The Effect of Unconventional Technologies on Carbon Emissions During the Convective Drying of Yellow Mealworm (Tenebrio molitor L.) Larvae and the Selected Physical Properties Thereof
Abstract
1. Introduction
2. Materials and Methods
2.1. Material
2.2. Technological Treatment
2.2.1. Pulsed Electric Field (PEF)
2.2.2. Immersion in Ethanol (EtOH)
2.2.3. Convective Drying
2.3. CO2 Emission
2.4. Physical Properties
2.4.1. Water Content and Water Activity
2.4.2. Rehydration and Hygroscopic Properties
2.4.3. Optical Properties
2.5. Microstructure
2.6. Microbiological Analysis
2.7. Mathematical Modeling
2.8. Statistical Analysis
3. Results and Discussion
3.1. Drying Process of Yellow Mealworm Larvae
3.2. Water Content and Water Activity of Dried Yellow Mealworm Larvae
3.3. Greenhouse Gas Emission During Processing of Yellow Mealworm Larvae
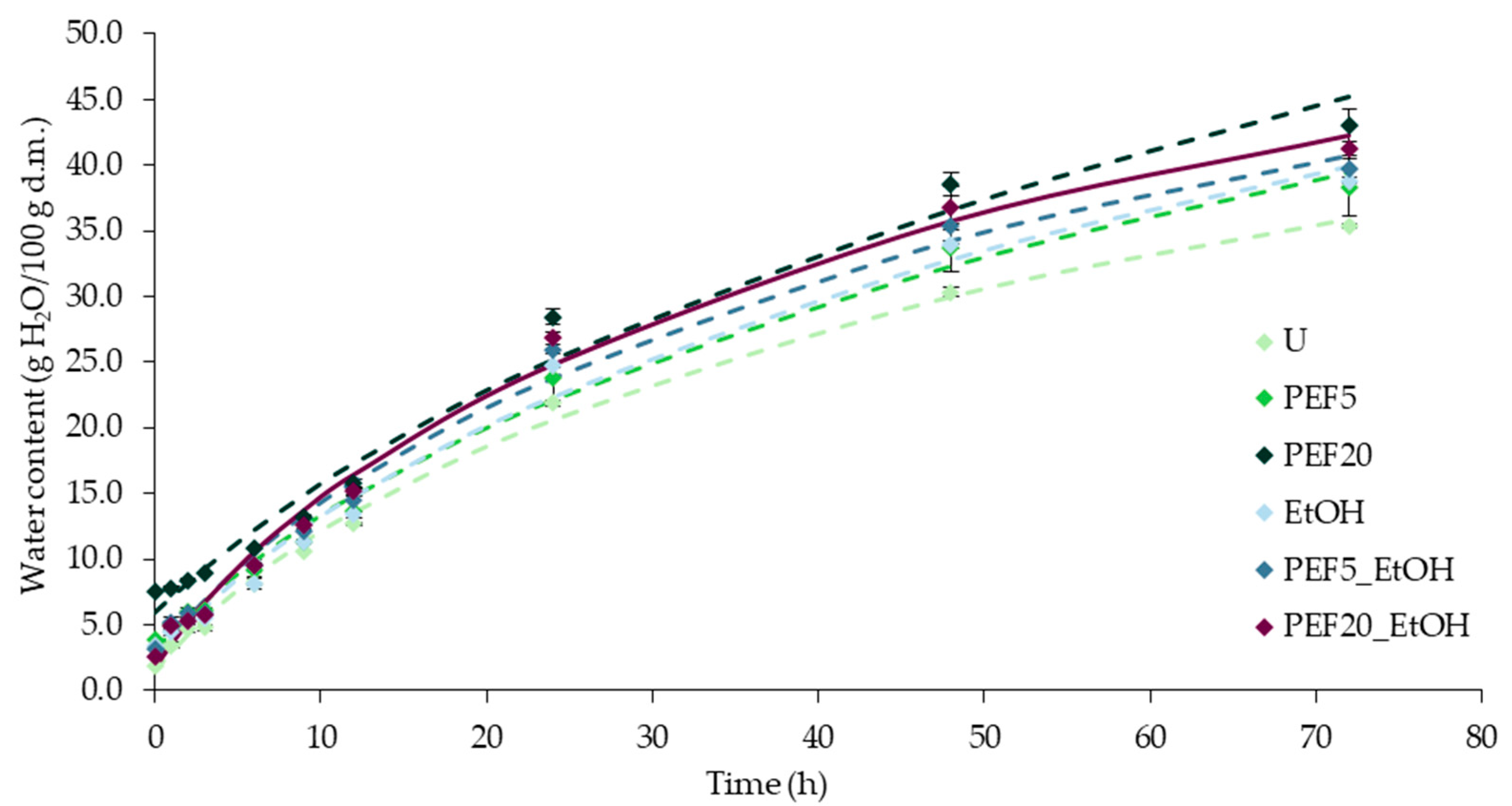
3.4. Rehydration and Hygroscopic Properties of Dried Yellow Mealworm Larvae
3.5. Optical Properties of Dried Yellow Mealworm Larvae
3.6. Microstructure of Dried Yellow Mealworm Larvae
3.7. Microbiological Quality of Dried Yellow Mealworm Larvae
4. Conclusions
Author Contributions
Funding
Institutional Review Board Statement
Informed Consent Statement
Data Availability Statement
Acknowledgments
Conflicts of Interest
Correction Statement
References
- Szulc, K. Edible Insects: A Study of the Availability of Insect-Based Food in Poland. Sustainability 2023, 15, 14964. [Google Scholar] [CrossRef]
- Villa, C.; Moura, M.B.M.V.; Teixeira, C.S.S.; Costa, J.; Mafra, I. Monitoring Yellow Mealworm (Tenebrio molitor) as a Potential Novel Allergenic Food: Effect of Food Processing and Matrix. Nutrients 2023, 15, 482. [Google Scholar] [CrossRef] [PubMed]
- Bordiean, A.; Krzyżaniak, M.; Stolarski, M.J.; Czachorowski, S.; Peni, D. Will Yellow Mealworm Become a Source of Safe Proteins for Europe? Agriculture 2020, 10, 233. [Google Scholar] [CrossRef]
