The Influence of Agrotechnical Factors on the Yield and Quality Parameters of Winter Triticale Grain
Abstract
1. Introduction
2. Materials and Methods
2.1. Field Experiment
2.2. Environmental Conditions
2.2.1. Weather Conditions
2.2.2. Soil Conditions
2.3. Determination of Physiological Parameters and Canopy Architecture
- -
- Leaf area index (LAI): measured using the LAI 2000 instrument (LI-COR, Lincoln, NE, USA). This measurement was performed in four replicates, with one measurement above the canopy and four measurements within the canopy.
- -
- Relative chlorophyll content: measured using the CCM-200plus chlorophyll meter (Opti-Sciences, Hudson, NH, USA).
- -
- Chlorophyll fluorescence: measured using a handheld chlorophyll fluorescence meter (Pocket PEA, Hansatech Instruments, King’s Lynn, Norfolk, UK). The analyzed parameters: maximum PSII yield (Fv/Fm), the quantum yield of primary photochemistry (Fv/F0), and performance index (PI)
- -
- Gas exchange: measured using LCpro-SD portable photosynthesis measurement system (ADC BioScientific Ltd., Hoddesdon, UK). The analyzed parameters: net photosynthetic rate (PN, mol m−2 s−1), transpiration rate (E, mmol m−2 s−1), stomatal conductance (Gs, mmol H2O m−2 s−1), and intracellular CO2 concentration (Ci, mol CO2 m−2 s−1).
2.4. Triticale Quality Parameters
2.5. Statistical Analysis
3. Results and Discussion
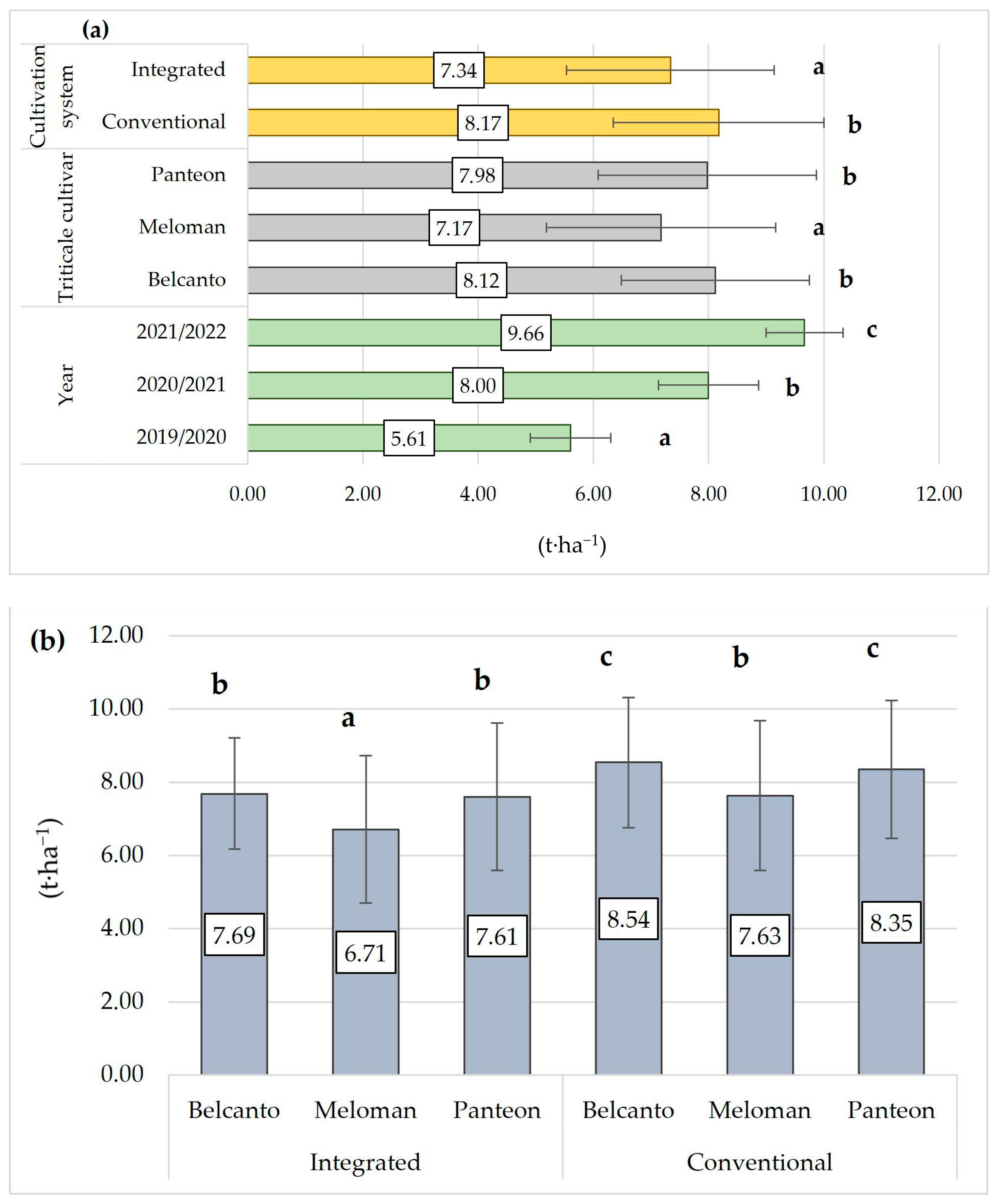
3.1. Triticale Grain Yield
3.2. Physiological Measurements
3.2.1. Leaf Area Index (LAI)
3.2.2. Relative Chlorophyll Content
3.2.3. Chlorophyll Fluorescence
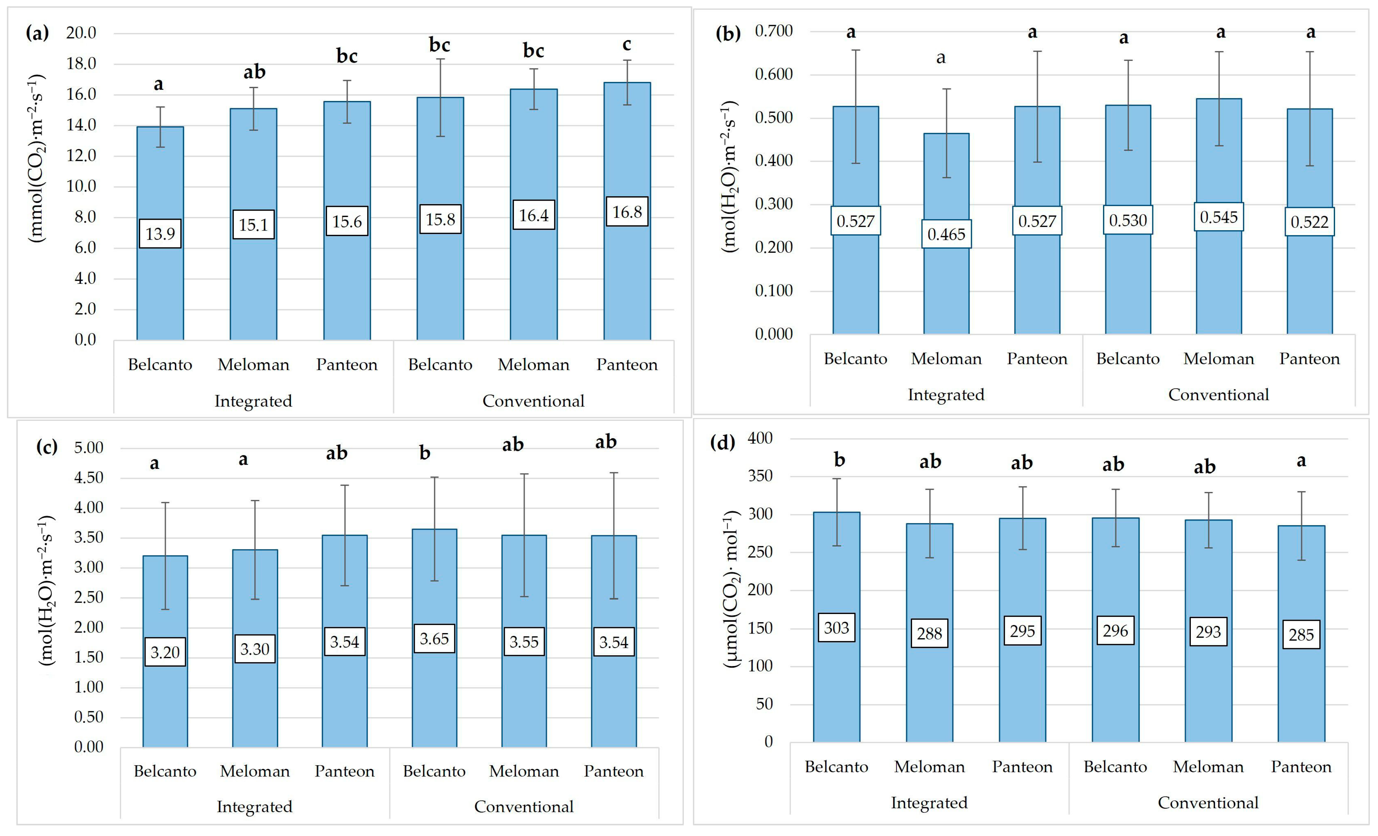
3.2.4. Gas Exchange
3.3. Quality Parameters, Chemical Composition, and Gluten Content of Triticale Grain
4. Conclusions
Author Contributions
Funding
Institutional Review Board Statement
Data Availability Statement
Conflicts of Interest
References
- Roques, S.E.; Kindred, D.R.; Clarke, S. Triticale out-performs wheat on range of UK soils with a similar nitrogen requirement. J. Agric. Sci. 2016, 1552, 261–281. [Google Scholar] [CrossRef]
- Jańczak-Pieniążek, M. The Influence of Cropping Systems on Photosynthesis, Yield, and Grain Quality of Selected Winter Triticale Cultivars. Sustainability 2023, 15, 11075. [Google Scholar] [CrossRef]
- Faccini, N.; Morcia, C.; Terzi, V.; Rizza, F.; Badeck, F.-W. Triticale in Italy. Biology 2023, 12, 1308. [Google Scholar] [CrossRef] [PubMed]
- FAOSTAT. Available online: https://www.fao.org/faostat/en/#data/QCL (accessed on 24 June 2024).
- Camerlengo, F.; Kiszonas, A. Genetic factors influencing triticale quality for food. J. Cereal Sci. 2023, 113, 103744. [Google Scholar] [CrossRef]
- Fraś, A.; Gołębiewska, K.; Gołębiewski, D.; Mańkowski, D.R.; Boros, D.; Szecówka, P. Variability in the chemical composition of triticale grain, flour and bread. J. Cereal Sci. 2016, 71, 66–72. [Google Scholar] [CrossRef]
- McGoverin, C.; Snyders, F.; Muller, N.; Botes, W.; Foxa, G.; Manleya, M. A review of triticale uses and the effect of growth environment on grain quality. J. Sci. Food Agric. 2011, 91, 1155–1165. [Google Scholar] [CrossRef]
- Gaviley, O.V.; Katerynych, O.O.; Ionov, I.A.; Dekhtiarova, O.O.; Griffin, D.K.; Romanov, M.N. Triticale: A General Overview of Its Use in Poultry Production. Encyclopedia 2024, 4, 395–414. [Google Scholar] [CrossRef]
- Meale, S.J.; McAllister, T.A. Grain for feed and energy. In Triticale; Eudes, F., Ed.; Springer International Publishing: Cham, Switzerland, 2015; pp. 167–187. [Google Scholar] [CrossRef]
