Next Article in Journal
Innovative Approaches in Agricultural Sustainability and Environmental Impact Management: Challenges and Opportunities
Previous Article in Journal
Study on Soil Water and Nitrogen Transport Characteristics of Unidirectional Intersection Infiltration with Muddy Water Fertilization Film Hole Irrigation
 
 
Font Type:
Arial Georgia Verdana
Font Size:
Aa Aa Aa
Line Spacing:
Column Width:
Background:
Article

Experimental Investigation of Magnetic Drum Separation Techniques for Dodder (Cuscuta L.) Seed Removal from Alfalfa Seed Mixtures

by
Petruţa Petcu
1,
Augustina Pruteanu
2,*,
Valeria Gabriela Ciobanu
3 and
Ana-Maria Nicolau
1,*
1
Department of Engineering Graphics and Industrial Design, Faculty of Engineering Aerospace, National University of Science and Technology Politehnica Bucharest, 006042 Bucharest, Romania
2
Testing Department, National Institute of Research, Development for Machines and Installations Designed for Agriculture and Food Industry, INMA Bucharest, 013811 Bucharest, Romania
3
SEGULA Technologies Romania, Building: U Center, Avenue Serban Voda, no. 206-218, Building 1, Floor 4, 040215 Bucharest, Romania
*
Authors to whom correspondence should be addressed.
Agriculture 2024, 14(12), 2313; https://doi.org/10.3390/agriculture14122313
Submission received: 14 November 2024 / Revised: 10 December 2024 / Accepted: 13 December 2024 / Published: 17 December 2024

Abstract

Thousands of species of parasitic weeds, such as dodder, pose significant threats to agricultural crops due to their ability to spread rapidly through seeds. When cultivated lands become infested with dodder, the quality of production declines, leading to substantial damage. The most effective way to limit the infestation of agricultural lands by parasitic weeds, particularly dodder, is to control the quality of seeds intended for sowing. To obtain seed material free of dodder seeds, special separation machines equipped with magnetic drums are used. These machines operate on the principle of magnetic fields acting on ferromagnetic particles, which helps differentiate the physical states of the seeds intended for separation. This paper presents experimental research on magnetic drum separation techniques for removing dodder seeds from alfalfa seed mixtures. The study examines variables such as magnetic drum speed, feed rate, amounts of iron powder, water, solution (water and glycerin), and the initial content of dodder seeds. The experimental results indicated that using a water–glycerin solution at optimal concentrations for moistening the seeds enhances the separation efficiency of dodder seeds from alfalfa seed mixtures, compared to using only water. Additionally, the numerical content of dodder seeds in the A and C sorts, which primarily contain the seeds of the main crop, decreases with each pass through the machine, resulting in higher quality seed material. The research found that using appropriate parameters—drum rotation speed (20 rpm), iron powder quantity (19 g/min), and seed feed rate (25.39 g/s)—achieved a “free” classification for dodder in alfalfa seeds. These findings are valuable for evaluating the performance of separation equipment with magnetic drums to obtain high-quality seed material. They are also beneficial for designers, machine-building units, and economic agents specializing in this field.

1. Introduction

The most reliable way to ensure both the quantity and quality of harvests is to use high-quality seed material with the highest germination power, free from any type of seeds, especially parasitic weeds [1]. The most reliable way to ensure both the quantity and quality of harvests is to use high-quality seed material with the highest germination power, free from any type of seeds, especially parasitic weeds [2].
Controlling parasitic weeds is a major national concern because they cause significant damage to primary crops, with infestation areas ranging from 50% to 100% [3,4,5,6].
One of the most dangerous and harmful parasitic weeds affecting agricultural crops globally is dodder. Dodder can reduce crop production by 10% to 80% and is considered toxicologically dangerous because it contains substances harmful to animal health, thereby lowering the quality of feed [3,7,8].
The dodder seed (Cuscuta L.) shown in Figure 1 (author’s photo) is also known as silk vine, golden thread, crop scourge, or plant silk [9].
The most important crops affected by dodder include fodder plants such as clover, alfalfa, cockscomb, birdsfoot trefoil, and various combinations of sown and natural meadows [1,10]; vegetables like onions, chives, tomatoes, carrots, and spinach are also impacted [11], as are textile crops like flax, hemp, and cotton. Industrial plants such as sorghum, corn, cotton, sugar beet, and potatoes, along with woody plants like acacia, poplar, trees, and willow, are susceptible [5,12,13,14,15]. Additionally, citrus fruits [16,17], tobacco [18], chickpeas [19], coffee [20], tea, mango [21], and garden flowers like chrysanthemum are affected [22].
The critical period for weed control is during the crop growth cycle when weeds must be managed to prevent yield loss [2,23].
The specialized literature [1,6,23,24,25,26] presents various types of dodder seeds found in different crops, noting that their size, color, and shape vary significantly by species, as described in Table 1 [24].
Parasitic weed seeds, particularly dodder, are challenging to separate from the seed mass of primary crops using only sieve machines, air currents, and density separators [1,7,24,27,28,29,30].
Moreover, the waste resulting from these processes often contains many seeds from the primary crop, leading to losses of up to 7–27% of the seed material [1,7].
Processing seeds with a high weed content requires significantly more time and energy, especially when the seed material has low purity. Seeds contaminated with weeds, particularly quarantine weeds like dodder, yield smaller quantities of high-quality seeds. These seeds must be processed multiple times to remove the weeds, making it essential to select an appropriate technological method and optimize seed-processing equipment [31].
For complete separation, a magnetic separation method has been developed, utilizing cleaning and sorting equipment based on magnetic drums [1,32]. This method is similar to that used for the separation of metal powders in the metallurgical industry [6,33,34,35,36,37,38].
The removal of dodder seeds is the most reliable way to limit field infestation, ensuring seed material free from parasitic plants [1,6,7,26,39,40].
Dodder seed removal involves a mechanical cleaning operation that separates dodder seeds from the mixture based on the surface conditions of the seeds. Dodder seeds have surfaces covered with fine hairs, while forage plant seeds are smooth [1].
Complex machines have been designed to operate on the principle of magnetic fields acting on ferromagnetic particles, highlighting the physical differences between dodder (magnetic) and clover (non-magnetic) seeds. Identifying the best separation method requires understanding the morphological and biological characteristics, as well as the physical and mechanical properties, of the seeds [1,25,41,42,43].
In the paper [1], two key characteristics differentiate dodder seeds from alfalfa seeds: the seed coat and shape. Dodder seeds have small cavities and rough surfaces, while alfalfa seeds are smooth and shiny. Additionally, dodder seeds are spherical, whereas alfalfa seeds are kidney-shaped and flat.
These characteristics support the effective application of the magnetic separation method using iron powder spraying. Dodder seeds achieve maximum coverage with iron powder, unlike cultivated plant seeds [1,25,41,42,43]. Differences in seed dimensions are minimal, so this characteristic is not useful in the separation process [1].
The main innovation of this study lies in the use of a magnetic separation process for removing dodder seeds from agricultural seed mixtures, applying a water–glycerin solution to moisten the seeds before separation. This innovative method enhances separation efficiency, ensuring high-quality seed material free of dodder seeds, which is a significant improvement over traditional mechanical separation method.
The objectives of the study were as follows:
  • To evaluate the efficiency of the magnetic separation process in obtaining high-quality seed material (alfalfa seeds) by eliminating dodder seeds.
  • To test various separation conditions by investigating the effects of different concentrations of the water–glycerin solution and quantities of iron powder on the separation process of dodder seeds from alfalfa seed mass.
  • To optimize operational separation parameters (drum speed, feed rate, quantity of iron powder, and amount of water–glycerin solution) to achieve clean, dodder-free seed material.
The paper presents the experimental separation techniques using magnetic drums to separate dodder seeds (Cuscuta spp.) from alfalfa seeds (Medicago sativa) based on their surface conditions. Dodder seeds are covered with fine pores, unlike the smooth coating of alfalfa seeds, to which powder adheres only minimally.
In the experimental research on the magnetic separation process, on the drum surface, for the separation of dodder seeds from alfalfa seeds, several parameters were varied, including the amounts of iron powder (10; 15; 19 g/min), water (38 drops/min), and a solution of water and glycerin (22; 30; 38 drops/min). The initial content of dodder seeds was 380 seeds per 100 g of alfalfa, with a drum speed of 20 revolutions per minute and a feed rate of 25.39 g per second. This allowed testing the hypothesis of separating dodder seeds from the alfalfa-dodder seed mixture in a magnetic field created by two magnetic drums, to determine the conditions necessary for obtaining seed material “free” of dodder seeds.