- Skotnicka, M.; Karwowska, K.; Kłobukowski, F.; Borkowska, A.; Pieszko, M. Possibilities of the Development of Edible Insect-Based Foods in Europe. Foods 2021, 10, 766. [Google Scholar] [CrossRef]
- Zielińska, E.; Baraniak, B.; Karaś, M.; Rybczyńska, K.; Jakubczyk, A. Selected Species of Edible Insects as a Source of Nutrient Composition. Food Res. Int. 2015, 77, 460–466. [Google Scholar] [CrossRef]
- Baek, M.; Kim, M.; Kwon, Y.; Hwang, J.; Goo, T.; Jun, M.; Yun, E. Effects of Processing Methods on Nutritional Composition and Antioxidant Activity of Mealworm (Tenebrio molitor) Larvae. Entomol. Res. 2019, 49, 284–293. [Google Scholar] [CrossRef]
- Lenaerts, S.; Van Der Borght, M.; Callens, A.; Van Campenhout, L. Suitability of Microwave Drying for Mealworms (Tenebrio molitor) as Alternative to Freeze Drying: Impact on Nutritional Quality and Colour. Food Chem. 2018, 254, 129–136. [Google Scholar] [CrossRef] [PubMed]
- Kouřimská, L.; Adámková, A. Nutritional and Sensory Quality of Edible Insects. NFS J. 2016, 4, 22–26. [Google Scholar] [CrossRef]
- Yan, X.; Laurent, S.; Hue, I.; Cabon, S.; Grua-Priol, J.; Jury, V.; Federighi, M.; Boué, G. Quality of Tenebrio Molitor Powders: Effects of Four Processes on Microbiological Quality and Physicochemical Factors. Foods 2023, 12, 572. [Google Scholar] [CrossRef] [PubMed]
- Kowalska, J.; Kowalska, H.; Marzec, A.; Brzeziński, T.; Samborska, K.; Lenart, A. Dried Strawberries as a High Nutritional Value Fruit Snack. Food Sci. Biotechnol. 2018, 27, 799–807. [Google Scholar] [CrossRef]
- Santos, K.C.; Guedes, J.S.; Rojas, M.L.; Carvalho, G.R.; Augusto, P.E.D. Enhancing Carrot Convective Drying by Combining Ethanol and Ultrasound as Pre-Treatments: Effect on Product Structure, Quality, Energy Consumption, Drying and Rehydration Kinetics. Ultrason. Sonochem. 2021, 70, 105304. [Google Scholar] [CrossRef]
- Andreou, V.; Dimopoulos, G.; Tsonas, T.; Katsimichas, A.; Limnaios, A.; Katsaros, G.; Taoukis, P. Pulsed Electric Fields-Assisted Drying and Frying of Fresh Zucchini. Food Bioprocess Technol. 2021, 14, 2091–2106. [Google Scholar] [CrossRef]
