Optimized Tillage Method Increased Rice Yield in Rice Ratooning System
Abstract
1. Introduction
2. Materials and Methods
2.1. Experimental Site and Description
2.2. Experimental Treatments
2.3. Sampling and Data Collection
2.3.1. Yield and Yield Components
2.3.2. Root Function and Photosynthetic Properties
2.4. Statistical Analyses
3. Results
3.1. Effects of Tillage Managements on Rice Yield and Yield Compositions
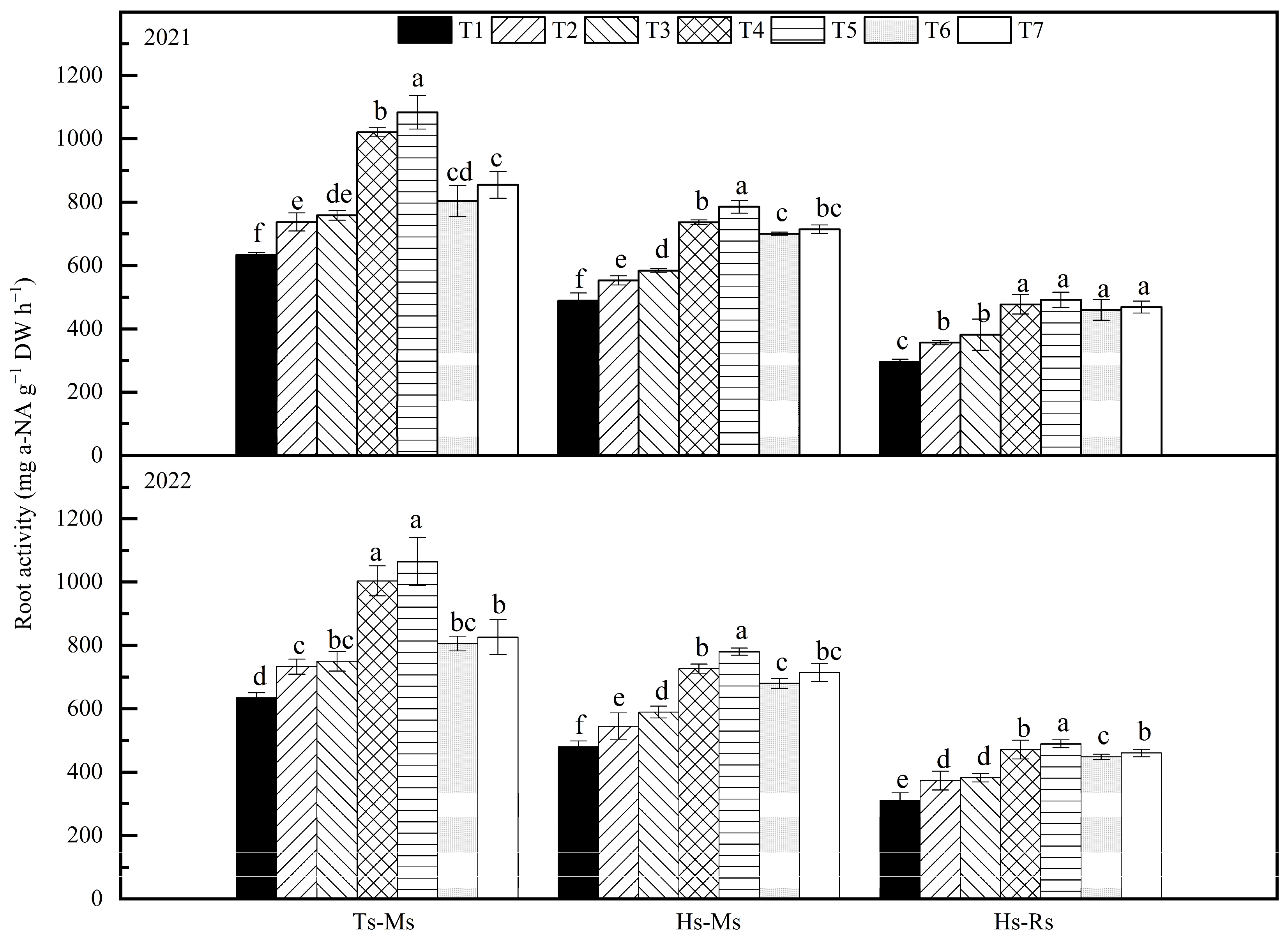
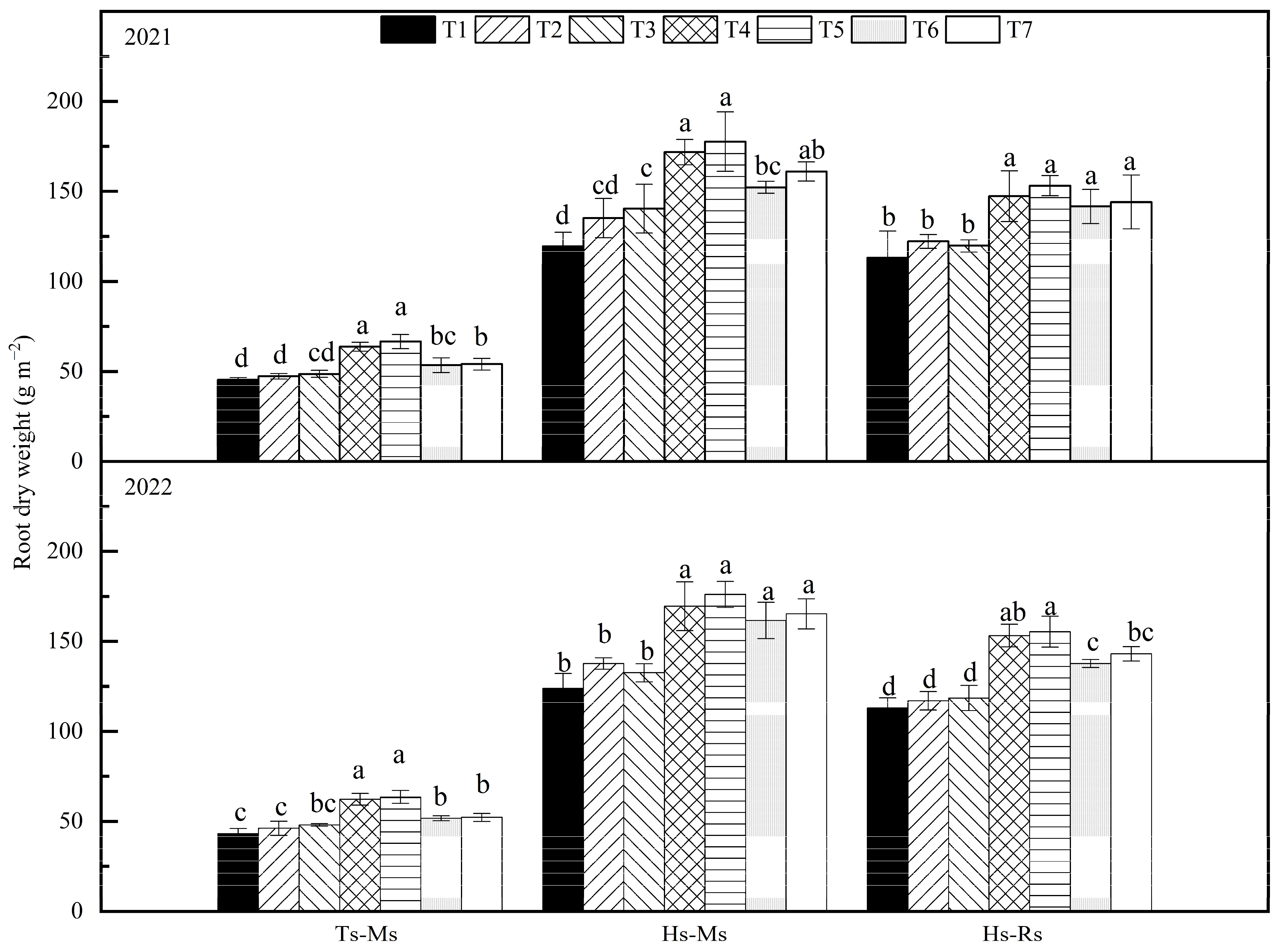
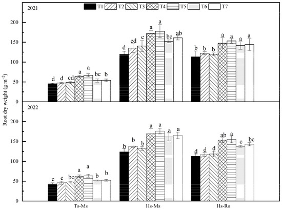
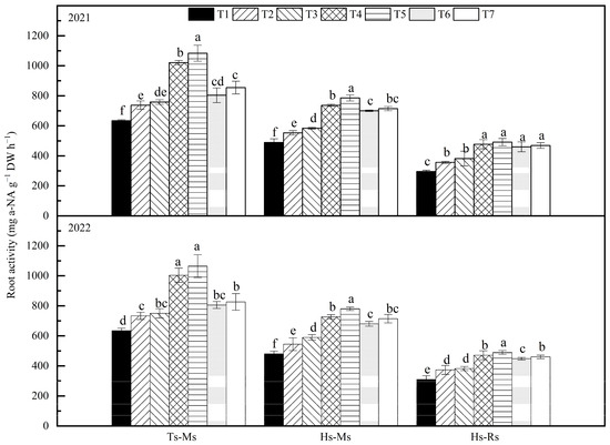
3.2. Effects of Tillage Management on Root Activity and Dry Weight
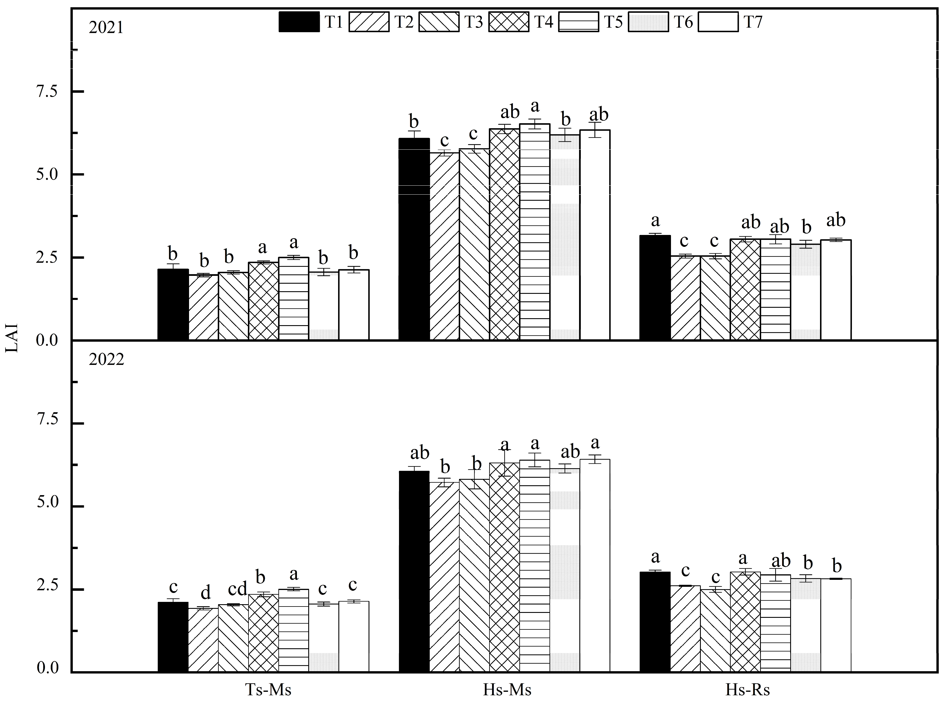
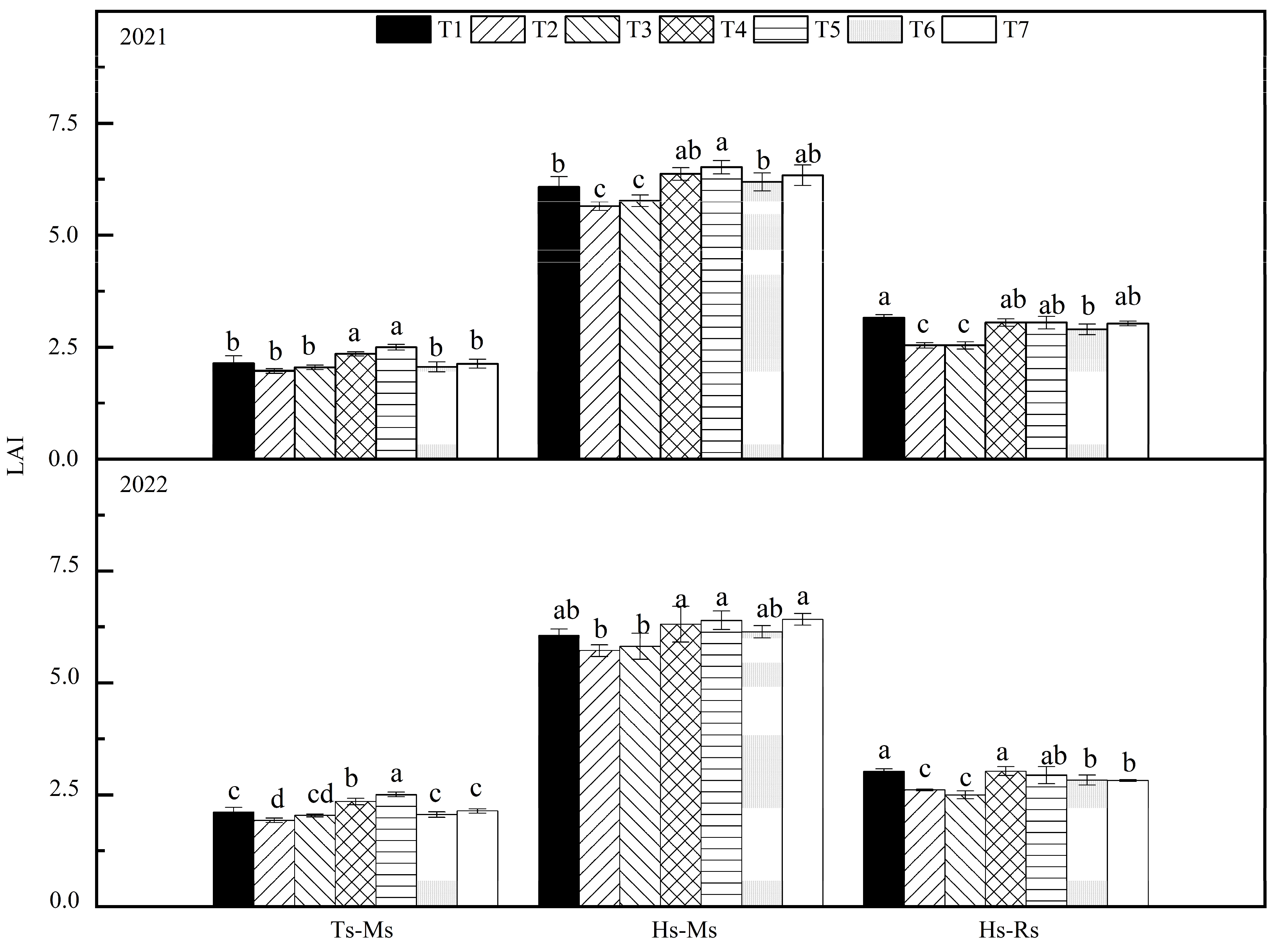
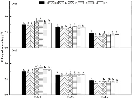
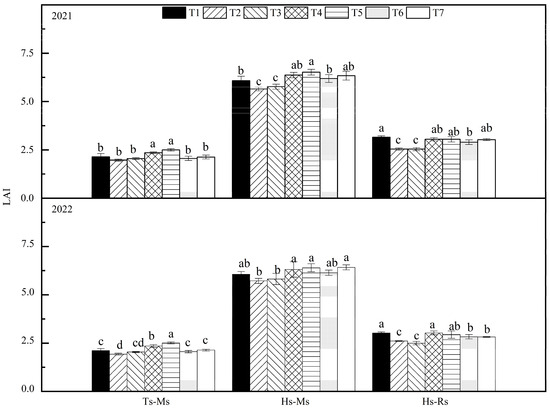
3.3. Effects of Tillage Managements on LAI, Pn and Total Chlorophyll Content
3.4. Correlation Analysis between Ratoon Season Rice Traits and Main Season Rice Traits
4. Discussion
4.1. Impact of Tillage on Growth and Yield of the Main Season Rice
4.2. Impact of Tillage on the Growth and Yield of the Ratoon Rice
4.3. The Correlation between Traits of Main Season Rice and Ratoon Season Rice
5. Conclusions
Author Contributions
Funding
Institutional Review Board Statement
Data Availability Statement
Conflicts of Interest
References
- Lampayan, R.M.; Rejesus, R.M.; Singleton, G.R.; Bouman, B.A. Adoption and economics of alternate wetting and drying water management for irrigated lowland rice. Field Crop. Res. 2015, 170, 95–108. [Google Scholar] [CrossRef]
- Xu, L.; Yuan, S.; Man, J. Changes in rice yield and yield stability in China during the past six decades. J. Sci. Food Agric. 2020, 100, 3560–3569. [Google Scholar] [CrossRef] [PubMed]
- Wang, D.; Laza, M.R.C.; Cassman, K.G.; Huang, J.; Nie, L.; Ling, X.; Centeno, G.S.; Cui, K.; Wang, F.; Li, Y.; et al. Temperature explains the yield difference of double-season rice between tropical and subtropical environments. Field Crop. Res. 2016, 198, 303–311. [Google Scholar] [CrossRef]
- Ray, D.K.; Ramankutty, N.; Mueller, N.D.; West, P.C.; Foley, J.A. Recent patterns of crop yield growth and stagnation. Nat. Commun. 2012, 3, 1293. [Google Scholar] [CrossRef]
- Grassini, P.; Eskridge, K.M.; Cassman, K.G. Distinguishing between yield advances and yield plateaus in historical crop production trends. Nat. Commun. 2013, 4, 2918. [Google Scholar] [CrossRef]
