Screening of Physicochemical and Bioactive Traits of New Cherry Cultivars Obtained from the Cross of ‘Ambrunés’ × ‘Hudson’
Abstract
1. Introduction
2. Materials and Methods
2.1. Plant Material
2.2. Chemicals
2.3. Weight, Size and Firmness
2.4. Total Soluble Solids, Titratable Acidity and Maturation Index
2.5. Color
2.6. Total Phenolic and Anthocyanins Content
2.7. Hydrophilic and Lipophilic Antioxidant Activities
2.8. HPLC Analysis of Anthocyanins and Polyphenols
2.9. Statistical Analysis
3. Results
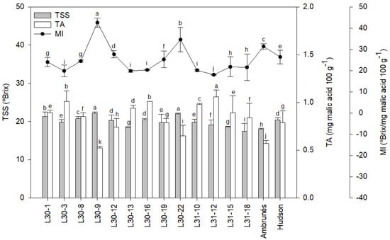
3.1. Physicochemical Analysis
3.2. Color
3.3. Total Phenolic and Anthocyanins Content
3.4. Hydrophilic and Lipophilic Antioxidant Activities
3.5. HPLC Analysis Polyphenols
3.6. Hierarchical Cluster Analysis
4. Discussion
5. Conclusions
Supplementary Materials
Author Contributions
Funding
Institutional Review Board Statement
Data Availability Statement
Conflicts of Interest
References
- Serradilla, M.J.; Lozano, M.; Bernalte, M.J.; Ayuso, M.C.; López-Corrales, M.; González-Gómez, D. Physicochemical and bioactive properties evolution during ripening of “Ambrunés” sweet cherry cultivar. LWT 2011, 44, 199–205. [Google Scholar] [CrossRef]
- Comisión Europea. Pliego De Condiciones DOP Cereza Del Jerte. 2014. Available online: https://cerezadeljerte.org/wp-content/uploads/2021/10/PUBLICACION-PLIEGO-DE-CONDICIONES-MODIFICADO-DOP-CEREZA-DEL-JERTE.pdf (accessed on 6 June 2023).
- Serradilla, M.J.; Martín, A.; Ruiz-Moyano, S.; Hernández, A.; López-Corrales, M.; Córdoba, M.D.G. Physicochemical and sensorial characterisation of four sweet cherry cultivars grown in Jerte Valley (Spain). Food Chem. 2012, 133, 1551–1559. [Google Scholar] [CrossRef]
- Rahaman, M.M.; Hossain, R.; Herrera-Bravo, J.; Islam, M.T.; Atolani, O.; Adeyemi, O.S.; Owolodun, O.A.; Kambizi, L.; Daştan, S.D.; Calina, D.; et al. Natural antioxidants from some fruits, seeds, foods, natural products, and associated health benefits: An update. Food Sci. Nutr. 2023, 11, 1657–1670. [Google Scholar] [CrossRef] [PubMed]
- Lara, I.; Camats, J.A.; Comabella, E.; Ortiz, A. Eating quality and health-promoting properties of two sweet cherry (Prunus avium L.) cultivars stored in passive modified atmosphere. Food Sci. Technol. Int. 2013, 21, 133–144. [Google Scholar] [CrossRef]
- Afonso, S.; Oliveira, I.; Ribeiro, C.; Vilela, A.; Meyer, A.S.; Gonçalves, B. Innovative edible coatings for postharvest storage of sweet cherries. Sci. Hortic. 2023, 310, 111738. [Google Scholar] [CrossRef]