- Kawakita, D.; Lee, Y.C.A.; Gren, L.H.; Buys, S.S.; La Vecchia, C.; Hashibe, M. Fiber intake and the risk of head and neck cancer in the prostate, lung, colorectal and ovarian (PLCO) cohort. Int. J. Cancer 2019, 145, 2342–2348. [Google Scholar] [CrossRef] [PubMed]
- Kamanova, S.; Yermekov, Y.; Shah, K.; Mulati, A.; Liu, X.; Bulashev, B.; Toimbayeva, D.; Ospankulova, G. Review on nutritional benefits of triticale. Czech J. Food Sci. 2023, 41, 248–262. [Google Scholar] [CrossRef]
- Kaszuba, J.; Kapusta, I.; Posadzka, Z. Content of phenolic acids in the grain of selected polish triticale cultivars and its products. Molecules 2021, 26, 562. [Google Scholar] [CrossRef]
- Jańczak-Pieniążek, M.; Horvat, D.; Viljevac Vuletić, M.; Kovačević Babić, M.; Buczek, J.; Szpunar-Krok, E. Antioxidant potential and phenolic acid profiles in triticale grain under integrated and conventional cropping systems. Agriculture 2023, 13, 1078. [Google Scholar] [CrossRef]
- Rakha, A.; Åman, P.; Andersson, R. Dietary fiber in triticale grain: Variation in content, composition, and molecular weight distribution of extractable components. J. Cereal Sci. 2011, 54, 324–331. [Google Scholar] [CrossRef]
- Xiong, M.; Zheng, S.; Bai, T.; Chen, D.; Qin, W.; Zhang, Q.; Lin, D.; Liu, Y.; Liu, A.; Huang, Z.; et al. The difference among structure, physicochemical and functional properties of dietary fiber extracted from triticale and hull-less barley. LWT 2022, 154, 112771. [Google Scholar] [CrossRef]
- Kaszuba, J.; Jaworska, G.; Krochmal-Marczak, B.; Kogut, B.; Kuźniar, P. Effect of bran addition on rheological properties of dough and quality of triticale bread. J. Food Process. Preserv. 2021, 45, e15093. [Google Scholar] [CrossRef]
- Zhu, F. Triticale: Nutritional composition and food uses. Food Chem. 2018, 241, 468–479. [Google Scholar] [CrossRef]
- Kalnina, S.; Rakcejeva, T.; Kunkulberga, D.; Galoburda, R. Rheological properties of whole wheat and whole triticale flour blends for pasta production. Agron. Res. 2015, 13, 948–955. [Google Scholar]
- Aranibar, C.; Pedrotti, F.; Archilla, M.; Vázquez, C.; Borneo, R.; Aguirre, A. Storage and preservation of dry pasta into biodegradable packaging made from triticale flour. J. Food Sci. Technol. 2020, 57, 693–701. [Google Scholar] [CrossRef]
- Kaszuba, J.; Woś, H.; Shchipak, G.V. Bread making quality parameters of some Ukrainian and Polish triticale cultivars. Euphytica 2024, 220, 15. [Google Scholar] [CrossRef]
- Różewicz, M. Yield, grain quality and potential use of triticale in Poland. Pol. J. Agron. 2022, 49, 9–19. [Google Scholar] [CrossRef]
- Derejko, A.; Studnicki, M.; Wójcik-Gront, E. Grain yield performance and stability of winter wheat and triticale cultivars in a temperate climate. Crop Sci. 2021, 61, 3962–3971. [Google Scholar] [CrossRef]
- Durham, T.C.; Mizik, T. Comparative Economics of Conventional, Organic, and Alternative Agricultural Production Systems. Economies 2021, 9, 64. [Google Scholar] [CrossRef]
- Janušauskaite, D. Spring triticale yield formation and nitrogen use efficiency as affected by nitrogen rate and its splitting. Zemdirb.-Agric. 2013, 100, 383–392. [Google Scholar] [CrossRef]
- Bielski, S.; Romaneckas, K.; Šarauskis, E. Impact of Nitrogen and Boron Fertilization on Winter Triticale Productivity Parameters. Agronomy 2020, 10, 279. [Google Scholar] [CrossRef]