- Bren D’Amour, C.; Reitsma, F.; Baiocchi, G.; Barthel, S.; Güneralp, B.; Erb, K.-H.; Haberl, H.; Creutzig, F.; Seto, K.C. Future urban land expansion and implications for global croplands. Proc. Natl. Acad. Sci. USA 2017, 114, 8939–8944. [Google Scholar] [CrossRef]
- Ray, D.K.; Foley, J.A. Increasing global crop harvest frequency: Recent trends and future directions. Environ. Res. Lett. 2013, 8, 44041. [Google Scholar] [CrossRef]
- Lin, W.-X. Developmental status and problems of rice ratooning. J. Integr. Agric. 2019, 18, 246–247. [Google Scholar] [CrossRef]
- Yuan, S.; Cassman, K.G.; Huang, J.; Peng, S.; Grassini, P. Can ratoon cropping improve resource use efficiencies and profitability of rice in central China? Field Crop Res. 2019, 234, 66–72. [Google Scholar] [CrossRef]
- Huang, J.; Pan, Y.; Chen, H.; Zhang, Z.; Fang, C.; Shao, C.; Amjad, H.; Lin, W.; Lin, W. Physiochemical mechanisms involved in the improvement of grain-filling, rice quality mediated by related enzyme activities in the ratoon cultivation system. Field Crop. Res. 2020, 258, 107962. [Google Scholar] [CrossRef]
- Mairghany, M.; Yahya, A.; Adam, N.M.; Su, A.S.M.; Aimrun, W.; Elsoragaby, S. Rotary tillage effects on some selected physical properties of fine textured soil in wetland rice cultivation in Malaysia. Soil Tillage Res. 2019, 194, 104318. [Google Scholar] [CrossRef]
- Huang, M.; Zou, Y.; Feng, Y.; Cheng, Z.; Mo, Y.; Ibrahim; Xia, B.; Jiang, P. No-tillage and direct seeding for super hybrid rice production in rice–oilseed rape cropping system. Eur. J. Agron. 2011, 34, 278–286. [Google Scholar] [CrossRef]
- Huang, M.; Zhou, X.; Cao, F.; Xia, B.; Zou, Y. No-tillage effect on rice yield in China: A meta-analysis. Field Crop. Res. 2015, 183, 126–137. [Google Scholar] [CrossRef]
- Bhushan, L.; Ladha, J.K.; Gupta, R.K.; Singh, S.; Tirol-Padre, A.; Saharawat, Y.; Gathala, M.; Pathak, H. Saving of Water and Labor in a Rice–Wheat System with No-Tillage and Direct Seeding Technologies. Agron. J. 2007, 99, 1288–1296. [Google Scholar] [CrossRef]
- Blanco-Canqui, H.; Ruis, S.J. No-tillage and soil physical environment. Geoderma 2018, 326, 164–200. [Google Scholar] [CrossRef]
- Palm, C.; Blanco-Canqui, H.; DeClerck, F.; Gatere, L.; Grace, P. Conservation agriculture and ecosystem services: An overview. Agric. Ecosyst. Environ. 2014, 187, 87–105. [Google Scholar] [CrossRef]
- Hernández, T.D.B.; Slater, B.K.; Corbalá, R.T.; Shaffer, J.M. Assessment of long-term tillage practices on physical properties of two Ohio soils. Soil Tillage Res. 2019, 186, 270–279. [Google Scholar] [CrossRef]