- Dadan, M.; Nowacka, M. The Assessment of the Possibility of Using Ethanol and Ultrasound to Design the Properties of Dried Carrot Tissue. Appl. Sci. 2021, 11, 689. [Google Scholar] [CrossRef]
- Kaveh, M.; Jahanbakhshi, A.; Abbaspour-Gilandeh, Y.; Taghinezhad, E.; Moghimi, M.B.F. The Effect of Ultrasound Pre-Treatment on Quality, Drying, and Thermodynamic Attributes of Almond Kernel under Convective Dryer Using ANNs and ANFIS Network. J. Food Process Eng. 2018, 41, e12868. [Google Scholar] [CrossRef]
- Yu, X.-L.; Zielinska, M.; Ju, H.-Y.; Mujumdar, A.S.; Duan, X.; Gao, Z.-J.; Xiao, H.-W. Multistage Relative Humidity Control Strategy Enhances Energy and Exergy Efficiency of Convective Drying of Carrot Cubes. Int. J. Heat Mass Transf. 2020, 149, 119231. [Google Scholar] [CrossRef]
- Rybak, K.; Parniakov, O.; Samborska, K.; Wiktor, A.; Witrowa-Rajchert, D.; Nowacka, M. Energy and Quality Aspects of Freeze-Drying Preceded by Traditional and Novel Pre-Treatment Methods as Exemplified by Red Bell Pepper. Sustainability 2021, 13, 2035. [Google Scholar] [CrossRef]
- Nowak, D.; Jakubczyk, E. Effect of Pulsed Electric Field Pre-Treatment and the Freezing Methods on the Kinetics of the Freeze-Drying Process of Apple and Its Selected Physical Properties. Foods 2022, 11, 2407. [Google Scholar] [CrossRef]
- Ostermeier, R.; Giersemehl, P.; Siemer, C.; Töpfl, S.; Jäger, H. Influence of Pulsed Electric Field (PEF) Pre-Treatment on the Convective Drying Kinetics of Onions. J. Food Eng. 2018, 237, 110–117. [Google Scholar] [CrossRef]
- Alam, M.R.; Lyng, J.G.; Frontuto, D.; Marra, F.; Cinquanta, L. Effect of Pulsed Electric Field Pretreatment on Drying Kinetics, Color, and Texture of Parsnip and Carrot. J. Food Sci. 2018, 83, 2159–2166. [Google Scholar] [CrossRef]
- Liu, C.; Grimi, N.; Lebovka, N.; Vorobiev, E. Effects of Pulsed Electric Fields Treatment on Vacuum Drying of Potato Tissue. LWT 2018, 95, 289–294. [Google Scholar] [CrossRef]
