A Non-Linear Exploration of the Digital Economy’s Impact on Agricultural Carbon Emission Efficiency in China
Abstract
1. Introduction
2. Literature Review
3. Data and Methodology
3.1. Explained Variable
3.2. Explaining Variables
3.3. Data Source
3.4. Methodology
- (1)
- Panel Data Regression Model with Double Fixed Effects
- (2)
- Quantile Regression Model
- (3)
- Generalized Additive Models
4. Empirical Results
4.1. Unit Root Test
4.2. Benchmark Regression Model Results
4.3. Quantile Regression Results
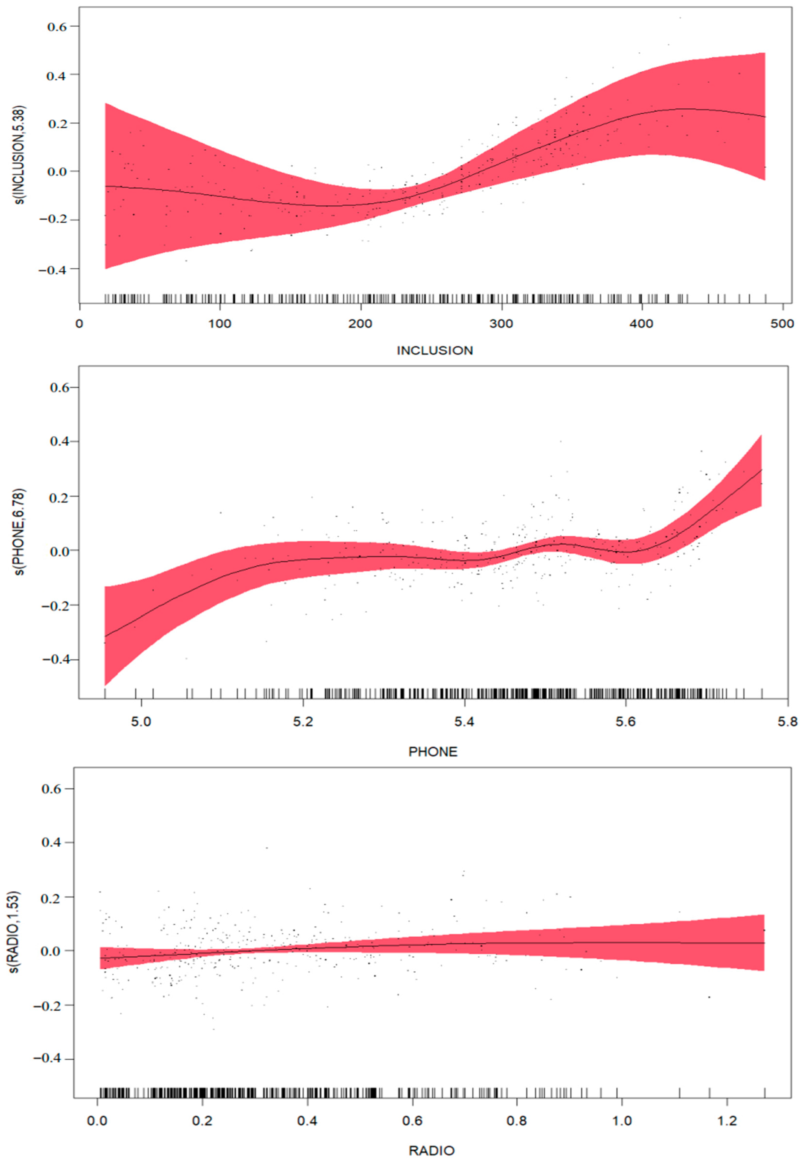
4.4. Generalized Additive Model Regression Results
4.5. Discussion
5. Conclusions and Policy Implications
5.1. Conclusions
5.2. Policy Implications
- (1)
- Accelerate the development of rural digital economy infrastructure, focusing on enhancing the digital economy foundation. Empirical results indicate that the digital economy foundation (phone) has the most significant impact on agricultural carbon emission efficiency. Governments should increase investment in digital infrastructure such as rural communication networks and smart devices, improving network coverage and smart terminal penetration in rural areas to lay the groundwork for the digital transformation of agricultural production.
- (2)
- Optimize the rural digital industry structure and promote deep integration of digital technologies with traditional agriculture. The research reveals a non-linear relationship between rural digital industry level (inclusion) and agricultural carbon emission efficiency. Governments should encourage the development of smart agriculture and precision farming models, promoting the application of IoT, big data, and AI technologies in agricultural production to improve resource utilization efficiency and reduce carbon emissions.
- (3)
- Implement rural digital infrastructure construction tailored to local conditions, avoiding blind investment. Empirical results show that rural digital infrastructure construction (radio) has a relatively small and linear impact on agricultural carbon emission efficiency. Governments should plan rural digital infrastructure construction rationally based on local conditions and needs, avoiding redundant construction and resource waste to improve investment efficiency.