- Das, A.; Lal, R.; Patel, D.; Idapuganti, R.; Layek, J.; Ngachan, S.; Ghosh, P.; Bordoloi, J.; Kumar, M. Effects of tillage and biomass on soil quality and productivity of lowland rice cultivation by small scale farmers in North Eastern India. Soil Tillage Res. 2014, 143, 50–58. [Google Scholar] [CrossRef]
- Tang, H.; Li, C.; Shi, L.; Wen, L.; Cheng, K.; Li, W.; Xiao, X. Functional soil organic matter fraction in response to short-term tillage management under the double-cropping rice paddy field in southern of China. Environ. Sci. Pollut. Res. 2021, 28, 48438–48449. [Google Scholar] [CrossRef]
- Denardin, L.G.d.O.; Carmona, F.d.C.; Veloso, M.G.; Martins, A.P.; de Freitas, T.F.S.; Carlos, F.S.; Marcolin, É.; Camargo, F.A.d.O.; Anghinoni, I. No-tillage increases irrigated rice yield through soil quality improvement along time. Soil Tillage Res. 2019, 186, 64–69. [Google Scholar] [CrossRef]
- Yadav, G.S.; Lal, R.; Meena, R.S.; Babu, S.; Das, A.; Bhowmik, S.N.; Datta, M.; Layak, J.; Saha, P. Conservation tillage and nutrient management effects on productivity and soil carbon sequestration under double cropping of rice in north eastern region of India. Ecol. Ind. 2019, 105, 303–315. [Google Scholar] [CrossRef]
- Ahmed, W.; Qaswar, M.; Jing, H.; Wenjun, D.; Geng, S.; Kailou, L.; Ying, M.; Ao, T.; Mei, S.; Chao, L.; et al. Tillage practices improve rice yield and soil phosphorus fractions in two typical paddy soils. J. Soils Sediments 2020, 20, 850–861. [Google Scholar] [CrossRef]
- Jiang, X.; Wright, A.; Wang, J.; Li, Z. Long-term tillage effects on the distribution patterns of microbial biomass and activities within soil aggregates. Catena 2011, 87, 276–280. [Google Scholar] [CrossRef]
- Pandey, D.; Agrawal, M.; Bohra, J.S. Effects of conventional tillage and no tillage permutations on extracellular soil enzyme activities and microbial biomass under rice cultivation. Soil Tillage Res. 2014, 136, 51–60. [Google Scholar] [CrossRef]
- Kumar, V.; Gathala, M.K.; Saharawat, Y.S.; Parihar, C.M.; Kumar, R.; Kumar, R.; Jat, M.L.; Jat, A.S.; Mahala, D.M.; Kumar, L.; et al. Impact of tillage and crop establishment methods on crop yields, profitability and soil physical properties in rice–wheat system of Indo-Gangetic Plains of India. Soil Use Manag. 2019, 35, 303–313. [Google Scholar] [CrossRef]
- Wang, X.; Qi, J.; Liu, B.; Kan, Z.; Zhao, X.; Xiao, X.; Zhang, H. Strategic tillage effects on soil properties and agricultural productivity in the paddies of Southern China. Land Degrad. Dev. 2020, 31, 1277–1286. [Google Scholar] [CrossRef]
