Evaluation of the Economic and Environmental Sustainability of Livestock Farms in Inland Areas
Abstract
:1. Introduction
2. Materials and Methods
2.1. Data Collection
2.2. Economic Analysis
- Sundry expenses: the amount of this item was calculated by multiplying the quantities purchased by the corresponding market prices in force in the areas under investigation. Specifically, these expenses included those for cultivation (costs for seeds, fuel and lubricants); those for animal breeding, i.e., purchases of medicinal and sanitary products, as well as professional services and consultancy; and expenses for off-farm feeding (feed, hay, straw, by-products, supplements, etc.);
- Quotas: represented the charges for the partial reintegration of capital assets. This item concerned those assets whose use was carried out in several production cycles and specifically concerned depreciation, maintenance and insurance. The annual depreciation rates have been calculated for both buildings and machinery and equipment. The calculation was made using the financial depreciation criterion to also consider the related interest. For machinery and equipment, the annual depreciation rate was obtained by subtracting the recovery value from the purchase value. The difference thus obtained was multiplied by a normalization coefficient (rqn/qn−1) [28]. In the case of buildings, the annual fee was calculated by multiplying the same normalization coefficient by the current reconstruction value. The maintenance and insurance quotas were obtained by applying a percentage (4%) to the purchase value of the machines and equipment, as well as to the reconstruction value of the buildings (2%). The cattle reintegration quota has not been calculated as the presence within the farms of the categories destined for replacement was sufficient to ensure a gradual replacement of breeding cattle;
- Labor: the cost of labor was not considered since it was only an implicit cost. In fact, as will be better specified in the descriptive part of the individual farms, the work was provided exclusively by the owner’s family;
- Interest on working capital: for machinery, equipment and buildings, these have been calculated together with the quotas [28]. The interest on livestock capital was calculated instead by multiplying the average annual interest rate of 4% by the average value of the herd during the year 2022;
- General expenses: they referred to water, electricity, duties and taxes, managerial work and land benefits. In particular, taxes and fees, electricity and water costs were obtained from the information provided directly by the interviewed entrepreneurs. Management expenses were calculated using a percentage of 3% on the TO, net of contributions from the CAP. The land benefit was obtained using the current average annual rent in the areas surveyed for similar funds.
2.3. Environmental Analysis
3. Results
3.1. Farms’ Description
- A total of 130 heads were present in OC FARM, of which 110 were adults (40 goats and 70 sheep) and 20 were aged between zero and one year (10 goats and 10 sheep). The sex ratio was one male to about nineteen adult females. The sheep and goats raised were of the mestizo type with an influence of selected breeds (camosciata delle Alpi and Valle del Belice);
- The herd with only cattle (B FARM) consisted of twenty heads divided as follows: fourteen reproducers, of which there was a 36-month-old bull; two calves aged between 1 and 2 years (one male and one female); four calves less than 1 year old. All the animals were of the mestizo type obtained by crossing the red-spotted breed with limousines and local cattle;
- The mixed breeding farm (M FARM) consisted of 64 heads, of which there were 48 goats, 9 sheep and 7 cattle. In particular, for the goats, there were 40 aged over one year and 8 aged less than one year. Among the adult goats, there were two males and the rest were calved goats. The sex ratio was one male to about twenty females. Among the sheep, four were less than one year old and five were adults, including a ram. As for the cattle, there were four cows and three calves. Both the cattle and the sheep and goats were mestizo animals obtained by crossing Alpine and Murcian breeds with local ones.
3.2. Profitability Analysis of Studied Livestock Farms
3.3. Economic Evaluation of Milk Processing
3.4. Results of the Environmental Analysis
4. Discussion
- OC FARM currently has family labor to be able to engage in the transformation of the milk but lacks a building area to build the dairy and the financial resources necessary for the construction;
- B FARM has both family workers to use in the cheese factory and owns a room that could be renovated and used for cheese making in order to further reduce costs;
- M FARM, on the other hand, did not show any interest in the higher margin that can be collected from the processing of the milk.
