Incorporation of Relay Intercropping in Wheat–Fresh Maize–Fresh Soybean Cropping System Improves Climate Resource Utilization and Economic Benefits in Yangtze River Delta
Abstract
1. Introduction
2. Materials and Methods
2.1. Study Site and Plant Material
2.2. Experimental Design and Plant Growth
2.3. Determination of Economic Yield and Biomass of Crops in Each Planting Pattern
2.4. Economic Analysis of Each Planting Pattern
2.5. Meteorological Data
2.6. Allocation of Solar Radiation, Effective Accumulated Temperature, and Precipitation
2.7. Production Efficiency of Accumulated Temperature, Radiation, and Precipitation
2.8. Radiation Use Efficiency
2.9. Statistical Analysis
3. Results
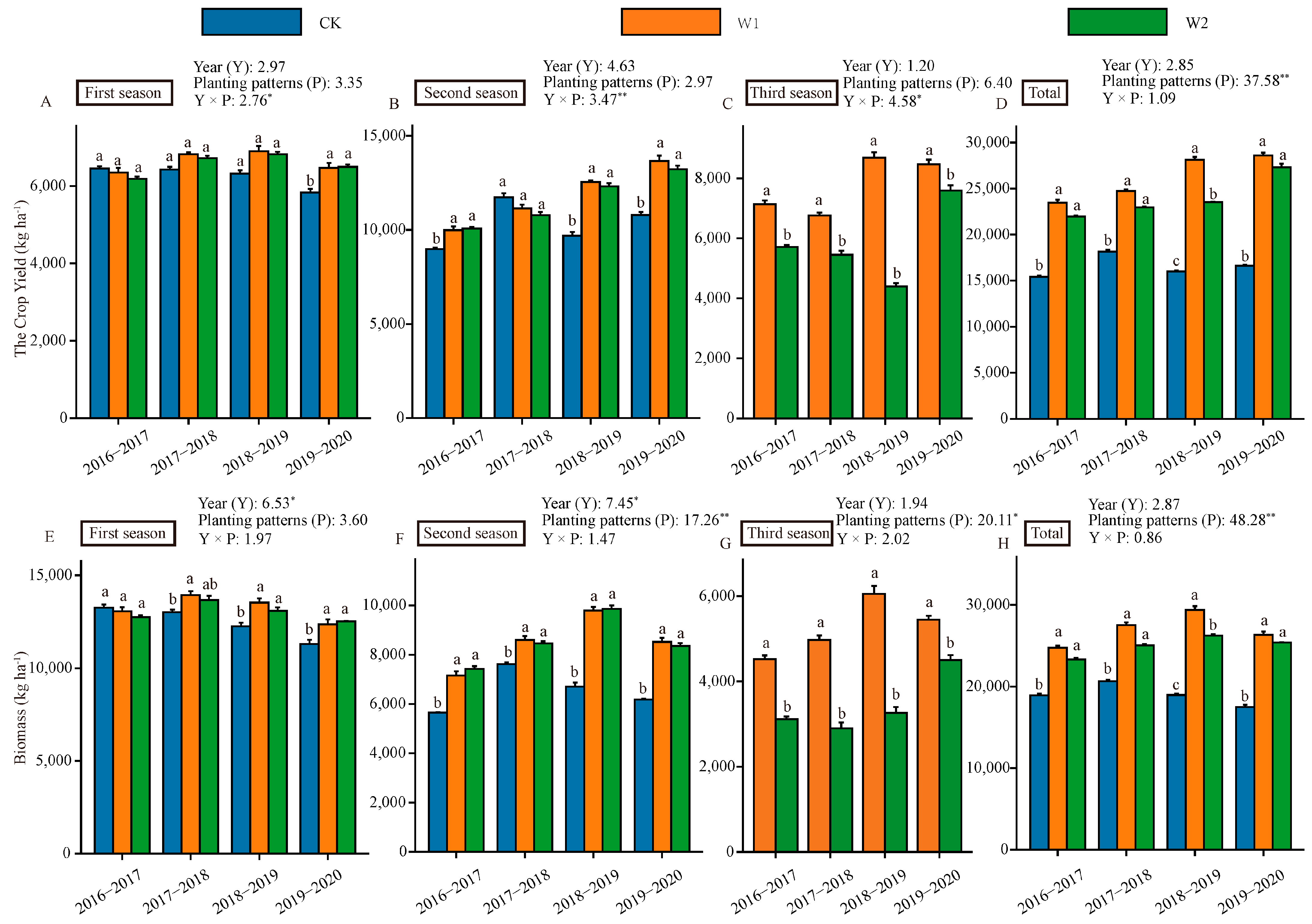
3.1. Yield and Biomass
3.2. Economic Benefits
3.3. Annual Allocation of Climate Resources
3.4. Production Efficiency of Radiation, Accumulated Temperature, and Precipitation
3.5. Light Energy Use Efficiency
3.6. Relationship Between Fresh Maize and Fresh Soybean Grain Yield and Climatic Factors
4. Discussion
4.1. Impact of Planting Pattern on Yield and Biomass
4.2. Impact of Planting Pattern on Economic Benefits
4.3. Utilization Efficiency of Light, Temperature, and Precipitation Resources by Different Planting Patterns
5. Conclusions
Author Contributions
Funding
Institutional Review Board Statement
Data Availability Statement
Conflicts of Interest
References
- Zhou, Y.; Fu, J.S.; Zhuang, G.; Levy, J.I. Risk-Based Prioritization Among Air Pollution Control Strategies in the Yangtze River Delta, China. Environ. Health Perspect. 2010, 118, 1204–1210. [Google Scholar] [CrossRef] [PubMed]
- Tao, Y.Y.; Sheng, X.W.; Xu, J.; Shen, Y.; Wang, H.H.; Lu, C.Y.; Shen, M.X. Characteristics of heat and solar resources allocation and utilization in riceoilseed rape double cropping systems in the Yangtze River Delta. Acta Agron. Sin. 2023, 49, 1327–1338. [Google Scholar]
- Sun, J.; Jin, L.; He, T.; Wei, Z.; Liu, X.; Zhu, L.; Li, X. Antibiotic resistance genes (ARGs) in agricultural soils from the Yangtze river delta, China. Sci. Total Environ. 2020, 740, 140001. [Google Scholar] [CrossRef] [PubMed]
- He, G.; Zhao, Y.; Wang, L.; Jiang, S.; Zhu, Y. China’s food security challenge: Effects of food habit changes on requirements for arable land and water. J. Clean. Prod. 2019, 229, 739–750. [Google Scholar] [CrossRef]
- Zhong, Z.; He, L.; Wang, Z. Geographic sources and the structural decomposition of emissions embodied in trade by Chinese megacities: The case of Beijing, Tianjin, Shanghai, and Chongqing. J. Clean. Prod. 2017, 158, 59–72. [Google Scholar] [CrossRef]
- Wu, M.L.; Chou, K.L.; Wu, C.R.; Chen, J.K.; Huang, T.C. Characterization and the possible formation mechanism of 2-acetyl-1-pyrroline in aromatic vegetable soybean (Glycine max L.). J. Food Sci. 2009, 74, 192–197. [Google Scholar] [CrossRef]
- Chen, L.; Liu, Q.Q.; Gai, J.Y.; Zhu, Y.L.; Yang, L.F.; Wang, C. Effects of nitrogen forms on the growth and polyamine contents in developing seeds of vegetable soybean. J. Plant Nutr. 2011, 34, 504–521. [Google Scholar] [CrossRef]