- Leghari, S.J.; Han, W.; Soomro, A.A.; Shoukat, M.R.; Zain, M.; Wei, Y.; Xu, Q.; Buriro, M.; Bhutto, T.A.; Soothar, R.K.; et al. Navigating water and nitrogen practices for sustainable wheat production by model-based optimization management systems: A case study of China and Pakistan. Agric. Water Manag. 2024, 300, 108917. [Google Scholar] [CrossRef]
- Neuweiler, J.E.; Trini, J.; Maurer, H.P.; Würschum, T. Do lower nitrogen fertilization levels require breeding of different types of cultivars in triticale? Theor. Appl. Genet. 2022, 135, 993–1009. [Google Scholar] [CrossRef] [PubMed]
- Wrzaszcz, W.; Prandecki, K. Agriculture and the European Green Deal. Probl. Agric. Econ. 2020, 4, 156–179. [Google Scholar] [CrossRef]
- Skowera, B.; Jędrszczyk, E.; Kopcińska, J.; Ambroszczyk, A.M.; Kołton, A. The effects of hydrothermal conditions during vegetation period on fruit quality of processing tomatoes. Pol. J. Environ. Stud. 2014, 23, 195–202. Available online: https://www.pjoes.com/pdf-89183-23042?filename=The%20Effects%20of.pdf (accessed on 21 June 2024). (In Polish).
- IUSS Working Group WRB World Reference Base for Soil Resources 2014, First Update. 2015. Available online: https://icdc.cen.uni-hamburg.de/fileadmin/user_upload/icdc_Dokumente/WorldSoilResources_a-i3794e.pdf (accessed on 21 June 2024).
- Šimanský, V.; Bajcan, D.; Ducsay, L. The effect of organic matter on aggregation under different soil management practices in a vineyard in an extremely humid year. Catena 2013, 101, 108–113. [Google Scholar] [CrossRef]
- Van Erp, P.J.; Houba, Y.J.G.; Van Beusichem, M.L. One hundredth molar calcium chloride extraction procedure. Part I: A review of soil chemical, analytical, and plant nutritional aspects. Commun. Soil Sci. Plant Anal. 1998, 29, 1603–1623. [Google Scholar] [CrossRef]
- Egner, H.; Riehm, H.; Domingo, R.W. Investigations on the chemical soil analysis as a basis for assessing the nutrient condition of the soil, II: Chemical extraction methods for phosphorus and potassium determination. K. Lantbr. Ann. 1960, 26, 199–215. [Google Scholar]
- Schachtschabel, P. The plant-available magnesium in the soil and its determination. Z. Pflanzenernahr. Dung. Und Bodenkd. 1954, 67, 9–23. [Google Scholar] [CrossRef]
- ISO 7971-3:2019; Cereals. Determination of Bulk Density, Called Mass per Hectolitre—Part 3: Routine Method. International Organization for Standardization (ISO): Geneva, Switzerland, 2019.
- ISO 3093:2009; Wheat, Rye and Their Flours, Durum Wheat and Durum Wheat Semolina—Determination of the Falling Number According to Hagberg-Perten. International Organization for Standardization (ISO): Geneva, Switzerland, 2009.
- ICC Standard No. 104/1; Determination of Ash in Cereals and Cereal Products. International Association for Cereal Science and Technology (ICC): Vienna, Austria, 1990.
- AACC Method No. 46-11.02; Crude Protein—Improved Kjeldahl Method, Copper Catalyst Modification. American Association of Cereal Chemists (AACC) International: St. Paul, MN, USA, 2009.
- AACC Method No. 30-25.01; Crude Fat in Wheat, Corn, and Soy Flour, Feeds, and Mixed Feeds. American Association of Cereal Chemists (AACC) International: St. Paul, MN, USA, 2009.
- AACC Method No. 32-10.01; Crude Fiber in Flours, Feeds and Feedstuffs. American Association of Cereal Chemists (AACC) International: St. Paul, MN, USA, 2009.
- ICC Standard No. 155; Determination of Wet Gluten Quantity and Quality (Gluten Index ac. to Perten) of Whole Wheat Meal and Wheat Flour (Triticum aestivum). International Association for Cereal Science and Technology (ICC): Vienna, Austria, 1994.
