Effects of Supplementation with Essential Fatty Acids and Conjugated Linoleic Acids on Muscle Structure and Fat Deposition in Lactating Holstein Cows
Abstract
1. Introduction
2. Materials and Methods
2.1. Animals
2.2. Sampling
2.3. Nutrient and Fatty Acid Composition
2.4. Histological Analysis
2.5. Immunohistochemistry
2.6. Marbling of MLD
2.7. RNA Extraction and RT-qPCR
2.8. Protein Extraction and Western Blotting
2.9. Statistical Analysis
3. Results
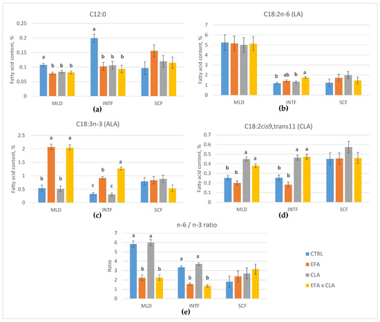
3.1. Fatty Acid Profiles in MLD and Adipose Tissues
3.2. Nutrient Composition and Marbling of MLD
3.3. Expression of Fat-Related Genes in MLD
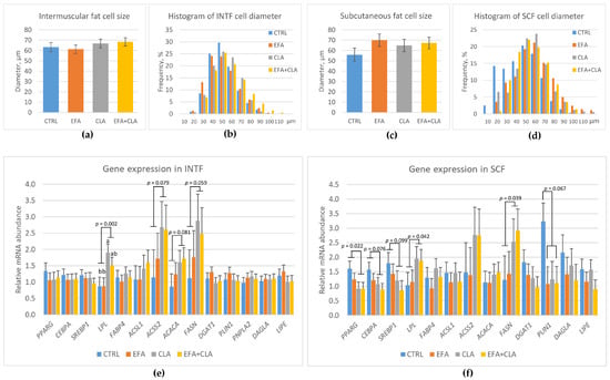
3.4. Fat Cell Size and Gene Expression in INTF and SCF
3.5. Muscle Fiber Structure and Fiber Type Composition in MLD
3.6. Protein Abundance of Myosin Isoforms and Gene Expression in the MLD
4. Discussion
5. Conclusions
Supplementary Materials
Author Contributions
Funding
Institutional Review Board Statement
Data Availability Statement
Acknowledgments
Conflicts of Interest
References
- Barkema, H.W.; von Keyserlingk, M.A.G.; Kastelic, J.P.; Lam, T.J.G.M.; Luby, C.; Roy, J.P.; LeBlanc, S.J.; Keefe, G.P.; Kelton, D.F. Changes in the dairy industry affecting dairy cattle health and welfare. J. Dairy Sci. 2015, 98, 7426–7445. [Google Scholar] [CrossRef]
- Chilliard, Y.; Ferlay, A.; Doreau, M. Effect of different types of forages, animal fat or marine oils in cow’s diet on milk fat secretion and composition, especially conjugated linoleic acid (CLA) and polyunsaturated fatty acids. Livest. Prod. Sci. 2001, 70, 31–48. [Google Scholar] [CrossRef]
- Kliem, K.E.; Morgan, R.; Humphries, D.J.; Shingfield, K.J.; Givens, D.I. Effect of replacing grass silage with maize silage in the diet on bovine milk fatty acid composition. Animal 2008, 2, 1850–1858. [Google Scholar] [CrossRef]
- Ponnampalam, E.N.; Mann, N.J.; Sinclair, A.J. Effect of feeding systems on omega-3 fatty acids, conjugated linoleic acid and trans fatty acids in Australian beef cuts: Potential impact on human health. Asia Pac. J. Clin. Nutr. 2006, 15, 21–29. [Google Scholar]
- Han, L.Y.; Zhou, H. Effects of ensiling processes and antioxidants on fatty acid concentrations and compositions in corn silages. J. Anim. Sci. Biotechnol. 2013, 4, Artn 48. [Google Scholar] [CrossRef][Green Version]
- Couvreur, S.; Hurtaud, C.; Marnet, P.G.; Faverdin, P.; Peyraud, J.L. Composition of milk fat from cows selected for milk fat globule size and offered either fresh pasture or a corn silage-based diet. J. Dairy Sci. 2007, 90, 392–403. [Google Scholar] [CrossRef]
- Lahlou, M.N.; Kanneganti, R.; Massingill, L.J.; Broderick, G.A.; Park, Y.; Pariza, M.W.; Ferguson, J.D.; Wu, Z. Grazing increases the concentration of CLA in dairy cow milk. Animal 2014, 8, 1191–1200. [Google Scholar] [CrossRef][Green Version]
- Palmquist, D.L. Essential Fatty Acids in Ruminant Diets. In Proceedings of the 21st Annual Ruminant Nutrition Symposium, Gainesville, FL, USA, 2–3 February 2010; pp. 127–141. [Google Scholar]
