles by HPLC and the Fungal Lipid Profiles by GC-MS. J. Food Qual. 2022, 2022, 4141480. [Google Scholar] [CrossRef]
- Draft Genome and Biological Characteristics of—ProQuest. Available online: https://www.proquest.com/docview/2785219001/4FD63E98DBDE4BBCPQ/2 (accessed on 7 April 2024).







| Sample Type | Plant Status | Latitude | Longitude | Number | Group |
|---|---|---|---|---|---|
| Rhizosphere soil | Healthy | 23°18′04″ N | 102°71′94″ E | HHTJ-1 | HHTJ |
| Rhizosphere soil | Healthy | 23°18′04″ N | 102°71′94″ E | HHTJ-2 | HHTJ |
| Rhizosphere soil | Healthy | 23°18′04″ N | 102°71′94″ E | HHTJ-3 | HHTJ |
| Rhizosphere soil | Disease | 23°18′04″ N | 102°71′94″ E | HHTB-1 | HHTB |
| Rhizosphere soil | Disease | 23°18′04″ N | 102°71′94″ E | HHTB-2 | HHTB |
| Rhizosphere soil | Disease | 23°18′04″ N | 102°71′94″ E | HHTB-3 | HHTB |
| Rhizosphere soil | Healthy | 23°12′72″ N | 102°73′25″ E | YYTJ-1 | YYTJ |
| Rhizosphere soil | Healthy | 23°12′72″ N | 102°73′25″ E | YYTJ-2 | YYTJ |
| Rhizosphere soil | Healthy | 23°12′72″ N | 102°73′25″ E | YYTJ-3 | YYTJ |
| Rhizosphere soil | Disease | 23°12′72″ N | 102°73′25″ E | YYTB-1 | YYTB |
| Rhizosphere soil | Disease | 23°12′72″ N | 102°73′25″ E | YYTB-2 | YYTB |
| Rhizosphere soil | Disease | 23°12′72″ N | 102°73′25″ E | YYTB-3 | YYTB |
| Rhizosphere soil | Healthy | 23°41′43″ N | 103°14′58″ E | GJTJ-1 | GJTJ |
| Rhizosphere soil | Healthy | 23°41′43″ N | 103°14′58″ E | GJTJ-2 | GJTJ |
| Rhizosphere soil | Healthy | 23°41′43″ N | 103°14′58″ E | GJTJ-3 | GJTJ |
| Rhizosphere soil | Disease | 23°41′43″ N | 103°14′58″ E | GJTB-1 | GJTB |
| Rhizosphere soil | Disease | 23°41′43″ N | 103°14′58″ E | GJTB-2 | GJTB |
| Rhizosphere soil | Disease | 23°41′43″ N | 103°14′58″ E | GJTB-3 | GJTB |
| Plant Root | Healthy | 23°18′04″ N | 102°71′94″ E | HHGJ-1 | HHGJ |
| Plant Root | Healthy | 23°18′04″ N | 102°71′94″ E | HHGJ-2 | HHGJ |
| Plant Root | Healthy | 23°18′04″ N | 102°71′94″ E | HHGJ-3 | HHGJ |
| Plant Root | Disease | 23°18′04″ N | 102°71′94″ E | HHGB-1 | HHGB |
| Plant Root | Disease | 23°18′04″ N | 102°71′94″ E | HHGB-2 | HHGB |
| Plant Root | Disease | 23°18′04″ N | 102°71′94″ E | HHGB-3 | HHGB |
| Plant Root | Healthy | 23°12′72″ N | 102°73′25″ E | YYGJ-1 | YYGJ |
| Plant Root | Healthy | 23°12′72″ N | 102°73′25″ E | YYGJ-2 | YYGJ |
| Plant Root | Healthy | 23°12′72″ N | 102°73′25″ E | YYGJ-3 | YYGJ |
| Plant Root | Disease | 23°12′72″ N | 102°73′25″ E | YYGB-1 | YYGB |
| Plant Root | Disease | 23°12′72″ N | 102°73′25″ E | YYGB-2 | YYGB |
| Plant Root | Disease | 23°12′72″ N | 102°73′25″ E | YYGB-3 | YYGB |
| Plant Root | Healthy | 23°41′43″ N | 103°14′58″ E | GJGJ-1 | GJGJ |
| Plant Root | Healthy | 23°41′43″ N | 103°14′58″ E | GJGJ-2 | GJGJ |
| Plant Root | Healthy | 23°41′43″ N | 103°14′58″ E | GJGJ-3 | GJGJ |
| Plant Root | Disease | 23°41′43″ N | 103°14′58″ E | GJGB-1 | GJGB |
| Plant Root | Disease | 23°41′43″ N | 103°14′58″ E | GJGB-2 | GJGB |
| Plant Root | Disease | 23°41′43″ N | 103°14′58″ E | GJGB-3 | GJGB |
| Bacteria | Fungi | ||||||||