5. Conclusions
Author Contributions
Funding
Institutional Review Board Statement
Informed Consent Statement
Data Availability Statement
Acknowledgments
Conflicts of Interest
References
- De Falco, E.; Rigano, D.; Fico, V.; Vitti, A.; Barile, G.; Pergola, M. Spontaneous Officinal Plants in the Cilento, Vallo di Diano and Alburni National Park: Tradition, Protection, Enhancement, and Recovery. Plants 2023, 12, 465. [Google Scholar] [CrossRef] [PubMed]
- Cerrato, M.; Benincasa, G.; Iasi, A.; Pergola, M. Animal Husbandry in the Cilento, Vallo di Diano and Alburni National Park: An Economic-Structural Analysis for the Protection and Enhancement of the Territory and Local Resources. Sustainability 2023, 15, 7863. [Google Scholar] [CrossRef]
- NLR. Anagrafe Nazionale Zootecnica—Statistiche. Ministry of Health. 2022. Available online: https://www.vetinfo.it/j6_statistiche/#/ (accessed on 8 June 2023).
- Millennium Ecosystem Assessment (MEA). Ecosystems and Human Well-Being: Biodiversity Synthesis; Island Press: Washington, DC, USA, 2005. [Google Scholar]
- Hoffmann, I.; From, T.; Boerma, D.; Ecosystem Services Provided by Livestock Species and Breeds, with Special Consideration to the Contributions of Small-Scale Livestock Keepers and Pastoralists. Commission on Genetic Resources for Food and Agriculture. Background Study Paper No. 66 Rev.1. 2014. Available online: https://www.fao.org/fileadmin/templates/nr/documents/CGRFA/at598e.pdf (accessed on 15 June 2023).
- TEEB. The Economics of Ecosystems and Biodiversity: Ecological and Economic Foundations; Kumar, P., Ed.; Earthscan: London, UK; Washington, DC, USA, 2010. [Google Scholar]
- Leip, A.; Billen, G.; Garnier, J.; Grizzetti, B.; Lassaletta, L.; Reis, S.; Simpson, D.; Sutton, M.A.; de Vries, W.; Weiss, F.; et al. Impacts of European livestock production: Nitrogen, sulphur, phosphorus and greenhouse gas emissions, land-use, water eutrophication and biodiversity. Environ. Res. Lett. 2015, 10, 115004. [Google Scholar] [CrossRef]
- Von Greyerz, K.; Tidåker, P.; Karlsson, J.O.; Röös, E. A large share of climate impacts of beef and dairy can be attributed to ecosystem services other than food production. J. Environ. Manage. 2023, 325, 116400. [Google Scholar] [CrossRef] [PubMed]
- McClelland, S.C.; Arndt, C.; Gordon, D.R.; Thoma, G. Type and number of environmental impact categories used in livestock life cycle assessment: A systematic review. Livest. Sci. 2018, 209, 39–45. [Google Scholar] [CrossRef]
- Pergola, M.; Palese, A.M.; Persiani, A.; De Francesco, P.; Cirillo, C.; Giacca, G.M.; Maffia, A.; Celano, G. Mediterranean Cropping Systems: The Importance of Their Economic and Environmental Sustainability. Adv. Environ. Eng. Res. 2021, 2, 4. [Google Scholar] [CrossRef]
- De Backer, E.; Aertsens, J.; Vergucht, S.; Steurbaut, W. Assessing the ecological soundness of organic and conventional agriculture by means of life cycle assessment (LCA): A case study of leek production. Br. Food J. 2009, 10, 1028–1061. [Google Scholar] [CrossRef]
- Haas, G.; Wetterich, F.; Geier, U. Life cycle assessment framework in agriculture on the farm level. Int. J. Life Cycle Assess 2000, 5, 345–348. [Google Scholar] [CrossRef]
- Brentrup, F.; Küsters, J.; Kuhlmann, H.; Lammel, J. Application of the life cycle assessment methodology to agricultural production: An example of sugar beet production with different forms of nitrogen fertilizers. Eur. J. Agron. 2001, 14, 221–233. [Google Scholar] [CrossRef]
- Cederberg, C. Life Cycle Assessment (LCA) of Animal Production; Department of Applied Environmental Science, Göteborg University: Göteborg, Sweden, 2002. [Google Scholar]