- Psarianos, M.; Iranshahi, K.; Rossi, S.; Gottardi, D.; Schlüter, O. Quality Evaluation of House Cricket Flour Processed by Electrohydrodynamic Drying and Pulsed Electric Fields Treatment. Food Chem. 2023, 441, 138276. [Google Scholar] [CrossRef]
- Bogusz, R.; Smetana, S.; Wiktor, A.; Parniakov, O.; Pobiega, K.; Rybak, K.; Nowacka, M. The Selected Quality Aspects of Infrared-Dried Black Soldier Fly (Hermetia illucens) and Yellow Mealworm (Tenebrio molitor) Larvae Pre-Treated by Pulsed Electric Field. Innov. Food Sci. Emerg. Technol. 2022, 80, 103085. [Google Scholar] [CrossRef]
- Rojas, M.L.; Silveira, I.; Augusto, P.E.D. Ultrasound and Ethanol Pre-Treatments to Improve Convective Drying: Drying, Rehydration and Carotenoid Content of Pumpkin. Food Bioprod. Process. 2020, 119, 20–30. [Google Scholar] [CrossRef]
- da Cunha, R.M.C.; Brandão, S.C.R.; de Medeiros, R.A.B.; da Silva Júnior, E.V.; Fernandes da Silva, J.H.; Azoubel, P.M. Effect of Ethanol Pretreatment on Melon Convective Drying. Food Chem. 2020, 333, 127502. [Google Scholar] [CrossRef] [PubMed]
- Żubernik, J.; Dadan, M.; Cichowska, J.; Witrowa-Rajchert, D. The Impact of the Pre-Treatment in Ethanol Solution on the Drying Kinetics and Selected Properties of Convective Dried Apples. Int. J. Food Eng. 2019, 16, 20180338. [Google Scholar] [CrossRef]
- Bogusz, R.; Pobiega, K.; Rybak, K.; Wiktor, A.; Parniakov, O.; Smetana, S.; Nowacka, M. The Pulsed Electric Field Treatment Effect on Drying Kinetics and Chosen Quality Aspects of Freeze-Dried Black Soldier Fly (Hermetia illucens) and Yellow Mealworm (Tenebrio molitor) Larvae. Appl. Sci. 2023, 13, 10251. [Google Scholar] [CrossRef]
- Kurdi, P.; Chaowiwat, P.; Weston, J.; Hansawasdi, C. Studies on Microbial Quality, Protein Yield, and Antioxidant Properties of Some Frozen Edible Insects. Int. J. Food Sci. 2021, 2021, 5580976. [Google Scholar] [CrossRef]
- PN-EN ISO 6579-1:2017-04; Microbiology of the Food Chain—Horizontal Method for the Detection, Enumeration and Serotyping of Salmonella—Part 1: Detection of Salmonella Spp. Polish Committee for Standardization: Warsaw, Poland, 2017.