|---|---|---|---|---|---|---|---|---|---|
| OTUs | ACE | Chao1 | Shannon | OTUs | ACE | Chao1 | Shannon | ||
| Soil | GJTB | 3462 | 2564.333 | 2521.612 | 9.527 | 1374 | 899.728 | 854.927 | 5.446 |
| GJTJ | 3462 | 2206.305 | 2142.524 | 8.145 | 1051 | 694.534 | 659.495 | 4.305 | |
| HHTB | 3131 | 2756.736 | 2677.472 | 8.566 | 1861 | 1088.916 | 1044.913 | 5.706 | |
| HHTJ | 2907 | 2215.109 | 2170.085 | 8.387 | 1641 | 963.598 | 944.412 | 5.941 | |
| YYTB | 3157 | 2492.986 | 2495.198 | 8.988 | 1175 | 821.936 | 768.858 | 3.893 | |
| YYTJ | 3963 | 2763.247 | 2697.771 | 9.476 | 1399 | 920.027 | 862.295 | 4.353 | |
| Root | GJGB | 559 | 420.871 | 409.548 | 1.374 | 669 | 453.300 | 437.215 | 4.137 |
| GJGJ | 249 | 207.837 | 185.174 | 0.447 | 646 | 435.469 | 422.407 | 4.009 | |
| HHGB | 167 | 127.812 | 113.063 | 0.383 | 413 | 240.323 | 236.925 | 3.774 | |
| HHGJ | 541 | 406.055 | 385.912 | 1.487 | 752 | 491.033 | 505.245 | 4.094 | |
| YYGB | 208 | 153.551 | 132.562 | 1.110 | 878 | 525.474 | 518.450 | 4.003 | |
| YYGJ | 258 | 196.795 | 177.253 | 0.452 | 1436 | 691.628 | 675.902 | 5.183 |
| Number | Type Strain | Reference Strain | Homology |
|---|---|---|---|
| GJGB ZHEN2 | MT561402.1 | Chaetomium cochliodes | 99.81% |
| GJGB ZHEN3 | MT561402.1 | Chaetomium cochliodes | 99.45% |
| GJGB ZHEN5 | MT561402.1 | Chaetomium cochliodes | 100% |
| GJGB ZHEN11 | MN689717.1 | Fusarium solani | 97.01% |
| GJGB ZHEN12 | MN689717.1 | Fusarium solani | 94.82% |
| GJGB ZHEN13 | MH856055.1 | Fusarium tonkinense | 96.94% |
| GJGB ZHEN14 | MN689717.1 | Fusarium solani | 99.63% |
| HHGB ZHEN1 | MN816432.1 | Diaporthe fusicola | 99.82% |
| HHGB ZHEN2 | MN816432.1 | Diaporthe fusicola | 98.40% |
| HHGB ZHEN3 | OP090371.1 | Fusarium oxysporum | 99.23% |
| HHGB ZHEN4 | NR_152889.1 | Ilyonectria leucospermi | 99.42% |
| HHGB ZHEN6 | KR364584.1 | Fusarium oxysporum | 97.90% |
| HHGB ZHEN7 | MG564294.1 | Fusarium oxysporum | 99.79% |
| HHGB ZHEN9 | MT606194.1 | Colletotrichum sp. | 97.44% |
| HHGB ZHEN11 | MT476912.1 | Trametes hirsuta | 99.33% |
| HHGB ZHEN15 | MG543786.1 | Galactomyces pseudocandidus | 99.64% |
| HHGB ZHEN16 | MW221103.1 | Galactomyces pseudocandidus | 98.30% |
| YYGB ZHEN2 | OP237439.1 | Fusarium solani | 94.40% |
| YYGB ZHEN3 | MH397492.1 | Fusarium sp. | 99.81% |
| YYGB ZHEN4 | MF467275.1 | Fusarium oxysporum | 99.81% |
| YYGB ZHEN5 | MT251175.1 | Fusarium falciforme | 99.63% |
| YYGB ZHEN6 | MT605584.1 | Fusarium solani | 100% |
| YYGB ZHEN7 | MT605584.1 | Fusarium solani | 97.25% |
| YYGB ZHEN8 | MG650069.1 | Fusarium sp. | 96.58% |
| YYGB ZHEN9 | MT032635.1 | Fusarium oxysporum | 99.81% |
| YYGB ZHEN10 | MK372218.1 | Penicillium sp. | 99.81% |
| GJGJ ZHEN3 | MN341788.1 | Nemania diffusa | 99.45% |
| GJGJ ZHEN4 | MK372218.1 | Penicillium sp. | 99.81% |
| HHGJ ZHEN1 | OK030894.1 | Colletotrichum sp. | 100% |
| HHGJ ZHEN2 | MT322235.1 | Colletotrichum gigasporum | 100% |
| HHGJ ZHEN3 | MT588864.1 | Chaetomium globosum | 99.63% |
| HHGJ ZHEN4 | OK030894.1 | Colletotrichum sp. | 99.24% |
