The Use of Sodium Hypochlorite and Plant Preservative Mixture Significantly Reduces Seed-Borne Pathogen Contamination When Establishing In Vitro Cultures of Wheat (Triticum aestivum L.) Seeds
Abstract
1. Introduction
2. Materials and Methods
2.1. Plant Material
2.2. Sterilization Treatments and In Vitro Culture Establishment
2.3. Evaluation of Pathogen Elimination, Germination, and Seedling Development after Sterilization Treatments
2.4. Data Analyses
3. Results
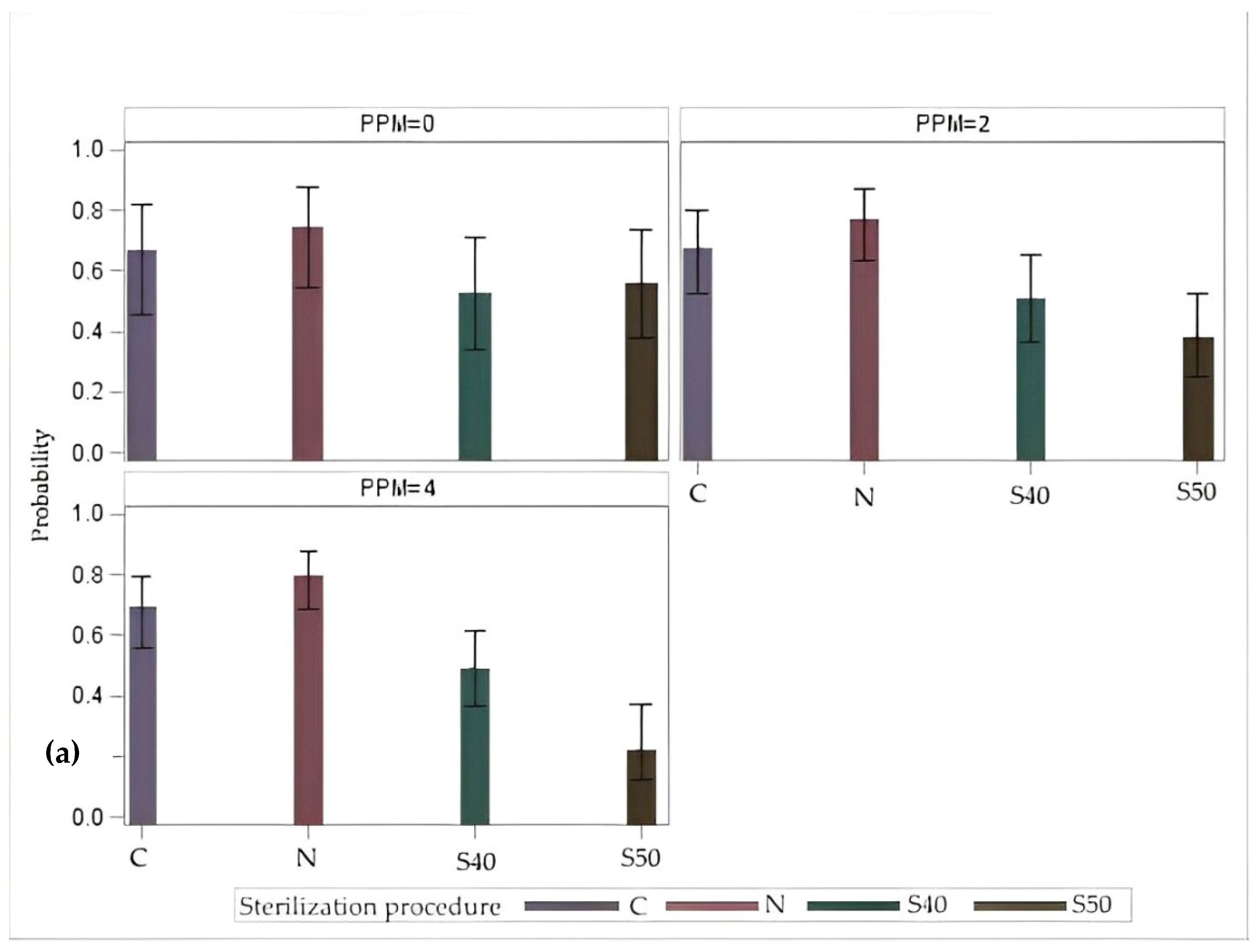
3.1. The Effect of Surface Sterilization with Sodium Hypochlorite and the Addition of Different Doses of PPM to the Growth Medium on the Elimination of Pathogens
3.2. The Effect of Surface Sterilization with Sodium Hypochlorite and the Addition of Different Doses of PPM to the Growth Medium on Germination and Seedling Development
4. Discussion
5. Conclusions
Supplementary Materials
Author Contributions
Funding
Institutional Review Board Statement
Data Availability Statement
Conflicts of Interest
References
- FAO. Food Outlook—Biannual Report on Global Food Markets. Food Outlook. November 2023. Rome. Available online: https://www.fao.org/documents/card/en/c/cc8589en (accessed on 30 January 2024).