- (4)
- Strengthen policy support and technical assistance for regions with lower agricultural carbon emission efficiency. Quantile regression results indicate that the digital economy’s impact is insignificant in areas with lower agricultural carbon emission efficiency. Governments should develop targeted support policies for these regions, enhancing technical training and guidance to help improve digital technology application capabilities and narrow the digital divide between regions.
- (5)
- Establish long-term mechanisms to continuously optimize the digital economy structure for improving agricultural carbon emission efficiency. The study finds non-linear characteristics and threshold effects in the digital economy’s impact on agricultural carbon emission efficiency. Governments should establish dynamic assessment and adjustment mechanisms to timely identify bottlenecks in digital economy development and continuously optimize its structure to enhance its promotional effect on agricultural carbon emission efficiency.
Author Contributions
Funding
Institutional Review Board Statement
Data Availability Statement
Acknowledgments
Conflicts of Interest
References
- Jia, G.; Shevliakova, E.; Artaxo, P.; De Noblet-Ducoudré, N.; Houghton, R.; House, J.; Kitajima, K.; Lennard, C.; Popp, A.; Sirin, A.; et al. 2019: Land–climate interactions. In Climate Change and Land: An IPCC Special Report on Climate Change, Desertification, Land Degradation, Sustainable Land Management, Food Security, and Greenhouse Gas Fluxes in Terrestrial Ecosystems; Shukla, P.R., Skea, J., Buendia, E.C., Masson-Delmotte, V., Pörtner, H.-O., Roberts, D.C., Zhai, P., Slade, R., Connors, S., van Diemen, R., et al., Eds.; Cambridge University Press: Cambridge, UK, 2022. [Google Scholar] [CrossRef]
- Balsalobre-Lorente, D.; Driha, O.M.; Bekun, F.V.; Osundina, O.A. Do agricultural activities induce carbon emissions? The BRICS experience. Environ. Sci. Pollut. Res. 2019, 26, 25218–25234. [Google Scholar] [CrossRef] [PubMed]
- Zhou, P.; Ang, B.W.; Han, J.Y. Total factor carbon emission performance: A Malmquist index analysis. Energy Econ. 2010, 32, 194–201. [Google Scholar] [CrossRef]
- Wu, D.; Zhang, Z.; Liu, D.; Zhang, L.; Li, M.; Khan, M.I.; Li, T.; Cui, S. Calculation and analysis of agricultural carbon emission efficiency considering water–energy–food pressure: Modeling and application. Sci. Total Environ. 2024, 907, 167819. [Google Scholar] [CrossRef] [PubMed]
- Xia, Y.; Guo, H.; Xu, S.; Pan, C. Environmental regulations and agricultural carbon emissions efficiency: Evidence from rural China. Heliyon 2024, 10, e25677. [Google Scholar] [CrossRef] [PubMed]
- Meng, W.; Shi, K.; Li, J. The impact and mechanism of digital economy development on agricultural carbon emissions. Rural. Financ. Res. 2024, 7, 16–27. (In Chinese) [Google Scholar]
- Hastie, T.; Tibshirani, R. Generalized Additive Models. Stat. Sci. 1986, 1, 297–310. [Google Scholar] [CrossRef]
- Ma, S.; Li, J.; Wei, W. The carbon emission reduction effect of digital agriculture in China. Environ. Sci. Pollut. Res. 2022, 1–18. [Google Scholar] [CrossRef]
- Berhanu, Y.; Angassa, A.; Aune, J.B. A system analysis to assess the effect of low-cost agricultural technologies on productivity, income and GHG emissions in mixed farming systems in southern Ethiopia. Agric. Syst. 2021, 187, 102988. [Google Scholar] [CrossRef]
- Niloofar, P.; Francis, D.P.; Lazarova-Molnar, S.; Vulpe, A.; Vochin, M.-C.; Suciu, G.; Balanescu, M.; Anestis, V.; Bartzanas, T. Data-driven decision support in livestock farming for improved animal health, welfare and greenhouse gas emissions: Overview and challenges. Comput. Electron. Agric. 2021, 190, 106406. [Google Scholar] [CrossRef]