- Hou, J.; Wang, C.; Hong, X.; Zhao, J.; Xue, C.; Guo, N.; Gai, J.; Xing, H. Association analysis of vegetable soybean quality traits with SSR markers. Plant Breed. 2011, 130, 444–449. [Google Scholar] [CrossRef]
- Dong, D.K.; Fu, X.J.; Yuan, F.J.; Chen, P.Y.; Zhu, S.L. Genetic diversity and population structure of vegetable soybean(Glycine max (L.) Merr.) in China as revealed by SSR markers. Genet. Resour. Crop. 2014, 61, 173–183. [Google Scholar] [CrossRef]
- Mueller, N.D.; Gerber, J.S.; Johnston, M.; Ray, D.K.; Ramankutty, N.; Foley, J.A. Closing yield gaps through nutrient and water management. Nature 2012, 490, 254–257. [Google Scholar] [CrossRef]
- Tilman, D.; Balzer, C.; Hill, J.; Befort, B.L. Global food demand and the sustainable intensification of agriculture. Proc. Natl. Acad. Sci. USA 2011, 108, 20260–20264. [Google Scholar] [CrossRef] [PubMed]
- Brooker, R.W.; Bennett, A.E.; Cong, W.-F.; Daniell, T.J.; George, T.S.; Hallett, P.D.; Hawes, C.; Iannetta, P.P.M.; Jones, H.G.; Karley, A.J.; et al. Improving intercropping: A synthesis of research in agronomy, plant physiology and ecology. N. Phytol. 2015, 206, 107–117. [Google Scholar] [CrossRef] [PubMed]
- Inal, A.; Gunes, A.; Zhang, F.; Cakmak, I. Peanut/maize intercropping induced changes in rhizosphere and nutrient concentrations in shoots. Plant Physiol. Biochem. 2007, 45, 350–356. [Google Scholar] [CrossRef] [PubMed]
- Chen, G.; Liang, B.; Bawa, G.; Chen, H.; Shi, K.; Hu, Y.; Chen, P.; Fan, Y.; Pu, T.; Sun, X.; et al. Gravity Reduced Nitrogen Uptake via the Regulation of Brace Unilateral Root Growth in Maize Intercropping. Front. Plant Sci. 2021, 12, 724909. [Google Scholar] [CrossRef]
- Chang, X.; Wei, D.; Zeng, Y.; Zhao, X.; Hu, Y.; Wu, X.; Song, C.; Gong, G.; Chen, H.; Yang, C.; et al. Maize-soybean relay strip intercropping reshapes the rhizosphere bacterial community and recruits beneficial bacteria to suppress Fusarium root rot of soybean. Front. Microbiol. 2022, 13, 1009689. [Google Scholar] [CrossRef]
- Ofori, F.; Stern, W.R. Cereal–legume intercropping systems. Adv. Agron. 1987, 41, 41–90. [Google Scholar]
- Zhang, L.; Werf, W.V.D.; Zhang, S.; Li, B.; Spiertz, J.H.J. Growth, yield and quality of wheat and cotton in relay strip intercropping systems. Field Crops Res. 2007, 103, 178–188. [Google Scholar] [CrossRef]
- Rodriguez-Navarro, D.N.; Oliver, I.M.; Contreras, M.A.; Ruiz-sainz, J.E. Soybean interactions with soil microbes, agronomical and molecular aspects. Agron. Sustain. 2011, 31, 173–190. [Google Scholar] [CrossRef]
- Naik, B.S.S.S.; Sharma, S.K.; Pramanick, B.; Yadav, S.K.; Reddy, G.K.; Tirunagari, R.; Meena, R.S.; Bamboriya, J.S.; Kumar, M.S.; Gurumurthy, P.; et al. Development of an improved silicon application protocol for organic sweet corn cultivation ensuring higher productivity and better soil health. Silicon 2024, 16, 2547–2555. [Google Scholar] [CrossRef]
- Wang, Z.; Zhao, X.; Wu, P.; He, J.; Chen, X.; Gao, Y.; Cao, X. Radiation interception and utilization by wheat/maize strip intercropping systems. Agric. For. Meteorol. 2015, 204, 58–66. [Google Scholar] [CrossRef]