2. Materials and Methods

The seed material must comply with the legal quality requirements specified in national [44] and international [45] regulations, rules, and technical standards. This means the numerical content of dodder seeds (Figure 2a) must be zero. If fragile dodder seeds (Figure 2b) or seeds with a grayish (Figure 2c) to white-cream color are found in the analysis sample, they are considered inert matter [1].
The inert matter content in alfalfa seeds usually includes pods, plant parts, and dirt, depending on the quality of the harvest [46].

2.1. Aspects Related to the Preparation of the Seed Mixture for Electromagnetic/Magnetic Separation and the Characteristics of Iron Powder

Iron powder is obtained by grinding soft iron or electrolytic iron scrap.
Grinding soft iron produces flake-shaped iron powder, which adheres better to the asperities of the seeds than shavings from grinding electrolytic iron scrap [1,40]. The dimensions of the iron powder, suitable for separating dodder seeds from cultivated plant seeds, must be between 1 and 50 microns [1,6,26].
High-quality iron powder is necessary for satisfactory cleaning of the seed mixture, as its magnetic properties influence the machine’s operating regime, the quality of seed cleaning, and powder consumption.
The required magnetic field strength on the surface of the magnetic drum varies depending on the composition and properties of the iron powder. Higher adhesion of the iron filings requires lower magnetic induction. The size of the magnetic induction on the drum’s working surface depends on the properties of the seeds, the powder used, and the drum’s peripheral speed. For better adhesion, iron powder is used with water, which is sprayed over the seeds during mixing before the separation process on the magnetic drum.
The materials used in the experiments included the following:
  • Iron powder specifically for selecting alfalfa seeds, with a minimum purity of 99%,
  • Tap water,
  • Simple glycerin, used to prepare a water and glycerin solution at a concentration of 0.71%,
  • Alfalfa seeds—Medicago sativa, (Figure 3a),
  • Dodder seeds—Cuscuta spp., (Figure 3b).
The behavior of the two seed categories during the separation process on the magnetic drums is crucial for obtaining high-quality seed material. The physical characteristics of the seeds can compromise the entire process of selecting dodder seeds from the alfalfa seed mass on the surface of the magnetic drum [1].
Using iron filings and water (or a water–glycerin solution) to moisten the seed mixture significantly enhances the efficiency of the magnetic separation process. The iron filings adhere to the rough surface of dodder seeds, making them behave like ferromagnetic bodies, which allows them to be retained on the surface of the magnetic drum. This increases the accuracy of separating dodder seeds from the alfalfa seed mass. As the number of solution drops increases, the separation process improves, with more dodder seeds being removed with each pass through the machine.
Regarding the effects on the seed material, the use of iron filings and moisture does not negatively impact the alfalfa seeds. The smooth surface of the alfalfa seeds prevents the adhesion of iron filings, so they are not retained on the drum. The iron filings effectively target the dodder seeds, leaving the alfalfa seeds largely unaffected.

2.2. The Separation Process of the Seed Mixture According to the Condition of Their Surface

The magnetic separation process of dodder seeds from the seed mass of the basic crop plants is typically conducted on the surface of a horizontal cylindrical drum in rotational motion.
Dodder seeds, with their rough, wrinkled tegument, are filled with iron filings, acquiring ferromagnetic properties. These seeds are retained on the drum’s surface and, later, detached, while the smooth-surfaced seeds of the basic crop, lacking iron filings, are not retained and fall off earlier into separate areas [6,29,37,38].
Figure 4 presents the technological diagram of the machine used for the magnetic separation of dodder seeds from alfalfa seed mass in the experimental research.
The meaning of each sort is as follows:
  • Sort A: contains mainly alfalfa seeds (smooth) after the seed mixture (alfalfa and dodder) passes over the first magnetic drum.
  • Sort B: contains mainly separated dodder seeds (rough) and iron filings after the seed mixture passes over the first magnetic drum.
  • Sort C: contains separated alfalfa seeds after the alfalfa seeds from Sort A pass over the second magnetic drum.
  • Sort D: contains dodder seeds not separated in the first pass and inert materials (fragile or gray to cream-white colored seeds) and impurities.
The installation consists of two parts: the material preparation section, which includes the feeding system, and the seed separation section, which includes the collection system. Figure 5 shows detailed images of different areas of the machine used in the experiments.
The machine is fed with seeds in the feed tank (Figure 5a), equipped with a sieve to prevent the entry of straw or other foreign materials. The seeds flow into the mixer (Figure 5b), where they are moistened with water and dosed with iron powder.
The installation includes a transport system for the prepared material to be transported to the separator drums, consisting of a screw conveyor and a vibrating table (Figure 5c).
The separation part mainly consists of the two magnetic separation drums (Figure 5d). The installation allows continuous and independent adjustment of the rotational speeds of the two drums, both with a diameter of 410 mm, driven by adjustable-speed electric motors (MA-71-14-2).
The treated seed mass is transported by a screw conveyor, which discharges the seeds onto the first vibrating table that feeds the upper magnetic drum (Figure 5e), initiating the first separation. Weed seeds covered with iron powder are removed from the magnetic drum using a rotating brush (Figure 5d).
The design specifications of the magnetic separation machine used in the experiments are productivity of 400 kg/h; 2 magnetic drums, arranged in series (cascade) with a diameter of 410 mm and a width of 450 mm; 4 separated products; total power required to operate the machine of 2.7 kW; overall dimensions of 3500 mm length, 820 mm width, and 2580 mm height; and machine mass of 655 kg.
Sort A, from the upper drum, mainly contains the seeds of the basic crop and is directed to the second magnetic drum. Seeds with a predominant content of dodder, weeds, and iron powder are directed through a funnel into collection Sort B.
Passing the seeds over the second magnetic drum produces a new separation, where the fraction with a high content of good seeds is collected in Sort C, and those fractions with a high content of broken seeds, dodder, and weeds are directed to a collection recipient through the funnel of Sort D [1,39].
According to the technological diagram and the experimental installation presented in Figure 5, the operating mode of the machine with one drum (Sort A) and with two drums (Sort C) can be observed. In a single pass, the separation occurs in two stages: In the first drum, Sort A is separated from the initial material, and in the second drum, Sort C is obtained from Sort A.
Samples were taken from Sorts A and C in each experiment to determine the quality of the obtained seed material and the operating mode of the machine with one drum (Sort A) and with two drums (Sort C). Sorts B and D are dodder seeds and inert matter.
The experimental part compares the magnetic separation of dodder seeds using water or a water–glycerin solution. An initial content of 380 dodder seeds per 100 g of alfalfa seeds, with a feeding rate of 25.39 g/s and a drum speed of 20 rpm, was used. The parameters are shown in Figure 6; they were established based on preliminary trials.
The experiments were conducted through multiple passes (noted T1, T2, T3, and T4) of the seed material until an initial separation was obtained for Sort A and a total separation for Sort C. The number of passes varied depending on the number of drops of solution (water and glycerin), the number of drops of water, and the flow rate of the iron filings used. T1 represents the first separation of the seed mixture (initial separation); T2, T3, and T4 represent subsequent repetitions of the separation process.
The number of passes indicates how many times the seed mixture passes through the magnetic separator. After each pass of the seed mixture, the remaining dodder seeds in the alfalfa seed mass were counted. Since the “dodder-free” qualification could not be obtained from the first passage of the seed mixture through the two-drum magnetic separator, a second, third, and fourth pass of the seed mixture through the machine was necessary to ensure the quality of the seed material intended for sowing.