- Wang, J.; Luo, X.; Zhu, J. Does the digital economy contribute to carbon emissions reduction? A city-level spatial analysis in China. Chin. J. Popul. Resour. Environ. 2022, 20, 105–114. [Google Scholar] [CrossRef]
- Bai, L.; Guo, T.; Xu, W.; Liu, Y.; Kuang, M.; Jiang, L. Effects of digital economy on carbon emission intensity in Chinese cities: A life-cycle theory and the application of non-linear spatial panel smooth transition threshold model. Energy Policy 2023, 183, 113792. [Google Scholar] [CrossRef]
- Xu, X.; Huang, X.; Huang, J.; Gao, X.; Chen, L. Spatial-Temporal Characteristics of Agriculture Green Total Factor Productivity in China, 1998–2016: Based on More Sophisticated Calculations of Carbon Emissions. Int. J. Environ. Res. Public Health 2019, 16, 3932. [Google Scholar] [CrossRef] [PubMed]
- Cheng, C.; Li, J.; Qiu, Y.; Gao, C.; Gao, Q. Evaluating the Spatiotemporal Characteristics of Agricultural Eco-Efficiency Alongside China’s Carbon Neutrality Targets. Int. J. Environ. Res. Public Health 2022, 19, 15478. [Google Scholar] [CrossRef] [PubMed]
- Dong, G.; Wang, Z.; Mao, X. Production efficiency and GHG emissions reduction potential evaluation in the crop production system based on emergy synthesis and nonseparable undesirable output DEA: A case study in Zhejiang Province, China. PLoS ONE 2018, 13, e0206680. [Google Scholar] [CrossRef]
- Biswas, J.C.; Haque, M.M.; Hossain, M.B.; Maniruzzaman, M.; Zahan, T.; Rahman, M.M.; Sen, R.; Ishtiaque, S.; Chaki, A.K.; Ahmed, I.M.; et al. Seasonal Variations in Grain Yield, Greenhouse Gas Emissions and Carbon Sequestration for Maize Cultivation in Bangladesh. Sustainability 2022, 14, 9144. [Google Scholar] [CrossRef]
- Song, S.; Zhao, S.; Zhang, Y.; Ma, Y. Carbon Emissions from Agricultural Inputs in China over the Past Three Decades. Agriculture 2023, 13, 919. [Google Scholar] [CrossRef]
- Chu, T.; Yu, L.; Wang, D.; Yang, Z. Carbon footprint of crop production in Heilongjiang land reclamation area, China. Int. J. Agric. Biol. Eng. 2022, 15, 182–191. [Google Scholar] [CrossRef]
- Yu, Z.; Lin, Q.; Huang, C. Re-Measurement of Agriculture Green Total Factor Productivity in China from a Carbon Sink Perspective. Agriculture 2022, 12, 2025. [Google Scholar] [CrossRef]
- Kwiatkowski, C.A.; Pawłowska, M.; Harasim, E.; Pawłowski, L. Strategies of Climate Change Mitigation in Agriculture Plant Production—A Critical Review. Energies 2023, 16, 4225. [Google Scholar] [CrossRef]
- Yun, T.I.A.N.; Zhang, J.B.; He, Y.Y. Research on spatial-temporal characteristics and driving factor of agricultural carbon emissions in China. J. Integr. Agric. 2014, 13, 1393–1403. [Google Scholar]
- Chen, Y.; Miao, J.; Zhu, Z. Measuring green total factor productivity of China’s agricultural sector: A three-stage SBM-DEA model with non-point source pollution and CO2 emissions. J. Clean. Prod. 2021, 318, 128543. [Google Scholar] [CrossRef]
- Luo, M.; Hamdan, R.; Ab-Rahim, R. Data-Driven Evaluation and Optimization of Agricultural Environmental Efficiency with Carbon Emission Constraints. Sustainability 2022, 14, 11849. [Google Scholar] [CrossRef]
- Zhao, X.; Yang, J.; Chen, H.; Zhang, X.; Xi, Y. The effect of urbanization on agricultural eco-efficiency and mediation analysis. Front. Environ. Sci. 2023, 11, 1199446. [Google Scholar] [CrossRef]
- Xiao, Q.; Wang, Y.; Liao, H.; Han, G.; Liu, Y. The Impact of Digital Inclusive Finance on Agricultural Green Total Factor Productivity: A Study Based on China’s Provinces. Sustainability 2023, 15, 1192. [Google Scholar] [CrossRef]
- Horner, N.C.; Shehabi, A.; Azevedo, I.L. Known unknowns: Indirect energy effects of information and communication technology. Environ. Res. Lett. 2016, 11, 103001. [Google Scholar] [CrossRef]
- Asongu, S.A.; Le Roux, S.; Biekpe, N. Enhancing ICT for environmental sustainability in sub-Saharan Africa. Technol. Forecast. Soc. Change 2018, 127, 209–216. [Google Scholar] [CrossRef]