- Raza, M.A.; Feng, L.Y.; Khalid, M.H.B.; Iqbal, N.; Meraj, T.A.; Hassan, M.J.; Ahmed, S.; Chen, Y.K.; Feng, Y.; Wenyu, Y. Optimum leaf excision increases the biomass accumulation and seed yield of maize plants under different planting patterns. Ann. Appl. Biol. 2019, 175, 54–68. [Google Scholar] [CrossRef]
- Orozco-Angelino, X.; Espinosa-Ramirez, J.; Serna-Saldivar, S.O. Extrusion as a tool to enhance the nutritional and bioactive potential of cereal and legume by-products. Food Res. Int. 2023, 169, 112889. [Google Scholar] [CrossRef] [PubMed]
- Yang, F.; Huang, S.; Gao, R.; Liu, W.; Yong, T.; Wang, X.; Wu, X.; Yang, W. Growth of soybean seedlings in relay strip intercropping systems in relation to light quantity and red:far-red ratio. Field Crop. Res. 2014, 155, 245–253. [Google Scholar] [CrossRef]
- Te, X.; Din, A.U.; Cui, K.; Raza, M.; Ali, M.F.; Xiao, J. Inter-specific root interactions and water use efficiency of maize/soybean relay strip intercropping. Field Crops Res. 2023, 291, 108793. [Google Scholar] [CrossRef]
- Monzon, J.; Mercau, J.; Andrade, J.; Caviglia, O.; Cerrudo, A.; Vega, C.; Andrade, F.; Calviño, P. Maize-soybean intensification alternatives for the Pampas. Field Crops Res. 2014, 162, 48–59. [Google Scholar] [CrossRef]
- Yang, F.; Wang, X.; Liao, D.; Lu, F.; Gao, R.; Liu, W.; Yong, T.; Wu, X.; Du, J.; Liu, J.; et al. Yield response to different planting geometries in maize-soybean relay strip intercropping systems. Agron. J. 2015, 107, 296–304. [Google Scholar] [CrossRef]
- Li, S.; Evers, J.B.; Werf, W.V.; Wopke, W. Plant architectural responses in simultaneous maize/soybean strip intercropping do not lead to a yield advantage. Ann. Appl. Biol. 2020, 177, 195–210. [Google Scholar] [CrossRef]
- Zhou, T.; Wang, L.; Sun, X.; Wang, X.; Pu, T.; Yang, H.; Rengel, Z.; Liu, W.; Yang, W. Improved post-silking light interception increases yield and P-use efficiency of maize in maize/soybean relay strip intercropping. Field Crops Res. 2020, 262, 108054. [Google Scholar] [CrossRef]
- Liu, X.; Rahman, T.; Song, C.; Yang, F.; Su, B.; Cui, L.; Bu, W.; Yang, W. Relationships among light distribution, radiation use efficiency and land equivalent ratio in maize-soybean strip intercropping. Field Crops Res. 2018, 224, 91–101. [Google Scholar] [CrossRef]
- Yu, L.; Tang, Y.; Wang, Z.; Gou, Y.; Wang, J. Nitrogen-cycling genes and rhizosphere microbial community with reduced nitrogen application in maize/soybean strip intercropping. Nutr. Cycl. Agroecosyst. 2019, 113, 35–49. [Google Scholar] [CrossRef]
- Stern, W.R. Nitrogen fixation and transfer in intercrop systems. Field Crops Res. 1993, 34, 335–356. [Google Scholar] [CrossRef]
- Gong, K.; Chen, L. Characterization of Carbohydrates and their Metabolizing Enzymes Related to the Eating Quality of Postharvest Fresh Waxy Corn. J. Food Biochem. 2013, 37, 619–627. [Google Scholar] [CrossRef]
- Li, Z.; Hong, T.; Shen, G.; Gu, Y.; Guo, Y.; Han, J. Amino Acid Profiles and Nutritional Evaluation of Fresh Sweet-Waxy Corn from Three Different Regions of China. Nutrients 2022, 14, 3887. [Google Scholar] [CrossRef] [PubMed]