- Badshah, M.; Naimei, T.; Zou, Y.; Ibrahim, M.; Wang, K. Yield and tillering response of super hybrid rice Liangyoupeijiu to tillage and establishment methods. Crop. J. 2014, 2, 79–86. [Google Scholar] [CrossRef]
- Huang, M.; Zou, Y.; Jiang, P.; Xia, B.; Feng, Y.; Cheng, Z.; Mo, Y. Effect of tillage on soil and crop properties of wet-seeded flooded rice. Field Crop. Res. 2012, 129, 28–38. [Google Scholar] [CrossRef]
- Xu, S.; Zhang, M.-Y.; Zhang, H.; Chen, F.; Yang, G.-L.; Xiao, X.-P. Soil Organic Carbon Stocks as Affected by Tillage Systems in a Double-Cropped Rice Field. Pedosphere 2013, 23, 696–704. [Google Scholar] [CrossRef]
- Wang, X.; Qi, J.-Y.; Zhang, X.-Z.; Li, S.-S.; Virk, A.L.; Zhao, X.; Xiao, X.-P.; Zhang, H.-L. Effects of tillage and residue management on soil aggregates and associated carbon storage in a double paddy cropping system. Soil Tillage Res. 2019, 194, 104339. [Google Scholar] [CrossRef]
- Liang, X.; Zhang, H.; He, M.; Yuan, J.; Xu, L.; Tian, G. No-tillage effects on grain yield, N use efficiency, and nutrient runoff losses in paddy fields. Environ. Sci. Pollut. Res. 2016, 23, 21451–21459. [Google Scholar] [CrossRef] [PubMed]
- Zhang, J.; Li, F.; Liao, P.; Khan, A.; Hussain, I.; Iqbal, A.; Ali, I.; Wei, B.; Jiang, L. Smash ridge tillage strongly influence soil functionality, physiology and rice yield. Saudi J. Biol. Sci. 2021, 28, 1297–1307. [Google Scholar] [CrossRef] [PubMed]
- Zhao, Z.; Gao, S.; Lu, C.; Li, X.; Li, F.; Wang, T. Effects of different tillage and fertilization management practices on soil organic carbon and aggregates under the rice–wheat rotation system. Soil Tillage Res. 2021, 212, 105071. [Google Scholar] [CrossRef]
- Ko, J.-Y.; Kang, H.-W. The Effects of Cultural Practices on Methane Emission from Rice Fields. Nutr. Cycl. Agroecosystems 2000, 58, 311–314. [Google Scholar] [CrossRef]
- Yang, L.; Wang, Y.; Kobayashi, K.; Zhu, J.; Huang, J.; Yang, H.; Wang, Y.; Dong, G.; Liu, G.; Han, Y.; et al. Seasonal changes in the effects of free-air CO2 enrichment (FACE) on growth, morphology and physiology of rice root at three levels of nitrogen fertilization. Glob. Chang. Biol. 2008, 14, 1844–1853. [Google Scholar] [CrossRef]
- Ramasamy, S.; Ten Berge, H.F.M.; Purushothaman, S. Yield formation in rice in response to drainage and nitrogen ap-plication. Field Crop Res. 1997, 51, 65–82. [Google Scholar] [CrossRef]