- Salahuddin, M.; Alam, K.; Ozturk, I. The effects of Internet usage and economic growth on CO2 emissions in OECD countries: A panel investigation. Renew. Sustain. Energy Rev. 2016, 62, 1226–1235. [Google Scholar] [CrossRef]
- Hittinger, E.; Jaramillo, P. Internet of Things: Energy boon or bane? Science 2019, 364, 326–328. [Google Scholar] [CrossRef]
- Strubell, E.; Ganesh, A.; McCallum, A. Energy and policy considerations for deep learning in NLP. In Proceedings of the 57th Annual Meeting of the Association for Computational Linguistics. Association for Computational Linguistics, Florence, Italy, 28 July 2019; pp. 3645–3650. [Google Scholar] [CrossRef]
- Henderson, P.; Hu, J.; Romoff, J.; Brunskill, E.; Jurafsky, D.; Pineau, J. Towards the systematic reporting of the energy and carbon footprints of machine learning. J. Mach. Learn. Res. 2020, 21, 1–43. [Google Scholar]
- Hamdi, H.; Sbia, R.; Shahbaz, M. The nexus between electricity consumption and economic growth in Bahrain. Econ. Model. 2014, 38, 227–237. [Google Scholar] [CrossRef]
- Haseeb, A.; Xia, E.; Saud, S.; Ahmad, A.; Khurshid, H. Does information and communication technologies improve environmental quality in the era of globalization? An empirical analysis. Environ. Sci. Pollut. Res. 2019, 26, 8594–8608. [Google Scholar] [CrossRef] [PubMed]
- Williams, E. Environmental effects of information and communications technologies. Nature 2011, 479, 354–358. [Google Scholar] [CrossRef] [PubMed]
- Belkhir, L.; Elmeligi, A. Assessing ICT global emissions footprint: Trends to 2040 & recommendations. J. Clean. Prod. 2018, 177, 448–463. [Google Scholar]
- Taglioni, D.; Winkler, D. Making Global Value Chains Work for Development; World Bank Publications: Chicago, IL, USA, 2016. [Google Scholar]
- Ali, M.A.; Hoque, M.R.; Alam, K. An empirical investigation of the relationship between e-government development and the digital economy: The case of Asian countries. J. Knowl. Manag. 2018, 22, 1176–1200. [Google Scholar] [CrossRef]
- Bukht, R.; Heeks, R. Defining, conceptualising and measuring the digital economy. Dev. Inform. Work. Pap. 2017, 13, 143–172. [Google Scholar] [CrossRef]
- Curran, D. Risk, innovation, and democracy in the digital economy. Eur. J. Soc. Theory 2018, 21, 207–226. [Google Scholar] [CrossRef]
- Brynjolfsson, E.; Collis, A. How should we measure the digital economy. Harv. Bus. Rev. 2019, 97, 140–148. [Google Scholar]
- Zhang, C.; Liu, C. The impact of ICT industry on CO2 emissions: A regional analysis in China. Renew. Sustain. Energy Rev. 2015, 44, 12–19. [Google Scholar] [CrossRef]
- Wu, H.; Xue, Y.; Hao, Y.; Ren, S. How does internet development affect energy-saving and emission reduction? Evidence from China. Energy Econ. 2021, 103, 105577. [Google Scholar] [CrossRef]
- Li, Z.; Wang, J. The dynamic impact of digital economy on carbon emission reduction: Evidence city-level empirical data in China. J. Clean. Prod. 2022, 351, 131570. [Google Scholar] [CrossRef]
- Shahnazi, R.; Dehghan Shabani, Z. The effects of spatial spillover information and communications technology on carbon dioxide emissions in Iran. Environ. Sci. Pollut. Res. 2019, 26, 24198–24212. [Google Scholar] [CrossRef] [PubMed]
- Wen, S.; Hu, Y.; Liu, H. Measurement and spatial–temporal characteristics of agricultural carbon emission in China: An internal structural perspective. Agriculture 2022, 12, 1749. [Google Scholar] [CrossRef]
- Wu, H.; He, Y.; Chen, R. Assessment of agricultural carbon emission performance and stochastic con-vergence in China using SBM-Undesirable model and panel unit root test. Chin. J. Eco-Agric. 2017, 25, 1381–1391. [Google Scholar]
- Casler, S.D.; Rose, A. Carbon dioxide emissions in the US economy: A structural decomposition analysis. Environ. Resour. Econ. 1998, 11, 349–363. [Google Scholar] [CrossRef]