3. Results

The experimental research presented in this paper is based on preliminary studies aimed at developing the experimental methodology, acquiring the necessary skills for conducting experiments, and determining the optimal values for various parameters.
In the preliminary research, the numerical content of dodder seeds in Sorts A and C was monitored. The initial material had a dodder seed content of 5% (5727 dodder seeds per 100 g of alfalfa seeds), with 38 drops of water per minute and 19 g/min of iron powder, depending on the drum speed and feed rate of the magnetic drum separator. The results of the preliminary research are shown in Table 2.
Table 2 indicates that there is an optimal range for the feed rate and drum speed for effective separation. For Sort A, at a drum speed of 20 rpm and a feed rate of 25.39 g/s, the numerical content of dodder seeds is minimal. As the drum speed increases, the separation efficiency decreases. At 20 rpm, the numerical content remains minimal for feed rates between 20.43 g/s and 35 g/s. Beyond 20 rpm, the numerical content of dodder seeds increases with the feed rate.
For Sort C, there is a significant increase in the numerical content of dodder seeds with higher drum speeds and feed rates above 25.39 g/s. A minimal and constant numerical content of 700 dodder seeds is observed at a drum speed of 26 rpm, regardless of the feed rate. The numerical content is minimal at a drum speed of 20 rpm and a feed rate of 25.39 g/s.
The preliminary experimental research led to the following conclusions:
  • For high-purity separation based on surface condition, the initial concentration of dodder seeds must be known.
  • The correct choice of drum speed is crucial for efficient separation.
  • At high drum speeds (over 40 rpm), seeds begin to bounce on the drum surface, worsening separation, as supported by mathematical models in the literature.
  • Multiple passes through the separation installation are generally required for complete dodder seed separation, depending on the initial concentration.
The preliminary results allowed for narrowing the range of parameter values for studying the efficiency of the magnetic drum separation of dodder seeds from alfalfa seeds, including water consumption, drum speed, and feed rate.
For initial material with a high numerical content of dodder seeds, multiple passes are necessary to achieve a low content (down to zero). The number of passes, drum speed, feed rate, and water quantity were investigated on the same machine, with the results presented in article [6]. Initial research started with machine adjustments in the usual range (40–54 rpm) used for existing separation machines. Other parameters included a dodder seed content of 11,494 per 100 g of alfalfa seeds, 19 g/min of iron powder, 38 and 55 drops of water, and feed rates of 16.36 g/s, 25.39 g/s, and 65.56 g/s. The analysis concluded that the separation efficiency is primarily ensured by the correct choice of drum speed. The number of passes is influenced by drum speed and iron powder quantity. Increasing the iron powder quantity reduces the number of passes, regardless of drum speed. Excessive water negatively affects the separation process by increasing adhesion, even for alfalfa seeds. Achieving a “dodder-free” rating is ensured by using appropriate parameters: drum speed, water quantity, iron powder quantity, and seed feed rate.
Based on the above, comparative research was conducted on magnetic drum separation using two moistening methods: water and a water–glycerin solution. The results are presented as follows below.

3.1. Magnetic Separation of Dodder Seeds Using Water and Glycerin Mixture for Moistening

The proportion of glycerin to water was 5 mL glycerin to 0.7 L water, resulting in a volume concentration of 0.71% [47].
The influence of the number of solution drops on the quality of the separation process was observed, particularly as they decreased in relation to the quantity of iron powder.

3.1.1. Results Obtained When Using Iron Filings at qiron filings = 10 (g/min)

The experimental data obtained when applying the solution in the separation process are presented in Table 3.
It is observed that as the number of solution drops increases, the degree of separation of clean alfalfa seed material from the magnetic separation on the two drums improves with successive passes through the machine.

3.1.2. Results Obtained When Using Iron Filings at qiron filings = 15 (g/min)

The data regarding the numerical content of dodder seeds from the analysis samples are presented in Table 4.

3.1.3. Results Obtained When Using Iron Filings at qiron filings = 19 (g/min)

The experimental data obtained from spraying the material subjected to separation with qiron filings = 19 (g/min) are presented in Table 5.
Following the magnetic drum separation experiments of dodder seeds from alfalfa seeds, using a glycerin–water solution for moistening, the following conclusions were drawn:
  • For the same quantity of solution (water and glycerin), as the amount of powder increases (10–19 g/min), the numerical content of dodder seeds decreases in the separated product (Sort A and Sort C).
  • For the same amount of iron powder, as the quantity of solution increases (1.89–3.28 g/min), both the number of passes through the installation (from T3 to T1) of the initial seed mixture and the dodder seed content in the sort (Sort A, Sort C) obtained from the separation are significantly reduced.
  • Obtaining seed material free of dodder seeds on the first pass through the machine is ensured by using the specified quantities of iron powder and solution (19 g/min powder and 3.28 g/min solution).

3.2. Magnetic Separation of Dodder Seeds Using Water for Moistening

The experimental data obtained from spraying the material with qwater = 3.28 g/min, for a drum speed of 20 rpm and a feeding rate of 25.39 g/s, are presented in Table 6.
The findings of the experiments were as follows:
  • Using the separation installation with magnetic drums, each with a diameter of 410 mm at a speed of 20 rotations per minute, resulted in high-quality seed material free of dodder seeds.
  • As the amount of iron powder used in the experiments increased from 10 to 19 g per minute, both the number of passes through the machine and the content of dodder seeds in Sort A and Sort C decreased.
  • Selecting an optimal quantity of iron powder (19 g per minute) reduced the number of passes through the machine at a drum speed of 20 rotations per minute.