- Faienza, M.F.; Corbo, F.; Carocci, A.; Catalano, A.; Clodoveo, M.L.; Grano, M.; Wang, D.Q.H.; D’Amato, G.; Muraglia, M.; Franchini, C.; et al. Novel insights in health-promoting properties of sweet cherries. J. Funct. Foods 2020, 69, 103945. [Google Scholar] [CrossRef]
- Chaovanalikit, A.; Wrolstad, R.E. Total anthocyanins and total phenolics of fresh and processed cherries and their antioxidant properties. J. Food Sci. 2004, 69, FCT67–FCT72. [Google Scholar] [CrossRef]
- Serra, A.T.; Duarte, R.O.; Bronze, M.R.; Duarte, C.M.M. Identification of bioactive response in traditional cherries from Portugal. Food Chem. 2011, 125, 318–325. [Google Scholar] [CrossRef]
- Calle, A.; Balas, F.; Cai, L.; Iezzoni, A.; López-Corrales, M.; Serradilla, M.J.; Wünsch, A. Fruit size and firmness QTL alleles of breeding interest identified in a sweet cherry ‘Ambrunés’ × ‘Sweetheart’ population. Mol. Breed. 2020, 40, 86. [Google Scholar] [CrossRef]
- López-Corrales, M.; Mateos, J.R.; Alarcón, M.V.; Bañuls, P.; Pérez, F.; Serradilla, M.J.; Manzano, M.A. Sweet cherry (Prunus avium L.) breeding program in southern Spain. Acta Hortic. 2014, 1020, 53–56. [Google Scholar] [CrossRef]
- Lima, V.L.A.G.; Mélo, E.A.; Maciel, M.I.S.; Prazeres, F.G.; Musser, R.S.; Lima, D.E.S. Total phenolic and carotenoid contents in acerola genotypes harvested at three ripening stages. Food Chem. 2005, 90, 565–568. [Google Scholar] [CrossRef]
- Giusti, M.; Wrolstad, R.E. Characterization and measurement of anthocyanins by UV-Visible spectroscopy. Curr. Prot. Food Anal. Chem. 2001, 1, F1.2.1–F1.2.13. [Google Scholar] [CrossRef]
- Pereira, C.; López-Corrales, M.; Serradilla, M.J.; Villalobos, M.C.; Ruiz-Moyano, S.; Martín, A. Influence of ripening stage on bioactive compounds and antioxidant activity in nine fig (Ficus carica L.) varieties grown in Extremadura, Spain. J. Food Compos. Anal. 2017, 64, 203–212. [Google Scholar] [CrossRef]
- Manzano Durán, R.; Sánchez, J.E.F.; Velardo-Micharet, B.; Gómez, M.J.R. Multivariate optimization of ultrasound-assisted extraction for the determination of phenolic compounds in plums (Prunus salicina Lindl.) by high-performance liquid chromatography (HPLC). Instrum. Sci. Technol. 2019, 48, 113–127. [Google Scholar] [CrossRef]
- Serradilla, M.J.; Hernández, A.; López-Corrales, M.; Ruiz-Moyano, S.; de Guía Córdoba, M.; Martín, A. Composition of the cherry (Prunus avium L. and Prunus cerasus L.; Rosaceae). In Nutritional Composition of Fruit, Cultivars; Simmonds, M.S.J., Preedy, V.R., Eds.; Academic Press: Waltham, MA, USA, 2016; pp. 127–147. [Google Scholar] [CrossRef]
- Romano, G.S.; Cittadini, E.D.; Schouten, R. Sweet cherry quality in the horticultural production chain. Stewart Postharvest Rev. 2006, 2, 1–9. [Google Scholar] [CrossRef]