- Szeląg-Sikora, A.; Sikora, J.; Niemiec, M.; Gródek-Szostak, Z.; Kapusta-Duch, J.; Kuboń, M.; Komorowska, M.; Karcz, J. Impact of integrated and conventional plant production on selected soil parameters in carrot production. Sustainability 2019, 11, 5612. [Google Scholar] [CrossRef]
- Christel, A.; Maron, P.A.; Ranjard, L. Impact of farming systems on soil ecological quality: A meta-analysis. Environ. Chem. Lett. 2021, 19, 4603–4625. [Google Scholar] [CrossRef]
- Saleem, M.F.; Ma, B.L.; Voldeng, H.; Wang, T.C. Nitrogen nutrition on leaf chlorophyll, canopy reflectance, grain protein and grain yield of wheat varieties with contrasting grain protein concentration. J. Plant Nutr. 2010, 33, 1681–1695. [Google Scholar] [CrossRef]
- Janušauskaitė, D. Analysis of grain yield and its components in spring triticale under different N fertilization regimes. Zemdirb.-Agric. 2014, 101, 381–388. [Google Scholar] [CrossRef][Green Version]
- Janusauskaite, D.; Feiziene, D.; Feiza, V. Relationship between spring triticale physiological traits and productivity changes as affected by different N rates. Acta Agric. Scand. B Soil Plant Sci. 2017, 67, 534–541. [Google Scholar] [CrossRef]
- Bocianowski, J.; Tratwal, A.; Nowosad, K. Genotype by environment interaction for main winter triticale varieties characteristics at two levels of technology using additive main effects and multiplicative interaction model. Euphytica 2021, 217, 26. [Google Scholar] [CrossRef]
- Giunta, F.; Cadeddu, F.; Mureddu, F.; Virdis, A.; Motzo, R. Triticale cultivar mixtures: Productivity, resource use and resource use efficiency in a Mediterranean environment. Eur. J. Agron. 2020, 115, 126019. [Google Scholar] [CrossRef]
- Casa, R.; Varella, H.; Buis, S.; Guerif, M.; De Solan, B.; Baret, F. Forcing a wheat crop model with LAI data to access agronomic variables: Evaluation of the impact of model and LAI uncertainties and comparison with an empirical approach. Eur. J. Agron. 2012, 37, 1–10. [Google Scholar] [CrossRef]
- Ronga, D.; Lovelli, S.; Zaccardelli, M.; Perrone, D.; Ulrici, A.; Francia, E.; Milc, J.; Pecchioni, N. Physiological responses of processing tomato in organic and conventional Mediterranean cropping systems. Sci. Hortic. 2015, 190, 161–172. [Google Scholar] [CrossRef]
- Kendal, E. Relationship between chlorophyll and other features in durum wheat (Triticum turgidum L. var. durum) using SPAD and biplot analyses. J. Agric. Sci Tech. 2015, 17, 1873–1886. Available online: https://jast.modares.ac.ir/article-23-8081-en.html (accessed on 24 June 2024).
- Skudra, I.; Ruza, A. Effect of nitrogen and sulphur fertilization on chlorophyll content in winter wheat. Rural. Sustain. Res. 2017, 37, 29–37. [Google Scholar] [CrossRef]
- Janušauskaitė, D. The effect of fertilisation intensity on spring triticale productivity and chlorophyll index in foliage. Zemdirb.-Agric. 2009, 96, 110–123. [Google Scholar]
- Wasaya, A.; Manzoor, S.; Yasir, T.A.; Sarwar, N.; Mubeen, K.; Ismail, I.A.; Raza, A.; Rehman, A.; Hossain, A.; EL Sabagh, A. Evaluation of Fourteen Bread Wheat (Triticum aestivum L.) Genotypes by Observing Gas Exchange Parameters, Relative Water and Chlorophyll Content, and Yield Attributes under Drought Stress. Sustainability 2021, 13, 4799. [Google Scholar] [CrossRef]
- Saeidi, M.; Zabihi-e-Mahmoodabad, R. Evaluation of drought stress on relative water content and chlorophyll content of sesame (Sesamum indicum L.) genotypes at early flowering stage. Res. J. Environ. Sci. 2009, 3, 345–350. [Google Scholar] [CrossRef]
- Živčák, M.; Brestic, M.; Olsovska, K. Application of chlorophyll fluorescence for screening wheat (Triticum aestivum L.) genotype susceptibility to drought and high temperature. Vagos 2009, 82, 82–87. [Google Scholar]
- Rapacz, M.; Sasal, M.; Kalaji, H.M.; Kościelniak, J. Is the OJIP test a reliable indicator of winter hardiness and freezing tolerance of common wheat and triticale under variable winter environments? PLoS ONE 2015, 10, e013482. [Google Scholar] [CrossRef]
- Janušauskaite, D.; Feiziene, D. Chlorophyll fluorescence characteristics throughout spring triticale development stages as affected by fertilization. Acta Agric. Scand. B Soil Plant. Sci. 2012, 62, 7–15. [Google Scholar] [CrossRef]
- Hura, T.; Hura, K.; Grzesiak, M.T. The usefulness of the chlorophyll fluorescence parameters in harvest prediction in 10 genotypes of winter triticale under optimal growth conditions. Plant Biosyst. 2009, 143, 496–503. [Google Scholar] [CrossRef]
- Stawoska, I.; Wesełucha-Birczyńska, A.; Golebiowska-Paluch, G. Temperature-Caused Changes in Raman Pattern and Protein Profiles of Winter Triticale (× Triticosecale, Wittm.) Field-Grown Seedlings. Molecules 2024, 29, 1933. [Google Scholar] [CrossRef]