3.3. Comparison of Experimental Results Regarding Seed Separation by the Two Applied Processes

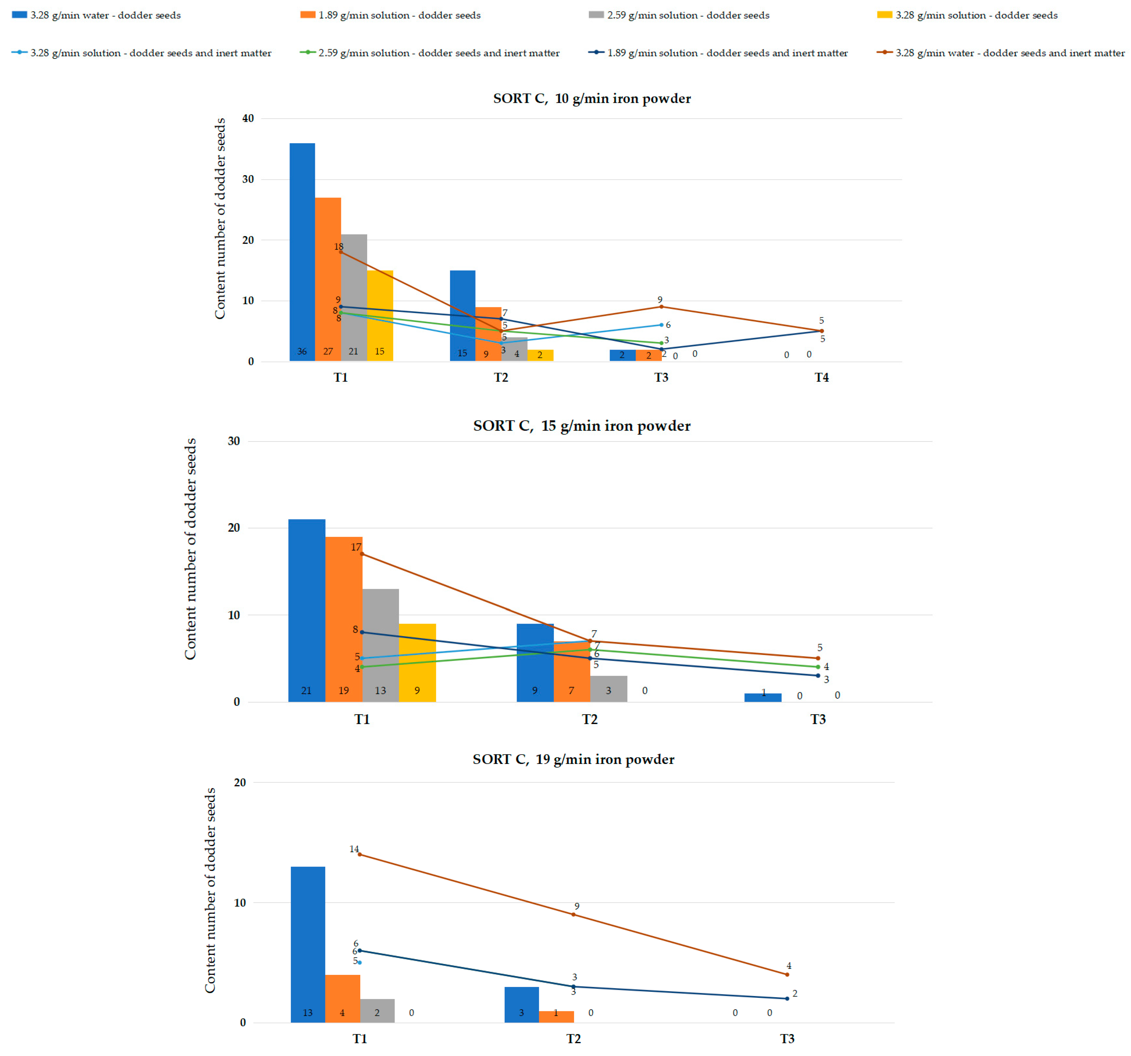
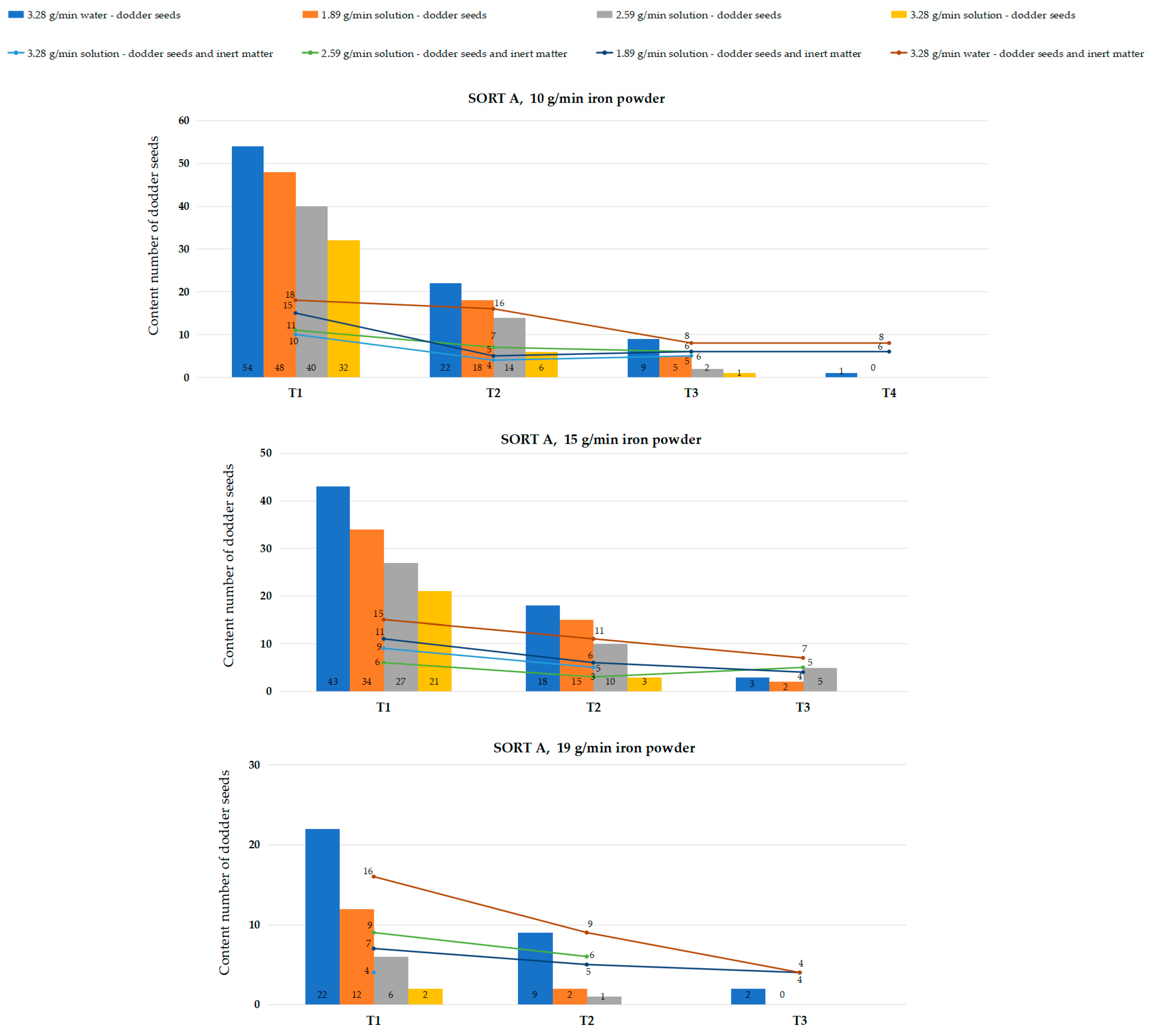
Comparative research of the two technological processes, the first one in which the seed mixture was prepared by wetting with water and dusting with fine iron powder, and the second one in which a solution of water and glycerin was used together with iron powder, have highlighted the purity of the seed material evaluated by the counting of the seeds in Sorts A (separation on single drum) and C (separation on two drums), but also the importance of reducing the number of passes through the machine, all of which are shown comparatively in Figure 7 and Figure 8.
The experiments focused on the influence of water and the solution of water–glycerin on the quality of the separation process when they are different depending on the amount of iron powder used. All these factors impact the number of machine passes required for the mixture intended for sowing, without compromising or damaging the seed material.
The graphical representations show (Figure 7 and Figure 8) a significant decrease in the content of dodder seeds as the amount of iron powder increases for each sort, implicitly allowing fewer passes of the material through the machine. It was observed that seed material free of dodder seeds is obtained at the maximum amount of solution (3.28 g/min), at the first pass of the material through the machine.
For each of the three quantities of iron powder used in the separation process, a minimum dodder seed content was obtained in Sorts A and C when the initial material was moistened with the solution, regardless of the quantity used, compared to moistening with water.
In the following, we will summarize the comparative observations for each quantity of iron powder used. In the case of using 10 g/min of iron filings, the following was observed:
-
When applying the same quantity of water and solution (3.28 g/min), the dodder-free material is favored by the solution method, and the number of machine passes of the seed mixture through the machine is lower.
-
When the seed mixture is moistened with a smaller quantity of solution (1.89 g/min) compared to water (3.28 g/min), the numerical content of dodder seeds is lower; thus, the number of passes through the machine of the seed mixture decreases.
In the case of using 15 g/min of iron filings, the following was observed:
-
When the same quantity of water and solution (3.28 g/min) is used in both processes, it is observed that when applying solution, the single-drum separation method is as efficient as the two-drum method when water is used for moistening.
-
When the seed mixture is moistened with a solution quantity of 2.59 g/min and a water quantity of 3.28 g/min, for the same amount of iron powder (15 g/min), the number of machine passes for the material is identical.
-
When the solution quantity used for moistening the seeds is smaller (1.89 g/min) compared to water (3.28 g/min), the numerical content of dodder seeds in Sorts A and C is similar, and the number of machine passes for the material is the same (T3) for total separation.
In the case of using 19 g/min of iron filings, it was observed that the separation is complete, resulting in dodder-free sowing material, even from the first pass through the machine, when the solution quantity of water and glycerin is 3.28 g/min. This requires a higher consumption of iron powder. In terms of iron powder consumption, the number of passes of the initial dodder seed material (380 dodder seeds/100 g of alfalfa seeds) must also be considered, as it influences the machine’s working capacity, which increases as the number of machine passes decreases.
The general conclusions regarding the comparison of the two processes are as follows:
  • The numerical content of dodder seeds in Sorts A and C is minimal when a smaller quantity of solution (1.89 g/min) is used compared to water (3.28 g/min).
  • For the same quantity of powder used in both magnetic separation processes, the single-drum method when applying the solution (water and glycerin), regardless of the quantity used, is much more effective than the two-drum method when water is used.
  • Comparatively, in both applied processes, the degree of separation obtained with the solution is superior, with a lower numerical content of seeds during single-drum separation compared to water moistening in the two-drum working process.
  • The correct choice of solution and iron powder quantities in the separation process leads to obtaining seed material free of dodder seeds with a single pass through the machine.
To evaluate the validity and reliability of the results obtained and presented in the study, the preliminary results will be compared with the actual results:
  • At a drum speed of 20 rpm, the quality of the separated material is superior to other speeds within the 20–40 rpm range. For drums with a diameter of 410 mm, it is recommended that the speed does not exceed 40 rpm.
  • For high-purity separation of seed mixtures based on their surface condition, the initial concentration of dodder seeds in the material must be known, as it determines the number of passes through the machine.
  • Excessive water negatively affects the separation process by increasing adhesion, even for alfalfa seeds.
  • Using a water–glycerin solution instead of water for moistening seeds before magnetic drum separation significantly improves the separation of dodder seeds.
  • For the same amount of solution (water and glycerin), increasing the quantity of iron powder reduces the numerical content of dodder seeds in Sorts A and C with each pass through the machine.
  • For the same amount of iron powder, increasing the quantity of solution significantly reduces both the number of passes through the machine and the dodder seed content in Sorts A and C.
  • Comparatively, the separation efficiency using the water–glycerin solution is superior to that using water alone.
  • With smaller quantities of iron powder, the number of passes through the machine is higher.
  • Achieving a “dodder-free” rating is ensured by using appropriate parameters: drum speed (20 rpm), iron powder quantity (19 g/min), and seed feed rate (25.39 g/s).