- López, L.; Larrigaudière, C.; Giné-Bordonaba, J.; Echeverria, G. Defining key parameters and predictive markers of ‘Early Bigi’ cherry consumer satisfaction by means of differential storage scenarios. Postharv Biol. Technol. 2023, 195, 112117. [Google Scholar] [CrossRef]
- Serradilla, M.J.; Akšic, M.F.; Manganaris, G.A.; Ercisli, S.; González-Gómez, D.; Valero, D. Fruit chemistry, nutritional benefits and social aspects of cherries. In Cherries: Botany, Production and Uses; Quero-García, J., Lezzoni, A., Pulawska, J., Lang, G., Eds.; CAB International: Oxfordshire, UK, 2017; pp. 420–441. [Google Scholar] [CrossRef]
- Crisosto, C.H.; Crisosto, G.M.; Metheney, P. Consumer acceptance of “Brooks” and “Bing” cherries is mainly dependent on fruit SSC and visual skin color. Postharvest Biol. Technol. 2003, 28, 159–167. [Google Scholar] [CrossRef]
- Ballistreri, G.; Continella, A.; Gentile, A.; Amenta, M.; Fabroni, S.; Rapisarda, P. Fruit quality and bioactive compounds relevant to human health of sweet cherry (Prunus avium L.) cultivars grown in Italy. Food Chem. 2013, 140, 630–638. [Google Scholar] [CrossRef]
- Serrano, M.; Diaz-Mula, H.M.; Zapata, P.J.; Castillo, S.; Guillén, F.; Martínez-Romero, D.; Valverde, J.M.; Valero, D. Maturity stage at harvest determines the fruit quality and antioxidant potential after storage of sweet cherry cultivars. J. Agric. Food Chem. 2009, 57, 3240–3246. [Google Scholar] [CrossRef]
- Gonçalves, B.; Moutinho-Pereira, J.; Santos, A.; Silva, A.P.; Bacelar, E.; Correia, C.; Rosa, E. Scion-rootstock interaction affects the physiology and fruit quality of sweet cherry. Tree Physiol. 2006, 26, 93–104. [Google Scholar] [CrossRef]
- Tomás-Barberán, F.A.; Ruiz, D.; Valero, D.; Rivera, D.; Obón, C.; Sánchez-Roca, C.; Gil, M.I. Health benefits from pomegranates and stone fruit, including plums, peaches, apricots and cherries. Bioact. Fruit 2013, 125–167. [Google Scholar] [CrossRef]
- Esti, M.; Cinquanta, L.; Sinesio, F.; Moneta, E.; Di Matteo, M. Physicochemical and sensory fruit characteristics of two sweet cherry cultivars after cool storage. Food Chem. 2002, 76, 399–405. [Google Scholar] [CrossRef]
- Cortés-Montaña, D.; Bernalte-García, M.J.; Palomino-Vasco, M.; Serradilla, M.J.; Velardo-Micharet, B. Effect of preharvest melatonin applications at dusk on quality and bioactive compounds content of early sweet cherries. J. Sci. Food Agric. 2024, 104, 1583–1590. [Google Scholar] [CrossRef] [PubMed]
- Usenik, V.; Fabčič, J.; Štampar, F. Sugars, organic acids, phenolic composition and antioxidant activity of sweet cherry (Prunus avium L.). Food Chem. 2008, 107, 185–192. [Google Scholar] [CrossRef]