- Brentrup, F.; Küsters, J.; Kuhlmann, H.; Lammel, J. Environmental impact assessment of agricultural production systems using the life cycle assessment methodology: I. theoretical concept of a LCA method tailored to crop production. Eur. J. Agron. 2004, 20, 247–264. [Google Scholar] [CrossRef]
- Stern, S.; Sonesson, U.; Gunnarsson, S.; Öborn, I.; Kumm, K.I.; Nybrant, T. Sustainable development of food production: A case study on scenarios for pig production. AMBIO A J. Hum. Environ. 2005, 34, 402–407. [Google Scholar] [CrossRef]
- Charles, R.; Jolliet, O.; Gaillard, G.; Pellet, D. Environmental analysis of intensity level in wheat crop production using life cycle assessment. Agric. Ecosyst. Environ. 2006, 113, 216–225. [Google Scholar] [CrossRef]
- Canals, L.M.; Burnip, G.M.; Cowell, S.J. Evaluation of the environmental impacts of apple production using life cycle assessment (LCA): Case study in New Zealand. Agric. Ecosyst. Environ. 2006, 114, 226–238. [Google Scholar] [CrossRef]
- O’Brien, D.; Markiewicz-Keszycka, M.; Herron, J. Environmental impact of grass-based cattle farms: A life cycle assessment of nature-based diversification scenarios. Sustain. Environ. Res. 2023, 14, 100126. [Google Scholar] [CrossRef]
- Xu, X.; Xu, Y.; Li, J.; Lu, Y.; Jenkins, A.; Ferrier, R.C.; Li, H.; Stenseth, N.C.; Hessen, D.O.; Zhang, L.; et al. Coupling of crop and livestock production can reduce the agricultural GHG emission from smallholder farms. iScience 2023, 26, 106798. [Google Scholar] [CrossRef]
- Lanzoni, L.; Whatford, L.; Atzori, A.S.; Chincarini, M.; Giammarco, M.; Fusaro, I.; Vignola, G. Review: The challenge to integrate animal welfare indicators into the Life Cycle Assessment. Anim. Biosci. 2023, 17, 100794. [Google Scholar] [CrossRef] [PubMed]
- Hemingway, C.; Vigne, M.; Aubron, C. Agricultural greenhouse gas emissions of an Indian village—Who’s to blame: Crops or livestock? Sci. Total Environ. 2023, 856, 159145. [Google Scholar] [CrossRef]
- Naranjo, A.M.; Sieverding, H.; Clay, D.; Kebreab, E. Carbon footprint of South Dakota dairy production system and assessment of mitigation options. PLoS ONE 2023, 18, 0269076. [Google Scholar] [CrossRef]
- Hu, Q.; Shi, H.; Wang, L.; Wang, L.; Hou, Y.; Wang, H.; Lai, C.; Zhang, S. Mitigating environmental impacts using net energy system in feed formulation in China’s pig production. Sci. Total Environ. 2023, 856, 159103. [Google Scholar] [CrossRef] [PubMed]
- Pardo, G.; Casas, R.; del Prado, A.; Manzano, P. Carbon footprint of transhumant sheep farms: Accounting for natural baseline emissions in Mediterranean systems. Int. J. Life Cycle Assess. 2023, 1–16. [Google Scholar] [CrossRef]
- Turner, I.; Heidari, D.; Widowski, T.; Pelletier, N. Development of a life cycle impact assessment methodology for animal welfare with an application in the poultry industry. Sustain. Prod. Consum. 2023, 40, 30–47. [Google Scholar] [CrossRef]
- ISMEA. Banca Dati Prezzi—Origine. 2023. Available online: https://www.ismeamercati.it/flex/cm/pages/ServeBLOB.php/L/IT/IDPagina/12378 (accessed on 10 May 2023).
- Sorbini, M.; Vannini, L. Esercitazioni di Economia Agrarian; Cooperativa Libraria Universitaria Editrice Bologna: Bologna, Italy, 1990. [Google Scholar]
- EN ISO 14044; Environmental Management, Life Cycle Assessment—Requirements and Guidelines. International Organization for Standardization (ISO): Geneva, Switzerland, 2006.
- EN ISO 14040; Environmental Management, Life Cycle Assessment—Principles and Framework. International Organization for Standardization (ISO): Geneva, Switzerland, 2006.