- Tian, G.; Gao, L.; Kong, Y.; Hu, X.; Xie, K.; Zhang, R.; Ling, N.; Shen, Q.; Guo, S. Improving rice population productivity by reducing nitrogen rate and increasing plant density. PLoS ONE 2017, 12, e0182310. [Google Scholar] [CrossRef]
- Wellburn, A.R.; Lichtenthaler, H. Formulae and program to determine total carotenoids and chlorophylls a and b of leaf extracts in different solvents. In Proceedings of the Advances in Photosynthesis Research: Proceedings of the VIth International Congress on Photosyn-Thesis, Brussels, Belgium, 1–6 August 1983; Springer: Dordrecht, The Netherlands, 1984; Volume 2, pp. 9–12. [Google Scholar]
- Pandey, D.; Agrawal, M.; Bohra, J.S.; Adhya, T.; Bhattacharyya, P. Recalcitrant and labile carbon pools in a sub-humid tropical soil under different tillage combinations: A case study of rice–wheat system. Soil Tillage Res. 2014, 143, 116–122. [Google Scholar] [CrossRef]
- Xiong, L.; Liu, X.; Vinci, G.; Spaccini, R.; Drosos, M.; Li, L.; Piccolo, A.; Pan, G. Molecular changes of soil organic matter induced by root exudates in a rice paddy under CO2 enrichment and warming of canopy air. Soil Biol. Biochem. 2019, 137, 107544. [Google Scholar] [CrossRef]
- Huang, S.; Zeng, Y.; Wu, J.; Shi, Q.; Pan, X. Effect of crop residue retention on rice yield in China: A meta-analysis. Field Crop. Res. 2013, 154, 188–194. [Google Scholar] [CrossRef]
- Zhu, Z.; Ge, T.; Liu, S.; Hu, Y.; Ye, R.; Xiao, M.; Tong, C.; Kuzyakov, Y.; Wu, J. Rice rhizodeposits affect organic matter priming in paddy soil: The role of N fertilization and plant growth for enzyme activities, CO2 and CH4 emissions. Soil Biol. Biochem. 2018, 116, 369–377. [Google Scholar] [CrossRef]
- Banayo, N.P.; Bueno, C.S.; Haefele, S.M.; Desamero, N.V.; Kato, Y. Site-specific nutrient management enhances sink size, a major yield constraint in rainfed lowland rice. Field Crop. Res. 2018, 224, 76–79. [Google Scholar] [CrossRef]
- Jat, R.K.; Sapkota, T.; Singh, R.G.; Jat, M.; Kumar, M.; Gupta, R.K. Seven years of conservation agriculture in a rice–wheat rotation of Eastern Gangetic Plains of South Asia: Yield trends and economic profitability. Field Crop. Res. 2014, 164, 199–210. [Google Scholar] [CrossRef]
- Xue, J.-F.; Pu, C.; Liu, S.-L.; Chen, Z.-D.; Chen, F.; Xiao, X.-P.; Lal, R.; Zhang, H.-L. Effects of tillage systems on soil organic carbon and total nitrogen in a double paddy cropping system in Southern China. Soil Tillage Res. 2015, 153, 161–168. [Google Scholar] [CrossRef]
- Yoshida, S.; Hasegawa, S. The rice root system: Its development and function. Drought Resist. Crops Emphas. Rice 1982, 10, 97–134. [Google Scholar]