4. Discussion

By comparing the experimental data obtained, several conclusions can be drawn regarding the effectiveness of the separation methods.
The numerical content of dodder seeds in Sorts A and Sorts C was found to be minimal when the magnetic separation process used a smaller number of drops of a water and glycerin solution, as opposed to using water drops alone. Among the two separation methods applied, the water–glycerin solution yielded superior purity, resulting in fewer dodder seeds in the single-drum separation (Sort A) compared to the two-drum process with water (Sort C).
The correct selection of the solution type and the quantity of iron powder used during the separation process is critical. With optimal parameters, seed material free of dodder can be obtained in a single pass through the machine.
To optimize iron powder consumption, it is necessary to consider the number of passes of the initial material with a numerical content of dodder seeds, in this case, 380 dodder seeds/100 g alfalfa seeds, which affects the machine’s working capacity. Reducing the number of passes increases efficiency.
The separation process is more efficient when the seed mixture is moistened with the solution, regardless of the number of drops used, compared to using water alone.
Similar findings have been observed in studies [1,6,26,48], which showed that the correct choice of drum speed (20 rpm) and moistening the seed material with water ensures the quality of the separation process and reduces the number of passes required. In study [1], it was noted that with an iron powder quantity of 3.2 g/min, the number of passes remains high, regardless of drum speed.
Research studies [1,25,41,42,43] have shown that the magnetic drum separation of dodder seeds from basic crop seeds is crucial for agriculture, as it can reduce the damage caused by dodder.
The specialized literature suggests using liquids other than water for moistening to improve the adherence of iron filings to the rough surface of dodder seeds, thus increasing the efficiency of magnetic drum separation [31,46,47].
Applying glycerin in the method for separating dodder seeds from alfalfa seeds has shown a seed material purity of 71%, with 29% inert matter, along with a shorter processing time and higher processing efficiency (73.17%) [31].
In the study [49], it is shown that a magnetic seed separator machine by Seed Processing Holland has a high capacity for separating cracked, damaged, peeled, or split seeds from quality seeds. The iron powder used in the separation process fills the cavities in damaged seeds. When the seeds are dosed onto the conveyor belt, a magnetic roller at the end of the belt attracts all seeds with iron powder and directs them to the base of the conveyor, where imperfect seeds, reusable iron powder, and quality seeds are collected. The separation capacity of this equipment depends on the seed batch, for example, 400 kg/h for cabbage seeds, 100 kg/h for onion seeds, and 80 kg/h for cucumber seeds.
Another magnetic separator with 99.9% purity, the 5TB-Magnetic separator, can process sesame, beans, soya beans, kidney beans, rice, seeds, and different grains [49].
The study [50] examined the uneven magnetic field separation of cotton seeds with different degrees of cracking. The equipment used for separating cotton seeds consisted of a feeding hopper, magnetic roller, conveyor belt, and frequency-regulated motor, achieving a maximum separation rate of 92.5%. The designed magnetic separation device can non-destructively detect batches of cotton seeds with surface cracks, demonstrating high separation efficiency and precision, resulting in reduced damage and successful classification for commercial seeds.

5. Conclusions

The separation of seed mixtures based on their surface condition in a magnetic field is crucial for obtaining high-quality agricultural production. This process removes parasitic weed seeds, such as dodder, resulting in clean seed material. Using high-quality seed material free of parasitic weeds is essential for productive and healthy crops.
Controlling parasitic weeds like dodder is a significant challenge for agriculture. Dodder is one of the most dangerous parasitic weeds, reducing crop production by up to 80% and compromising forage quality with its toxic substances.
Due to their size and physical characteristics, dodder seeds are difficult to separate using traditional mechanical methods like sieves, air currents, and density separators.
The superiority of the proposed magnetic separation technology lies in several key advantages: high precision, the preservation of alfalfa seed integrity, efficiency in processing large quantities, and selective separation based on magnetic properties. Additionally, magnetic separation does not require harmful chemicals or solvents, making it an eco-friendly and sustainable option.
Magnetic separation is the most effective method for removing dodder seeds from seed mixtures due to the physical differences that allow iron powder to adhere to dodder seeds. Alfalfa seeds, with their smooth surface, do not adhere to the iron powder, facilitating separation.
Testing the magnetic separation process, using two processes to moisten the material, one with water and the other with a water and glycerin solution, showed that using a water and glycerin solution at optimal concentrations (the amount of solution of 3.28 g/min and the amount of iron powder of 19 g/min), resulted in high-quality seed material with reduced dodder seed content, from the first pass of the material through the machine. Comparatively, in the two applied processes, the degree of separation obtained when using the solution is superior, having a numerical content of seeds lower when separating on a single drum than when wetting with water in the two-drum working process.
The mechanical dodder separation method, based on magnetic separation, is a reliable way to ensure seed material free from parasitic weeds, preventing land infestation and contributing to healthy and productive crops.
The experimental data presented in this paper are valuable for selecting the optimal parameters for magnetic drum separation equipment and for the construction of the machines and interested economic agents.