- FAO; IFAD; UNICEF; WFP; WHO. The State of Food Security and Nutrition in the World 2022. Repurposing Food and Agricultural Policies to Make Healthy Diets More Affordable. Rome, FAO. Available online: https://www.fao.org/documents/card/en/c/cc0639en (accessed on 30 January 2024).
- von Grebmer, K.; Bernstein, J.; Wiemers, M.; Reiner, L.; Bachmeier, M.; Hanano, A.; Chéilleachair, R.N.; Foley, C.; Sheehan, T.; Gitter, S.; et al. Global Hunger Index: The Power of Youth in Shaping Food Systems. 2023. Available online: https://www.globalhungerindex.org/pdf/en/2023.pdf (accessed on 8 January 2024).
- Kumar, R.; Mamrutha, H.M.; Kaur, A.; Venkatesh, K.; Grewal, A.; Kumar, R.; Tiwari, V. Development of an efficient and reproducible regeneration system in wheat (Triticum aestivum L.). Physiol. Mol. Biol. Plants 2017, 23, 945–954. [Google Scholar] [CrossRef] [PubMed]
- Parmar, S.S.; Sainger, M.; Chaudhary, D.; Jaiwal, P.K. Plant regeneration from mature embryo of commercial Indian bread wheat (Triticum aestivum L.) cultivars. Physiol. Mol. Biol. Plants 2012, 18, 177–183. [Google Scholar] [CrossRef] [PubMed][Green Version]
- Yin, G.X.; Wang, Y.L.; She, M.Y.; Du, L.P.; Xu, H.J.; Ye, X.G. Establishment of a highly efficient regeneration system for the mature embryo culture of wheat. Agric. Sci. China 2011, 10, 9–17. [Google Scholar] [CrossRef]
- Zale, J.M.; Borchardt-Wier, H.; Kidwell, K.K.; Steber, C.M. Callus induction and plant regeneration from mature embryos of a diverse set of wheat genotypes. Plant Cell Tissue Organ Cult. 2004, 76, 277–281. [Google Scholar] [CrossRef]
- Dale, P.J.; Webb, K.J. Germplasm Storage and Micropropagation. In Advances in Agricultural Biotechnology; Bright, S.W.J., Jones, M.G.K., Eds.; Springer: Dordrecht, The Netherlands, 1985; Volume 15, pp. 79–96. [Google Scholar]
- Martín, I.; Gálvez, L.; Guasch, L.; Palmero, D. Fungal Pathogens and Seed Storage in the Dry State. Plants 2022, 11, 3167. [Google Scholar] [CrossRef] [PubMed]
- Bashyal, B.M.; Rawat, K.; Sharma, S.; Gogoi, R.; Aggarwal, R. Major Seed-Borne Diseases in Important Cereals: Symptomatology, Aetiology and Economic Importance. In Seed-Borne Diseases of Agricultural Crops: Detection, Diagnosis & Management, 1st ed.; Kumar, R., Gupta, A., Eds.; Springer: Singapore, 2020; pp. 371–426. [Google Scholar]