- Cho, Y.; Lee, J.; Kim, T.Y. The impact of ICT investment and energy price on industrial electricity demand: Dynamic growth model approach. Energy Policy 2007, 35, 4730–4738. [Google Scholar] [CrossRef]
- Acemoglu, D.; Aghion, P.; Bursztyn, L.; Hemous, D. The environment and directed technical change. Am. Econ. Rev. 2012, 102, 131–166. [Google Scholar] [CrossRef]
- Kohli, R.; Melville, N.P. Digital innovation: A review and synthesis. Inf. Syst. J. 2019, 29, 200–223. [Google Scholar] [CrossRef]
- Romm, J. The internet and the new energy economy. Resour. Conserv. Recycl. 2002, 36, 197–210. [Google Scholar] [CrossRef]
- Yang, T.; Hu, Y.; Zheng, P. Low-carbon telecom solution for China’s emission reduction and future forecasts. China Commun. 2011, 8, 52–65. [Google Scholar]
- Bastida, L.; Cohen, J.J.; Kollmann, A.; Moya, A.; Reichl, J. Exploring the role of ICT on household behavioural energy efficiency to mitigate global warming. Renew. Sustain. Energy Rev. 2019, 103, 455–462. [Google Scholar] [CrossRef]
- Barrage, L. Optimal dynamic carbon taxes in a climate–economy model with distortionary fiscal policy. Rev. Econ. Stud. 2020, 87, 1–39. [Google Scholar] [CrossRef]
- Shapiro, J.S. The environmental bias of trade policy. Q. J. Econ. 2021, 136, 831–886. [Google Scholar] [CrossRef]
- Liu, H.Q. Accelerating the digital transformation of modern agriculture by driving the agricultural modernization with precision agriculture. Chin. J. Agric. Resour. Reg. Plan 2019, 1, 1–6. [Google Scholar]
- Xu, N.; Zhao, D.; Zhang, W.; Liu, M.; Zhang, H. Does digital transformation promote agricultural carbon productivity in China? Land 2022, 11, 1966. [Google Scholar] [CrossRef]
- Han, D.; Ding, Y.; Shi, Z.; He, Y. The impact of digital economy on total factor carbon productivity: The threshold effect of technology accumulation. Environ. Sci. Pollut. Res. 2022, 29, 55691–55706. [Google Scholar] [CrossRef]
- Wang, Z.; Zhang, J.; He, Y.; Liu, H. A Study on the Potential of Digital Economy in Reducing Agricultural Carbon Emissions. Heliyon 2024, 10, e31941. [Google Scholar] [CrossRef]
- Chen, Y.; Li, M. How does the digital transformation of agriculture affect carbon emissions? Evidence from China’s provincial panel data. Humanit. Soc. Sci. Commun. 2024, 11, 1–17. [Google Scholar] [CrossRef]
- Li, B.; Gao, Y. Impact and transmission mechanism of digital economy on agricultural energy carbon emission reduction. Int. Rev. Econ. Financ. 2024, 95, 103457. [Google Scholar] [CrossRef]
- Wang, Q.; Sun, J.; Pata, U.K.; Li, R.; Kartal, M.T. Digital economy and carbon dioxide emissions: Examining the role of threshold variables. Geosci. Front. 2024, 15, 101644. [Google Scholar] [CrossRef]
- Tan, L.; Tian, N.; Li, X.; Chen, H. Can digital financial inclusion converge the regional agricultural carbon emissions intensity gap? PLoS ONE 2024, 19, e0307328. [Google Scholar] [CrossRef]
- Casirati, S.; Conklin, M.H.; Safeeq, M. Influence of snowpack on forest water stress in the Sierra Nevada. Front. For. Glob. Change 2023, 6, 1181819. [Google Scholar] [CrossRef]
- Wellington, M.J.; Lawes, R.; Kuhnert, P. A framework for modelling spatio-temporal trends in crop production using generalised additive models. Comput. Electron. Agric. 2023, 212, 108111. [Google Scholar] [CrossRef]
- Wellington, M.; Kuhnert, P.; Lawes, R.; Renzullo, L.; Pittock, J.; Ramshaw, P.; Moyo, M.; Kimaro, E.; Tafula, M.; van Rooyen, A. Decoupling crop production from water consumption at some irrigation schemes in southern Africa. Agric. Water Manag. 2023, 284, 108358. [Google Scholar] [CrossRef]
- Singh, A.; Nagar, J.; Amutha, J.; Sharma, S. P2CA-GAM-ID: Coupling of probabilistic principal components analysis with generalised additive model to predict the k−barriers for intrusion detection. Eng. Appl. Artif. Intell. 2023, 126, 107137. [Google Scholar] [CrossRef]