Author Contributions

Conceptualization, P.P., A.P., V.G.C. and A.-M.N.; methodology, P.P., A.P., V.G.C. and A.-M.N.; software, P.P., V.G.C. and A.P.; validation, A.P. and A.-M.N.; formal analysis, A.P. and P.P.; investigation, P.P., A.P. and A.-M.N.; resources, P.P., A.P. and A.-M.N.; data curation, P.P.; writing—original draft preparation, A.P. and P.P.; writing—review and editing, P.P., A.P. and A.-M.N.; visualization, P.P., V.G.C. and A.P.; supervision, P.P. All authors are main authors and have equal rights. All authors have read and agreed to the published version of the manuscript.

Funding

This work was supported by a grant from the National Program for Research of the National Association of Technical Universities—GNAC ARUT 2023. AND by a Nucleus Program from Ministry of Research and Digitalization: Multidisciplinary research in the field of digital agriculture for economic competitiveness and sustainable development, in the context of climate change—SUSTAIN-DIGI-GRI, Contract no. 9N/01.01.2023.

Institutional Review Board Statement

Not applicable.

Informed Consent Statement

Not applicable.

Data Availability Statement

The original contributions presented in the study are included in the article; further inquiries can be directed to the corresponding author/s.

Conflicts of Interest

The authors declare no conflicts of interest.