- Kim, D.O.; Ho, J.H.; Young, J.K.; Hyun, S.Y.; Lee, C.Y. Sweet and sour cherry phenolics and their protective effects on neuronal cells. J. Agric. Food Chem. 2005, 53, 9921–9927. [Google Scholar] [CrossRef]
- Kelebek, H.; Selli, S. Evaluation of chemical constituents and antioxidant activity of sweet cherry (Prunus avium L.) cultivars. Int. J. Food Sci. Technol. 2011, 46, 2530–2537. [Google Scholar] [CrossRef]
- Calle, A.; Serradilla, M.J.; Wünsch, A. QTL mapping of phenolic compounds and fruit color in sweet cherry using a 6+9K SNP array genetic map. Sci. Hortic. 2021, 280, 109900. [Google Scholar] [CrossRef]
- Chockchaisawasdee, S.; Golding, J.B.; Vuong, Q.V.; Papoutsis, K.; Stathopoulos, C.E. Sweet cherry: Composition, postharvest preservation, processing and trends for its future use. Trends Food Sci. Technol. 2016, 55, 72–83. [Google Scholar] [CrossRef]
- Hayaloglu, A.A.; Demir, N. Phenolic compounds, volatiles, and sensory characteristics of twelve sweet cherry (Prunus avium L.) cultivars grown in Turkey. J. Food Sci. 2016, 81, C7–C18. [Google Scholar] [CrossRef]
- Cortés-Montaña, D.; Bernalte-García, M.J.; Velardo-Micharet, B.; Serrano, M.; Serradilla, M.J. Impact of pre-storage melatonin application on the standard, sensory, and bioactive quality of early sweet cherry. Foods 2023, 12, 1723. [Google Scholar] [CrossRef]
- Del Rio, D.; Costa, L.G.; Lean, M.E.J.; Crozier, A. Polyphenols and health: What compounds are involved? Nutr. Metab. Cardiovasc. Dis. 2010, 20, 1–6. [Google Scholar] [CrossRef] [PubMed]
- Tomás-Barberán, F.A.; Andrés-Lacueva, C. Polyphenols and health: Current state and progress. J. Agric. Food Chem. 2012, 60, 8773–8775. [Google Scholar] [CrossRef] [PubMed]
- He, J.; Giusti, M. Anthocyanins: Natural colorants with health-promoting properties. Annu. Rev. Food Sci. Technol. 2010, 1, 163–187. [Google Scholar] [CrossRef] [PubMed]
- Wang, L.S.; Stoner, G.D. Anthocyanins and their role in cancer prevention. Cancer Lett. 2008, 269, 281–290. [Google Scholar] [CrossRef] [PubMed]
- Boots, A.W.; Haenen, G.R.M.M.; Bast, A. Health effects of quercetin: From antioxidant to nutraceutical. Eur. J. Pharmacol. 2008, 585, 325–337. [Google Scholar] [CrossRef]
- Wilms, L.C.; Hollman, P.C.H.; Boots, A.W.; Kleinjans, J.C.S. Protection by quercetin and quercetin-rich fruit juice against induction of oxidative DNA damage and formation of BPDE-DNA adducts in human lymphocytes. Mutat. Res. Genet. Toxicol. Environ. Mutagen. 2005, 582, 155–162. [Google Scholar] [CrossRef]




| SKIN COLOR | FLESH COLOR | |||||||||||||