- Gondek, E.; Lewicki, P.P. Kinetics of Water Vapour Sorption by Selected Ingredients of Muesli-Type Mixtures. Pol. J. Food Nutr. Sci. 2007, 57, 23–26. [Google Scholar]
- Toepfl, S.; Siemer, C.; Heinz, V. Effect of High-Intensity Electric Field Pulses on Solid Foods. In Emerging Technologies for Food Processing; Elsevier: Amsterdam, The Netherlands, 2014; pp. 147–154. [Google Scholar]
- Rostamabadi, H.; Nowacka, M.; Colussi, R.; Frasson, S.F.; Demirkesen, I.; Mert, B.; Singha, P.; Singh, S.K.; Falsafi, S.R. Impact of Emerging Non-Thermal Processing Treatments on Major Food Macromolecules: Starch, Protein, and Lipid. Trends Food Sci. Technol. 2023, 141, 104208. [Google Scholar] [CrossRef]
- Alles, M.C.; Smetana, S.; Parniakov, O.; Shorstkii, I.; Toepfl, S.; Aganovic, K.; Heinz, V. Bio-Refinery of Insects with Pulsed Electric Field Pre-Treatment. Innov. Food Sci. Emerg. Technol. 2020, 64, 102403. [Google Scholar] [CrossRef]
- Shorstkii, I.; Comiotto Alles, M.; Parniakov, O.; Smetana, S.; Aganovic, K.; Sosnin, M.; Toepfl, S.; Heinz, V. Optimization of Pulsed Electric Field Assisted Drying Process of Black Soldier Fly (Hermetia illucens) Larvae. Dry. Technol. 2022, 40, 595–603. [Google Scholar] [CrossRef]
- Ostermeier, R.; Parniakov, O.; Töpfl, S.; Jäger, H. Applicability of Pulsed Electric Field (PEF) Pre-Treatment for a Convective Two-Step Drying Process. Foods 2020, 9, 512. [Google Scholar] [CrossRef]
- Psarianos, M.; Dimopoulos, G.; Ojha, S.; Cavini, A.C.M.; Bußler, S.; Taoukis, P.; Schlüter, O.K. Effect of Pulsed Electric Fields on Cricket (Acheta domesticus) Flour: Extraction Yield (Protein, Fat and Chitin) and Techno-Functional Properties. Innov. Food Sci. Emerg. Technol. 2022, 76, 102908. [Google Scholar] [CrossRef]
- Vanqa, N.; Mshayisa, V.V.; Basitere, M. Proximate, Physicochemical, Techno-Functional and Antioxidant Properties of Three Edible Insect (Gonimbrasia belina, Hermetia illucens and Macrotermes subhylanus) Flours. Foods 2022, 11, 976. [Google Scholar] [CrossRef] [PubMed]
- Pérez-Won, M.; González-Cavieres, L.; Palma-Acevedo, A.; Tabilo-Munizaga, G.; Jara-Quijada, E.; Lemus-Mondaca, R. Pulsed Electric Fields as Pretreatment for Different Drying Methods in Chilean Abalone (Concholepas concholepas) Mollusk: Effects on Product Physical Properties and Drying Methods Sustainability. Food Bioprocess Technol. 2023, 16, 2772–2788. [Google Scholar] [CrossRef]
- Qiu, Y.; Bi, J.; Jin, X.; Wu, X.; Hu, L.; Chen, L. Investigation on the Rehydration Mechanism of Freeze-Dried and Hot-Air Dried Shiitake Mushrooms from Pores and Cell Wall Fibrous Material. Food Chem. 2022, 383, 132360. [Google Scholar] [CrossRef] [PubMed]
- Cao, C.; Zhao, X.; Zhang, C.; Ding, Z.; Sun, F.; Zhao, C. Effect of Inlet Temperature on the Physicochemical Properties of Spray-dried Seed-watermelon Seed Protein Powder. J. Food Sci. 2020, 85, 3442–3449. [Google Scholar] [CrossRef]