- Maffia, A.; Palese, A.M.; Pergola, M.; Altieri, G.; Celano, G. The Olive-Oil Chain of Salerno Province (Southern Italy): A Life Cycle Sustainability Framework. Horticulturae 2022, 8, 1054. [Google Scholar] [CrossRef]
- Maffia, A.; Pergola, M.; Palese, A.M.; Celano, G. Environmental impact assessment of organic vs. integrated olive-oil systems in Mediterranean context. Agronomy 2020, 10, 416. [Google Scholar] [CrossRef]
- Pergola, M.; Persiani, A.; Pastore, V.; Palese, A.M.; Arous, A.; Celano, G. A comprehensive life cycle assessment (LCA) of three apricot orchard systems located in Metapontino area (Southern Italy). J. Clean Prod. 2017, 142, 4059–4071. [Google Scholar] [CrossRef]
- Ecoinvent Version 3. 2016. Available online: https://ecoinvent.org/the-ecoinvent-database/data-releases/ecoinvent-3--3/696 (accessed on 15 July 2023).
- Dong, H.; Mangino, J.; McAllister, T.A. Agriculture, Forestry and Other Land Use—Chapter 10: Emissions from Livestock and Manure Management. In IPCC Guidelines for National Greenhouse Gas Inventories; Institute for Global Environmental Strategies: Hayama, Japan, 2006; Volume 4, pp. 1–87. Available online: https://www.ipcc-nggip.iges.or.jp/public/2006gl/pdf/4_Volume4/V4_10_Ch10_Livestock.pdf (accessed on 15 May 2023).
- Dong, H.; Mangino, J.; McAllister, T.A. Agriculture, Forestry and Other Land Use—Chapter 11: N2O Emissions from Managed Soils, and CO2 Emissions from Lime and Urea Application. In IPCC Guidelines for National Greenhouse Gas Inventories; Institute for Global Environmental Strategies: Hayama, Japan, 2006; Volume 4, pp. 1–54. Available online: https://www.ipcc-nggip.iges.or.jp/public/2006gl/pdf/4_Volume4/V4_11_Ch11_N2O&CO2.pdf (accessed on 18 May 2023).
- Gavrilova, O.; Leip, A.; Dong, H.; MacDonald, J.D.; Bravo, C.A.G.; Amon, B.; Rosales, R.B.; del Prado, A.; de Lima, M.A.; Oyhantçabal, W.; et al. 2019 Refinement to the 2006 IPCC Guidelines for National Greenhouse Gas Inventories. In Agriculture, Forestry and Other Land Use; Volume 4, Available online: https://www.researchgate.net/publication/337673216_Emissions_from_livestock_and_manure_management (accessed on 5 May 2023).
- Guinée, J.B.; Gorrée, M. Life Cycle Assessment: An Operational Guide to the ISO Standards; School of System Engineering, Policy Analysis and Management, Delft University of Technology: Delft, The Netherlands, 2001. [Google Scholar]
- Bragaglio, A.; Napolitano, F.; Pacelli, C.; Pirlo, G.; Sabia, E.; Serrapica, F.; Serrapica, M.; Braghieri, A. Environmental impacts of Italian beef production: A comparison between different systems. J. Clean. Prod. 2018, 172, 4033–4043. [Google Scholar] [CrossRef]
- Castanheira, É.G.; Dias, A.C.; Arroja, L.; Amaro, R. The environmental performance of milk production on a typical Portuguese dairy farm. Agric. Syst. 2010, 103, 498–507. [Google Scholar] [CrossRef]
- Dick, M.; Abreu da Silva, M.; Dewes, H. Life cycle assessment of beef cattle production in two typical grassland systems of southern Brazil. J. Clean. Prod. 2015, 96, 426–434. [Google Scholar] [CrossRef]