|---|---|---|---|---|---|---|---|---|---|---|---|---|---|---|
| L* | h | C* | RGB Color | L* | h | C* | RGB Color | |||||||
| Mean | SD | Mean | SD | Mean | SD | Mean | SD | Mean | SD | Mean | SD | |||
| L30-1 | 29.49 c1 | 2.03 | 19.28 bc | 2.07 | 31.49 b | 5.21 | 51.14 c | 7.73 | 43.60 e | 16.42 | 35.09 cd | 5.49 | ||
| L30-3 | 28.06 cde | 1.31 | 18.26 bc | 7.10 | 20.18 de | 2.96 | 45.43 e | 4.46 | 38.65 f | 2.11 | 35.64 bcd | 0.72 | ||
| L30-8 | 26.11 f | 0.86 | 10.88 f | 0.79 | 9.97 i | 1.03 | 30.07 h | 1.92 | 22.96 h | 1.98 | 31.65 ef | 4.48 | ||
| L30-9 | 26.66 ef | 1.63 | 13.95 def | 0.96 | 14.62 gh | 2.71 | 32.56 g | 1.29 | 38.24 f | 3.45 | 22.48 g | 2.70 | ||
| L30-12 | 28.66 cd | 2.86 | 15.67 cde | 2.41 | 20.92 d | 7.10 | 40.80 f | 5.19 | 29.58 g | 1.81 | 35.54 bcd | 1.35 | ||
| L30-13 | 41.64 a | 2.72 | 28.63 a | 2.94 | 48.04 a | 2.87 | 60.75 a | 1.69 | 72.01 a | 1.68 | 44.86 a | 4.03 | ||
| L30-16 | 26.32 f | 0.57 | 11.82 ef | 0.50 | 14.01 gh | 1.69 | 42.90 f | 2.03 | 34.88 f | 2.35 | 36.11 bcd | 0.55 | ||
| L30-19 | 27.39 def | 3.14 | 13.44 def | 3.82 | 17.94 ef | 9.61 | 48.99 cd | 11.74 | 48.39 d | 15.75 | 36.08 bcd | 3.77 | ||
| L30-22 | 27.35 def | 1.14 | 13.39 def | 0.88 | 15.77 fg | 1.68 | 48.32 d | 3.85 | 53.12 cd | 2.21 | 33.31 de | 3.52 | ||
| L31-10 | 28.46 cd | 0.93 | 16.06 bcde | 0.30 | 20.81 d | 0.50 | 49.29 cd | 3.23 | 53.29 cd | 6.09 | 37.06 bc | 2.18 | ||
| L31-12 | 29.12 c | 0.52 | 17.08 bcd | 2.11 | 26.83 c | 3.83 | 51.61 c | 5.66 | 62.83 b | 9.40 | 38.02 bc | 5.11 | ||
| L31-15 | 25.72 fg | 0.38 | 12.05 ef | 4.88 | 9.64 i | 1.22 | 26.99 i | 1.45 | 22.48 h | 1.42 | 24.94 g | 1.83 | ||
| L31-18 | 32.47 b | 3.46 | 19.89 b | 5.49 | 33.56 b | 13.70 | 56.41 b | 7.43 | 57.01 c | 21.39 | 36.30 bcd | 1.32 | ||
| Ambrunés | 28.29 cde | 0.78 | 15.77 bcde | 0.98 | 20.00 de | 2.17 | 59.44 a | 2.61 | 70.83 a | 4.55 | 38.54 b | 0.66 | ||
| Hudson | 24.44 g | 0.57 | 12.52 ef | 1.10 | 12.84 h | 2.36 | 28.68 hi | 2.11 | 20.19 h | 2.88 | 29.93 f | 4.35 | ||
| 2 p cultivar | *** | *** | *** | *** | *** | *** | ||||||||
| p year | *** | ns | ns | * | ns | *** | ||||||||
| p c*y | *** | *** | *** | *** | *** | *** | ||||||||
| CYANIDINS (mg 100 g−1 FW) | ||||||||||
|---|---|---|---|---|---|---|---|---|---|---|
| C3G | C3R | P3G | P3R | Total | SD | |||||
| Mean | SD | Mean | SD | Mean | SD | Mean | SD | |||
| L30-1 | 0.63 hi1 | 0.34 | 11.95 gh | 2.90 | 0.16 hi | 0.05 | 0.33 gh | 0.28 | 13.07 | 0.99 |
| L30-3 | 1.58 ef | 1.32 | 17.36 efg | 9.12 | 0.31 ef | 0.19 | 0.46 f | 0.05 | 19.71 | 2.96 |
| L30-8 | 1.93 e | 0.22 | 56.63 ab | 4.17 | 0.62 ab | 0.13 | 1.67 b | 0.43 | 60.85 | 1.37 |