- Živčák, M.; Olšovská, K.; Slamka, P.; Galambošová, J.; Rataj, V.; Shao, H.B.; Brestič, M. Application of chlorophyll fluorescence performance indices to assess the wheat photosynthetic functions influenced by nitrogen deficiency. Plant Soil Env. 2014, 60, 210–215. [Google Scholar] [CrossRef]
- Wąsek, I.; Dyda, M.; Gołębiowska, G.M.; Tyrka, M.; Rapacz, M.; Szechyńska-Hebda, M.; Wędzony, M. Quantitative trait loci and candidate genes associated with freezing tolerance of winter triticale (× Triticosecale Wittmack). J. Appl. Genet. 2022, 63, 15–33. [Google Scholar] [CrossRef] [PubMed]
- Long, S.P.; Bernacchi, C.J. Gas exchange measurements, what can they tell us about the underlying limitations to photosynthesis? Procedures and sources of error. J. Exp. Bot. 2003, 54, 2393–2401. [Google Scholar] [CrossRef] [PubMed]
- Dodd, I.C.; Puértolas, J.; Huber, K.; Pérez-Pérez, J.G.; Wright, H.R.; Blackwell, M.S.A. The importance of soil drying and re-wetting in crop phytohormonal and nutritional responses to deficit irrigation. J. Exp. Bot. 2015, 66, 2239–2252. [Google Scholar] [CrossRef] [PubMed]
- Liu, Y.; Bin, T.; Zheng, Y.; Me, K.; Xu, S.; Qiu, F. Screening methods for waterlogging tolerance at maize (Zea mays L.) seedling stage. Agric. Sci. China 2010, 9, 362–369. [Google Scholar] [CrossRef]
- Centritto, M.; Lauteri, M.; Monteverdi, M.C.; Serraj, R. Leaf gas exchange, carbon isotope discrimination, and grain yield in contrasting rice genotypes subjected to water deficits during the reproductive stage. J. Exp. Bot. 2009, 60, 2325–2339. [Google Scholar] [CrossRef]
- Đekić, V.; Milovanović, M.; Popović, V.; Milivojević, J.; Staletić, M.; Jelić, M.; Perišić, V. Effects of fertilization on yield and grain quality in winter triticale. Rom. Agric. Res. 2014, 31, 175–183. [Google Scholar]
- Aydoğan, E.; Köksal Yağdi, U.B. Grain yield and quality of triticale lines. J. Food Agric. Environ. 2010, 8, 558–564. [Google Scholar]
- Dennett, A.L.; Wilkes, M.A.; Trethowan, R.M. Characteristics of modern triticale quality: The relationship between carbohydrate properties, α-amylase activity, and falling number. Cereal Chem. 2013, 90, 594–600. [Google Scholar] [CrossRef]
- Woś, H.; Brzeziński, W. Triticale for food—The quality driver. In Triticale; Eudes, F., Ed.; Springer International Publishing: Cham, Switzerland, 2015; pp. 213–232. [Google Scholar]
- Fraś, A.; Gołębiewski, D.; Gołębiewska, K.; Mańkowski, D.R.; Gzowska, M.; Boros, D. Triticale-oat bread as a new product rich in bioactive and nutrient components. J. Cereal Sci. 2018, 82, 146–154. [Google Scholar] [CrossRef]
- Dziki, D.; Hassoon, W.H.; Kramek, A.; Krajewska, A. Grinding characteristics of new varieties of winter triticale grain. Processes 2023, 11, 1477. [Google Scholar] [CrossRef]
- Kyrylchuk, A.M.; Liashenko, S.O.; Bezprozvana, I.V.; Chukhleb, C.L.; Shcheina, N.P.; Shkliar, V.D. Productivity and grain quality of winter triticale varieties (Triticosecale Wittmack el. Camus) under different soil and climatic growing conditions. Plant Var. Stud. Prot. 2023, 19, 155–167. [Google Scholar] [CrossRef]
- Dumbravă, M.; Ion, V.; Epure, L.I.; Băşa, A.G.; Ion, N.; Duşa, E.M. Grain yield and yield components at triticale under different technological conditions. Agric. Agric. Sci. Procedia 2016, 10, 94–103. [Google Scholar] [CrossRef]
- Wieser, H. Chemistry of gluten proteins. Food Microbiol. 2007, 24, 115–119. [Google Scholar] [CrossRef] [PubMed]
- Naeem, H.A.; Paulon, D.; Irmak, S.; MacRitchie, F. Developmental and environmental effects on the assembly of glutenin polymers and the impact on grain quality of wheat. J. Cereal Sci. 2012, 56, 51–57. [Google Scholar] [CrossRef]
- Schuster, C.; Huen, J.; Scherf, K.A. Comprehensive study on gluten composition and baking quality of winter wheat. Cereal Chem. 2023, 100, 142–155. [Google Scholar] [CrossRef]
- Zečević, V.; Knezević, D.; Bošković, J.; Milenković, S. Effect of nitrogen and ecological factors on quality of winter triticale cultivars. Genetika 2010, 42, 465–474. [Google Scholar] [CrossRef]
- Cubadda, R.; Carcea, M.; Pasqui, L.A. Suitability of the gluten index method for assessing gluten strength in durum wheat and semolina. Cereal Foods World 1992, 37, 866–869. [Google Scholar]
- Oikonomou, N.A.; Bakalis, S.; Rahman, M.S.; Krokida, M.K. Gluten index for wheat products: Main variables in affecting the value and nonlinear regression model. Int. J. Food Prop. 2015, 18, 1–11. [Google Scholar] [CrossRef]