- Kumar, P.L.; Cuervo, M.; Kreuze, J.F.; Muller, G.; Kulkarni, G.; Kumari, S.G.; Massart, S.; Mezzalama, M.; Alakonya, A.; Muchugi, A.; et al. Phytosanitary Interventions for Safe Global Germplasm Exchange and the Prevention of Transboundary Pest Spread: The Role of CGIAR Germplasm Health Units. Plants 2021, 10, 328. [Google Scholar] [CrossRef] [PubMed]
- Yildiz, M. The Prerequisite of the Success in Plant Tissue Culture: High Frequency Shoot Regeneration. In Recent Advances in Plant In Vitro Culture; Leva, A., Rinaldi, R., Eds.; InTech: Rijeka, Croatia, 2012. [Google Scholar] [CrossRef]
- Teixeira da Silva, J.A.; Winarto, B.; Dobránszki, J.; Zeng, S. Disinfection procedures for in vitro propagation of Anthurium. Folia Hortic. 2015, 27, 3–14. [Google Scholar] [CrossRef]
- Oyebanji, O.B.; Nweke, O.; Odebunmi, O.; Galadima, N.B.; Idris, M.S.; Nnodi, U.N.; Afolabi, A.S.; Ogbadu, G.H. Simple, effective and economical explant-surface sterilization protocol for cowpea, rice and sorghum seeds. Afr. J. Biotechnol. 2009, 8, 5395–5399. [Google Scholar]
- Chawla, H.S. Introduction to Plant Biotechnology, 3rd ed.; Science Publishers: Enfield, NH, USA, 2009; pp. 28–32. [Google Scholar]
- Niedz, P.R. Using Isothiazolone Biocides to Control Microbial and Fungal Contaminants in Plant Tissue Cultures. HortScienece 1998, 8, 598–601. [Google Scholar] [CrossRef]
- Kraj, W.; Dolincki, A. The influence of PPM upon the sterility of the in vitro cultures in european birch (Fagus sylvatica L.). Acta Soc. Bot. Pol. 2003, 72, 303–307. [Google Scholar] [CrossRef]
- Plant Cell Technologies. 2017. Available online: http://www.plantcelltechnology.com/ppm-references/ (accessed on 30 October 2023).
- Omamor, I.B.; Asemota, A.O.; Eke, C.R.; Eziashi, E.I. Fungal contaminants of the oil palm tissue culture in Nigerian institute for oil palm research (NIFOR). Afr. J. Agr. Res. 2007, 2, 534–537. [Google Scholar]
- Orlikowska, T.; Nowak, K.; Reed, B. Bacteria in the plant tissue culture environment. Plant Cell Tissue Organ Cult. 2016, 128, 487–508. [Google Scholar] [CrossRef]
- SAS/STAT; SAS Institute: Cary, NC, USA, 2010.