- Wiktor, A.; Witrowa-Rajchert, D. Drying Kinetics and Quality of Carrots Subjected to Microwave-Assisted Drying Preceded by Combined Pulsed Electric Field and Ultrasound Treatment. Dry. Technol. 2020, 38, 176–188. [Google Scholar] [CrossRef]
- Funebo, T.; Ahrné, L.; Prothon, F.; Kidman, S.; Langton, M.; Skjöldebrand, C. Microwave and Convective Dehydration of Ethanol Treated and Frozen Apple—Physical Properties and Drying Kinetics. Int. J. Food Sci. Technol. 2002, 37, 603–614. [Google Scholar] [CrossRef]
- Ruszkowska, M.; Tańska, M.; Kowalczewski, P.Ł. Extruded Corn Snacks with Cricket Powder: Impact on Physical Parameters and Consumer Acceptance. Sustainability 2022, 14, 16578. [Google Scholar] [CrossRef]
- Mokrzycki, W.; Tatol, M. Colour Difference ΔE—A Survey. Mach. Graph. Vis. Int. J. 2011, 20, 383–411. [Google Scholar]
- Pöllinger-Zierler, B.; Lienhard, A.; Mayer, C.; Berner, S.; Rehorska, R.; Schöpfer, A.; Grasser, M. Tenebrio Molitor (Linnaeus, 1758): Microbiological Screening of Feed for a Safe Food Choice. Foods 2023, 12, 2139. [Google Scholar] [CrossRef] [PubMed]
- Stoops, J.; Crauwels, S.; Waud, M.; Claes, J.; Lievens, B.; Van Campenhout, L. Microbial Community Assessment of Mealworm Larvae (Tenebrio molitor) and Grasshoppers (Locusta migratoria migratorioides) Sold for Human Consumption. Food Microbiol. 2016, 53, 122–127. [Google Scholar] [CrossRef]
- Official Journal of the European Union. Commission Implementing Regulation (EU) 2022/169 of 8 February 2022 Authorising the Placing on the Market of Frozen, Dried and Powder Forms of Yellow Mealworm (Tenebrio molitor Larva) as a Novel Food under Regulation (EU) 2015/2283 of the European Parliament and of the Council, and Amending Commission Implementing Regulation (EU) 2017/2470. Available online:https://eur-lex.europa.eu/eli/reg_impl/2022/169/oj (accessed on 15 December 2024).
- Osimani, A.; Garofalo, C.; Milanović, V.; Taccari, M.; Cardinali, F.; Aquilanti, L.; Pasquini, M.; Mozzon, M.; Raffaelli, N.; Ruschioni, S.; et al. Insight into the Proximate Composition and Microbial Diversity of Edible Insects Marketed in the European Union. Eur. Food Res. Technol. 2017, 243, 1157–1171. [Google Scholar] [CrossRef]
- Mancini, S.; Fratini, F.; Tuccinardi, T.; Turchi, B.; Nuvoloni, R.; Paci, G. Effects of Different Blanching Treatments on Microbiological Profile and Quality of the Mealworm (Tenebrio molitor). J. Insects Food Feed. 2019, 5, 225–234. [Google Scholar] [CrossRef]
- Mattioli, S.; Fratini, F.; Cacchiarelli, C.; Martinis, V.; Tuccinardi, T.; Paci, G.; Dal Bosco, A.; Mancini, S. Chemical Composition, Fatty Acid Profile, Antioxidant Content, and Microbiological Loads of Lesser Mealworm, Mealworm, and Superworm Larvae. Ital. J. Anim. Sci. 2024, 23, 125–137. [Google Scholar] [CrossRef]