- Ponnampalam, E.N.; Sinclair, A.J.; Holman, B.W.B. The sources, synthesis and biological actions of Omega-3 and Omega-6 fatty acids in red meat: An overview. Foods 2021, 10, 1358. [Google Scholar] [CrossRef]
- Simopoulos, A.P. Essential fatty acids in health and chronic disease. Am. J. Clin. Nutr. 1999, 70 (Suppl. 3), 560S–569S. [Google Scholar] [CrossRef] [PubMed]
- Schoonjans, K.; Staels, B.; Auwerx, J. The peroxisome proliferator activated receptors (PPARs) and their effects on lipid metabolism and adipocyte differentiation. BBA-Lipids Lipid. Met. 1996, 1302, 93–109. [Google Scholar] [CrossRef] [PubMed]
- Varga, T.; Czimmerer, Z.; Nagy, L. PPARs are a unique set of fatty acid regulated transcription factors controlling both lipid metabolism and inflammation. BBA-Mol. Basis. Dis. 2011, 1812, 1007–1022. [Google Scholar] [CrossRef]
- Calder, P.C. Mechanisms of action of (n-3) fatty acids. J. Nutr. 2012, 142, 592S–599S. [Google Scholar] [CrossRef]
- Hardwick, J.P.; Eckman, K.; Lee, Y.K.; Abdelmegeed, M.A.; Esterle, A.; Chilian, W.M.; Chiang, J.Y.; Song, B.J. Eicosanoids in metabolic syndrome. Adv. Pharmacol. 2013, 66, 157–266. [Google Scholar] [CrossRef]
- Roach, J.A.G.; Mossoba, M.M.; Yurawecz, M.P.; Kramer, J.K.G. Chromatographic separation and identification of conjugated linoleic acid isomers. Anal. Chim. Acta 2002, 465, 207–226. [Google Scholar] [CrossRef]
- Bauman, D.E. Regulation of nutrient partitioning during lactation: Homeostasis and homeorhesis revisited. In Ruminant Physiology: Digestion, Metabolism, Growth And Reproduction; CABI Publishing: Wallingford, UK, 2000; pp. 311–328. [Google Scholar]
- Olzmann, J.A.; Carvalho, P. Dynamics and functions of lipid droplets. Nat. Rev. Mol. Cell Biol. 2019, 20, 137–155. [Google Scholar] [CrossRef]
- Frampton, J.; Murphy, K.G.; Frost, G.; Chambers, E.S. Short-chain fatty acids as potential regulators of skeletal muscle metabolism and function. Nat. Metab. 2020, 2, 840–848. [Google Scholar] [CrossRef]
- Jeromson, S.; Gallagher, I.J.; Galloway, S.D.; Hamilton, D.L. Omega-3 fatty acids and skeletal muscle health. Mar. Drugs 2015, 13, 6977–7004. [Google Scholar] [CrossRef]
- Baumgard, L.H.; Corl, B.A.; Dwyer, D.A.; Saebø, A.; Bauman, D.E. Identification of the conjugated linoleic acid isomer that inhibits milk fat synthesis. Am. J. Physiol. Regul. Integr. Comp. Physiol. 2000, 278, R179–R184. [Google Scholar] [CrossRef]
- Gnott, M.; Vogel, L.; Kröger-Koch, C.; Dannenberger, D.; Tuchscherer, A.; Tröscher, A.; Trevisi, E.; Stefaniak, T.; Bajzert, J.; Starke, A.; et al. Changes in fatty acids in plasma and association with the inflammatory response in dairy cows abomasally infused with essential fatty acids and conjugated linoleic acid during late and early lactation. J. Dairy Sci. 2020, 103, 11889–11910. [Google Scholar] [CrossRef]
- Haubold, S.; Kröger-Koch, C.; Starke, A.; Tuchscherer, A.; Tröscher, A.; Kienberger, H.; Rychlik, M.; Bernabucci, U.; Trevisi, E.; Hammon, H.M. Effects of abomasal infusion of essential fatty acids and conjugated linoleic acid on performance and fatty acid, antioxidative, and inflammatory status in dairy cows. J. Dairy Sci. 2020, 103, 972–991. [Google Scholar] [CrossRef]