- Zhang, J.; Hang, X.; Lamine, S.M.; Jiang, Y.; Afreh, D.; Qian, H.; Feng, X.; Zheng, C.; Deng, A.; Song, Z.; et al. Interactive effects of straw incorporation and tillage on crop yield and greenhouse gas emissions in double rice cropping system. Agric. Ecosyst. Environ. 2017, 250, 37–43. [Google Scholar] [CrossRef]
- Gupta Choudhury, S.; Srivastava, S.; Singh, R.; Chaudhari, S.K.; Sharma, D.K.; Singh, S.K.; Sarkar, D. Tillage and residue management effects on soil aggregation, organic carbon dynamics and yield attribute in rice–wheat cropping system under reclaimed sodic soil. Soil Tillage Res. 2014, 136, 76–83. [Google Scholar] [CrossRef]
- Xu, F.; Zhang, L.; Zhou, X.; Guo, X.; Zhu, Y.; Liu, M.; Xiong, H.; Jiang, P. The ratoon rice system with high yield and high efficiency in China: Progress, trend of theory and technology. Field Crop. Res. 2021, 272, 108282. [Google Scholar] [CrossRef]
- Chen, Q.; He, A.; Wang, W.; Peng, S.; Huang, J.; Cui, K.; Nie, L. Comparisons of regeneration rate and yields performance between inbred and hybrid rice cultivars in a direct seeding rice-ratoon rice system in central China. Field Crop. Res. 2018, 223, 164–170. [Google Scholar] [CrossRef]
- Ye, M.; Song, Y.; Baerson, S.R.; Long, J.; Wang, J.; Pan, Z.; Lin, W.; Zeng, R. Ratoon rice generated from primed parent plants exhibit enhanced herbivore resistance. Plant Cell Environ. 2017, 40, 779–787. [Google Scholar] [CrossRef]
- He, A.; Wang, W.; Jiang, G.; Sun, H.; Jiang, M.; Man, J.; Cui, K.; Huang, J.; Peng, S.; Nie, L. Source-sink regulation and its effects on the regeneration ability of ratoon rice. Field Crop. Res. 2019, 236, 155–164. [Google Scholar] [CrossRef]
- Xu, J.; Henry, A.; Sreenivasulu, N. Rice yield formation under high day and night temperatures—A prerequisite to ensure future food security. Plant Cell Environ. 2020, 43, 1595–1608. [Google Scholar] [CrossRef] [PubMed]
- Morita, S.; Nakano, H. Nonstructural Carbohydrate Content in the Stem at Full Heading Contributes to High Perfor-mance of Ripening in Heat-Tolerant Rice Cultivar Nikomaru. Crop Sci. 2011, 51, 818–828. [Google Scholar] [CrossRef]
- Yang, J.; Zhang, H.; Zhang, J. Root Morphology and Physiology in Relation to the Yield Formation of Rice. J. Integr. Agric. 2012, 11, 920–926. [Google Scholar] [CrossRef]
- Ambavaram, M.M.R.; Basu, S.; Krishnan, A.; Ramegowda, V.; Batlang, U.; Rahman, L.; Baisakh, N.; Pereira, A. Coordinated regulation of photosynthesis in rice increases yield and tolerance to environmental stress. Nat. Commun. 2014, 5, 5302. [Google Scholar] [CrossRef]