- Wojtkowiak, K.; Stępień, A.; Konopka, I. Protein composition of spring triticale grain in the conditions of diversified fertilization systems. Acta Sci. Pol. Agric. 2015, 14, 77–87. [Google Scholar]
- Šekularac, A.; Torbica, A.; Živančev, D.; Tomić, J.; Knežević, D. The influence of wheat genotype and environmental factors on gluten index and the possibility of its use as bread quality predictor. Genet.-Belgrade 2018, 50, 85–93. [Google Scholar] [CrossRef]
- Tridge.com. Available online: https://www.tridge.com/intelligences/triticale/production (accessed on 24 June 2024).
- Bielski, S.; Dubis, B.; Budzyński, W. Influence of nitrogen fertilisation on the technological value of semi-dwarf grain winter triticale varieties Alekto and Gniewko. Pol. J. Nat. Sci. 2015, 30, 325–336. [Google Scholar]
- Panasiewicz, K.; Koziara, W.; Sulewska, H. Evaluation of technological quality in grain and flour of winter triticale (Triticosecale Wittm.) from controlled cultivation conditions. Pol. J. Nat. Sci. 2018, 33, 89–99. [Google Scholar]
- Pattison, A.L.; Trethowan, R.M. Characteristics of modern triticale quality: Commercially significant flour traits and cookie quality. Crop Pasture Sci. 2013, 64, 874–880. [Google Scholar] [CrossRef]
- Leonova, S.; Badamshina, E.; Koshchina, E.; Kalugina, O.; Gareeva, I.; Leshchenko, N. Triticale flour in bakery and rusk products. Food Sci. Technol. Int. 2022, 28, 524–534. [Google Scholar] [CrossRef]





| Treatments | Conventional Cultivation System | Integrated Cultivation System | |
|---|---|---|---|
| Forecrop | Winter wheat | Broad bean | |
| Seed plowing | 18–22 cm depth | ||
| Stem shortening | Moddus 25 EC (trinexapac-ethyl)—2.0 L·ha−1 (BBCH 31) and 0.5 ha−1 (BBCH 33) | Moddus 25 EC (trinexapac-ethyl)—2.0 L·ha−1 (BBCH 31) | |
| Soil fertilization | Nitrogen (N) | -20 kg·ha−1 (presowing) -60 kg·ha−1 (start of vegetation) -50 kg·ha−1 (BBCH 32–33) -30 kg·ha−1 (BBCH 54–56) | -40 kg·ha−1 (start of vegetation) -30 kg·ha−1 (BBCH 32–33) -20 kg·ha−1 (BBCH 54–56) |
| Phosphorus (P) | 90 kg·ha−1 (presowing) | 50 kg·ha−1 (presowing) | |
| Potassium (K) | 120 kg·ha−1 (presowing) | 70 kg·ha−1 (presowing) | |
| Foliar fertilization | Basfoliar 36 Extra —2.0 L·ha−1 (BBCH 31) and 3.0 L·ha−1 (BBCH 54) | – | |
| Pesticides | Herbicides | Expert Met 56 WG (metribuzin+ flufenacet)—0.35 L·ha−1 (BBCH 11–13) | |
| Fungicides | Delaro 325 EC (prothioconazole + trifloxystrobin)—1.0 L·ha−1 (BBCH 32–33); Bukat 500 SC (tebuconazole)—0.5 L·ha−1 (BBCH 54–56) | – | |
| Insecticides | Karate Zeon 100 CS (lambda-cyhalothrin)—0.35 L·ha−1 (BBCH 54–56) | ||
| Month | ||||||||||||
| growing season | IX | X | XI | XII | I | II | III | IV | V | VI | VII | VIII |
| Temperature (°C) | ||||||||||||
| 2019/2020 | 14.7 | 11.3 | 6.4 | 3.2 | 1.4 | 3.8 | 5.1 | 9.2 | 11.3 | 18.1 | 19.0 | 19.9 |
| 2020/2021 | 15.0 | 11.1 | 5.0 | 1.5 | −0.3 | −1.2 | 3.2 | 6.5 | 12.8 | 18.8 | 22.0 | 17.5 |
| 2021/2022 | 13.1 | 9.1 | 5.6 | −0.8 | 0.3 | 2.6 | 2.2 | 6.8 | 14.4 | 19.4 | 19.0 | 19.9 |
| Long-term | 13.5 | 8.8 | 3.6 | −0.6 | −2.2 | −1.3 | 2.8 | 8.6 | 13.8 | 16.9 | 19.0 | 18.2 |
| Precipitation (mm) | ||||||||||||
| 2019/2020 | 32.1 | 32.1 | 39.0 | 41.6 | 11.9 | 53.4 | 19.9 | 10.0 | 83.3 | 163.0 | 18.9 | 7.3 |
| 2020/2021 | 43.5 | 43.5 | 15.3 | 34.2 | 48.8 | 48.1 | 17.5 | 49.4 | 63.9 | 47.3 | 55.0 | 107.0 |
| 2021/2022 | 85.8 | 2.5 | 32.2 | 29.6 | 35.1 | 28.8 | 26.7 | 56.7 | 7.3 | 15.2 | 27.6 | 18.1 |
| Long-term | 63.7 | 45.4 | 36.5 | 34.6 | 31.0 | 27.8 | 36.3 | 46.3 | 77.6 | 83.8 | 96.6 | 63.8 |
| Year | Month | ||||
|---|---|---|---|---|---|
| April | May | June | July | August | |
| 2020 | 0.36 ed | 2.38 h | 2.99 vh | 0.32 ed | 0.12 ed |
| 2021 | 2.53 vh | 1.61 rh | 0.84 d | 0.82 d | 1.98 rh |
| 2022 | 2.79 vh | 0.16 ed | 0.26 ed | 0.46 vd | 0.29 ed |
| Long-term April–August 1980–2015 | 1.8 rh | 1.8 rh | 1.6 rh | 1.58 o | 1.13 rd |
| Growing Seasons | ||||
|---|---|---|---|---|
| Specification | 2019/2020 | 2020/2021 | 2021/2022 | |
| pH (in 1 mol·dm−3 KCl) | 5.40 | 5.30 | 5.45 | |
| Soil Organic Carbon (SOC) (%) | 1.12 | 1.19 | 1.31 | |
| Nmin (kg·ha−1) | 57.3 | 59.4 | 60.1 | |
| Macroelements (mg·kg−1 soil) | Phosphorus (P) | 102 | 135 | 125 |
| Potassium (K) | 140 | 160 | 173 | |
| Magnesium (Mg) | 136 | 152 | 147 | |
| Factor | Leaf Area Index (LAI) | Chlorophyll Content (CCI) | Chlorophyll Fluorescence | |||
| Cultivation System (CS) | Triticale Cultivar (TC) | Fv/Fm | Fv/F0 | PI | ||
| Mean | 5.35 ± 0.929 | 35.4 ± 5.10 | 0.783 ± 0.037 | 3.73 ± 0.764 | 7.19 ± 3.22 | |
| Conventional | 5.89 ± 0.856 b | 37.1 ± 5.15 b | 0.797 ± 0.034 b | 4.06 ± 0.768 b | 8.21 ± 3.37 b | |
| Integrated | 4.80 ± 0.643 a | 33.7 ± 4.57 a | 0.768 ± 0.035 a | 3.40 ± 0.623 a | 6.18 ± 2.79 a | |
