Potential Role of WIP Family Genes in Drought Stress Response in Rubus idaeus
Abstract
1. Introduction
2. Materials and Methods
2.1. Plant Materials and Treatments
2.2. Identification and Chromosomal Locations of WIP Genes in R. idaeus
2.3. Analysis of Evolutionary Relationship and Gene Structure
2.4. Cis-Acting Elements Analysis of the Promoter Region of RiWIP Genes
2.5. Expression Analysis of RiWIPs
3. Results
3.1. Sequence Characteristics and Chromosomal Locations of R. idaeus WIP Genes
3.2. Sequence Conservation and Evolutionary Relationship of RiWIP Proteins
3.3. Gene Structure and Conserved Motif Composition of WIPs
3.4. The Cis-Acting Elements in Promoters of WIP Genes
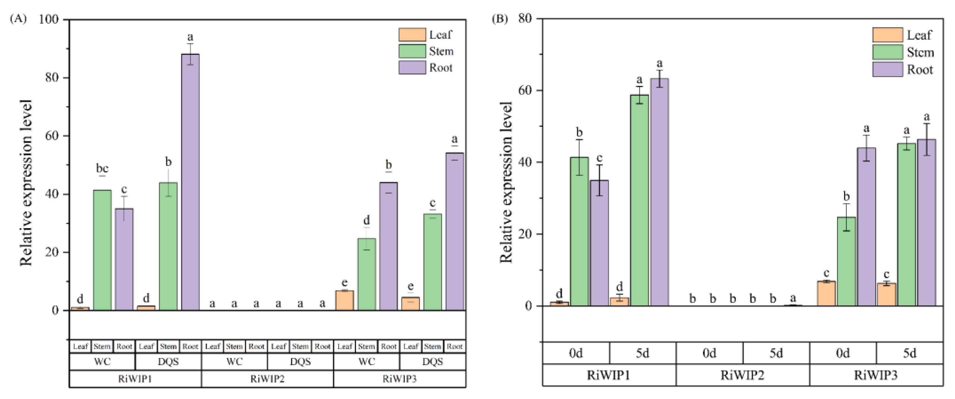
3.5. Tissue Expression Specificity of RiWIPs
3.6. Expression Levels of RiWIPs in Response to Drought Stress
4. Discussion
5. Conclusions
Supplementary Materials
Author Contributions
Funding
Institutional Review Board Statement
Data Availability Statement
Acknowledgments
Conflicts of Interest
References
- Huang, X.; Wu, Y.; Zhang, S.; Yang, H.; Wu, W.; Lyu, L.; Li, W. Variation in Bioactive Compounds and Antioxidant Activity of Rubus Fruits at Different Developmental Stages. Foods 2022, 11, 1169. [Google Scholar] [CrossRef] [PubMed]
- Zhao, F.; Zhao, H.; Wu, W.; Wang, W.; Li, W. Research on Anthocyanins from Rubus “Shuofeng” as Potential Antiproliferative and Apoptosis-Inducing Agents. Foods 2023, 12, 1216. [Google Scholar] [CrossRef] [PubMed]
- Meng, Q.; Manghwar, H.; Hu, W. Study on supergenus Rubus L.: Edible, medicinal, and phylogenetic characterization. Plants 2022, 11, 1211. [Google Scholar] [CrossRef] [PubMed]
- Lopez-Corona, A.V.; Valencia-Espinosa, I.; González-Sánchez, F.A.; Sánchez-López, A.L.; Garcia-Amezquita, L.E.; Garcia-Varela, R. Antioxidant, anti-inflammatory and cytotoxic activity of phenolic compound family extracted from raspberries (Rubus idaeus): A general review. Antioxidants 2022, 11, 1192. [Google Scholar] [CrossRef]
- Rätsep, R.; Vinogradov, M.; Arus, L.; Kaldmäe, H.; Aluvee, A.; Kikas, A. Comparison of fruit quality parameters of different raspberry (Rubus idaeus L.) genotypes cultivated in Estonia. Acta Hortic. 2020, 1277, 101–108. [Google Scholar] [CrossRef]
- Palonen, P.; Laine, T.; Mouhu, K. Floricane yield and berry quality of seven primocane red raspberry (Rubus idaeus L.) cultivars. Sci. Hortic. 2021, 285, 110201. [Google Scholar] [CrossRef]
- Mazur, S.P.; Nes, A.; Wold, A.-B.; Remberg, S.F.; Aaby, K. Quality and chemical composition of ten red raspberry (Rubus idaeus L.) genotypes during three harvest seasons. Food Chem. 2014, 160, 233–240. [Google Scholar] [CrossRef]
- Giongo, L.; Palmieri, L.; Grassi, A.; Grisenti, M.; Poncetta, P.; Velasco, R. Phenotyping and genotyping of Rubus germplasm for the improvement of quality traits in the raspberry breeding program. Acta Hortic. 2012, 946, 77–81. [Google Scholar] [CrossRef]
- Graham, J.; Brennan, R. Raspberry Breeding, Challenges and Advances: Breeding, Challenges and Advances; Springer: Cham, Switzerland, 2018. [Google Scholar]
- Gao, X.; Lin, F.; Li, M.; Mei, Y.; Li, Y.; Bai, Y.; He, X.; Zheng, Y. Prediction of the potential distribution of a raspberry (Rubus idaeus) in China based on MaxEnt model. Sci. Rep. 2024, 14, 24438. [Google Scholar] [CrossRef]