| Years | Treatments | Panicle Density | Spikelets per Panicle | Spikelet Filling Rate | 1000-Grain Weight | Grain Yield |
|---|---|---|---|---|---|---|
| (m−2) | (panicle−1) | (%) | (g) | (t∙ha−1) | ||
| 2021 | T1 | 243.13 ± 4.32 d | 168.79 ± 12.16 b | 76.55 ± 1.23 a | 27.12 ± 0.22 a | 7.92 ± 0.76 c |
| T2 | 248.29 ± 11.70 cd | 162.97 ± 3.91 b | 76.67 ± 0.73 a | 26.37 ± 0.12 b | 7.57 ± 0.34 c | |
| T3 | 250.03 ± 2.01 cd | 166.31 ± 2.50 b | 76.74 ± 2.60 a | 26.65 ± 0.31 ab | 8.16 ± 0.44 c | |
| T4 | 275.29 ± 6.67 a | 184.53 ± 5.49 a | 74.78 ± 1.93 a | 26.73 ± 0.40 ab | 9.52 ± 0.68 b | |
| T5 | 285.95 ± 3.07 a | 191.75 ± 3.80 a | 75.82 ± 2.34 a | 26.59 ± 0.09 ab | 10.49 ± 0.35 a | |
| T6 | 256.21 ± 6.42 bc | 171.84 ± 6.98 b | 74.01 ± 1.71 a | 26.71 ± 0.35 ab | 8.22 ± 0.36 c | |
| T7 | 263.42 ± 4.83 b | 170.09 ± 8.77 b | 73.84 ± 2.16 a | 26.81 ± 0.30 ab | 8.21 ± 0.72 c | |
| Treatments | ** | ** | ns | ns | ** | |
| 2022 | T1 | 240.85 ± 10.99 c | 171.16 ± 4.26 bc | 76.00 ± 2.44 a | 27.22 ± 0.14 a | 8.05 ± 0.32 b |
| T2 | 243.62 ± 7.01 c | 162.62 ± 1.18 c | 76.06 ± 2.24 a | 26.55 ± 0.32 bc | 7.47 ± 0.47 b | |
| T3 | 244.43 ± 5.68 c | 166.13 ± 1.28 bc | 76.53 ± 3.70 a | 26.29 ± 0.10 c | 7.73 ± 0.77 b | |
| T4 | 278.05 ± 3.07 a | 184.13 ± 7.79 a | 73.78 ± 1.70 a | 26.80 ± 0.16 b | 9.51 ± 0.25 a | |
| T5 | 286.68 ± 12.98 a | 188.78 ± 5.74 a | 76.02 ± 0.38 a | 26.45 ± 0.12 c | 10.21 ± 0.80 a | |
| T6 | 253.96 ± 5.76 bc | 172.94 ± 5.27 b | 73.90 ± 2.07 a | 26.43 ± 0.21 c | 7.96 ± 0.12 b | |
| T7 | 261.27 ± 8.18 b | 165.86 ± 2.90 bc | 73.20 ± 0.91 a | 26.6 ± 0.03 bc | 7.93 ± 0.32 b | |
| Treatments | ** | ** | ns | ** | ** | |
| Year | ns | ns | ns | ns | ns | |
| Years | Treatments | Panicle Density | Spikelets per Panicle | Spikelet Filling Rate | 1000-Grain Weight | Grain Yield |
|---|---|---|---|---|---|---|
| (m−2) | (panicle−1) | (%) | (g) | (t∙ha−1) | ||
| 2021 | T1 | 253.84 ± 4.09 c | 84.63 ± 3.36 a | 71.26 ± 1.99 a | 25.92 ± 0.49 a | 3.77 ± 0.13 a |
| T2 | 248.46 ± 5.55 c | 65.34 ± 2.17 c | 69.84 ± 2.43 a | 24.12 ± 0.06 c | 2.58 ± 0.18 c | |
| T3 | 252.57 ± 5.03 c | 62.99 ± 2.94 c | 70.12 ± 1.76 a | 24.03 ± 0.46 c | 2.56 ± 0.34 c | |
| T4 | 267.19 ± 5.14 ab | 71.20 ± 3.64 b | 70.69 ± 0.77 a | 24.64 ± 0.25 bc | 3.17 ± 0.20 b | |
| T5 | 270.62 ± 8.80 a | 73.03 ± 2.21 b | 69.78 ± 1.14 a | 24.90 ± 0.51 b | 3.26 ± 0.22 b | |
| T6 | 256.51 ± 6.35 bc | 71.88 ± 1.26 b | 70.98 ± 1.49 a | 24.03 ± 0.28 c | 2.98 ± 0.12 b | |