| L30-9 | 0.74 ghi | 0.41 | 12.94 gh | 4.48 | 0.20 hi | 0.08 | 1.01 d | 0.30 | 14.88 | 1.46 |
| L30-12 | 3.16 c | 2.85 | 39.04 d | 30.35 | 0.38 de | 0.26 | 1.36 c | 0.23 | 43.93 | 9.34 |
| L30-13 | 0.06 j | 0.07 | 4.76 h | 0.67 | 0.05 j | 0.05 | 0.04 j | 0.04 | 4.89 | 0.23 |
| L30-16 | 2.60 d | 1.06 | 50.61 bc | 4.71 | 0.56 bc | 0.10 | 0.87 e | 0.06 | 54.65 | 1.65 |
| L30-19 | 4.19 b | 3.21 | 37.54 d | 16.65 | 0.43 d | 0.18 | 0.46 f | 0.16 | 42.62 | 5.60 |
| L30-22 | 1.18 fgh | 0.33 | 23.97 e | 2.42 | 0.22 ghi | 0.16 | 0.23 i | 0.18 | 25.59 | 0.86 |
| L31-10 | 1.22 fg | 0.29 | 21.85 ef | 3.88 | 0.24 fgh | 0.06 | 0.34 gh | 0.21 | 23.65 | 1.23 |
| L31-12 | 0.55 ij | 0.12 | 15.25 fg | 1.03 | 0.17 hi | 0.02 | 0.25 hi | 0.10 | 16.22 | 0.35 |
| L31-15 | 3.99 b | 0.57 | 43.67 cd | 13.26 | 0.53 c | 0.02 | 1.95 a | 0.09 | 50.14 | 3.87 |
| L31-18 | 0.32 ij | 0.15 | 11.07 gh | 6.46 | 0.14 i | 0.04 | 0.35 gh | 0.31 | 11.88 | 1.93 |
| Ambrunés | 0.72 ghi | 0.04 | 19.09 efg | 1.92 | 0.28 fg | 0.10 | 0.43 fg | 0.04 | 20.52 | 0.59 |
| Hudson | 9.44 a | 1.84 | 63.66 a | 6.84 | 0.67 a | 0.27 | 1.95 a | 0.29 | 75.72 | 2.56 |
| 2 p cultivar | *** | *** | *** | *** | ||||||
| p year | *** | *** | *** | *** | ||||||
| p c*y | *** | *** | *** | *** | ||||||
| HYDROXYCINNAMIC ACIDS (mg 100 g−1 FW) | ||||||||||
| NCGA | CGA | pCQA | Total | SD | ||||||
| Mean | SD | Mean | SD | Mean | SD | |||||
| L30-1 | 14.02 cd | 2.67 | 1.52 c | 0.73 | 41.30 e | 2.00 | 56.84 | 1.50 | ||
| L30-3 | 8.76 gh | 2.04 | 0.59 gh | 0.09 | 40.72 e | 11.18 | 50.07 | 3.69 | ||
| L30-8 | 16.00 b | 2.85 | 1.48 c | 0.69 | 43.84 d | 1.68 | 61.32 | 1.45 | ||
| L30-9 | 10.30 f | 1.19 | 0.78 fg | 0.05 | 22.70 i | 0.70 | 33.78 | 0.54 | ||
| L30-12 | 10.24 f | 3.55 | 1.16 d | 0.56 | 34.52 g | 13.32 | 45.92 | 4.83 | ||
| L30-13 | 20.43 a | 1.29 | 1.46 c | 0.65 | 56.25 b | 4.71 | 78.13 | 1.84 | ||
| L30-16 | 21.09 a | 1.47 | 1.75 b | 0.89 | 53.58 c | 3.13 | 76.43 | 1.52 | ||
| L30-19 | 14.79 c | 0.95 | 1.02 de | 0.32 | 34.33 g | 4.42 | 50.14 | 1.58 | ||
| L30-22 | 13.32 de | 4.59 | 1.48 c | 0.54 | 29.80 h | 6.53 | 44.60 | 3.23 | ||
| L31-10 | 12.32 e | 0.95 | 0.89 ef | 0.19 | 43.81 d | 3.49 | 57.02 | 1.28 | ||
| L31-12 | 13.37 de | 1.13 | 0.84 ef | 0.17 | 55.48 b | 4.80 | 69.69 | 1.69 | ||
| L31-15 | 9.28 fgh | 0.35 | 2.27 a | 0.15 | 36.69 f | 1.46 | 48.25 | 0.54 | ||
| L31-18 | 9.59 fg | 0.39 | 0.70 fg | 0.09 | 29.39 h | 0.35 | 39.68 | 0.23 | ||
| Ambrunés | 4.98 i | 2.75 | 0.51 h | 0.26 | 17.33 j | 2.39 | 22.82 | 1.50 | ||
| Hudson | 8.33 h | 7.55 | 0.73 fg | 0.52 | 63.27 a | 11.39 | 72.33 | 5.40 | ||