- Dai, H.; Guo, X.; Li, Y. History and status of raspberry culture in China. Acta Hortic. 2008, 772, 183. [Google Scholar]
- Li, X.; Song, Z.; Hu, Y.; Qiao, J.; Chen, Y.; Wang, S.; Yue, P.; Chen, M.; Ke, Y.; Xu, C.; et al. Drought intensity and post-drought precipitation determine vegetation recovery in a desert steppe in Inner Mongolia, China. Sci. Total Environ. 2024, 906, 167449. [Google Scholar] [CrossRef] [PubMed]
- Zhang, X.; Hao, Z.; Singh, V.P.; Zhang, Y.; Feng, S.; Xu, Y.; Hao, F. Drought propagation under global warming: Characteristics, approaches, processes, and controlling factors. Sci. Total Environ. 2022, 838, 156021. [Google Scholar] [CrossRef] [PubMed]
- Schwechheimer, C.; Bevan, M. The regulation of transcription factor activity in plants. Trends Plant Sci. 1998, 3, 378–383. [Google Scholar] [CrossRef]
- Diaz-Ramirez, D.; Diaz-Garcia, U.S.; Magdaleno-Garcia, G.; Huep, G.; Appelhagen, I.; Sagasser, M.; Marsch-Martinez, N. Expression and Functional Analyses of the WIP Gene Family in Arabidopsis. Plants 2022, 11, 2010. [Google Scholar] [CrossRef]
- Appelhagen, I.; Huep, G.; Lu, G.-H.; Strompen, G.; Weisshaar, B.; Sagasser, M. Weird fingers: Functional analysis of WIP domain proteins. FEBS Lett. 2010, 584, 3116–3122. [Google Scholar] [CrossRef]
- Sagasser, M.; Lu, G.-H.; Hahlbrock, K.; Weisshaar, B.A. A. thaliana TRANSPARENT TESTA 1 is involved in seed coat development and defines the WIP subfamily of plant zinc finger proteins. Genes Dev. 2002, 16, 138–149. [Google Scholar] [CrossRef]
- Brian CW, C.; Gary, D.; Martin, F.Y. The NTT gene is required for transmitting-tract development in carpels of Arabidopsis thaliana. Curr. Biol. 2007, 17, 1101–1108. [Google Scholar] [CrossRef]
- Crawford, B.C.W.; Sewell, J.; Golembeski, G.; Roshan, C.; Long, J.A.; Yanofsky, M.F. Genetic control of distal stem cell fate within root and embryonic meristems. Science 2015, 347, 655–659. [Google Scholar] [CrossRef]
- Petricka, J.J.; Clay, N.K.; Nelson, T.M. Vein patterning screens and the defectively organized tributaries mutants in Arabidopsis thaliana. Plant J. 2008, 56, 251–263. [Google Scholar] [CrossRef]
- Wang, Y.; Zhang, S.; Zhao, X.; Liu, Y.; Zhao, H.; Yang, G.; Ma, K. Identification and Expression of the TT1-like Transcription Factor from Juglans regia under Drought Stress. J. Northwest For. Univ. 2020, 35, 86–93. (In Chinese) [Google Scholar] [CrossRef]
- Xie, M.; Li, W.; Zhang, Z.; Cui, M.; Wang, Y.; Sun, Y.; Yang, G. Activity analysis of different length fragments of walnut JrTT1-1 promoter in response to drought stress. J. Beijing For. Univ. 2022, 44, 31–38. (In Chinese) [Google Scholar] [CrossRef]
- Yang, Y. Use of TT1 Gene in Improving Stress Resistance of Cotton. CN201110022652.1, 25 July 2012. (In Chinese). [Google Scholar]
- Zhou, J.; Li, M.; Li, Y.; Xiao, Y.; Luo, X.; Gao, S.; Ma, Z.; Sadowski, N.; Timp, W.; Dardick, C.; et al. Comparison of red raspberry and wild strawberry fruits reveals mechanisms of fruit type specification. Plant Physiol. 2023, 193, kiad409. [Google Scholar] [CrossRef] [PubMed]