- Rahman, T.; Ye, L.; Liu, X.; Iqbal, N.; Du, J.; Gao, R.; Liu, W.; Yang, F.; Yang, W. Water use efficiency and water distribution response to different planting patterns in maize–soybean relay strip intercropping systems. Exp. Agric. 2016, 53, 159–177. [Google Scholar] [CrossRef]
- Lv, Y.; Francis, C.; Wu, P.; Chen, X.; Zhao, X. Maize–Soybean Intercropping Interactions Above and Below Ground. Crop Sci. 2014, 54, 914–922. [Google Scholar] [CrossRef]
- Wang, X.; Deng, X.; Pu, T.; Song, C.; Yong, T.; Yang, F.; Sun, X.; Liu, W.; Yan, Y.; Du, J.; et al. Contribution of interspecific interactions and phosphorus application to increasing soil phosphorus availability in relay intercropping systems. Field Crops Res. 2017, 204, 12–22. [Google Scholar] [CrossRef]
- Gitari, H.I.; Gachene, C.K.K.; Karanja, N.N.; Kamau, S. Optimizing yield and economic returns of rain-fed potato(Solanum tuberosum L.) through water conservation under potato-legume intercropping systems. Agric. Water Manag. 2018, 208, 59–66. [Google Scholar] [CrossRef]
- Coll, L.; Cerrudo, A.A.; Rizzalli, R.H.; Monzon, J.P.; Andrade, F.H. Capture and use of water and radiation in summer intercrops in the south-east Pampas of Argentina. Field Crops Res. 2012, 134, 105–113. [Google Scholar] [CrossRef]
- Yu, Y.; Stomph, T.J.; Makowski, D.; Werf, W. Temporal niche differentiation increases the land equivalent ratio of annual intercrops: A meta-analysis. Field Crops Res. 2015, 184, 133–144. [Google Scholar] [CrossRef]
- Kermah, M.; Franke, A.C.; Adjei-Nsiah, S.; Ahiabor, B.D.K.; Abaidoo, R.C.; Giller, K.E. Maize-grain legume intercropping for enhanced resource use efficiency and crop productivity in the guinea savanna of northern ghana. Field Crops Res. 2017, 213, 38–50. [Google Scholar] [CrossRef]
- Shen, Y.; Sui, P.; Huang, J.; Wang, D.; Whalen, J.K.; Chen, Y. Greenhouse gas emissions from soil under maize–soybean intercrop in the North China Plain. Nutr. Cycl. Agroecosyst. 2018, 110, 451–465. [Google Scholar] [CrossRef]
- Umesh, M.R.; Angadi, S.; Begna, S.; Gowda, P.; Lauriault, L.; Hagevoort, R.; Darapuneni, M. Intercropping and species interactions on physiological and light use characteristics of forage cereals-legumes combinations in semi-arid regions. Field Crops Res. 2023, 290, 108755. [Google Scholar] [CrossRef]
- Bowles, T.M.; Mooshammer, M.; Socolar, Y.; Calderón, F.; Cavigelli, M.A. Long-term evidence shows that crop-rotation diversification increases agricultural resilience to adverse growing conditions in North America. One Earth 2022, 2, 284–293. [Google Scholar] [CrossRef]
- Gaudin, A.C.M.; Janovicek, K.; Deen, B.; Hooker, D.C. Wheat improves nitrogenuse efficiency of maize and soybean-based cropping systems. Agric. Ecosyst. Environ. 2015, 210, 1–10. [Google Scholar] [CrossRef]
- Hauggaard-Nielsen, H.; Mundus, S.; Jensen, E.S. Grass-clover under sowing affects nitrogen dynamics in a grain legume–cereal arable cropping system. F. Crop. Res. 2012, 136, 23–31. [Google Scholar] [CrossRef]