- Charnes, A.; Cooper, W.W.; Rhodes, E. Measuring the efficiency of decision making units. Eur. J. Oper. Res. 1978, 2, 429–444. [Google Scholar] [CrossRef]
- Tone, K. A slacks-based measure of efficiency in data envelopment analysis. Eur. J. Oper. Res. 2001, 130, 498–509. [Google Scholar] [CrossRef]
- Han, G.; Xu, J.; Zhang, X.; Pan, X. Efficiency and Driving Factors of Agricultural Carbon Emissions: A Study in Chinese State Farms. Agriculture 2024, 14, 1454. [Google Scholar] [CrossRef]
- West, T.O.; Marland, G. Net carbon flux from agricultural ecosystems: Methodology for full carbon cycle analyses. Environ. Pollut. 2002, 116, 439–444. [Google Scholar] [CrossRef]
- Tian, Y.; Chen, C. Assessment of China’s carbon emission reduction effectiveness, identification of backward areas and path optimization. Econ. Manag. J. 2019, 41, 22–37. (In Chinese) [Google Scholar]
- Min, J.; Hu, H. Measurement of greenhouse gas emissions from agricultural production in China. Chin. J. Popul. Resour. Environ. 2012, 22, 21–27. (In Chinese) [Google Scholar]
- Guo, H. The agricultural carbon reduction effect of digital rural construction under the dual carbon target. PLoS ONE 2024, 19, e0299233. [Google Scholar] [CrossRef] [PubMed]
- Tian, Y.; Cai, Y.; Zhang, H. The impact of digital economy on agricultural carbon emission efficiency: Based on the test of threshold effect and spatial spillover effect. J. Agrotech. Econ. 2024, 1–19. (In Chinese) [Google Scholar]
- Koenker, R.; Bassett, G., Jr. Regression quantiles. Econom. J. Econom. Soc. 1978, 46, 33–50. [Google Scholar] [CrossRef]
- Galvao, A.; Kato, K.; Montes-Rojas, G.; Olmo, J. Testing linearity against threshold effects: Uniform inference in quantile regression. Ann. Inst. Stat. Math. 2013, 66, 413–439. [Google Scholar] [CrossRef]
- Fasiolo, M.; Wood, S.; Zaffran, M.; Nedellec, R.; Goude, Y. qgam: Bayesian Nonparametric Quantile Regression Modeling in R. J. Stat. Softw. 2020, 100, 1–31. [Google Scholar] [CrossRef]
- Youngman, B. Generalized Additive Models for Exceedances of High Thresholds With an Application to Return Level Estimation for U.S. Wind Gusts. J. Am. Stat. Assoc. 2019, 114, 1865–1879. [Google Scholar] [CrossRef]
- Nelder, J.A.; Wedderburn, R.W. Generalized linear models. J. R. Stat. Soc. Ser. A Stat. Soc. 1972, 135, 370–384. [Google Scholar] [CrossRef]
- Hjort, J.; Suomi, J.; Käyhkö, J. Extreme urban–rural temperatures in the coastal city of Turku, Finland: Quantification and visualization based on a generalized additive model. Sci. Total Environ. 2016, 569, 507–517. [Google Scholar] [CrossRef] [PubMed]
- Chatterjee, S.; Hadi, A.S. Regression Analysis by Example, 5th ed.; John Wiley & Sons: Hoboken, NJ, USA, 2012; p. 424. [Google Scholar]
- Anser, M.K.; Ahmad, M.; Khan, M.A.; Zaman, K.; Nassani, A.A.; Askar, S.E.; Abro, M.M.Q.; Kabbani, A. The role of information and communication technologies in mitigating carbon emissions: Evidence from panel quantile regression. Environ. Sci. Pollut. Res. 2021, 28, 21065–21084. [Google Scholar] [CrossRef] [PubMed]
- Haryanti, T.; Rakhmawati, N.A.; Subriadi, A.P. The extended digital maturity model. Big Data Cogn. Comput. 2023, 7, 17. [Google Scholar] [CrossRef]




| Primary Indicators | Secondary Indicators | Unit |
|---|---|---|
| Input Indicators | Crop Sown Area | h |
| Agricultural Machinery Input | MW·h | |
| Primary Industry Employment | persons | |
| Chemical Fertilizer Usage | Tons | |
| Pesticide Usage | Tons | |
| Agricultural Film Usage | Tons | |
| Agricultural Fixed Capital Stock | Yuan | |
| Output Indicators | Total Agricultural Output Value (Desirable Output) | Yuan |
| Agricultural Carbon Emissions (Undesirable Output) | Tons |
| Variables | Variable Symbol | Mean | Max | Min | S.D. | VIF | |
|---|---|---|---|---|---|---|---|