- Chen, C.; Wu, Y.; Li, J.; Wang, X.; Zeng, Z.; Xu, J.; Liu, Y.; Feng, J.; Chen, H.; He, Y. TBtools-II: A “one for all, all for one” bioinformatics platform for biological big-data mining. Mol. Plant 2023, 16, 1733–1742. [Google Scholar] [CrossRef] [PubMed]
- Yang, G.; Gao, X.; Ma, K.; Li, D.; Jia, C.; Zhai, M.; Xu, Z. The walnut transcription factor JrGRAS2 contributes to high temperature stress tolerance involving in Dof transcriptional regulation and HSP protein expression. BMC Plant Biol. 2018, 18, 367. [Google Scholar] [CrossRef] [PubMed]
- Travisany, D.; Ayala-Raso, A.; Di Genova, A.; Monsalve, L.; Bernales, M.; Martínez, J.P.; González-Agüero, M.; Defilippi, B.; Cherian, S.; Maass, A.; et al. RNA-Seq analysis and transcriptome assembly of raspberry fruit (Rubus idaeus ¨Heritage¨) revealed several candidate genes involved in fruit development and ripening. Sci. Hortic. 2019, 254, 26–34. [Google Scholar] [CrossRef]
- Foster, T.M.; Bassil, N.V.; Dossett, M.; Worthington, M.L.; Graham, J. Genetic and genomic resources for Rubus breeding: A roadmap for the future. Hortic. Res. 2019, 6, 116. [Google Scholar] [CrossRef]
- Yang, G.; Peng, S.; Wang, T.; Gao, X.; Li, D.; Li, M.; Chen, S.; Xu, Z. Walnut ethylene response factor JrERF2-2 interact with JrWRKY7 to regulate the GSTs in plant drought tolerance. Ecotoxicol. Environ. Saf. 2021, 228, 112945. [Google Scholar] [CrossRef]
- Yu, Y.; He, L.; Wu, Y. Wheat WRKY transcription factor TaWRKY24 confers drought and salt tolerance in transgenic plants. Plant Physiol. Biochem. 2023, 205, 108137. [Google Scholar] [CrossRef]
- Liu, Y.; Yang, T.; Lin, Z.; Guo, B.; Xing, C.; Zhao, L.; Dong, H.; Gao, J.; Xie, Z.; Zhang, S.; et al. A WRKY transcription factor PbrWRKY53 from Pyrus betulaefolia is involved in drought tolerance and AsA accumulation. Plant Biotechnol. J. 2019, 17, 1770–1787. [Google Scholar] [CrossRef]
- Chen, J.; Nolan, T.M.; Ye, H.; Zhang, M.; Tong, H.; Xin, P.; Chu, J.; Chu, C.; Li, Z.; Yin, Y. Arabidopsis WRKY46, WRKY54, and WRKY70 transcription factors are involved in Brassinosteroid-regulated plant growth and drought responses. Plant Cell 2017, 29, 1425–1439. [Google Scholar] [CrossRef]
- Cai, M.; Wei, J.; Li, X.; Xu, C.; Wang, S. A rice promoter containing both novel positive and negative cis-elements for regulation of green tissue-specific gene expression in transgenic plants. Plant Biotechnol. J. 2007, 5, 664–674. [Google Scholar] [CrossRef] [PubMed]
- Abe, H.; Yamaguchi-Shinozaki, K.; Urao, T.; Iwasaki, T.; Hosokawa, D.; Shinozaki, K. Role of arabidopsis MYC and MYB homologs in drought- and abscisic acid-regulated gene expression. Plant Cell 1997, 9, 1859–1868. [Google Scholar] [CrossRef] [PubMed]
- Abe, H.; Urao, T.; Ito, T.; Seki, M.; Shinozaki, K.; Yamaguchi-Shinozaki, K. Arabidopsis AtMYC2 (bHLH) and AtMYB2 (MYB) function as transcriptional activators in abscisic acid signaling. Plant Cell 2003, 15, 63–78. [Google Scholar] [CrossRef] [PubMed]
- Luan, Y.; Chen, Z.; Fang, Z.; Meng, J.; Tao, J.; Zhao, D. PoWRKY69-PoVQ11 module positively regulates drought tolerance by accumulating fructose in Paeonia ostii. Plant J. 2024, 119, 1782–1799. [Google Scholar] [CrossRef] [PubMed]
- Chen, L.; Yang, H.; Fang, Y.; Guo, W.; Chen, H.; Zhang, X.; Dai, W.; Chen, S.; Hao, Q.; Yuan, S.; et al. Overexpression of GmMYB14 improves high-density yield and drought tolerance of soybean through regulating plant architecture mediated by the brassinosteroid pathway. Plant Biotechnol. J. 2021, 19, 702–716. [Google Scholar] [CrossRef]