- Tiemann, L.K.; Grandy, A.S.; Atkinson, E.E.; Marin-Spiotta, E.; McDaniel, M.D. Crop rotational diversity enhances belowground communities and functions in an agroecosystem. Ecol. Lett. 2015, 18, 761–771. [Google Scholar] [CrossRef]
- Mesfin, S.; Gebresamuel, G.; Haile, M.; Zenebe, A. Potentials of legumes rotation on yield and nitrogen uptake of subsequent wheat crop in northern Ethiopia. Heliyon 2023, 9, e16126. [Google Scholar] [CrossRef]
- Monti, M.; Pellicanò, A.; Pristeri, A.; Badagliacca, G.; Preiti, G.; Gelsomino, A. Cereal/grain legume intercropping in rotation with durum wheat in crop/livestock production systems for mediterranean farming system. Field Crops Res. 2019, 240, 23–33. [Google Scholar] [CrossRef]
- Scalise, A.; Tortorella, D.; Pristeri, A.; Petrovicova, B.; Gelsomino, A.; Lindstrom, K.; Monti, M. Legume-barley intercropping stimulates soil N supply and crop yield in the succeeding durum wheat in a rotation under rainfed conditions. Soil. Biol. Biochem. 2015, 89, 151–161. [Google Scholar] [CrossRef]
- Feng, L.; Dai, J.L.; Tian, L.W.; Zhang, H.J.; Li, W.J.; Dong, H.Z. Review of the technology for high-yielding and efficient cotton cultivation in the northwest in land cotton-growing region of China. Field Crops Res. 2017, 208, 18–26. [Google Scholar] [CrossRef]
- Wang, D.; Laza, M.R.C.; Cassman, K.G.; Huang, J.; Nie, L.; Ling, X.; Centeno, G.S.; Cui, K.; Wang, F.; Li, Y.; et al. Temperature explains the yield difference of double-season rice between tropical and subtropical environments. Field Crops Res. 2016, 198, 303–311. [Google Scholar] [CrossRef]
- Tanaka, D.L.; Anderson, R.L.; Rao, S.C. Crop Sequencing to Improve Use of Precipitation and Synergize Crop Growth. Agron. J. 2005, 97, 385–390. [Google Scholar] [CrossRef]
- Gou, F.; Ittersum, M.K.; Simon, E.; Leffelaar, P.A.; van der Putten, P.E.; Zhang, L.; van der Werf, W. Intercropping wheat and maize increases total radiation interception and wheat RUE but lowers maize RUE. Eur. J. Agron. 2017, 84, 125–139. [Google Scholar] [CrossRef]
- Wang, R.; Wang, Z.; Sun, Q.; Zhao, M.; Du, L.; Wu, D. Effects of crop types and nitrogen fertilization on temperature sensitivity of soil respiration in the semi-arid loess plateau. Soil. Tillage Res. 2016, 163, 1–9. [Google Scholar] [CrossRef]
- Zhou, S.X.; Dong, H.Y.; Sun, S.Q. Correlation analysis of crop production and photosynthetic efficiency. J. Zhangjiakou Agric. Coll. 2003, 19, 4–5. [Google Scholar]





| Year | Planting Pattern | First Season | Second Season | Third Season | ||||||
|---|---|---|---|---|---|---|---|---|---|---|
| Density | Sowing Date | Harvest Date | Density | Sowing Date | Harvest Date | Density | Sowing Date | Harvest Date | ||
| 2016–2017 | wheat–fresh soybean (CK) | 2.4 million plant ha−1 | Nov. 3rd | May 27th | 120,000 plant ha−1 | Jun. 3rd | Sep. 21st | |||
| wheat–fresh maize/fresh maize (W1) | 2.4 million plant ha−1 | Nov. 3rd | May 27th | 60,000 plant ha−1 | Jun. 17th | Aug. 25th | 60,000 plant ha−1 | Jul. 29th | Oct. 16th | |
| wheat–fresh maize/fresh soybean (W2) | 2.4 million plant ha−1 | Nov. 3rd | May 27th | 60,000 plant ha−1 | Jun. 17th | Aug. 25th | 12,000 plant ha−1 | Jul. 29th | Oct. 21th | |