| Explained variable | Agricultural carbon emission efficiency | Efficiency | 0.568 | 1.187 | 0.228 | 0.198 | |
| Explaining variable | Radio and television network coverage | Radio | 33.050 | 127.210 | 0.500 | 23.900 | 1.939 |
| Scale of rural online payments | Inclusion | 246.040 | 487.420 | 18.330 | 109.244 | 3.817 | |
| Rural smartphone penetration | Phone | 237.440 | 319.800 | 141.870 | 35.680 | 2.021 | |
| Control variables | Agricultural economic development level | ADL | 12.210 | 121.923 | −27.769 | 14.680 | 1.028 |
| Fiscal expenditures for agriculture | Expenditure | 575.720 | 1359.300 | 91.780 | 283.810 | 3.280 | |
| Agricultural internal industrial structure | AIS | 0.814 | 1.066 | 0.538 | 0.113 | 1.685 | |
| Agricultural mechanization input level | Machinery | 3441.030 | 13,353.000 | 94.000 | 2931.610 | 3.502 | |
| Environmental regulation | ER | 0.001 | 0.010 | 0.000 | 0.001 | 1.347 | |
| Urbanization rate | UR | 60.120 | 89.600 | 35.030 | 12.072 | 3.394 |
| Variables | LLC | p-Value | ADF | p-Value | PP | p-Value |
|---|---|---|---|---|---|---|
| Efficiency | −9.097 *** | <0.000 | 175.091 *** | <0.000 | 177.913 *** | <0.000 |
| Radio | −9.690 *** | <0.000 | 112.51 *** | <0.000 | 123.331 *** | <0.000 |
| Inclusion | −32.062 *** | <0.000 | 342.905 *** | <0.000 | 523.877 *** | <0.000 |
| Phone | −10.676 *** | <0.000 | 99.149 *** | 0.001 | 166.152 *** | <0.000 |
| ADL | −14.392 *** | <0.000 | 195.305 *** | <0.000 | 265.763 *** | <0.000 |
| Expenditure | −12.501 *** | <0.000 | 129.978 *** | <0.000 | 250.057 *** | <0.000 |
| AIS | −12.476 *** | <0.000 | 135.430 *** | <0.000 | 120.463 *** | <0.000 |
| Machinery | −15.300 *** | <0.000 | 108.934 *** | <0.000 | 141.390 *** | <0.000 |
| ER | −12.777 *** | <0.000 | 127.000 *** | <0.000 | 133.190 *** | <0.000 |
| UR | −15.038 *** | <0.000 | 113.779 *** | <0.000 | 139.978 *** | <0.000 |
| Variable | Model 1 | Model 2 | Model 3 | Model 4 | GMM |
|---|---|---|---|---|---|
| Constant | −0.6737 *** (0.0193) | −0.9340 *** (0.1486) | −3.0826 *** (0.7247) | −2.6298 *** (0.6680) | −3.5779 *** (0.9182) |
| Radio | 0.1519 *** (0.0585) | 0.1617 *** (0.0545) | 0.1598 *** (0.0549) | 0.1023 ** (0.0510) | 0.2086 *** (0.0709) |
| Inclusion | 0.0010 * (0.0006) | 0.0011 * (0.0006) | 0.0017 *** (0.0006) | 0.0019 ** (0.0009) | |
| Phone | 0.3912 *** (0.1290) | 0.2091 ** (0.0988) | 0.3472 * (0.1867) | ||
| ADL | −0.0001 (0.0005) | −0.0002 (0.0005) | |||
| Expenditure | 0.0148 (0.0743) | −0.0031 (0.0602) | |||
| AIS | −0.2907 (0.2836) | −0.2755 (0.1901) | |||
| Machinery | −0.0548 * (0.0302) | −0.0202 (0.0522) | |||
| ER | −31.6359 *** (10.9238) | −26.8951 *** (9.8577) | |||
| UR | 0.0167 *** (0.0046) | 0.0151 ** (0.0061) | |||
| Individual effects | Yes | Yes | Yes | Yes | Yes |
| Time effects | Yes | Yes | Yes | Yes | Yes |
| Pesaran CD test | −1.181(0.069) | −1.963(0.050) | −1.967(0.049) | −1.905(0.0568) | |
| Adj. | 0.8859 | 0.8868 | 0.8912 | 0.8991 | 0.9040 |
| AIC | −1.3436 | −1.3499 | −1.3849 | −1.446 |
| Variables | 10% | 25% | 50% | 75% | 90% |
|---|---|---|---|---|---|
| Constant | −0.9363 (1.2654) | −1.1565 (1.1629) | −3.5968 *** (0.7576) | −4.4633 *** (0.7268) | −3.6947 *** (0.9315) |
| Radio | 0.01586 (0.1610) | 0.0680 (0.1559) | 0.1029 (0.1241) | 0.2829 *** (0.0934) | 0.2442 *** (0.0886) |
| Inclusion | 0.0004 (0.0005) | 0.0010 * (0.0005) | 0.0005 (0.0004) | 0.0005 (0.0003) | 0.0009 *** (0.0002) |
| Phone | 0.0182 (0.2121) | 0.1255 (0.1778) | 0.7355 *** (0.1297) | 0.8694 *** (0.1274) | 0.7477 *** (0.1552) |
| ADL | 0.0011 (0.0015) | 0.0024 (0.0016) | 0.0003 (0.0017) | 0.0014 (0.0010) | −0.0003 (0.0009) |
| Expenditure | 0.1170 (0.0856) | 0.0821 (0.0705) | 0.0274 (0.0576) | −0.0342 (0.0529) | −0.1711 *** (0.0599) |
| AIS | −0.6643 (0.4359) | −0.5506 * (0.2963) | −0.6466 *** (0.2477) | −0.3589 * (0.1842) | −0.0977 (0.1454) |