- Yan, X.; Laurent, S.; Federighi, M.; Boué, G.; Jury, V. Processing Edible Insects into Powders: A Review of Available Processes and Potential Microbial Inactivation Methods. J. Insects Food Feed. 2022, 9, 325–338. [Google Scholar] [CrossRef]





| Treatment | Drying Time to MR = 0.02 (min) | Effective Diffusion Coefficient Deff (×10−9 m2/s) | Water Content (g H2O/g d.m.) | Water Activity (−) |
|---|---|---|---|---|
| U | 128 a 1 ± 4 | 1.122 b ± 0.009 | 0.028 a ± 0.001 | 0.234 c ± 0.004 |
| PEF5 | 155 b ± 7 | 0.856 a ± 0.001 | 0.034 b ± 0.001 | 0.202 b ± 0.003 |
| PEF20 | 150 b ± 7 | 0.865 a ± 0.028 | 0.034 b ± 0.001 | 0.226 c ± 0.004 |
| EtOH | 128 a ± 4 | 1.120 b ± 0.020 | 0.028 a ± 0.001 | 0.211 b ± 0.008 |
| PEF5_EtOH | 125 a ± 0 | 1.088 b ± 0.141 | 0.028 a ± 0.001 | 0.188 a ± 0.008 |
| PEF20_EtOH | 148 b ± 4 | 1.099 b ± 0.009 | 0.030 a ± 0.001 | 0.210 b ± 0.004 |
| Treatment | Rehydration Properties (−) | Hygroscopic Properties (g H2O/100 g d.m.) |
|---|---|---|
| U | 1.33 a 1 ± 0.04 | 35.37 a ± 0.23 |
| PEF5 | 1.55 ab ± 0.17 | 38.32 abc ± 2.22 |
| PEF20 | 1.53 ab ± 0.07 | 43.04 d ± 1.26 |
| EtOH | 1.45 ab ± 0.08 | 36.85 ab ± 2.00 |
| PEF5_EtOH | 1.62 b ± 0.01 | 37.43 bcd ± 2.45 |
| PEF20_EtOH | 1.61 b ± 0.06 | 38.01 cd ± 3.28 |
| Treatment | Equilibrium Water Content ue (g H2O/100 g d.m.) | Coefficient K (×10−6 1/min) | R2 (−) | RMS (%) |
|---|---|---|---|---|
| U | 46.08 a 1 ± 1.31 | 2.16 cd ± 0.09 | 0.996 | 7.89 |
| PEF5 | 58.14 c ± 2.70 | 1.64 b ± 0.19 | 0.992 | 7.80 |
| PEF20 | 80.80 d ± 1.52 | 0.98 a ± 0.03 | 0.981 | 9.34 |
| EtOH | 55.77 bc ± 0.23 | 1.75 bc ± 0.02 | 0.982 | 10.68 |
| PEF5_EtOH | 51.95 b ± 1.79 | 2.21 cd ± 0.32 | 0.990 | 10.83 |
| PEF20_EtOH | 52.10 b ± 3.53 | 2.42 d ± 0.16 | 0.992 | 12.06 |
| Treatment | L* | a* | b* | ΔE |
|---|---|---|---|---|
| U | 27.8 c 1 ± 0.7 | 3.7 a ± 0.2 | 9.3 b ± 0.7 | – |
| PEF5 | 26.9 b ± 0.4 | 4.0 b ± 0.3 | 8.9 ab ± 0.6 | 1.1 a ± 0.7 |
| PEF20 | 25.7 a ± 0.4 | 3.6 a ± 0.2 | 8.4 a ± 0.5 | 2.3 b ± 0.5 |
| EtOH | 28.2 cd ± 0.8 | 4.8 c ± 0.3 | 10.3 c ± 0.7 | 1.7 b ± 0.7 |
| PEF5_EtOH | 29.6 e ± 0.8 | 6.0 e ± 0.1 | 12.5 e ± 0.4 | 4.4 c ± 0.1 |
| PEF20_EtOH | 28.5 d ± 0.4 | 5.1 d ± 0.3 | 11.4 d ± 0.5 | 1.8 b ± 0.5 |
| Treatment | Microbial Load (log CFU/g d.m.) | ||||
|---|---|---|---|---|---|
| Total Viable Count (TVC) | Enterobacteriaceae | Aerobic Spore-Forming Bacteria | Anaerobic Spore-Forming Bacteria | Total Yeast and Mold Count (TYMC) | |
| FRESH | 4.83 ± 0.12 | 3.28 ± 0.11 | 4.65 ± 0.34 | ≤1.00 | 3.76 ± 0.22 |
| U | 3.15 ± 0.17 | ≤1.00 | 3.82 ± 0.15 | ≤1.00 | 2.82 ± 0.19 |
| PEF5 | 2.77 ± 0.33 | ≤1.00 | 3.05 ± 0.11 | ≤1.00 | 2.55 ± 0.09 |
| PEF20 | 2.39 ± 0.27 | ≤1.00 | 2.77 ± 0.17 | ≤1.00 | 2.30 ± 0.14 |