- Haubold, S.; Kröger-Koch, C.; Tuchscherer, A.; Kanitz, E.; Weitzel, J.M.; Hoeflich, A.; Starke, A.; Tröscher, A.; Sauerwein, H.; Hammon, H.M. Effects of a combined essential fatty acid and conjugated linoleic acid abomasal infusion on metabolic and endocrine traits, including the somatotropic axis, in dairy cows. J. Dairy Sci. 2020, 103, 12069–12082. [Google Scholar] [CrossRef]
- Vogel, L.; Gnott, M.; Kröger-Koch, C.; Dannenberger, D.; Tuchscherer, A.; Tröscher, A.; Kienberger, H.; Rychlik, M.; Starke, A.; Bachmann, L.; et al. Effects of abomasal infusion of essential fatty acids together with conjugated linoleic acid in late and early lactation on performance, milk and body composition, and plasma metabolites in dairy cows. J. Dairy Sci. 2020, 103, 7431–7450. [Google Scholar] [CrossRef]
- Vogel, L.; Gnott, M.; Kröger-Koch, C.; Görs, S.; Weitzel, J.M.; Kanitz, E.; Hoeflich, A.; Tuchscherer, A.; Tröscher, A.; Gross, J.J.; et al. Glucose metabolism and the somatotropic axis in dairy cows after abomasal infusion of essential fatty acids together with conjugated linoleic acid during late gestation and early lactation. J. Dairy Sci. 2021, 104, 3646–3664. [Google Scholar] [CrossRef]
- Dannenberger, D.; Nuernberg, G.; Nuernberg, K.; Will, K.; Schauer, N.; Schmicke, M. Effects of diets supplemented with n-3 or n-6 PUFA on pig muscle lipid metabolites measured by non-targeted LC-MS lipidomic profiling. J. Food Compos. Anal. 2017, 56, 47–54. [Google Scholar] [CrossRef]
- Kalbe, C.; Priepke, A.; Nürnberg, G.; Dannenberger, D. Effects of long-term microalgae supplementation on muscle microstructure, meat quality and fatty acid composition in growing pigs. J. Anim. Physiol. Anim. Nutr. 2019, 103, 574–582. [Google Scholar] [CrossRef]
- Wegner, J.; Albrecht, E.; Fiedler, I.; Teuscher, F.; Papstein, H.J.; Ender, K. Growth- and breed-related changes of muscle fiber characteristics in cattle. J. Anim. Sci. 2000, 78, 1485–1496. [Google Scholar] [CrossRef]
- Albrecht, E.; Gotoh, T.; Ebara, F.; Xu, J.X.; Viergutz, T.; Nürnberg, G.; Maak, S.; Wegner, J. Cellular conditions for intramuscular fat deposition in Japanese Black and Holstein steers. Meat Sci. 2011, 89, 13–20. [Google Scholar] [CrossRef]
- Hellemans, J.; Mortier, G.; De Paepe, A.; Speleman, F.; Vandesompele, J. qBase relative quantification framework and software for management and automated analysis of real-time quantitative PCR data. Genome Biol. 2007, 8, R19. [Google Scholar] [CrossRef]
- DeLany, J.P.; Blohm, F.; Truett, A.A.; Scimeca, J.A.; West, D.B. Conjugated linoleic acid rapidly reduces body fat content in mice without affecting energy intake. Am. J. Physiol. 1999, 276, R1172–R1179. [Google Scholar] [CrossRef]
- Dugan, M.E.R.; Aalhus, J.L.; Schaefer, A.L.; Kramer, J.K.G. The effect of conjugated linoleic acid on fat to lean repartitioning and feed conversion in pigs. Can. J. Anim. Sci. 1997, 77, 723–725. [Google Scholar] [CrossRef]
- Loor, J.J.; Herbein, J.H. Exogenous conjugated linoleic acid isomers reduce bovine milk fat concentration and yield by inhibiting de novo fatty acid synthesis. J. Nutr. 1998, 128, 2411–2419. [Google Scholar] [CrossRef] [PubMed]