| 2017–2018 | wheat–fresh soybean (CK) | 2.4 million plant ha−1 | Oct. 28th | May 26th | 120,000 plant/ha−1 | Jun. 6th | Sep. 16th | |||
| wheat–fresh maize/fresh maize (W1) | 2.4 million plant ha−1 | Oct. 28th | May 26th | 60,000 plant ha−1 | Jun. 18th | Aug. 30th | 60,000 plant ha−1 | Jul. 24th | Oct. 12th | |
| wheat–fresh maize/fresh soybean (W2) | 2.4 million plant ha−1 | Oct. 28th | May 26th | 60,000 plant ha−1 | Jun. 18th | Aug. 30th | 12,000 plant ha−1 | Jul. 24th | Oct. 11th | |
| 2018–2019 | wheat–fresh soybean (CK) | 2.4 million plant ha−1 | Oct. 29th | May 30th | 120,000 plant ha−1 | Jun. 9th | Sep. 19th | |||
| wheat–fresh maize/fresh maize (W1) | 2.4 million plant hm−2 | Oct. 29th | May 30th | 60,000 plant hm−2 | Jun. 17th | Aug. 27th | 60,000 plant ha−1 | Aug. 5th | Oct. 25th | |
| wheat–fresh maize/fresh soybean (W2) | 2.4 million plant hm−2 | Oct. 29th | May 30th | 60,000 plant hm−2 | Jun. 17th | Aug. 27th | 12,000 plant ha−1 | Aug. 5th | Oct. 28th | |
| 2019–2020 | wheat–fresh soybean(CK) | 2.4 million plant ha−1 | Nov. 3rd | May 25th | 120,000 plant ha−1 | Jun. 10th | Sep. 22th | |||
| wheat–fresh maize/fresh maize (W1) | 2.4 million plant ha−1 | Nov. 3rd | May 25th | 60,000 plant ha−1 | Jun. 20th | Aug. 31st | 60,000 plant ha−1 | Jul. 25th | Oct. 11th | |
| wheat–fresh maize/fresh soybean (W2) | 2.4 million plant ha−1 | Nov. 3rd | May 25th | 60,000 plant ha−1 | Jun. 20th | Aug. 31st | 12,000 plant ha−1 | Jul. 25th | Oct. 22th | |
| Items | Wheat–Fresh Soybean (CK) | Wheat–Fresh Maize/Fresh Maize (W1) | Wheat–Fresh Maize/Fresh Soybean (W2) | ||||||||
|---|---|---|---|---|---|---|---|---|---|---|---|
| Wheat | Fresh Soybean | Annual | Wheat | Fresh Maize | Fresh Maize | Annual | Wheat | Fresh Maize | Fresh Soybean | Annual | |
| Seeds (RMB ha−1) | 600 | 1050 | 1650 | 600 | 1350 | 1350 | 3300 | 600 | 1350 | 1050 | 3000 |
| Pesticides and herbicides (RMB ha−1) | 540 | 450 | 990 | 540 | 840 | 675 | 2055 | 540 | 840 | 405 | 1785 |
| Fertilizer (RMB ha−1) | 1740 | 660 | 2400 | 1740 | 2055 | 2055 | 5850 | 1740 | 2055 | 645 | 4440 |
| Plowing the fields (RMB ha−1) | 840 | 0 | 840 | 840 | 0 | 0 | 840 | 840 | 0 | 0 | 840 |
| Labor (RMB ha−1) | 2790 | 7755 | 10,545 | 2790 | 6450 | 6450 | 15,690 | 2790 | 6450 | 6975 | 16,215 |
| Total expenditure (RMB ha−1) | 6510 | 9915 | 16,425 | 6510 | 10,695 | 10,530 | 27,735 | 6510 | 10,695 | 9075 | 26,280 |
| Total Income (RMB ha−1) | 13,620 | 25,680 | 39,300 | 14,430 | 30,105 | 16,755 | 46,875 | 14,250 | 30,360 | 25,050 | 55,410 |
| Net benefit (RMB ha−1) | 7110 | 15,765 | 22,875 | 7920 | 19,410 | 6225 | 25,650 | 7740 | 19,665 | 15,975 | 35,640 |
| Benefit–cost ratio | 1.09 | 1.59 | 1.39 | 1.22 | 1.81 | 0.59 | 0.92 | 1.19 | 1.84 | 1.76 | 1.36 |
| Year | Plant Pattern | Production Efficiency of Ra (g MJ–1) | Production Efficiency of AT (kg ha−1 °C–1) | Production Efficiency of Pr (kg ha−1 mm–1) | |||||||||
|---|---|---|---|---|---|---|---|---|---|---|---|---|---|
| First Season | Second Season | Third Season | Annual | First Season | Second Season | Third Season | Annual | First Season | Second Season | Third Season | Annual | ||