- Ruviaro, C.F.; de Léis, C.M.; Lampert, V.N.; Barcellos, J.O.J.; Dewes, H. Carbon footprint in different beef production systems on a southern Brazilian farm: A case study. J. Clean. Prod. 2015, 96, 435–443. [Google Scholar] [CrossRef]
- Fassio, G.; Battaglini, L.M.; Porcellana, V.; Viazzo, P.P. The Role of the Family in Mountain Pastoralism-Change and Continuity. Mt. Res. Dev. 2014, 34, 336–343. [Google Scholar] [CrossRef]
- Salvatore, D.; Cerrato, M. Fermo ma non inerte. Agricoltura e zootecnia del Cilento alla prova dell’intervento pubblico straordinario (1945–1992). Quad. Arch. Stor. 2021, 1, 129–170. [Google Scholar]
- Bragaglio, A.; Braghieri, A.; Pacelli, C.; Napolitano, F. Environmental Impacts of Beef as Corrected for the Provision of Ecosystem Services. Sustainability 2020, 12, 3828. [Google Scholar] [CrossRef]
- Pelletier, N.; Pirog, R.; Rasmussen, R. Comparative life cycle environmental impacts of three beef production strategies in the Upper Midwestern United States. Agric. Syst. 2010, 103, 380–389. [Google Scholar] [CrossRef]
- Bernués, A.; Ruiz, R.; Olaizola, A.; Villalba, D.; Casasús, I. Sustainability of pasture-based livestock farming systems in the European Mediterranean context: Synergies and trade-offs. Livest. Sci. 2011, 139, 44–57. [Google Scholar] [CrossRef]
- Ripoll-Bosch, R.; de Boer, I.J.M.; Bernués, A.; Vellinga, T.V. Accounting for multi-functionality of sheep farming in the carbon footprint of lamb: A comparison of three contrasting Mediterranean systems. Agric. Syst. 2013, 116, 60–68. [Google Scholar] [CrossRef]
- Plieninger, T.; Höchtl, F.; Spek, T. Traditional land-use and nature conservation in European rural landscapes. Environ. Sci. Policy 2006, 9, 317–321. [Google Scholar] [CrossRef]
- Casasús, I.; Bernués, A.; Sanz, A.; Villalba, D.; Riedel, J.L.; Revilla, R. Vegetation dynamics in Mediterranean forest pastures as affected by beef cattle grazing. Agric. Ecosyst. Environ. 2007, 121, 365–370. [Google Scholar] [CrossRef]
- Benton, T.G.; Vickery, J.A.; Wilson, J.D. Farmland biodiversity: Is habitat heterogeneity the key? Trends Ecol. Evol. 2003, 18, 182–188. [Google Scholar] [CrossRef]
- Braghieri, A.; Pacelli, C.; Bragaglio, A.; Sabia, E.; Napolitano, F. The hidden costs of livestock environmental sustainability: The case of Podolian cattle. In The Sustainability of Agro-Food and Natural Resource Systems in the Mediterranean Basin; Vastola, A., Ed.; Springer: Cham, Switzerland, 2015. [Google Scholar]
- Kramer, K.; Groen, T.A.; van Wieren, S.E. The interacting effects of ungulates and fire on forest dynamics: An analysis using the model FORSPACE. For. Ecol. Manag. 2003, 181, 205–222. [Google Scholar] [CrossRef]



| OC FARM | B FARM | M FARM | |
|---|---|---|---|
| Human labor (h/year) | 927 | 1267 | 628 |
| Diesel (kg/year) | 1581 | 1870 | 301 |
| Water (m3/year) | 300 | 255 | 195 |
| Feed (kg/year) | 11,700 | 16,200 | 6120 |
| Hay (kg/year) | 36,800 | 40,500 | 24,500 |
| Source | Pollutant | Equations | Emission Factor * | Reference |
|---|---|---|---|---|
| Enteric fermentation | CH4 | CH4 = N heads · EF1 | EF1 for sheep high productivity systems: 9 | Gavrilova et al. [37]—Tier 1 |