| T7 | 259.19 ± 4.69 bc | 71.03 ± 2.47 b | 70.24 ± 0.83 a | 24.39 ± 0.36 bc | 3.01 ± 0.10 b | |
| Treatments | ** | ** | ns | ns | ** | |
| 2022 | T1 | 254.35 ± 15.04 ab | 82.78 ± 2.55 a | 72.61 ± 2.09 a | 25.97 ± 0.55 a | 3.77 ± 0.21 a |
| T2 | 247.15 ± 12.57 b | 66.68 ± 3.51 c | 68.83 ± 1.90 b | 24.14 ± 0.22 bc | 2.61 ± 0.29 c | |
| T3 | 247.45 ± 6.26 b | 62.72 ± 0.69 d | 69.24 ± 0.72 b | 24.02 ± 0.39 bc | 2.43 ± 0.07 c | |
| T4 | 270.61 ± 4.95 a | 71.78 ± 1.85 b | 69.09 ± 1.03 b | 24.49 ± 0.38 b | 3.14 ± 0.17 b | |
| T5 | 271.50 ± 16.07 a | 73.90 ± 2.47 b | 70.56 ± 0.91 ab | 24.46 ± 0.09 b | 3.32 ± 0.29 b | |
| T6 | 256.05 ± 0.96 ab | 72.03 ± 1.73 b | 71.30 ± 0.64 ab | 23.70 ± 0.44 c | 2.98 ± 0.16 b | |
| T7 | 260.04 ± 10.43 ab | 70.80 ± 1.62 b | 71.91 ± 0.95 a | 24.28 ± 0.36 bc | 3.04 ± 0.06 b | |
| Treatments | ns | ** | * | ** | ** | |
| Year | ns | ns | ns | ns | ns | |
Disclaimer/Publisher’s Note: The statements, opinions and data contained in all publications are solely those of the individual author(s) and contributor(s) and not of MDPI and/or the editor(s). MDPI and/or the editor(s) disclaim responsibility for any injury to people or property resulting from any ideas, methods, instructions or products referred to in the content. |
© 2024 by the authors. Licensee MDPI, Basel, Switzerland. This article is an open access article distributed under the terms and conditions of the Creative Commons Attribution (CC BY) license (https://creativecommons.org/licenses/by/4.0/).
Share and Cite
Yang, T.; Zhang, H.; Li, F.; Yang, T.; Shi, Y.; Gu, X.; Chen, M.; Jiang, S. Optimized Tillage Method Increased Rice Yield in Rice Ratooning System. Agriculture 2024, 14, 1768. https://doi.org/10.3390/agriculture14101768
Yang T, Zhang H, Li F, Yang T, Shi Y, Gu X, Chen M, Jiang S. Optimized Tillage Method Increased Rice Yield in Rice Ratooning System. Agriculture. 2024; 14(10):1768. https://doi.org/10.3390/agriculture14101768
Chicago/Turabian StyleYang, Tingyu, Haiwei Zhang, Fukang Li, Ting Yang, Yuecheng Shi, Xinyi Gu, Mingshuai Chen, and Shuochen Jiang. 2024. "Optimized Tillage Method Increased Rice Yield in Rice Ratooning System" Agriculture 14, no. 10: 1768. https://doi.org/10.3390/agriculture14101768
APA StyleYang, T., Zhang, H., Li, F., Yang, T., Shi, Y., Gu, X., Chen, M., & Jiang, S. (2024). Optimized Tillage Method Increased Rice Yield in Rice Ratooning System. Agriculture, 14(10), 1768. https://doi.org/10.3390/agriculture14101768