References

  1. Valeria, C. Contributions Regarding the Optimization of Dodder Seeds Separation out of Trefoil Seeds Mass. Ph.D. Thesis, Politehnica University of Bucharest, Faculty of Biotechnical Systems Engineering, Doctoral School of Biotechnical Systems Engineering, Bucharest, Romania, 2015. [Google Scholar]
  2. Knezevic, S.Z.; Evans, S.P.; Blankenship, E.E.; Van Acker, R.C.; Lindquist, J.L. Critical period for weed control: The concept and data analysis. Weed Sci. 2002, 50, 773–786. [Google Scholar] [CrossRef]
  3. Tanase, M.; Sand, C.; Gheorghe, M.; Moise, C.; Stanciu, M.; Antonie, I. Research on the spread of dodder in South-East Transylvania—Romania, Journal of Horticulture. Silvic. Biotechnol. 2012, 16, 216–219. [Google Scholar]
  4. Tǎnase, M.; Antonie, I.; Simtion, D.; Radu, C. Integrated control of dodder (Cuscuta spp.). J. Mt. Agiculture Balk. 2006, 9, 550–558. [Google Scholar]
  5. Tănase, M.; Stanciu, M.; Moise, C.; Gheorghe, M. Ecological and economic impact of dodder species (Cuscuta spp. Convolvulaceae) pratological ecosystems. J. Hortic. For. Biotechnol. 2012, 16, 93–97. [Google Scholar]
  6. Ciobanu, V.; Căsăndroiu, T.; Persu, C.; Păun, A.; Muraru, V. Experimental aspects regarding seed separation with mechanical separating machines with drums. INMATEH-Agric. Eng. 2015, 46, 125–131. [Google Scholar]
  7. Cherches, E. Measures to Combat Coccidiosis in Agricultural Crops in Our Country; Agricola Magazine Editorial Office: Bucharest, Romania, 2010. [Google Scholar]
  8. Tănase, M.; Moise, C. Dodders (Cuscuta spp.): Skin repose, seed germination and pre-parasitic life. J. Hortic. For. Biotechnol. 2012, 16, 89–92. [Google Scholar]
  9. Ristau, R.J. Dodder: Biology and Management, Alfalfa Production Guide for the Southern Great Plains; nr. 3.112; Oklahoma Cooperative Extension Service, Division of Agricultural Sciences and Natural Resources: Stillwater, OK, USA, 1984. [Google Scholar]
  10. Dawson, J.H.; Ashton, W.V.W.; Frank, J.R.; Buchanan, G.A. Dodder and Its Control; University of Minnesota Library: Minneapolis, MN, USA, 1984; pp. 1–23. [Google Scholar]
  11. Zagorchev, L.I.; Petrova, V.P.; Albanova, I.; Georgieva, K.P.; Sarić-Krsmanović, M.; Muscolo, A.; Teofanova, D.R. Salinity modulates crop plants suitability as hosts for Cuscuta campestris parasitism. J. Saudi Soc. Agric. Sci. 2022, 21, 324–330. [Google Scholar] [CrossRef]
  12. Kornél, B.; János, C. Host range and host choice of Cuscuta species in Hungary. Acta Bot. Croat. 2012, 71, 215–227. [Google Scholar]
  13. Tănase, M. Research on the spreading of Cuscuta L. (Convolvulaceae) in the county of Sibiu, Romania, Berlin. Feddes Repert. 2001, 112, 401–405. [Google Scholar] [CrossRef]
  14. Mohamed Saeed, A.Z. Ecological studies on dodder (Cuscuta japonica Choisy) in Hokkaido: Seed Germination and host—Dodder relationship. Enviromental Sci. Hokkaido Univ. 1989, 12, 63–119. [Google Scholar]
  15. Teodosie, P.; Mariana, T.; Oltean, I.; Porca, M. Gărgăriţa galicolă—Smicronyx Jungermanniae Reich. (COL; Curculinidae), a Dangerous Agent Limiting the Spread of Dodder Species; Scientific Annals of the Alexandru Ioan Cuza; University of Iași: Iași, Romania, 2004; pp. 35–38. [Google Scholar]
  16. Colleen Cook, J. Integrated Control of Dodder (Cuscuta pentagona Engelm.) Using Glyphosate, Ammonium Sulfate, and the Biological Control Agent Alternaria destruens Simmons; University of Florida: Gainesville, FL, USA, 2006. [Google Scholar]
  17. Roozkhosh, M.; Azami-Sardooei, Z.; Fekrat, F.; Khalil-Tahmasebi, B.; Rastgoo, M.; Jahanbakhshi, A. Tolerance to dodder (Cuscuta campestris L.) in citrus species of south of Kerman province—Iran. J. Saudi Soc. Agric. Sci. 2022, 21, 331–338. [Google Scholar] [CrossRef]
  18. Svubova, R.; Lukacova, Z.; Kastier, P.; Blehova, A. New aspects of dodder–tobacco interactions during haustorium development. Acta Physiol. Plant. 2017, 39, 66. [Google Scholar] [CrossRef]
  19. Goldwasser, Y.; Rabinovitz, O.; Hayut, E.; Kuzikaro, H.; Sibony, M.; Rubin, B. Selective and effective control of field dodder (Cuscuta campestris) in chickpea with granular pendimethalin. Weed Technol. 2019, 33, 586–594. [Google Scholar] [CrossRef]
  20. Kagezi, G.H.; Kyalo, G.; Kobusinge, J.; Nkuutu, E.; Baluku, J.; Arinaitwe, G.; Niyibigira, E.I. A Rapid Assessment of the Invasive Dodder Weed, Cuscuta spp. on Robusta Coffee, Coffea robusta in Busoga Coffee Growing Sub-Region, Eastern Uganda. East Afr. Sch. J. Agri. Life Sci. 2021, 4, 55–66. [Google Scholar] [CrossRef]
  21. Masanga, J.; Mwangi, B.N.; Kibet, W.; Sagero, P.; Wamalwa, M.; Oduor, R.; Ngugi, M.; Alakonya, A.; Ojola, P.; Bellis, E.S.; et al. Physiological and ecological warnings that dodders pose an exigent threat to farmlands in Eastern Africa. Plant Physiol. 2021, 185, 1457–1467. [Google Scholar] [CrossRef]
  22. Liu, Y.; Liu, L.; Zhao, W.; Guan, Z.; Jiang, J.; Fang, W.; Chen, F. A transcriptional response atlas of Chrysanthemum morifolium to dodder invasion. Environ. Exp. Bot. 2021, 181, 104272. [Google Scholar] [CrossRef]
  23. Goldwasser, Y.; Miryamchik, H.; Rubin, B.; Eizenberg, H. Field Dodder (Cuscuta campestris)—A New Model Describing Temperature-Dependent Seed Germination. Weed Sci. 2016, 64, 53–60. [Google Scholar] [CrossRef]
  24. Khalik, K.N.A. Seed morphology of Cuscuta L. (Convolvulaceae) in Egypt and its systematic significance. Feddes Repert. 2006, 117, 217–224. [Google Scholar] [CrossRef]
  25. Đokić, D.; Oro, V.; Štrbanović, R.; Poštić, D.; Milenković, J.; Knežević, J.; Stanisavljević, R. Impact of Cuscuta spp. seed size variability on machine operation during seed finishing of natural alfalfa seeds. Biol. Nyssana 2023, 14, 57–63. [Google Scholar] [CrossRef]
  26. Ciobanu, V.G.; Visan, A.L.; Paun, A.; Bogdanof, G. Experimental research regarding magnetic separation of seeds after their surface conditions using two moistening liquids. In Proceedings of the 16th International Scientific Conference Engineering for Rural Development, Jelgava, Latvia, 24–26 May 2017; pp. 1000–1005, ISSN 1691-5976. [Google Scholar] [CrossRef]
  27. Geafir, C. Theoretical and Experimental Research on the Optimization of the Working Processes of Gravimetric Separators for Impurities in Cereal Seeds. Ph.D. Thesis, Transilvania University, Brașov, Romania, 2011. [Google Scholar]
  28. Voronov, I.G.; Kojuhovski, I.E. Seed Cleaning and Sorting; State Agro-Forestry Publishing House: Bucharest, Romania, 1955. [Google Scholar]
  29. Letoşnev, M.N. Agricultural Machinery; State Agro-Forestry Publishing House: Bucharest, Romania, 1959. [Google Scholar]
  30. Vasiliev, S.; Bezrucikin, A. Seed Cleaning and Sorting Machines; Technical Publishing House: Bucharest, Romania, 1964. [Google Scholar]
  31. Đokić, D.; Stanisavljević, R.; Terzić, D.; Marković, J.; Dinić, B.; Anđelković, B.; Barać, S. Racionalizacija u Procesu Dorade Semena Lucerke. Poljopr. Teh. 2011, 2, 97–105. [Google Scholar]
  32. Kiyazev, V.F. Production and use of iron and alloy powders. Metallurgy 1981, 25, 426–429. [Google Scholar] [CrossRef]
  33. Edward, D.; Holtham, P.N.; Kojovic, T. The motion of mineral sand particles on the roll in high tension separators. Magn. Electr. Sep. 1994, 6, 69–85. [Google Scholar] [CrossRef]
  34. Molteni, D. Magnetic Separator with Ferrite and Rare Earth Permanent Magnets. U.S. Patent 7,564,333, 21 July 2009. [Google Scholar]
  35. Feistner, K.; Dorff, S.; Fassbender, G. Magnetic Separator. U.S. Patent 5092986, 3 March 1992. Available online: https://patents.justia.com/inventor/klaus-feistner (accessed on 12 December 2024).
  36. Veerendra, S.; Samik, N.; Sunil, K.T. Particle flow modeling of dry induced roll magnetic separator. Powder Technol. 2013, 244, 85–92. [Google Scholar]
  37. Cǎsǎndroiu, T.; Ciobanu, V.; Pǎun, A. Mathematical models for describing the seeds motion in separation processes. In Proceedings of the 43-rd International Symposiumon Agricultural Engineering, Actual Tasks on Agricultural Engineering, Opatija, Croaţia, 24–27 February 2015; pp. 405–416. [Google Scholar]
  38. Cǎsǎndroiu, T.; Ciobanu, V.; Moise, V.; Vişan, A.L. Theoretic aspects of seed motion on drum surface of electromagnetic separation machines. Appl. Mech. Mater. 2014, 656, 305–314. [Google Scholar] [CrossRef]
  39. Păun, A.; Stroescu, G.; Zaica, A.; Bunduchi, G.; Zaica, A.; Bogdanof, C.; Milea, D.; Yasbeck, K.; Cristea, O.D.; Cristea, L.C. Separation of Impurities from the Mass of Small Seeds by Using an Innovative Technology. In Proceedings of the ISB-INMA TEH’ 2020, Agricultural and Mechanical Engineering, Bucharest, Romania, 30 October 2020. [Google Scholar]
  40. Fader, T. Studies and Research on the Separation of Couscous from Onion and Carrot Seeds; ICPITMUA Institute: Bucharest, Romania, 1989; pp. 1–40. [Google Scholar]
  41. Yi, F.; Chen, L.; Zeng, J.; Jiang, Y.; Ren, X. Separation characteristics of dry high-intensity drum magnetic separator. Miner. Eng. 2022, 189, 107861. [Google Scholar] [CrossRef]
  42. Wang, F.; Zhang, S.; Zhao, Z.; Gao, L.; Tong, X.; Dai, H. Investigation of the magnetic separation performance of a low-intensity magnetic separator embedded with auxiliary permanent magnets. Miner. Eng. 2022, 178, 107399. [Google Scholar] [CrossRef]
  43. Guiral-Vega, J.; Pérez-Barnuevo, L.; Bouchard, J.; Ure, A.; Poulin, É.; Du Breuil, C. Particle-based characterization and process modeling to comprehend the behavior of iron ores in drum-type wet low-intensity magnetic separation. Miner. Eng. 2023, 206, 108509. [Google Scholar] [CrossRef]
  44. Law from Romania no. 266 of May 15, 2002 (*republished*) on Production, Processing, Quality Control and Certification, Marketing of Seeds and Planting Material, As Well As Testing and Registration of Plant Varieties. Available online: https://legislatie.just.ro/Public/DetaliiDocument/36141 (accessed on 12 December 2024).
  45. International Seed Testing Association, Cambridge, UK. Available online: https://www.seedtest.org/ (accessed on 12 December 2024).
  46. Đokić, D.; Stanisavljević, R. Possibility of Improving Seed Processing of Red Clover (Trifolium pratense L.) and Alfalfa (Medicago sativa L.). In Proceedings of the International Conference on BioScience: Biotechnology and Biodiversity—Step in the Future. The Fourth Joint UNS—PSU Conference, Novi Sad, Serbia, 18–20 June 2012; pp. 135–148. [Google Scholar]
  47. Đokić, D.; Stanisavljević, R.; Terzić, D.; Marković, J.; Radivojević, G.; Anđelković, B.; Barać, S. Primena različitih tehnoloških procesa u doradi semena crvene dateline. Poljopr. Teh. 2012, 3, 1–10. [Google Scholar]
  48. Ciobanu, V.; Căsăndroiu, T.; Ciupercă, R.; Păun, A. Researches on seeds mixture mechanical separation systems according to their surface. In Proceedings of the Renewable Energy and Rural Development, TE-RE-RD, Băile Olaneşti, Romania, 20–22 June 2013; pp. 133–138. [Google Scholar]
  49. Mircea, C.; Nenciu, F.; Stan, C.; Berca, L. Considerations for the use of magnetic properties to separate grains. In Proceedings of the International Symposium, ISB-INMA-TEH, Agricultural and Mechanical Engineering, Bucharest, Romania, 6–8 October 2022; pp. 510–515. [Google Scholar]
  50. Du, X.W.; Wang, G.D.; Pang, J.; Li, P.F.; Jin, X.; Mao, W.H. Development of the magnetic separation device for surface cracks of delinted cotton seed. Int. J. Agric. Biol. Eng. 2023, 16, 11–19. [Google Scholar]
Figure 1. Dodder weed (Cuscuta L.).
Figure 1. Dodder weed (Cuscuta L.).
Agriculture 14 02313 g001
Figure 2. (a) Dodder seeds; (b) fragile dodder seeds; (c) gray dodder seeds.
Figure 2. (a) Dodder seeds; (b) fragile dodder seeds; (c) gray dodder seeds.
Agriculture 14 02313 g002
Figure 3. (a) Alfalfa seeds; (b) dodder seeds.
Figure 3. (a) Alfalfa seeds; (b) dodder seeds.
Agriculture 14 02313 g003
Figure 4. The technological diagram of the machine used in the experiments.
Figure 4. The technological diagram of the machine used in the experiments.
Agriculture 14 02313 g004
Figure 5. (a) Front view with feeding area; (b) Mixer; (c) Screw conveyor and vibrating table; (d) Magnetic drum with drive and rotating brush; (e) Front view with magnetic drums and vibrating tables; (f) Side view with the machine used for experimentsCaption.
Figure 5. (a) Front view with feeding area; (b) Mixer; (c) Screw conveyor and vibrating table; (d) Magnetic drum with drive and rotating brush; (e) Front view with magnetic drums and vibrating tables; (f) Side view with the machine used for experimentsCaption.
Agriculture 14 02313 g005
Figure 6. Diagram of the experimental process.
Figure 6. Diagram of the experimental process.
Agriculture 14 02313 g006
Figure 7. Numerical content of custard apple seeds in Sort A, depending on the amounts of water and water and glycerin solution, for different amounts of iron powder.
Figure 7. Numerical content of custard apple seeds in Sort A, depending on the amounts of water and water and glycerin solution, for different amounts of iron powder.
Agriculture 14 02313 g007
Figure 8. Numerical content of custard apple seeds in Sort C, depending on the amounts of water and water and glycerin solution, for different amounts of iron powder.
Figure 8. Numerical content of custard apple seeds in Sort C, depending on the amounts of water and water and glycerin solution, for different amounts of iron powder.
Agriculture 14 02313 g008
Table 1. The shape and size of the seeds of certain dodder (Cuscuta L.) species [24].
Table 1. The shape and size of the seeds of certain dodder (Cuscuta L.) species [24].
Dodder SpeciesSeed ShapeDimensions, (mm)Seed Color
C. pedicellataoval(1–1.1) × (0.7–0.9)black
C. campestrisoval(1–1.2) × (0.8–1)brown
C. chinensisoval(2.5–3) × (1.4–1.5)orange
C. epilinumoval–paired(1–1.4) × (0.8–1)brown
C. planifloraoval(0.6–0.7) × (0.5–0.6)brown
C. monogynaelongated to spherical(1.5–3) × (1–2)black
C. brevistylosaoval(0.8–0.9) × (0.6–0.7)dark brown to black
C. palaestinaoval(0.6–0.9) × (0.4–0.7)black
Table 2. The numerical content of dodder seeds in Sorts A and C.
Table 2. The numerical content of dodder seeds in Sorts A and C.
Drum Speed,
rpm
Feed Flow, g/s
20.4325.3943.1965.56
Sort A
206234778471607
281680108313301270
402040165011301290
Sort C
20417380530687
288436671056607
401413877573730
Table 3. The results of the numerical content of dodder seeds at qiron filings = 10(g/min).
Table 3. The results of the numerical content of dodder seeds at qiron filings = 10(g/min).
Pass Number (T)Sort ASort C
Dodder
Seeds
Dodder Seeds
Inert Matter
TotalDodder
Seeds
Dodder Seeds
Inert Matter
Total
qsolution = 3.28 (g/min)
T132104215823
T26410235
T3156060 + 6
qsolution = 2.59 (g/min)
T140115121829
T214721459
T3268030 + 3
qsolution = 1.89 (g/min)
T148156327936
T2185239716
T35611224
T4060 + 6050 + 5
Table 4. The results of the numerical content of dodder seeds at qiron filings = 15 (g/min).
Table 4. The results of the numerical content of dodder seeds at qiron filings = 15 (g/min).
Pass Number (T)Sort ASort C
Dodder
Seeds
Dodder Seeds
Inert Matter
TotalDodder
Seeds
Dodder Seeds
Inert Matter
Total
qsolution = 3.28 (g/min)
T1219309514
T2358070 + 7
qsolution = 2.59 (g/min)
T12763313417
T210313369
T35510040 + 4
qsolution = 1.89 (g/min)
T134114519827
T2156217512
T3246030 + 3
Table 5. The results of the numerical content of dodder seeds at qiron filings = 19 (g/min).
Table 5. The results of the numerical content of dodder seeds at qiron filings = 19 (g/min).
Pass Number (T)Sort ASort C
Dodder
Seeds
Dodder Seeds
Inert Matter
TotalDodder
Seeds
Dodder Seeds
Inert Matter
Total
qsolution = 3.28 (g/min)
T1246050 + 5
qsolution = 2.59 (g/min)
T16915268
T2167030 + 3
qsolution = 1.89 (g/min)
T1127194610
T2257134
T3044020 + 2
Table 6. Results regarding the numerical content of dodder seeds in qwater = 3.28 g/min.
Table 6. Results regarding the numerical content of dodder seeds in qwater = 3.28 g/min.
Pass Number (T) Sort ASort C
Dodder
Seeds
Dodder Seeds
Inert Matter
TotalDodder
Seeds
Dodder Seeds
Inert Matter
Total
qiron filings = 10 (g/min)
T1541872361854
T222163815520
T398172911
T4189050 + 5
qiron filings = 15 (g/min)
T1431558211738
T21811299716
T337101 (0)5 (3)0 + 3
qiron filings = 19 (g/min)
T1221638131427
T299183912
T3246040 + 4
Disclaimer/Publisher’s Note: The statements, opinions and data contained in all publications are solely those of the individual author(s) and contributor(s) and not of MDPI and/or the editor(s). MDPI and/or the editor(s) disclaim responsibility for any injury to people or property resulting from any ideas, methods, instructions or products referred to in the content.