| Machinery | −0.0615 * (0.0350) | −0.0622 ** (0.0252) | −0.0678 *** (0.0224) | −0.0313 (0.0325) | 0.0408 (0.0305) |
| ER | −114.2676 *** (31.9020) | −130.6813 *** (31.9773) | −120.5122 *** (24.9972) | −99.6866 *** (18.9416) | −111.6636 *** (15.9970) |
| UR | 0.0028 (0.0031) | −0.0014 (0.0035) | −0.0034 (0.0030) | −0.0019 (0.0025) | −0.0009 (0.0029) |
| Adj. | 0.3138 | 0.2910 | 0.3117 | 0.3168 | 0.3573 |
| Quasi-LR statistic | 135.4180 | 172.7674 | 199.7979 | 186.3762 | 185.6886 |
| Probability | <0.0001 | <0.0001 | <0.0001 | <0.0001 | <0.0001 |
| Variable | GAM1 | GAM2 | GAM3 | GAM4 | GAM5 |
|---|---|---|---|---|---|
| C | −2.4580 *** (0.6888) | −0.6234 *** (0.0460) | −0.7954 * (0.4628) | −0.9060 *** (0.1438) | −0.5009 (0.5880) |
| Radio | 0.1023 ** (0.0483) | ||||
| Inclusion | 0.0017 *** (0.0005) | ||||
| Phone | 0.2091 * (0.1214) | ||||
| ADL | −0.0001 (0.0005) | 0.0005 (0.0004) | −0.0000 (0.0004) | ||
| Expenditure | 0.0148 (0.0588) | −0.0645 (0.0494) | −0.0452 (0.0565) | ||
| AIS | −0.2907 (0.1839) | −0.4917 *** (0.1669) | −0.4566 *** (0.1752) | ||
| Machinery | −0.0548 (0.0465) | 0.0350 (0.0338) | −0.0966 ** (0.0448) | ||
| ER | −31.6400 *** (9.6960) | 28.3700 *** (9.0660) | −29.8300 *** (8.9900) | ||
| UR | 0.0167 *** (0.0005) | 0.0121 *** (0.0032) | 0.0215 *** (0.0052) | ||
| The values in () represent robust standard errors. | |||||
| Estimated degrees of freedom | |||||
| s(Inclusion) | 6.2070 *** (28.9980) | 6.0680 *** (18.5540) | 4.5970 ** (2.7680) | 5.3790 *** (5.1340) | |
| s(Phone) | 6.5330*** (6.5760) | 6.5530*** (5.3150) | 6.9590 *** (5.7520) | 6.7790 *** (5.1310) | |
| s(Radio) | 1.2720 *** (0.0056) | 1.0820 * (3.4640) | 1.7790 ** (3.1520) | 1.5340 (0.9960) | |
| s(Individual) | 28.3600 *** (<0.0001) | 27.3500 *** (44.7680) | |||
| s(Time) | <0.0001 *** (0.0004) | <0.0001 ** (<0.0001) | |||
| Individual effects | Yes | Yes | Yes | Yes | Yes |
| Time effects | Yes | Yes | Yes | Yes | Yes |
| Adj. | 0.8990 | 0.8920 | 0.9030 | 0.9070 | 0.9170 |
| Deviance explained | 0.9130 | 0.9050 | 0.9160 | 0.9200 | 0.9310 |
| REML | −177.1500 | −182.9100 | −187.7200 | −187.6700 | −195.9500 |
| AIC | −517.2007 | −491.3811 | −526.1832 | −535.1550 | −573.4804 |
| The values in () represent F-statistic values. | |||||
Disclaimer/Publisher’s Note: The statements, opinions and data contained in all publications are solely those of the individual author(s) and contributor(s) and not of MDPI and/or the editor(s). MDPI and/or the editor(s) disclaim responsibility for any injury to people or property resulting from any ideas, methods, instructions or products referred to in the content. |
© 2024 by the authors. Licensee MDPI, Basel, Switzerland. This article is an open access article distributed under the terms and conditions of the Creative Commons Attribution (CC BY) license (https://creativecommons.org/licenses/by/4.0/).
Share and Cite
Zhu, S.; Huang, J.; Li, Y.; Maneejuk, P.; Liu, J. A Non-Linear Exploration of the Digital Economy’s Impact on Agricultural Carbon Emission Efficiency in China. Agriculture 2024, 14, 2245. https://doi.org/10.3390/agriculture14122245
Zhu S, Huang J, Li Y, Maneejuk P, Liu J. A Non-Linear Exploration of the Digital Economy’s Impact on Agricultural Carbon Emission Efficiency in China. Agriculture. 2024; 14(12):2245. https://doi.org/10.3390/agriculture14122245
Chicago/Turabian StyleZhu, Shiying, Jiawen Huang, Yansong Li, Paravee Maneejuk, and Jianxu Liu. 2024. "A Non-Linear Exploration of the Digital Economy’s Impact on Agricultural Carbon Emission Efficiency in China" Agriculture 14, no. 12: 2245. https://doi.org/10.3390/agriculture14122245
APA StyleZhu, S., Huang, J., Li, Y., Maneejuk, P., & Liu, J. (2024). A Non-Linear Exploration of the Digital Economy’s Impact on Agricultural Carbon Emission Efficiency in China. Agriculture, 14(12), 2245. https://doi.org/10.3390/agriculture14122245