- Buller, A.H.R. Researches on Fungi, 1st ed.; Universit Toronto Press: Toronto, ON, Canada, 1950; pp. 415–428. [Google Scholar]
- Nierop, S.V. The impact of microorganisms on barley and malt quality—A review. J. Am. Soc. Brew. Chem. 2006, 64, 69–78. [Google Scholar] [CrossRef]
- Los, A.; Ziuzina, D.; Bourke, P. Current and Future Technologies for Microbiological Decontamination of Cereal Grains. J. FoodSci. 2018, 83, 1484–1493. [Google Scholar] [CrossRef] [PubMed]
- Andersen, B.; Thrane, U. Food-borne fungi in fruit and cereals and their production of mycotoxins. Adv. Exp. Med. Biol. 2006, 571, 137–152. [Google Scholar] [PubMed]
- Schiro, G.; Verch, G.; Grimm, V.; Müller, M. Alternaria and Fusarium Fungi: Differences in Distribution and Spore Deposition in a Topographically Heterogeneous Wheat Field. J. Fungi 2018, 4, 63. [Google Scholar] [CrossRef] [PubMed]
- Jevtić, R.; Župunski, V.; Lalošević, M.; Tančić Živanov, S. Colonization of winter wheat grain with Fusarium and Alternaria species and influence on pest control management. J. Gen. Plant Pathol. 2019, 85, 273–281. [Google Scholar] [CrossRef]
- Agrawal, K.; Sharma, J.; Tribhuwan, S.; Dalbir, S. Histopathology of Alternaria tenuis infected black-pointed kernels of wheat. Botanic Bull. Acad. Sinica 1987, 28, 123–130. [Google Scholar]
- Singh, D.; Mathur, S.B. Location of Fungal Hyphae in Seeds. In Histopathology of Seed-Borne Infections, 1st ed.; Singh, D., Mathur, S.B., Eds.; CRC Press: Boca Raton, FL, USA, 2004; pp. 118–186. [Google Scholar]
- Lazarević, B.; Sturrock, C.J.; Poljak, M.; Mooney, S.J. Quantification of Aluminum-Induced Changes in Wheat Root Architecture by X-ray Microcomputed Tomography. Commun. Soil. Sci. Plant Anal. 2016, 47, 263–274. [Google Scholar] [CrossRef]
- Guzmán, P.; Ecker, J.R. Exploiting the triple response of Arabidopsis to identify ethylene-related mutants. Plant Cell 1990, 2, 513–523. [Google Scholar] [PubMed]
- Sharp, R.E.; LeNoble, M.E. ABA, Ethylene and the Control of Shoot and Root Growth under Water Stress. J. Exp. Bot. 2002, 53, 33–37. [Google Scholar] [CrossRef]





| Sterilization Treatment Abbreviation | Surface Sterilization Procedure Abbreviation/ Surface Sterilization Procedure Description | Amount of PPM Added (mL L−1) to the Growth Medium | |
|---|---|---|---|
| N-PPM0 | N | The dry control procedure: the dry seeds were placed on a sterile medium without washing or sterilization | 0 |
| N-PPM2 | 2 | ||
| N-PPM4 | 4 | ||
| C-PPM0 | C | The wet control procedure: seeds were washed under tap water for 30 min, soaked in 70% ethanol for 30 s, treated with sterile dd H2O + 0.05% Tween20 for 40 min, and then washed four times with sterile dd H2O | 0 |
| C-PPM2 | 2 | ||
| C-PPM4 | 4 | ||
| S40-PPM0 | S40 | Seeds were washed under tap water for 30 min, soaked in 70% ethanol for 30 s, treated with 4% NaClO + 0.05% Tween20 for 40 min, and then washed four times with sterile dd H2O | 0 |
| S40-PPM2 | 2 | ||
| S40-PPM4 | 4 | ||
| S50-PPM0 | S50 | The same as S40 but treated with 4% NaClO + 0.05% Tween20 for 50 min | 0 |
| S50-PPM2 | 2 | ||
| S50-PPM4 | 4 | ||
| A. alternata Contamination | Fusarium spp. Contamination | |||
|---|---|---|---|---|
| Wald Chi-Square | Pr > Chi-Square | Wald Chi-Square | Pr > Chi-Square | |
| sterilization procedure | 34.68 | <0.0001 *** | 11.90 | 0.0077 *** |
| PPM | 2.06 | 0.36 | - | - |
| sterilization procedure × PPM | 15.04 | 0.019 * | - | - |
| sterilization procedure C vs. N | 0.13 | 0.71 | 1.85 | 0.17 |