- Dahl, N.; Albrecht, E.; Dannenberger, D.; Uken, K.L.; Hammon, H.M.; Maak, S. Consequences of maternal essential fatty acid and conjugated linoleic acid supplementation on the development of calf muscle and adipose tissue. Animals 2020, 10, Artn 1598. [Google Scholar] [CrossRef]
- Uken, K.L.; Vogel, L.; Gnott, M.; Görs, S.; Schäff, C.T.; Tuchscherer, A.; Hoeflich, A.; Weitzel, J.M.; Kanitz, E.; Tröscher, A.; et al. Effect of maternal supplementation with essential fatty acids and conjugated linoleic acid on metabolic and endocrine development in neonatal calves. J. Dairy Sci. 2021, 104, 7295–7314. [Google Scholar] [CrossRef] [PubMed]
- Bobinski, R.; Bobinska, J. Fatty acids of human milk—A review. Int. J. Vitam Nutr. Res. 2022, 92, 280–291. [Google Scholar] [CrossRef]
- de Carvalho, C.; Caramujo, M.J. The various roles of fatty acids. Molecules 2018, 23, 2583. [Google Scholar] [CrossRef]
- Turk, S.N.; Smith, S.B. Carcass fatty acid mapping. Meat Sci. 2009, 81, 658–663. [Google Scholar] [CrossRef]
- Scollan, N.D.; Choi, N.J.; Kurt, E.; Fisher, A.V.; Enser, M.; Wood, J.D. Manipulating the fatty acid composition of muscle and adipose tissue in beef cattle. Br. J. Nutr. 2001, 85, 115–124. [Google Scholar] [CrossRef]
- Bauman, D.E.; Lock, A.L. Conjugated linoleic acid: Biosynthesis and nutritional significance. Adv. Dairy Chem. 2006, 2, 93–136. [Google Scholar]
- Nudda, A.; Palmquist, D.L.; Battacone, G.; Fancellu, S.; Rassu, S.P.G.; Pulina, G. Relationships between the contents of vaccenic acid, CLA and n-3 fatty acids of goat milk and the muscle of their suckling kids. Livest. Sci. 2008, 118, 195–203. [Google Scholar] [CrossRef]
- Zheng, J.S.; Sharp, S.J.; Imamura, F.; Koulman, A.; Schulze, M.B.; Ye, Z.; Griffin, J.; Guevara, M.; Huerta, J.M.; Kroger, J.; et al. Association between plasma phospholipid saturated fatty acids and metabolic markers of lipid, hepatic, inflammation and glycaemic pathways in eight European countries: A cross-sectional analysis in the EPIC-InterAct study. BMC Med. 2017, 15, 203. [Google Scholar] [CrossRef]
- Alves-Bezerra, M.; Cohen, D.E. Triglyceride metabolism in the liver. Compr. Physiol. 2017, 8, 1–8. [Google Scholar] [CrossRef]
- Nartey, M.N.N.; Shimizu, H.; Sugiyama, H.; Higa, M.; Syeda, P.K.; Nishimura, K.; Jisaka, M.; Yokota, K. Eicosapentaenoic acid induces the inhibition of adipogenesis by reducing the effect of PPARγ activator and mediating PKA activation and increased COX-2 expression in 3T3-L1 cells at the differentiation stage. Life 2023, 13, 1704. [Google Scholar] [CrossRef]
- Rosen, E.D.; Spiegelman, B.M. Adipocytes as regulators of energy balance and glucose homeostasis. Nature 2006, 444, 847–853. [Google Scholar] [CrossRef]
- von Soosten, D.; Meyer, U.; Piechotta, M.; Flachowsky, G.; Dänicke, S. Effect of conjugated linoleic acid supplementation on body composition, body fat mobilization, protein accretion, and energy utilization in early lactation dairy cows. J. Dairy Sci. 2012, 95, 1222–1239. [Google Scholar] [CrossRef] [PubMed]