| EF1 for dairy cattle in Western Europe: 126 | ||||
| EF1 for other cattle in Western Europe: 52 | ||||
| Manure management | CH4 | CH4 = [Σ(N · VS · AWMS · EF2)/1000] | VS for sheep in Western Europe: 8.2 | Gavrilova et al. [37]—Tier 1 |
| VS for goats in Western Europe: 9 | ||||
| VS for dairy cattle in Western Europe: 7.5 | ||||
| VS for other cattle in Western Europe: 5.7 | ||||
| AWMS pasture/range/paddock for sheep (meat) in Western Europe: 0.87 | ||||
| AWMS pasture/range/paddock for sheep (dairy) in Western Europe: 0.78 | ||||
| AWMS pasture/range/paddock for goats in Western Europe: 0.72 | ||||
| AWMS pasture/range/paddock for dairy cattle in Western Europe: 0.26 | ||||
| AWMS pasture/range/paddock for not dairy cattle: 0.48 | ||||
| EF2 solid storage temperate climate zone for sheep: 5.1 | ||||
| EF2 solid storage temperate climate zone for goats: 4.8 | ||||
| EF2 solid storage temperate climate zone for dairy cattle: 6.4 | ||||
| EF2 solid storage temperate climate zone for non-dairy cattle: 4.8 | ||||
| Managed soils | Direct N2O | N2O = [Σ (FON · EF3 + FPRP · EF4)] · 44/28 | EF3: 0.01 | IPCC [35]—Tier 1 |
| EF4 for cattle (dairy, non-dairy): 0.02 | ||||
| EF4 for sheep and “other animals”: 0.01 | ||||
| N volatilized from managed soils | Indirect N2O | N2Oind = [((FON + FPRP) · FracGASM) · EF5)] · 44/28 | EF5: 0.01 | IPCC [36]—Tier 1 |
| FracGASM: 0.20 |
| OC FARM | B FARM | M FARM | |
|---|---|---|---|
| Altitude (m a.s.l.) | 350 | 700 | 700 |
| Farm extension (ha) | 15: 3 owned and 12 rented | 19: 10 owned and 9 rented | 10: 4 owned and 6 rented |
| Technical–economic orientation | Cereal fodder with a zootechnical orientation | Cereal fodder with a zootechnical orientation | Cereal fodder with a zootechnical orientation |
| State-owned pasture (ha) | 15 | 40 | 60 |
| Water sources | 2 farm wells + natural springs | 6 company wells + natural springs + rural aqueduct | 2 company wells + natural springs + rural aqueduct |
| Annual Work Units (AWU) | 3 | 2 | 2 |
| AWU full-time | 1 | 1 | 1 |
| OC FARM | B FARM | M FARM | |
|---|---|---|---|
| Breeds | Goats: local mestizos and alpine type; sheep: local mestizos, with rams of the Belice valley breed | Cattle: Pied Red crossbred with limousine male | Sheep and cattle: local mestizos; goats: local mestizos, crossings with subjects of the Murciana breed |
| Number of animals | 130: 80 sheep; 50 goats | 20 cattle | 64: 9 sheep; 48 goats; 7 cattle |
| ABU * | 20 | 17 | 13 |
| Farming system | Semi-extensive | Semi-extensive | Semi-extensive |
| Replacement | Internal | Internal and external | Internal |
| OC FARM | B FARM | M FARM | |||||||
|---|---|---|---|---|---|---|---|---|---|
| EUR per farm | EUR per ABU * | % | EUR per farm | EUR per ABU* | % | EUR per farm | EUR per ABU * | % | |
| Products sold | 9300 | 465 | 57% | 7400 | 435 | 21% | 5550 | 427 | 20% |
| Gross profit of the stable | 0 | 0 | 0% | 1480 | 87 | 4% | 1200 | 92 | 4% |
| CAP contributions | 6965 | 348 | 43% | 25,952 | 1527 | 75% | 21,630 | 1664 | 76% |