| p cultivar | *** | *** | *** | |||||||
| p year | ** | *** | *** | |||||||
| p c*y | *** | *** | *** | |||||||
| FLAVONOLS (mg 100 g−1 FW) | ||||||||||
| Q3R | Q3G | KMP | IHM | Total | SD | |||||
| Mean | SD | Mean | SD | Mean | SD | Mean | SD | |||
| L30-1 | 2.43 g | 0.89 | 0.06 f | 0.06 | 0.93 cd | 0.70 | 0.28 d | 0.09 | 3.69 | 0.48 |
| L30-3 | 1.74 h | 0.57 | 0.04 f | 0.04 | 0.20 i | 0.06 | 0.09 f | 0.10 | 2.07 | 0.22 |
| L30-8 | 5.88 a | 1.05 | 0.18 d | 0.04 | 1.19 b | 0.73 | 0.46 b | 0.12 | 7.71 | 0.54 |
| L30-9 | 2.79 fg | 0.33 | 0.04 f | 0.04 | 0.77 de | 0.20 | 0.25 d | 0.06 | 3.85 | 0.17 |
| L30-12 | 2.41 g | 0.91 | 0.13 e | 0.14 | 0.23 i | 0.09 | 0.27 d | 0.09 | 3.03 | 0.34 |
| L30-13 | 3.28 ef | 0.35 | 0.06 f | 0.07 | 0.97 c | 0.14 | 0.45 b | 0.09 | 4.75 | 0.18 |
| L30-16 | 4.58 b | 0.74 | 0.12 e | 0.03 | 0.67 e | 0.28 | 0.55 a | 0.09 | 5.92 | 0.32 |
| L30-19 | 4.47 bc | 1.12 | 0.32 b | 0.23 | 0.48 fg | 0.17 | 0.31 d | 0.09 | 5.57 | 0.45 |
| L30-22 | 4.56 bc | 1.25 | 0.10 e | 0.02 | 1.35 b | 0.54 | 0.38 c | 0.14 | 6.38 | 0.54 |
| L31-10 | 2.54 g | 0.19 | 0.02 fg | 0.03 | 0.41 gh | 0.06 | 0.18 e | 0.06 | 3.15 | 0.10 |
| L31-12 | 4.02 cd | 0.94 | 0.17 d | 0.08 | 0.59 ef | 0.16 | 0.26 d | 0.03 | 5.03 | 0.34 |
| L31-15 | 2.83 fg | 0.27 | 0.22 c | 0.01 | 0.25 hi | 0.09 | 0.19 e | 0.02 | 3.49 | 0.11 |
| L31-18 | 2.37 g | 0.48 | 0.00 g | 0.00 | 0.64 ef | 0.16 | 0.10 f | 0.06 | 3.12 | 0.19 |
| Ambrunés | 4.19 bcd | 0.79 | 0.03 fg | 0.03 | 1.67 a | 0.53 | 0.26 d | 0.04 | 6.14 | 0.39 |
| Hudson | 3.76 de | 0.27 | 0.50 a | 0.18 | 0.11 i | 0.13 | 0.53 a | 0.08 | 4.90 | 0.18 |
| p cultivar | *** | *** | *** | *** | ||||||
| p year | * | *** | *** | *** | ||||||
| p c*y | *** | *** | *** | *** | ||||||
| FLAVAN-3-OLS (mg 100 g−1 FW) | ||||||||||
| PB1 | CA | PB2 | ECA | Total | SD | |||||
| Mean | SD | Mean | SD | Mean | SD | Mean | SD | |||
| L30-1 | 0.82 hi | 0.42 | 0.33 ef | 0.10 | 0.54 gh | 0.08 | 2.86 de | 0.22 | 4.55 | 0.22 |
| L30-3 | 1.22 ef | 0.92 | 0.46 de | 0.11 | 0.40 h | 0.17 | 1.53 f | 0.42 | 3.60 | 0.45 |
| L30-8 | 1.40 de | 0.10 | 0.48 d | 0.07 | 3.00 c | 0.42 | 7.28 c | 1.63 | 12.16 | 0.62 |
| L30-9 | 0.96 gh | 0.63 | 0.32 ef | 0.06 | 1.60 d | 0.19 | 3.67 d | 0.24 | 6.55 | 0.31 |
| L30-12 | 1.12 fg | 0.86 | 0.33 ef | 0.06 | 0.71 fgh | 0.40 | 2.06 ef | 1.07 | 4.22 | 0.66 |
| L30-13 | 2.39 b | 0.53 | 0.94 c | 0.26 | 3.71 b | 0.81 | 10.80 b | 1.49 | 17.83 | 0.86 |
| L30-16 | 2.55 b | 0.36 | 0.92 c | 0.14 | 3.31 bc | 0.31 | 11.47 b | 1.38 | 18.24 | 0.61 |
| L30-19 | 1.33 def | 0.71 | 0.49 d | 0.25 | 1.18 def | 0.20 | 2.76 de | 0.35 | 5.75 | 0.42 |