- Jia, L.-C.; Yang, Z.-T.; Shang, L.-L.; He, S.-Z.; Zhang, H.; Li, X.; Xin, G.-S. Genome-wide identification and expression analysis of the KNOX family and its diverse roles in response to growth and abiotic tolerance in sweet potato and its two diploid relatives. BMC Genom. 2024, 25, 572. [Google Scholar] [CrossRef]
- Fu, C.; Liao, Z.; Jiang, N.; Yang, Y. Genome-wide identification and molecular evolution of Dof transcription factors in Cyperus esculentus. BMC Genom. 2024, 25, 667. [Google Scholar] [CrossRef]
- Li, D.; Peng, S.; Chen, S.; Li, Z.; He, Y.; Ren, B.; Yang, G. Identification and characterization of 5 walnut MYB genes in response to drought stress involved in ABA signaling. Physiol. Mol. Biol. Plants 2021, 27, 1323–1335. [Google Scholar] [CrossRef]
- Cui, X.; Gu, J.; Liu, P.; Fu, H.; Wang, F.; Qi, M.; Sun, Z.; Liu, Y.; Li, T. Genome-wide identification and expression analysis of the UPF0016 family in tomato (Solanum lycopersicum) under drought stress. Environ. Exp. Bot. 2024, 219, 105607. [Google Scholar] [CrossRef]






| Gene Name | Gene ID | Chromosome Site | Number of Amino Acids/aa | Molecular Weight/Da | Theoretical Isoelectric Points | ORF | Subcellular Localization |
|---|---|---|---|---|---|---|---|
| RiWIP1 | Rid.03g116370.m1 | Chr3 | 316 | 77,649.77 | 5.09 | 951 | nucleus |
| RiWIP2 | Rid.04g154500.m1 | Chr4 | 289 | 71,436.91 | 5.07 | 870 | nucleus |
| RiWIP3 | Rid.06g261630.m1 | Chr6 | 372 | 89,055.49 | 5.03 | 1056 | nucleus |
Disclaimer/Publisher’s Note: The statements, opinions and data contained in all publications are solely those of the individual author(s) and contributor(s) and not of MDPI and/or the editor(s). MDPI and/or the editor(s) disclaim responsibility for any injury to people or property resulting from any ideas, methods, instructions or products referred to in the content. |
© 2024 by the authors. Licensee MDPI, Basel, Switzerland. This article is an open access article distributed under the terms and conditions of the Creative Commons Attribution (CC BY) license (https://creativecommons.org/licenses/by/4.0/).
Share and Cite
Gao, X.; Yang, G.; Li, D.; Xie, M.; Mei, Y.; Hu, L.; Zheng, Y.; Avramidou, E.V. Potential Role of WIP Family Genes in Drought Stress Response in Rubus idaeus. Agriculture 2024, 14, 2047. https://doi.org/10.3390/agriculture14112047
Gao X, Yang G, Li D, Xie M, Mei Y, Hu L, Zheng Y, Avramidou EV. Potential Role of WIP Family Genes in Drought Stress Response in Rubus idaeus. Agriculture. 2024; 14(11):2047. https://doi.org/10.3390/agriculture14112047
Chicago/Turabian StyleGao, Xiangqian, Guiyan Yang, Dapei Li, Muhong Xie, Yujie Mei, Lan Hu, Yongqi Zheng, and Evangelia V. Avramidou. 2024. "Potential Role of WIP Family Genes in Drought Stress Response in Rubus idaeus" Agriculture 14, no. 11: 2047. https://doi.org/10.3390/agriculture14112047
APA StyleGao, X., Yang, G., Li, D., Xie, M., Mei, Y., Hu, L., Zheng, Y., & Avramidou, E. V. (2024). Potential Role of WIP Family Genes in Drought Stress Response in Rubus idaeus. Agriculture, 14(11), 2047. https://doi.org/10.3390/agriculture14112047