| Total Output | 16,265 | 813 | 100% | 34,832 | 2049 | 100% | 28,380 | 2183 | 100% |
| Livestock feed expenses | 2200 | 110 | 14% | 7220 | 425 | 25% | 3290 | 253 | 13% |
| Veterinary and health expenses | 1800 | 90 | 11% | 1300 | 76 | 4% | 1150 | 88 | 5% |
| Costs for forage farming | 955 | 48 | 6% | 2640 | 155 | 9% | 3000 | 231 | 12% |
| Variable costs | 4955 | 248 | 31% | 11,160 | 656 | 38% | 7440 | 572 | 29% |
| Quotas and interests (machinery, equipment and property) | 4038 | 202 | 26% | 10,561 | 621 | 36% | 10,964 | 843 | 43% |
| Livestock capital interest | 1520 | 76 | 10% | 1368 | 80 | 5% | 730 | 56 | 3% |
| Rent and grazing fee | 750 | 38 | 5% | 1800 | 106 | 6% | 1640 | 126 | 7% |
| Overheads (management+taxes+other expenses) | 4529 | 226 | 29% | 4516 | 266 | 15% | 4453 | 343 | 18% |
| Fixed costs | 10,837 | 542 | 69% | 18,245 | 1073 | 62% | 17,787 | 1368 | 71% |
| Total costs | 15,792 | 790 | 100% | 29,405 | 1730 | 100% | 25,227 | 1941 | 100% |
| Gross profit (TO-VC) | 11,310 | 566 | 23,672 | 1392 | 20,940 | 1611 | |||
| Net income (TO-TC) | 473 | 24 | 5427 | 319 | 3154 | 243 | |||
| OC FARM | B FARM | M FARM | ||||
|---|---|---|---|---|---|---|
| EUR per Farm | EUR per ABU * | EUR per farm | EUR per ABU * | EUR per farm | EUR per ABU * | |
| Total output (TO) | 9300 | 465 | 8880 | 522 | 6750 | 519 |
| Variable costs | 4955 | 248 | 11,160 | 656 | 7440 | 572 |
| Fixed costs | 10,837 | 542 | 18,245 | 1073 | 17,787 | 1368 |
| Total costs | 15,792 | 790 | 29,405 | 1730 | 25,227 | 1941 |
| Gross profit (TO-CV) | 4345 | 217 | −2280 | −134 | −690 | −53 |
| Net income (TO-CT) | −6492 | −325 | −20,525 | −1207 | −18,477 | −1421 |
| kg | EUR | |
|---|---|---|
| Milk processed in 2022 | 12,600 | |
| Values of products sold (cheese and ricotta) | 18,600 | |
| Dairy depreciation quota | 819 | |
| Equipment depreciation quota | 462 | |
| Dairy maintenance and insurance quota | 1600 | |
| Equipment maintenance and insurance quota | 880 | |
| General management expense | 6100 | |
| Management | 558 | |
| Labor (implicit cost) | 0 | |
| Total costs | 10,419 | |
| Net income | 8181 | |
| Value of processed products per kg of milk | 1.48 | |
| Cost of processing per kg of milk | 0.83 |
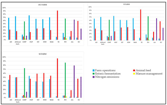
| Impact Category | Unit | Total | Farm Operations | Animal Feed | Enteric Fermentation | Manure Management | Nitrogen Emissions |
|---|---|---|---|---|---|---|---|
| OC FARM | |||||||
| AD | kg Sb eq | 0 | 0.1 | 0.0 | 0.0 | 0.0 | 0.0 |
| ADfossil fuels | MJ | 156,798 | 114,646.8 | 42,150.8 | 0.0 | 0.0 | 0.0 |
| GWP | kg CO2 eq | 57,111 | 9078.2 | 5850.0 | 32,760.0 | 2268.0 | 7155.0 |
| OLP | kg CFC-11 eq | 0 | 0.0 | 0.0 | 0.0 | 0.0 | 0.0 |
| HT | kg 1.4-DB eq | 8580 | 5566.4 | 2991.2 | 0.0 | 0.0 | 22.8 |
| FEW | kg 1.4-DB eq | 6831 | 4376.5 | 2454.9 | 0.0 | 0.0 | 0.0 |
| MAE | kg 1.4-DB eq | 11,474,436 | 8,025,201.0 | 3,449,235.2 | 0.0 | 0.0 | 0.0 |
| TE | kg 1.4-DB eq | 321 | 28.0 | 292.7 | 0.0 | 0.0 | 0.0 |
| PO | kg C2H4 eq | 11 | 2.2 | 0.9 | 7.0 | 0.5 | 0.0 |
| AA | kg SO2 eq | 580 | 56.1 | 158.9 | 0.0 | 0.0 | 364.8 |