| Belcanto | 5.55 ± 0.746 a | 33.8 ± 5.25 a | 0.771 ± 0.041 a | 3.50 ± 0.776 a | 6.09 ± 2.88 a | |
| Meloman | 5.51 ± 0.579 a | 36.3 ± 4.88 b | 0.788 ± 0.035 b | 3.82 ± 0.758 b | 7.68 ± 3.33 b | |
| Panteon | 4.99 ± 1.280 a | 36.1 ± 5.23 b | 0.790 ± 0.035 b | 3.87 ± 0.770 b | 7.81 ± 3.39 b | |
| Year (Y) | 2019/2020 | 5.15 ± 1.075 a | 30.6 ± 3.05 a | 0.739 ± 0.018 a | 2.85 ± 0.262 a | 3.35 ± 0.92 a |
| 2020/2021 | 5.46 ± 0.926 a | 34.5 ± 1.32 b | 0.798 ± 0.022 b | 3.99 ± 0.521 b | 8.63 ± 1.72 b | |
| 2021/2022 | 5.43 ± 0.816 a | 41.1 ± 3.28 c | 0.812 ± 0.015 c | 4.35 ± 0.408 c | 9.60 ± 2.11 b | |
| CS | F = 30.498 p < 0.0001 | F = 71.24 p < 0.0001 | F = 168.4 p < 0.0001 | F = 221.03 p < 0.0001 | F = 31.343 p < 0.0001 | |
| TC | ns | F = 14.94 p < 0.001 | F = 27.4 p < 0.0001 | F = 28.35 p < 0.0001 | F= 9.269 p < 0.05 | |
| Y | ns | F = 228.62 p < 0.0001 | F = 401.1 p < 0.0001 | F = 429.66 p < 0.0001 | F = 114.642 p < 0.0001 | |
| CS × TC | ns | ns | ns | ns | ns | |
| CS × Y | ns | F = 17.20 p < 0.0001 | ns | F = 11.43 p < 0.001 | ns | |
| TC × Y | F = 6.004 p < 0.05 | ns | ns | ns | ns | |
| CS × TC × Y | ns | ns | ns | ns | ns | |
| Factor | Gas Exchange | ||||
| Cultivation System (CS) | Triticale Cultivar (TC) | Pn (mmol(CO2)∙m−2∙s−1) | Gs (mol(H2O)∙m−2∙s−1) | E (mmol(H2O)∙m−2∙s−1) | Ci (μmol(CO2)∙mol−1) |
| Mean | 15.6 ± 1.78 | 0.519 ± 0.222 | 3.46 ± 1.170 | 293 ± 39.1 | |
| Conventional | 16.3 ± 1.79 b | 0.532 ± 0.202 a | 3.58 ± 1.222 b | 291 ± 37.8 a | |
| Integrated | 14.8 ± 1.47 a | 0.506 ± 0.246 a | 3.35 ± 1.138 a | 296 ± 41.4 a | |
| Belcanto | 14.9 ± 2.17 a | 0.528 ± 0.262 a | 3.43 ± 0.968 a | 299 ± 39.5 b | |
| Meloman | 15.7 ± 1.46 ab | 0.505 ± 0.200 a | 3.42 ± 1.190 a | 291 ± 39.0 a | |
| Panteon | 16.2 ± 1.51 b | 0.524 ± 0.219 a | 3.54 ± 1.410 a | 290 ± 41.6 a | |
| Year (Y) | 2019/2020 | 14.1 ± 0.95 a | 0.273 ± 0.041 a | 2.60 ± 0.282 a | 335 ± 9.8 c |
| 2020/2021 | 15.8 ± 1.66 b | 0.593 ± 0.184 b | 2.76 ± 0.231 a | 301 ± 6.9 b | |
| 2021/2022 | 16.9 ± 1.39 c | 0.692 ± 0.132 b | 5.03 ± 0.446 b | 244 ± 11.8 a | |
| CS | F = 26.76 p < 0.0001 | ns | F = 13.11 p < 0.05 | ns | |
| TC | F = 7.29 p < 0.05 | ns | ns | F = 4.60 p < 0.05 | |
| Y | F = 33.27 p < 0.0001 | F = 43.5408 p < 0.0001 | F = 617.87 p < 0.0001 | F = 358.13 p < 0.0001 | |
| CS × TC | ns | ns | F = 4.29 p < 0.05 | ns | |
| CS × Y | ns | ns | F = 8.64 p < 0.05 | ns | |
| TC × Y | ns | ns | F = 9.85 p < 0.001 | ns | |
| CS × TC × Y | ns | ns | ns | ns | |
| Factor | Thousand Grain Weight (TGW) (g) | Test Weight (kg·hl−1) | Grain Uniformity (%) | Falling Number (s) | |
|---|---|---|---|---|---|
| Cultivation System (CS) | Triticale Cultivar (TC) | ||||
| Mean | 45.0 ± 6.91 | 70.1 ± 4.82 | 81.4 ± 10.48 | 217 ± 76.3 | |
| Conventional | 47.9 ± 6.36 b | 70.7 ± 4.80 b | 80.6 ± 10.05 a | 205 ± 76.0 a | |
| Integrated | 42.0 ± 6.28 a | 69.5 ± 4.89 a | 82.2 ± 11.12 a | 230 ± 76.7 b | |
| Belcanto | 49.0 ± 5.96 c | 73.5 ± 3.44 c | 86.2 ± 8.76 b | 260 ± 52.2 c | |
| Meloman | 44.0 ± 6.98 b | 67.5 ± 4.28 a | 77.9 ± 6.98 a | 150 ± 55.6 a | |
| Panteon | 41.8 ± 6.15 a | 69.3 ± 4.76 b | 80.2 ± 13.55 a | 242 ± 71.4 b | |
| Conventional | Belcanto | 50.0 ± 5.76 c | 74.0 ± 3.63 c | 84.7 ± 9.97 bc | 249 ± 42.9 d |
| Meloman | 48.2 ± 7.12 bc | 67.9 ± 4.50 a | 77.2 ± 6.66 a | 139 ± 52.3 a | |
| Panteon | 45.6 ± 6.46 b | 70.3 ± 4.67 b | 80.0 ± 12.84 a | 227 ± 83.5 c | |
| Integrated | Belcanto | 48.1 ± 6.55 bc | 73.0 ± 3.51 c | 87.7 ± 8.00 c | 271 ± 62.4 e |
| Meloman | 39.9 ± 3.88 a | 67.1 ± 4.45 a | 78.6 ± 7.84 a | 161 ± 61.5 b | |
| Panteon | 38.1 ± 2.83 a | 68.3 ± 5.07 a | 80.4 ± 15.47 ab | 258 ± 60.6 d | |
| Year (Y) | 2019/2020 | 46.1 ± 4.52 b | 66.4 ± 3.80 a | 69.3 ± 6.36 a | 248 ± 28.9 b |
| 2020/2021 | 48.0 ± 9.81 c | 68.6 ± 2.51 b | 84.5 ± 4.97 b | 150 ± 50.1 a | |
| 2021/2022 | 40.8 ± 2.18 a | 75.4 ± 2.25 c | 90.5 ± 4.63 c | 254 ± 87.6 c | |
| CS | F = 105.86 p < 0.0001 | F = 26.6 p < 0.0001 | ns | F = 173.20 p < 0.0001 | |
| TC | F = 55.53 p < 0.0001 | F = 217.2 p < 0.0001 | F = 36.98 p < 0.0001 | F = 1334.85 p < 0.0001 | |
| Y | F = 56.71 p < 0.0001 | F = 497.0 p < 0.0001 | F = 242.08 p < 0.0001 | F = 1317.84 p < 0.0001 | |
| CS × TC | F = 12.30 p < 0.001 | ns | ns | ns | |
| CS × Y | F = 38.00 p < 0.0001 | ns | ns | F = 10.61 p < 0.001 | |
| TC × Y | F = 16.64 p < 0.0001 | F = 11.5 p < 0.0001 | F = 11.99 p < 0.0001 | F = 197.98 p < 0.0001 | |
| CS × TC × Y | F = 12.83 p < 0.0001 | ns | ns | F = 46.87 p < 0.0001 | |
| Factor | Crude Protein | Crude Fat | Crude Fibre | Crude Ash | |
|---|---|---|---|---|---|
| Cultivation System (CS) | Triticale Cultivar (TC) | (g·kg−1) | |||