| 2017 | CK | 0.32 ± 0.005 a | 0.57 ± 0.007 b | 0.42 ± 0.004 c | 10.49 ± 0.18 a | 4.77 ± 0.06 b | 5.26 ± 0.06 c | 15.64 ± 0.26 a | 15.57 ± 0.21 b | 12.25 ± 0.15 c | |||
| W1 | 0.32 ± 0.010 a | 0.94 ± 0.033 a | 0.71 ± 0.022 a | 0.59 ± 0.013 a | 10.33 ± 0.34 a | 7.62 ± 0.26 a | 6.12 ± 0.19 a | 8.01 ± 0.19 a | 15.39 ± 0.50 a | 29.4 ± 1.01 a | 11.59 ± 0.35 a | 18.63 ± 0.43 a | |
| W2 | 0.31 ± 0.005 a | 0.95 ± 0.014 a | 0.54 ± 0.011 b | 0.55 ± 0.004 b | 10.06 ± 0.17 a | 7.69 ± 0.11 a | 4.77 ± 0.09 b | 7.50 ± 0.06 b | 14.99 ± 0.25 a | 29.66 ± 0.43 a | 9.25 ± 0.18 b | 17.44 ± 0.14 b | |
| 2018 | CK | 0.32 ± 0.006 a | 0.72 ± 0.023 a | 0.48 ± 0.008 c | 10.17 ± 0.19 a | 6.44 ± 0.21 b | 6.23 ± 0.12 c | 11.26 ± 0.21 a | 24.27 ± 0.78 b | 16.62 ± 0.32 c | |||
| W1 | 0.34 ± 0.004 a | 0.79 ± 0.243 a | 0.58 ± 0.013 a | 0.60 ± 0.007 a | 10.80 ± 0.14 a | 8.22 ± 0.25 a | 5.39 ± 0.12 a | 8.49 ± 0.11 a | 11.96 ± 0.16 a | 41.09 ± 1.27 a | 18.39 ± 0.42 a | 22.31 ± 0.29 a | |
| W2 | 0.33 ± 0.005 a | 0.76 ± 0.194 a | 0.47 ± 0.020 b | 0.56 ± 0.003 b | 10.64 ± 0.17 a | 7.96 ± 0.20 a | 4.36 ± 0.19 b | 7.88 ± 0.05 b | 11.78 ± 0.18 a | 39.78 ± 1.01 a | 14.82 ± 0.64 b | 21.02 ± 0.14 b | |
| 2019 | CK | 0.32 ± 0.008 a | 0.64 ± 0.022 b | 0.44 ± 0.005 c | 10.64 ± 0.25 a | 5.93 ± 0.21 b | 5.95 ± 0.07 c | 14.44 ± 0.33 b | 13.77 ± 0.47 b | 12.86 ± 0.16 c | |||
| W1 | 0.35 ± 0.012 a | 1.15 ± 0.014 a | 0.90 ± 0.032 a | 0.71 ± 0.013 a | 11.61 ± 0.40 a | 10.36 ± 0.13 a | 8.21 ± 0.29 a | 9.81 ± 0.20 a | 15.75 ± 0.54 a | 21.80 ± 0.27 a | 29.30 ± 1.05 a | 22.53 ± 0.43 a | |
| W2 | 0.35 ± 0.006 a | 1.13 ± 0.026 a | 0.45 ± 0.019 b | 0.59 ± 0.002 b | 11.47 ± 0.17 a | 10.17 ± 0.24 a | 4.13 ± 0.18 b | 8.74 ± 0.02 b | 15.57 ± 0.25 a | 21.40 ± 0.50 a | 14.83 ± 0.63 b | 19.17 ± 0.05 b | |
| 2020 | CK | 0.34 ± 0.009 a | 1.10 ± 0.027 b | 0.56 ± 0.006 b | 10.39 ± 0.28 a | 6.44 ± 0.16 b | 5.97 ± 0.07 c | 7.91 ± 0.22 b | 7.41 ± 0.18 b | 7.18 ± 0.08 b | |||
| W1 | 0.37 ± 0.013 a | 1.88 ± 0.068 a | 0.92 ± 0.029 a | 0.90 ± 0.015 a | 11.53 ± 0.41 a | 11.19 ± 0.40 a | 6.97 ± 0.22 a | 10.27 ± 0.18 a | 8.77 ± 0.31 a | 17.22 ± 0.62 a | 13.58 ± 0.43 a | 12.24 ± 0.22 a | |
| W2 | 0.37 ± 0.006 a | 1.82 ± 0.047 a | 0.75 ± 0.029 b | 0.84 ± 0.021 a | 11.58 ± 0.19 a | 10.82 ± 0.28 a | 5.89 ± 0.23 b | 9.81 ± 0.25 b | 8.81 ± 0.14 a | 16.65 ± 0.43 a | 11.91 ± 0.46 b | 11.97 ± 0.30 a | |
| Year | Plant Pattern | Radiation Use Efficiency of Grain | Radiation Use Efficiency of Total Biomass | ||||||
|---|---|---|---|---|---|---|---|---|---|
| First Season | Second Season | Third Season | Annual | First Season | Second Season | Third Season | Annual | ||
| 2017 | CK | 0.50 ± 0.008 a | 0.39 ± 0.005 b | 0.39 ± 0.006 b | 1.18 ± 0.026 a | 0.86 ± 0.003 b | 0.90 ± 0.014 b | ||
| W1 | 0.49 ± 0.016 ab | 0.65 ± 0.024 a | 0.46 ± 0.027 a | 0.51 ± 0.012 a | 1.16 ± 0.033 ab | 1.26 ± 0.050 a | 0.84 ± 0.037 a | 1.09 ± 0.021 a | |
| W2 | 0.48 ± 0.008 b | 0.68 ± 0.004 a | 0.40 ± 0.014 b | 0.51 ± 0.006 a | 1.13 ± 0.015 b | 1.31 ± 0.030 a | 0.71 ± 0.025 b | 1.06 ± 0.017 a | |