| EU | kg PO4—eq | 251 | 16.1 | 147.4 | 0.0 | 0.0 | 87.1 |
| B FARM | |||||||
| AD | kg Sb eq | 0 | 0.1 | 0.1 | 0.0 | 0.0 | 0.0 |
| ADfossil fuels | MJ | 193,925 | 135,562.5 | 58,362.7 | 0.0 | 0.0 | 0.0 |
| GWP | kg CO2 eq | 81,275 | 10,734.3 | 8100.0 | 50,232.0 | 1344.0 | 10,865.0 |
| OLP | kg CFC-11 eq | 0 | 0.0 | 0.0 | 0.0 | 0.0 | 0.0 |
| HT | kg 1.4-DB eq | 10,759 | 6582.0 | 4141.6 | 0.0 | 0.0 | 35.1 |
| FEW | kg 1.4-DB eq | 8574 | 5174.9 | 3399.1 | 0.0 | 0.0 | 0.0 |
| MAE | kg 1.4-DB eq | 14,265,147 | 9,489,282.5 | 4,775,864.1 | 0.0 | 0.0 | 0.0 |
| TE | kg 1.4-DB eq | 438 | 33.1 | 405.3 | 0.0 | 0.0 | 0.0 |
| PO | kg C2H4 eq | 15 | 2.6 | 1.2 | 10.8 | 0.3 | 0.0 |
| AA | kg SO2 eq | 848 | 66.3 | 220.0 | 0.0 | 0.0 | 561.6 |
| EU | kg PO4—eq | 357 | 19.0 | 204.1 | 0.0 | 0.0 | 133.9 |
| M FARM | |||||||
| AD | kg Sb eq | 0 | 0.0 | 0.0 | 0.0 | 0.0 | 0.0 |
| ADfossil fuels | MJ | 43,885 | 21,837.0 | 22,048.1 | 0.0 | 0.0 | 0.0 |
| GWP | kg CO2 eq | 47,659 | 1729.1 | 3060.0 | 34,608.0 | 1372.0 | 6890.0 |
| OLP | kg CFC-11 eq | 0 | 0.0 | 0.0 | 0.0 | 0.0 | 0.0 |
| HT | kg 1.4-DB eq | 2647 | 1060.2 | 1564.6 | 0.0 | 0.0 | 22.3 |
| FEW | kg 1.4-DB eq | 2118 | 833.6 | 1284.1 | 0.0 | 0.0 | 0.0 |
| MAE | kg 1.4-DB eq | 3,332,788 | 1,528,573.1 | 1,804,215.3 | 0.0 | 0.0 | 0.0 |
| TE | kg 1.4-DB eq | 158 | 5.3 | 153.1 | 0.0 | 0.0 | 0.0 |
| PO | kg C2H4 eq | 9 | 0.4 | 0.5 | 7.4 | 0.3 | 0.0 |
| AA | kg SO2 eq | 451 | 10.7 | 83.1 | 0.0 | 0.0 | 356.8 |
| EU | kg PO—eq | 165 | 3.1 | 77.1 | 0.0 | 0.0 | 85.1 |
Disclaimer/Publisher’s Note: The statements, opinions and data contained in all publications are solely those of the individual author(s) and contributor(s) and not of MDPI and/or the editor(s). MDPI and/or the editor(s) disclaim responsibility for any injury to people or property resulting from any ideas, methods, instructions or products referred to in the content. |
© 2023 by the authors. Licensee MDPI, Basel, Switzerland. This article is an open access article distributed under the terms and conditions of the Creative Commons Attribution (CC BY) license (https://creativecommons.org/licenses/by/4.0/).
Share and Cite
Cerrato, M.; Iasi, A.; Di Bennardo, F.; Pergola, M. Evaluation of the Economic and Environmental Sustainability of Livestock Farms in Inland Areas. Agriculture 2023, 13, 1708. https://doi.org/10.3390/agriculture13091708
Cerrato M, Iasi A, Di Bennardo F, Pergola M. Evaluation of the Economic and Environmental Sustainability of Livestock Farms in Inland Areas. Agriculture. 2023; 13(9):1708. https://doi.org/10.3390/agriculture13091708
Chicago/Turabian StyleCerrato, Michele, Allegra Iasi, Federica Di Bennardo, and Maria Pergola. 2023. "Evaluation of the Economic and Environmental Sustainability of Livestock Farms in Inland Areas" Agriculture 13, no. 9: 1708. https://doi.org/10.3390/agriculture13091708
APA StyleCerrato, M., Iasi, A., Di Bennardo, F., & Pergola, M. (2023). Evaluation of the Economic and Environmental Sustainability of Livestock Farms in Inland Areas. Agriculture, 13(9), 1708. https://doi.org/10.3390/agriculture13091708