| EtOH | 2.84 ± 0.13 | ≤1.00 | 3.14 ± 0.25 | ≤1.00 | 1.57 ± 0.26 |
| PEF5_EtOH | 2.12 ± 0.05 | ≤1.00 | 2.45 ± 0.07 | ≤1.00 | ≤1.00 |
| PEF20_EtOH | 2.17 ± 0.08 | ≤1.00 | 2.11 ± 0.03 | ≤1.00 | ≤1.00 |
| Treatment | Microbial Load (log CFU/g d.m.) | |||
|---|---|---|---|---|
| Listeria monocytogenes | Escherichia coli | Staphylococcus aureus | Presence of Salmonella | |
| FRESH | ≤1.00 | ≤1.00 | ≤1.00 | absence in 25 g |
| U | ≤1.00 | ≤1.00 | ≤1.00 | absence in 25 g |
| PEF5 | ≤1.00 | ≤1.00 | ≤1.00 | absence in 25 g |
| PEF20 | ≤1.00 | ≤1.00 | ≤1.00 | absence in 25 g |
| EtOH | ≤1.00 | ≤1.00 | ≤1.00 | absence in 25 g |
| PEF5_EtOH | ≤1.00 | ≤1.00 | ≤1.00 | absence in 25 g |
| PEF20_EtOH | ≤1.00 | ≤1.00 | ≤1.00 | absence in 25 g |
Disclaimer/Publisher’s Note: The statements, opinions and data contained in all publications are solely those of the individual author(s) and contributor(s) and not of MDPI and/or the editor(s). MDPI and/or the editor(s) disclaim responsibility for any injury to people or property resulting from any ideas, methods, instructions or products referred to in the content. |
© 2024 by the authors. Licensee MDPI, Basel, Switzerland. This article is an open access article distributed under the terms and conditions of the Creative Commons Attribution (CC BY) license (https://creativecommons.org/licenses/by/4.0/).
Share and Cite
Bogusz, R.; Pobiega, K.; Gondek, E.; Wiktor, A.; Witrowa-Rajchert, D.; Nowacka, M. The Effect of Unconventional Technologies on Carbon Emissions During the Convective Drying of Yellow Mealworm (Tenebrio molitor L.) Larvae and the Selected Physical Properties Thereof. Agriculture 2024, 14, 2366. https://doi.org/10.3390/agriculture14122366
Bogusz R, Pobiega K, Gondek E, Wiktor A, Witrowa-Rajchert D, Nowacka M. The Effect of Unconventional Technologies on Carbon Emissions During the Convective Drying of Yellow Mealworm (Tenebrio molitor L.) Larvae and the Selected Physical Properties Thereof. Agriculture. 2024; 14(12):2366. https://doi.org/10.3390/agriculture14122366
Chicago/Turabian StyleBogusz, Radosław, Katarzyna Pobiega, Ewa Gondek, Artur Wiktor, Dorota Witrowa-Rajchert, and Małgorzata Nowacka. 2024. "The Effect of Unconventional Technologies on Carbon Emissions During the Convective Drying of Yellow Mealworm (Tenebrio molitor L.) Larvae and the Selected Physical Properties Thereof" Agriculture 14, no. 12: 2366. https://doi.org/10.3390/agriculture14122366
APA StyleBogusz, R., Pobiega, K., Gondek, E., Wiktor, A., Witrowa-Rajchert, D., & Nowacka, M. (2024). The Effect of Unconventional Technologies on Carbon Emissions During the Convective Drying of Yellow Mealworm (Tenebrio molitor L.) Larvae and the Selected Physical Properties Thereof. Agriculture, 14(12), 2366. https://doi.org/10.3390/agriculture14122366