Share and Cite

MDPI and ACS Style

Petcu, P.; Pruteanu, A.; Ciobanu, V.G.; Nicolau, A.-M. Experimental Investigation of Magnetic Drum Separation Techniques for Dodder (Cuscuta L.) Seed Removal from Alfalfa Seed Mixtures. Agriculture 2024, 14, 2313. https://doi.org/10.3390/agriculture14122313

AMA Style

Petcu P, Pruteanu A, Ciobanu VG, Nicolau A-M. Experimental Investigation of Magnetic Drum Separation Techniques for Dodder (Cuscuta L.) Seed Removal from Alfalfa Seed Mixtures. Agriculture. 2024; 14(12):2313. https://doi.org/10.3390/agriculture14122313

Chicago/Turabian Style

Petcu, Petruţa, Augustina Pruteanu, Valeria Gabriela Ciobanu, and Ana-Maria Nicolau. 2024. "Experimental Investigation of Magnetic Drum Separation Techniques for Dodder (Cuscuta L.) Seed Removal from Alfalfa Seed Mixtures" Agriculture 14, no. 12: 2313. https://doi.org/10.3390/agriculture14122313

APA Style

Petcu, P., Pruteanu, A., Ciobanu, V. G., & Nicolau, A.-M. (2024). Experimental Investigation of Magnetic Drum Separation Techniques for Dodder (Cuscuta L.) Seed Removal from Alfalfa Seed Mixtures. Agriculture, 14(12), 2313. https://doi.org/10.3390/agriculture14122313

Note that from the first issue of 2016, this journal uses article numbers instead of page numbers. See further details here.

Article Metrics

Back to TopTop