| Mean | 135 ± 10.39 | 17.0 ± 2.64 | 21.8 ± 3.03 | 20.6 ± 2.25 | |
| Conventional | 138 ± 9.23 b | 17.0 ± 2.52 a | 21.8 ± 3.09 a | 20.7 ± 2.06 a | |
| Integrated | 132 ± 11.01 a | 17.0 ± 2.83 a | 21.8 ± 3.06 a | 20.5 ± 2.48 a | |
| Belcanto | 135 ± 8.23 b | 18.7 ± 2.07 b | 20.1 ± 1.92 a | 19.2 ± 2.03 a | |
| Meloman | 129 ± 10.51 a | 17.6 ± 2.59 b | 21.0 ± 2.36 a | 20.9 ± 2.15 b | |
| Panteon | 141 ± 9.39 c | 14.7 ± 1.40 a | 24.4 ± 2.98 b | 21.6 ± 1.98 c | |
| Conventional | Belcanto | 138 ± 5.27 b | 18.4 ± 2.65 b | 19.9 ± 1.28 a | 19.3 ± 1.81 a |
| Meloman | 131 ± 9.20 a | 17.2 ± 2.88 ab | 20.3 ± 2.50 a | 21.1 ± 2.15 b | |
| Panteon | 144 ± 9.01 c | 15.5 ± 1.20 ab | 25.3 ± 1.60 b | 21.6 ± 1.71 b | |
| Integrated | Belcanto | 131 ± 9.59 a | 19.1 ± 1.44 b | 20.3 ± 2.53 a | 19.1 ± 2.40 a |
| Meloman | 127 ± 12.23 a | 17.9 ± 2.47 b | 21.8 ± 2.18 ab | 20.6 ± 2.33 b | |
| Panteon | 138 ± 9.77 b | 13.9 ± 1.16 a | 23.4 ± 3.85 ab | 21.7 ± 2.38 b | |
| 2019/2020 | 146 ± 4.96 c | 16.2 ± 2.72 a | 20.5 ± 2.82 a | 23.1 ± 1.38 c | |
| 2020/2021 | 133 ± 6.71 b | 18.4 ± 2.73 b | 23.9 ± 3.19 b | 19.7 ± 1.22 b | |
| 2021/2022 | 126 ± 7.57 a | 16.4 ± 2.01 ab | 21.1 ± 2.02 ab | 18.9 ± 1.18 a | |
| CS | F = 40.13 p < 0.0001 | ns | ns | ns | |
| TC | F = 63.91 p < 0.0001 | F = 11.263 p < 0.001 | F = 15.281 p < 0.0001 | F = 35.43 p < 0.0001 | |
| Y | F = 180.00 p < 0.0001 | F = 4.051 p < 0.05 | F = 9.665 p < 0.001 | F = 117.39 p < 0.0001 | |
| CS × TC | ns | ns | ns | ns | |
| CS × Y | F = 4.18 p < 0.05 | ns | ns | ns | |
| TC × Y | ns | ns | ns | ns | |
| CS × TC × Y | ns | ns | ns | ns | |
| Cultivation System (CS) | Triticale Cultivar (TC) | Wet Gluten (%) | Dry Gluten (%) | Gluten Index (GI) (%) |
|---|---|---|---|---|
| Mean | 21.8 ± 4.8 | 7.01 ± 1.94 | 30.3 ± 17.0 | |
| Conventional | 22.1 ± 4.1 a | 6.82 ± 1.24 a | 28.4 ± 16.4 a | |
| Integrated | 21.5 ± 5.5 a | 7.21 ± 2.48 b | 32.3 ± 17.8 a | |
| Belcanto | 23.2 ± 3.2 b | 7.99 ± 2.24 b | 26.4 ± 16.7 a | |
| Meloman | 17.3 ± 3.8 a | 5.33 ± 1.20 a | 36.3 ± 18.4 a | |
| Panteon | 25.0 ± 3.7 c | 7.71 ± 0.96 b | 28.2 ± 15.6 a | |
| Conventional | Belcanto | 23.4 ± 2.5 b | 7.31 ± 0.68 b | 25.9 ± 17.0 a |
| Meloman | 18.7 ± 3.1 a | 5.69 ± 1.08 a | 37.2 ± 17.0 a | |
| Panteon | 24.3 ± 4.6 b | 7.45 ± 1.15 b | 21.9 ± 13.4 a | |
| Integrated | Belcanto | 23.0 ± 4.1 b | 8.68 ± 3.07 b | 26.9 ± 17.9 a |
| Meloman | 15.9 ± 4.2 a | 4.98 ± 1.29 a | 35.3 ± 21.3 a | |
| Panteon | 25.7 ± 2.7 b | 7.98 ± 0.73 ab | 34.5 ± 16.0 a | |
| Year (Y) | 2019/2020 | 25.5 ± 3.9 b | 8.52 ± 2.13 b | 34.9 ± 11.2 a |
| 2020/2021 | 19.6 ± 5.2 a | 6.09 ± 1.57 a | 35.1 ± 20.3 a | |
| 2021/2022 | 20.4 ± 3.0 a | 6.42 ± 1.10 a | 20.9 ± 15.4 a | |
| CS | ns | F = 7.940 p < 0.05 | ns | |
| TC | F = 72.013 p < 0.0001 | F = 144.520 p < 0.0001 | ns | |
| Y | F = 46.533 p < 0.0001 | F = 117.266 p < 0.0001 | ns | |
| CS × TC | F = 5.018 p < 0.05 | F = 18.571 p < 0.0001 | ns | |
| CS × Y | F = 4.349 p < 0.05 | F = 16.833 p < 0.0001 | ns | |
| TC × Y | F = 5.247 p < 0.0001 | F = 13.547 p < 0.0001 | ns | |
| CS × TC × Y | ns | F = 17.197 p < 0.0001 | ns | |
Disclaimer/Publisher’s Note: The statements, opinions and data contained in all publications are solely those of the individual author(s) and contributor(s) and not of MDPI and/or the editor(s). MDPI and/or the editor(s) disclaim responsibility for any injury to people or property resulting from any ideas, methods, instructions or products referred to in the content. |
© 2024 by the authors. Licensee MDPI, Basel, Switzerland. This article is an open access article distributed under the terms and conditions of the Creative Commons Attribution (CC BY) license (https://creativecommons.org/licenses/by/4.0/).
Share and Cite
Jańczak-Pieniążek, M.; Kaszuba, J. The Influence of Agrotechnical Factors on the Yield and Quality Parameters of Winter Triticale Grain. Agriculture 2024, 14, 2219. https://doi.org/10.3390/agriculture14122219
Jańczak-Pieniążek M, Kaszuba J. The Influence of Agrotechnical Factors on the Yield and Quality Parameters of Winter Triticale Grain. Agriculture. 2024; 14(12):2219. https://doi.org/10.3390/agriculture14122219
Chicago/Turabian StyleJańczak-Pieniążek, Marta, and Joanna Kaszuba. 2024. "The Influence of Agrotechnical Factors on the Yield and Quality Parameters of Winter Triticale Grain" Agriculture 14, no. 12: 2219. https://doi.org/10.3390/agriculture14122219
APA StyleJańczak-Pieniążek, M., & Kaszuba, J. (2024). The Influence of Agrotechnical Factors on the Yield and Quality Parameters of Winter Triticale Grain. Agriculture, 14(12), 2219. https://doi.org/10.3390/agriculture14122219