| GJGB XI2 | KY689942.1 | Pseudomonas sp. | 99.71% |
| GJGB XI3 | MT568560.1 | Raoultella ornithinolytica | 99.93% |
| GJGB XI4 | MK834812.1 | Pseudomonas sp. | 99.61% |
| GJGB XI5 | MT568560.1 | Raoultella ornithinolytica | 99.93% |
| HHGB XI1 | MT341797.1 | Pseudomonas sp. | 100% |
| HHGB XI4 | CP027561.1 | Pseudomonas fluorescens | 99.78% |
| HHGB XI6 | MN826151.1 | Burkholderia contaminans | 99.62% |
| HHGB XI7 | MG593863.1 | Burkholderia sp. | 99.70% |
| HHGB XI8 | MG571655.1 | Pseudomonas batumici | 99.77% |
| HHGB XI9 | MG571655.1 | Pseudomonas batumici | 99.70% |
| HHGB XI10 | MT895634.1 | Paraburkholderia sp. | 99.55% |
| HHGB XI11 | MT341797.1 | Pseudomonas sp. | 99.85% |
| YYGB XI1 | KU950364.1 | Serratia liquefaciens | 99.86% |
| GJGJ XI1 | KT695823.1 | Pseudomonas fluorescens | 99.85% |
| GJGJ XI2 | KC790251.1 | Pseudomonas reinekei | 99.93% |
| GJGJ XI3 | CP024646.1 | Pseudomonas syringae | 99.85% |
| HHGJ XI1 | MW959056.1 | Pseudomonas sp. | 99.34% |
| HHGJ XI3 | GQ306158.1 | Burkholderia sp. | 99.12% |
| HHGJ XI4 | KJ781942.1 | Rahnella aquatilis | 99.03% |
| HHGJ XI5 | EU275360.1 | Rahnella sp. | 99.77% |
| HHGJ XI7 | MF948895.1 | Paraburkholderia ginsengiterrae | 99.46% |
Disclaimer/Publisher’s Note: The statements, opinions and data contained in all publications are solely those of the individual author(s) and contributor(s) and not of MDPI and/or the editor(s). MDPI and/or the editor(s) disclaim responsibility for any injury to people or property resulting from any ideas, methods, instructions or products referred to in the content. |
© 2024 by the authors. Licensee MDPI, Basel, Switzerland. This article is an open access article distributed under the terms and conditions of the Creative Commons Attribution (CC BY) license (https://creativecommons.org/licenses/by/4.0/).
Share and Cite
Chen, C.; Cheng, Y.; Zhang, F.; Yu, S.; Cui, X.; Wu, Y. A Comparative Analysis of Microbial Communities in the Rhizosphere Soil and Plant Roots of Healthy and Diseased Yuanyang Nanqi (Panax vietnamensis) with Root Rot. Agriculture 2024, 14, 719. https://doi.org/10.3390/agriculture14050719
Chen C, Cheng Y, Zhang F, Yu S, Cui X, Wu Y. A Comparative Analysis of Microbial Communities in the Rhizosphere Soil and Plant Roots of Healthy and Diseased Yuanyang Nanqi (Panax vietnamensis) with Root Rot. Agriculture. 2024; 14(5):719. https://doi.org/10.3390/agriculture14050719
Chicago/Turabian StyleChen, Changyuan, Yifan Cheng, Fangli Zhang, Saiying Yu, Xiuming Cui, and Yuanshuang Wu. 2024. "A Comparative Analysis of Microbial Communities in the Rhizosphere Soil and Plant Roots of Healthy and Diseased Yuanyang Nanqi (Panax vietnamensis) with Root Rot" Agriculture 14, no. 5: 719. https://doi.org/10.3390/agriculture14050719
APA StyleChen, C., Cheng, Y., Zhang, F., Yu, S., Cui, X., & Wu, Y. (2024). A Comparative Analysis of Microbial Communities in the Rhizosphere Soil and Plant Roots of Healthy and Diseased Yuanyang Nanqi (Panax vietnamensis) with Root Rot. Agriculture, 14(5), 719. https://doi.org/10.3390/agriculture14050719