| 2018 | CK | 0.50 ± 0.009 b | 0.50 ± 0.012 b | 0.43 ± 0.002 c | 1.16 ± 0.021 b | 1.12 ± 0.017 a | 0.98 ± 0.012 b | ||
| W1 | 0.53 ± 0.007 a | 0.59 ± 0.018 a | 0.46 ± 0.016 a | 0.57 ± 0.009 a | 1.24 ± 0.031 a | 1.13 ± 0.034 a | 0.79 ± 0.038 a | 1.18 ± 0.026 a | |
| W2 | 0.52 ± 0.008 ab | 0.57 ± 0.010 a | 0.34 ± 0.027 b | 0.53 ± 0.001 b | 1.22 ± 0.034 a | 1.11 ± 0.019 a | 0.61 ± 0.050 b | 1.11 ± 0.009 a | |
| 2019 | CK | 0.50 ± 0.011 b | 0.45 ± 0.017 b | 0.42 ± 0.003 c | 1.12 ± 0.031 b | 1.07 ± 0.046 b | 0.95 ± 0.012 b | ||
| W1 | 0.55 ± 0.018 a | 0.86 ± 0.018 a | 0.57 ± 0.053 a | 0.64 ± 0.015 a | 1.24 ± 0.035 a | 1.67 ± 0.043 a | 1.17 ± 0.081 a | 1.34 ± 0.039 a | |
| W2 | 0.54 ± 0.009 a | 0.87 ± 0.024 a | 0.34 ± 0.025 b | 0.58 ± 0.004 b | 1.20 ± 0.027 a | 1.68 ± 0.040 a | 0.80 ± 0.058 b | 1.24 ± 0.017 a | |
| 2020 | CK | 0.52 ± 0.014 b | 0.73 ± 0.025 b | 0.48 ± 0.013 b | 1.16 ± 0.038 b | 1.52 ± 0.014 b | 1.05 ± 0.023 b | ||
| W1 | 0.58 ± 0.020 a | 1.16 ± 0.043 a | 0.57 ± 0.023 a | 0.71 ± 0.013 a | 1.27 ± 0.047 a | 2.18 ± 0.069 a | 1.10 ± 0.041 a | 1.43 ± 0.036 a | |
| W2 | 0.58 ± 0.009 a | 1.13 ± 0.027 a | 0.50 ± 0.026 b | 0.70 ± 0.007 a | 1.29 ± 0.005 a | 2.14 ± 0.049 a | 1.08 ± 0.047 a | 1.45 ± 0.004 a | |
Disclaimer/Publisher’s Note: The statements, opinions and data contained in all publications are solely those of the individual author(s) and contributor(s) and not of MDPI and/or the editor(s). MDPI and/or the editor(s) disclaim responsibility for any injury to people or property resulting from any ideas, methods, instructions or products referred to in the content. |
© 2024 by the authors. Licensee MDPI, Basel, Switzerland. This article is an open access article distributed under the terms and conditions of the Creative Commons Attribution (CC BY) license (https://creativecommons.org/licenses/by/4.0/).
Share and Cite
Li, B.; Liu, J.; Ren, Q.; Shi, X.; Shen, W.; Wei, Y.; Xiong, F. Incorporation of Relay Intercropping in Wheat–Fresh Maize–Fresh Soybean Cropping System Improves Climate Resource Utilization and Economic Benefits in Yangtze River Delta. Agriculture 2024, 14, 2178. https://doi.org/10.3390/agriculture14122178
Li B, Liu J, Ren Q, Shi X, Shen W, Wei Y, Xiong F. Incorporation of Relay Intercropping in Wheat–Fresh Maize–Fresh Soybean Cropping System Improves Climate Resource Utilization and Economic Benefits in Yangtze River Delta. Agriculture. 2024; 14(12):2178. https://doi.org/10.3390/agriculture14122178
Chicago/Turabian StyleLi, Bo, Jian Liu, Qingming Ren, Xiaoxu Shi, Wenyuan Shen, Yafeng Wei, and Fei Xiong. 2024. "Incorporation of Relay Intercropping in Wheat–Fresh Maize–Fresh Soybean Cropping System Improves Climate Resource Utilization and Economic Benefits in Yangtze River Delta" Agriculture 14, no. 12: 2178. https://doi.org/10.3390/agriculture14122178
APA StyleLi, B., Liu, J., Ren, Q., Shi, X., Shen, W., Wei, Y., & Xiong, F. (2024). Incorporation of Relay Intercropping in Wheat–Fresh Maize–Fresh Soybean Cropping System Improves Climate Resource Utilization and Economic Benefits in Yangtze River Delta. Agriculture, 14(12), 2178. https://doi.org/10.3390/agriculture14122178