| sterilization procedure C vs. S40 | 0.62 | 0.43 | 0.05 | 0.83 |
| sterilization procedure C vs. S50 | 11.34 | 0.0008 *** | 8.77 | 0.003 ** |
| sterilization procedure S50 vs. S40 | 8.08 | 0.0045 *** | 9.96 | 0.0016 ** |
| sterilization procedure S50 vs. N | 14.04 | 0.0002 *** | 3.36 | 0.07 |
| sterilization procedure S40 vs. N | 1.43 | 0.23 | 2.53 | 0.11 |
| Sterilization Treatment | TRL (cm) | RSA (cm2) | RV (cm3) | RTN | ARD (mm) | S(C)L (cm) |
|---|---|---|---|---|---|---|
| sterilization procedure (p value) | 0.041 * | 0.076 | 0.089 | 0.023 * | 0.481 | 0.634 |
| PPM (p value) | <0.0001 *** | <0.0001 *** | <0.0001 *** | <0.0001 *** | <0.0001 *** | <0.0001 *** |
| sterilization procedure × PPM (p value) | 0.107 | 0.204 | 0.369 | 0.034 * | 0.144 | 0.0012 ** |
| N | 31.318 a | 4.78 a | 0.061 a | 34.72 a | 0.51 a | 10.36 a |
| C | 29.568 a | 4.72 a | 0.063 a | 26.88 ab | 0.49 a | 8.99 a |
| S40 | 28.184 a | 4.12 a | 0.049 a | 25.03 ab | 0.45 a | 9.95 a |
| S50 | 34.36 a | 4.86 a | 0.058 a | 22.92 b | 0.47 a | 10. 58 a |
| PPM 0 | 47.31 a | 6.68 a | 0.076 a | 33.35 a | 0.37 c | 16.31 a |
| PPM 2 | 38.78 b | 5.68 a | 0.068 a | 38.72 a | 0.45 b | 9.54 b |
| PPM 4 | 8.878 c | 1.89 b | 0.034 b | 14.19 b | 0.62 a | 5.10 c |
Disclaimer/Publisher’s Note: The statements, opinions and data contained in all publications are solely those of the individual author(s) and contributor(s) and not of MDPI and/or the editor(s). MDPI and/or the editor(s) disclaim responsibility for any injury to people or property resulting from any ideas, methods, instructions or products referred to in the content. |
© 2024 by the authors. Licensee MDPI, Basel, Switzerland. This article is an open access article distributed under the terms and conditions of the Creative Commons Attribution (CC BY) license (https://creativecommons.org/licenses/by/4.0/).
Share and Cite
Bošnjak Mihovilović, A.; Kereša, S.; Lazarević, B.; Topolovec Pintarić, S.; Martinko, K.; Marković, Z.; Turkalj, K.; Habuš Jerčić, I. The Use of Sodium Hypochlorite and Plant Preservative Mixture Significantly Reduces Seed-Borne Pathogen Contamination When Establishing In Vitro Cultures of Wheat (Triticum aestivum L.) Seeds. Agriculture 2024, 14, 556. https://doi.org/10.3390/agriculture14040556
Bošnjak Mihovilović A, Kereša S, Lazarević B, Topolovec Pintarić S, Martinko K, Marković Z, Turkalj K, Habuš Jerčić I. The Use of Sodium Hypochlorite and Plant Preservative Mixture Significantly Reduces Seed-Borne Pathogen Contamination When Establishing In Vitro Cultures of Wheat (Triticum aestivum L.) Seeds. Agriculture. 2024; 14(4):556. https://doi.org/10.3390/agriculture14040556
Chicago/Turabian StyleBošnjak Mihovilović, Anita, Snježana Kereša, Boris Lazarević, Snježana Topolovec Pintarić, Katarina Martinko, Zvjezdana Marković, Katarina Turkalj, and Ivanka Habuš Jerčić. 2024. "The Use of Sodium Hypochlorite and Plant Preservative Mixture Significantly Reduces Seed-Borne Pathogen Contamination When Establishing In Vitro Cultures of Wheat (Triticum aestivum L.) Seeds" Agriculture 14, no. 4: 556. https://doi.org/10.3390/agriculture14040556
APA StyleBošnjak Mihovilović, A., Kereša, S., Lazarević, B., Topolovec Pintarić, S., Martinko, K., Marković, Z., Turkalj, K., & Habuš Jerčić, I. (2024). The Use of Sodium Hypochlorite and Plant Preservative Mixture Significantly Reduces Seed-Borne Pathogen Contamination When Establishing In Vitro Cultures of Wheat (Triticum aestivum L.) Seeds. Agriculture, 14(4), 556. https://doi.org/10.3390/agriculture14040556