- Kenéz, Á.; Kulcsár, A.; Kluge, F.; Benbelkacem, I.; Hansen, K.; Locher, L.; Meyer, U.; Rehage, J.; Dänicke, S.; Huber, K. Changes of adipose tissue morphology and composition during late pregnancy and early lactation in dairy cows. PLoS ONE 2015, 10, e0127208. [Google Scholar] [CrossRef]
- Cooke, R.F.; Bohnert, D.W.; Moriel, P.; Hess, B.W.; Mills, R.R. Effects of polyunsaturated fatty acid supplementation on ruminal in situ forage degradability, performance, and physiological responses of feeder cattle. J. Anim. Sci. 2011, 89, 3677–3689. [Google Scholar] [CrossRef]
- Zhang, H.; Dong, X.; Wang, Z.; Zhou, A.; Peng, Q.; Zou, H.; Xue, B.; Wang, L. Dietary conjugated linoleic acids increase intramuscular fat deposition and decrease subcutaneous fat deposition in Yellow Breed × Simmental cattle. Anim. Sci. J. 2016, 87, 517–524. [Google Scholar] [CrossRef]
- Huang, J.X.; Qi, R.L.; Chen, X.L.; You, X.Y.; Liu, X.Q.; Yang, F.Y.; Liu, Z.H. Improvement in the carcass traits and meat quality of growing-finishing Rongchang pigs by conjugated linoleic acid through altered gene expression of muscle fiber types. Genet. Mol. Res. 2014, 13, 7061–7069. [Google Scholar] [CrossRef]
- Farmer, S.R. Transcriptional control of adipocyte formation. Cell Metab. 2006, 4, 263–273. [Google Scholar] [CrossRef]
- Mu, T.; Hu, H.; Ma, Y.; Feng, X.; Zhang, J.; Gu, Y. Regulation of key genes for milk fat synthesis in ruminants. Front. Nutr. 2021, 8, 765147. [Google Scholar] [CrossRef]
- Yan, W.; Zhou, H.; Hu, J.; Luo, Y.; Hickford, J.G.H. Variation in the FABP4 gene affects carcass and growth traits in sheep. Meat Sci. 2018, 145, 334–339. [Google Scholar] [CrossRef]
- Yang, X.; Zhang, X.; Yang, Z.; Zhang, Q.; Hao, W.; Pang, Y.; Zhang, D.; Liu, D. Transcriptional regulation associated with subcutaneous adipogenesis in porcine ACSL1 gene. Biomolecules 2023, 13, 1057. [Google Scholar] [CrossRef]
- Zhang, L.; Lookene, A.; Wu, G.; Olivecrona, G. Calcium triggers folding of lipoprotein lipase into active dimers. J. Biol. Chem. 2005, 280, 42580–42591. [Google Scholar] [CrossRef]
- Daddam, J.R.; Hammon, H.M.; Tröscher, A.; Vogel, L.; Gnott, M.; Kra, G.; Levin, Y.; Sauerwein, H.; Zachut, M. Phosphoproteomic analysis of subcutaneous and omental adipose tissue reveals increased lipid turnover in dairy cows supplemented with conjugated linoleic acid. Int. J. Mol. Sci. 2021, 22, 3227. [Google Scholar] [CrossRef]
- Rosen, E.D.; Hsu, C.H.; Wang, X.; Sakai, S.; Freeman, M.W.; Gonzalez, F.J.; Spiegelman, B.M. C/EBPalpha induces adipogenesis through PPARgamma: A unified pathway. Genes Dev. 2002, 16, 22–26. [Google Scholar] [CrossRef]
- Yamasaki, M.; Yanagita, T. Adipocyte response to conjugated linoleic acid. Obes. Res. Clin. Pract. 2013, 7, e235–e242. [Google Scholar] [CrossRef]
- Pette, D.; Staron, R.S. Mammalian skeletal muscle fiber type transitions. Int. Rev. Cytol. 1997, 170, 143–223. [Google Scholar] [CrossRef]
- Pette, D.; Staron, R.S. Myosin isoforms, muscle fiber types, and transitions. Microsc. Res. Tech. 2000, 50, 500–509. [Google Scholar] [CrossRef]
- Schiaffino, S. Fibre types in skeletal muscle: A personal account. Acta Physiol. 2010, 199, 451–463. [Google Scholar] [CrossRef]