| L30-22 | 1.46 de | 0.19 | 0.52 d | 0.23 | 0.70 fgh | 0.35 | 1.99 ef | 0.95 | 4.67 | 0.48 |
| L31-10 | 1.56 d | 0.68 | 0.43 def | 0.06 | 0.91 efg | 0.08 | 3.29 d | 0.33 | 6.20 | 0.32 |
| L31-12 | 2.83 a | 0.82 | 1.08 b | 0.17 | 0.91 efg | 0.16 | 3.58 d | 0.16 | 8.39 | 0.36 |
| L31-15 | 0.47 j | 0.01 | 0.33 ef | 0.01 | 1.28 de | 0.05 | 2.79 de | 0.10 | 4.87 | 0.05 |
| L31-18 | 0.69 ij | 0.14 | 0.31 f | 0.04 | 0.46 gh | 0.15 | 2.65 de | 0.11 | 4.11 | 0.12 |
| Ambrunés | 0.77 hi | 0.03 | 0.18 g | 0.02 | 0.25 h | 0.06 | 1.04 f | 0.32 | 2.24 | 0.12 |
| Hudson | 2.04 c | 0.34 | 1.88 a | 0.08 | 10.06 a | 0.78 | 26.11 a | 3.31 | 40.09 | 1.25 |
| p cultivar | *** | *** | *** | *** | ||||||
| p year | *** | ns | ns | *** | ||||||
| p c*y | *** | *** | *** | *** | ||||||
Disclaimer/Publisher’s Note: The statements, opinions and data contained in all publications are solely those of the individual author(s) and contributor(s) and not of MDPI and/or the editor(s). MDPI and/or the editor(s) disclaim responsibility for any injury to people or property resulting from any ideas, methods, instructions or products referred to in the content. |
© 2024 by the authors. Licensee MDPI, Basel, Switzerland. This article is an open access article distributed under the terms and conditions of the Creative Commons Attribution (CC BY) license (https://creativecommons.org/licenses/by/4.0/).
Share and Cite
Palomino-Vasco, M.; López-Corrales, M.; Bañuls, P.; Bernalte, M.J.; Martín, A.; Serradilla, M.J. Screening of Physicochemical and Bioactive Traits of New Cherry Cultivars Obtained from the Cross of ‘Ambrunés’ × ‘Hudson’. Agriculture 2024, 14, 1938. https://doi.org/10.3390/agriculture14111938
Palomino-Vasco M, López-Corrales M, Bañuls P, Bernalte MJ, Martín A, Serradilla MJ. Screening of Physicochemical and Bioactive Traits of New Cherry Cultivars Obtained from the Cross of ‘Ambrunés’ × ‘Hudson’. Agriculture. 2024; 14(11):1938. https://doi.org/10.3390/agriculture14111938
Chicago/Turabian StylePalomino-Vasco, Mónica, Margarita López-Corrales, Pablo Bañuls, María Josefa Bernalte, Alberto Martín, and Manuel J. Serradilla. 2024. "Screening of Physicochemical and Bioactive Traits of New Cherry Cultivars Obtained from the Cross of ‘Ambrunés’ × ‘Hudson’" Agriculture 14, no. 11: 1938. https://doi.org/10.3390/agriculture14111938
APA StylePalomino-Vasco, M., López-Corrales, M., Bañuls, P., Bernalte, M. J., Martín, A., & Serradilla, M. J. (2024). Screening of Physicochemical and Bioactive Traits of New Cherry Cultivars Obtained from the Cross of ‘Ambrunés’ × ‘Hudson’. Agriculture, 14(11), 1938. https://doi.org/10.3390/agriculture14111938