- Ramachandran, K.; Senagolage, M.D.; Sommars, M.A.; Futtner, C.R.; Omura, Y.; Allred, A.L.; Barish, G.D. Dynamic enhancers control skeletal muscle identity and reprogramming. PLoS Biol. 2019, 17, e3000467. [Google Scholar] [CrossRef]
- Huang, B.; Jiao, Y.; Zhu, Y.; Ning, Z.; Ye, Z.; Li, Q.X.; Hu, C.; Wang, C. Mdfi promotes C2C12 cell differentiation and positively modulates fast-to-slow-twitch muscle fiber transformation. Front. Cell Dev. Biol. 2021, 9, 605875. [Google Scholar] [CrossRef] [PubMed]
- Dumont, N.A.; Bentzinger, C.F.; Sincennes, M.C.; Rudnicki, M.A. Satellite cells and skeletal muscle regeneration. Compr. Physiol. 2015, 5, 1027–1059. [Google Scholar] [CrossRef]
- Kivelä, R.; Salmela, I.; Nguyen, Y.H.; Petrova, T.V.; Koistinen, H.A.; Wiener, Z.; Alitalo, K. The transcription factor Prox1 is essential for satellite cell differentiation and muscle fibre-type regulation. Nat. Commun. 2016, 7, 13124. [Google Scholar] [CrossRef]






| Supplementation Group | |||||||||||
|---|---|---|---|---|---|---|---|---|---|---|---|
| Nutrients, % | CTRL (n = 8) | EFA (n = 9) | CLA (n = 9) | EFA + CLA (n = 10) | Effect p-Value | ||||||
| LSM | SE | LSM | SE | LSM | SE | LSM | SE | EFA | CLA | EFA × CLA | |
| Net protein 1 | 19.34 | 0.40 | 18.70 | 0.37 | 18.77 | 0.36 | 19.50 | 0.36 | 0.889 | 0.700 | 0.027 |
| Protein | 19.85 | 0.34 | 19.92 | 0.31 | 19.71 | 0.32 | 20.16 | 0.30 | 0.360 | 0.852 | 0.498 |
| Fat | 2.39 | 0.54 | 2.63 | 0.50 | 3.69 | 0.51 | 3.18 | 0.48 | 0.772 | 0.048 | 0.409 |
| Ash | 1.01 | 0.01 | 1.01 | 0.01 | 0.99 | 0.01 | 0.99 | 0.01 | 0.783 | 0.129 | 0.722 |
| Water | 75.57 | 0.58 | 75.27 | 0.55 | 74.58 | 0.55 | 74.43 | 0.52 | 0.682 | 0.107 | 0.891 |
| Supplementation Group | |||||||||||
|---|---|---|---|---|---|---|---|---|---|---|---|
| Trait | CTRL (n = 8) | EFA (n = 9) | CLA (n = 9) | EFA + CLA (n = 10) | Effect p-Value | ||||||
| LSM | SE | LSM | SE | LSM | SE | LSM | SE | EFA | CLA | EFA × CLA | |
| CSA 1, mm2 | 66.3 | 3.8 | 64.3 | 3.5 | 60.5 | 3.7 | 58.9 | 3.4 | 0.569 | 0.080 | 0.957 |
| Total area of marbling flecks, mm2 | 253.2 | 74.1 | 270.9 | 68.5 | 319.4 | 72.8 | 246.8 | 66.4 | 0.660 | 0.728 | 0.457 |
| Number of marbling flecks | 436.9 | 62.2 | 447.2 | 58.6 | 558.2 | 62.2 | 459.8 | 55.6 | 0.466 | 0.271 | 0.369 |
| Fat area, % | 3.74 | 1.13 | 4.10 | 1.04 | 5.49 | 1.11 | 4.05 | 1.01 | 0.586 | 0.382 | 0.355 |
| Fleck size, mm2 | 0.58 | 0.11 | 0.51 | 0.10 | 0.54 | 0.10 | 0.51 | 0.10 | 0.511 | 0.748 | 0.827 |
| Apparent fat cell number in cross-section, ×103 | 207.7 | 39.6 | 157.4 | 37.9 | 186.6 | 39.2 | 136.2 | 37.2 | 0.059 | 0.399 | 0.997 |
| Supplementation Group | |||||||||||
|---|---|---|---|---|---|---|---|---|---|---|---|
| Trait | CTRL (n = 8) | EFA (n = 9) | CLA (n = 9) | EFA + CLA (n = 10) | Effect p-Value | ||||||
| LSM | SE | LSM | SE | LSM | SE | LSM | SE | EFA | CLA | EFA × CLA | |
| Total MF CSA, µm2 | 3079.8 | 333.6 | 2866.5 | 303.4 | 3137.2 | 308.5 | 3798.4 | 290.9 | 0.473 | 0.112 | 0.160 |
| Total MF number/mm2 | 341.1 | 32.4 | 388.8 | 30.5 | 344.4 | 30.5 | 286.0 | 28.9 | 0.862 | 0.114 | 0.093 |
| Apparent total MF number, ×106 | 2.239 ab | 0.221 | 2.489 a | 0.208 | 1.946 ab | 0.221 | 1.627 b | 0.198 | 0.870 | 0.011 | 0.190 |
| Nuclei per MF | 1.54 | 0.15 | 1.58 | 0.14 | 1.59 | 0.14 | 1.82 | 0.14 | 0.295 | 0.260 | 0.468 |
| MF Type I CSA, µm2 | 2076.6 | 166.9 | 1661.2 | 157.3 | 1843.8 | 157.3 | 2149.4 | 149.2 | 0.730 | 0.424 | 0.029 |
| MF Type I number/mm2 | 86.2 | 13.2 | 93.2 | 11.9 | 86.0 | 12.2 | 67.6 | 11.5 | 0.635 | 0.277 | 0.287 |
| Nuclei per MF Type I | 1.40 | 0.16 | 1.31 | 0.15 | 1.31 | 0.15 | 1.60 | 0.14 | 0.501 | 0.453 | 0.161 |
| MF Type IIa CSA, µm2 | 3053.8 | 375.3 | 3029.5 | 342.1 | 3223.2 | 347.5 | 4048.0 | 328.3 | 0.251 | 0.087 | 0.217 |
| MF Type IIa number/mm2 | 137.1 | 15.7 | 148.9 | 14.5 | 144.1 | 14.7 | 110.7 | 14.1 | 0.413 | 0.230 | 0.087 |
| Nuclei per MF Type IIa | 1.51 | 0.16 | 1.56 | 0.15 | 1.56 | 0.15 | 1.81 | 0.14 | 0.295 | 0.275 | 0.489 |
| MF Type IIb/x CSA, µm2 | 3610.9 | 401.0 | 3311.4 | 378.0 | 3782.3 | 378.0 | 4375.9 | 358.6 | 0.701 | 0.113 | 0.248 |
| MF Type IIb/x number/mm2 | 120.8 | 13.0 | 145.3 | 12.3 | 116.3 | 12.3 | 107.5 | 11.7 | 0.527 | 0.095 | 0.187 |
| Nuclei per MF Type IIb/x | 1.64 | 0.17 | 1.79 | 0.16 | 1.77 | 0.16 | 2.00 | 0.15 | 0.204 | 0.240 | 0.785 |
Disclaimer/Publisher’s Note: The statements, opinions and data contained in all publications are solely those of the individual author(s) and contributor(s) and not of MDPI and/or the editor(s). MDPI and/or the editor(s) disclaim responsibility for any injury to people or property resulting from any ideas, methods, instructions or products referred to in the content. |
© 2024 by the authors. Licensee MDPI, Basel, Switzerland. This article is an open access article distributed under the terms and conditions of the Creative Commons Attribution (CC BY) license (https://creativecommons.org/licenses/by/4.0/).
Share and Cite
Xiao, C.; Albrecht, E.; Dannenberger, D.; Kong, W.; Gu, H.; Hammon, H.M.; Maak, S. Effects of Supplementation with Essential Fatty Acids and Conjugated Linoleic Acids on Muscle Structure and Fat Deposition in Lactating Holstein Cows. Agriculture 2024, 14, 1720. https://doi.org/10.3390/agriculture14101720
Xiao C, Albrecht E, Dannenberger D, Kong W, Gu H, Hammon HM, Maak S. Effects of Supplementation with Essential Fatty Acids and Conjugated Linoleic Acids on Muscle Structure and Fat Deposition in Lactating Holstein Cows. Agriculture. 2024; 14(10):1720. https://doi.org/10.3390/agriculture14101720
Chicago/Turabian StyleXiao, Cheng, Elke Albrecht, Dirk Dannenberger, Weibo Kong, Hao Gu, Harald M. Hammon, and Steffen Maak. 2024. "Effects of Supplementation with Essential Fatty Acids and Conjugated Linoleic Acids on Muscle Structure and Fat Deposition in Lactating Holstein Cows" Agriculture 14, no. 10: 1720. https://doi.org/10.3390/agriculture14101720
APA StyleXiao, C., Albrecht, E., Dannenberger, D., Kong, W., Gu, H., Hammon, H. M., & Maak, S. (2024). Effects of Supplementation with Essential Fatty Acids and Conjugated Linoleic Acids on Muscle Structure and Fat Deposition in Lactating Holstein Cows. Agriculture, 14(10), 1720. https://doi.org/10.3390/agriculture14101720

