Effect of Agricultural Production Trusteeship on Agricultural Carbon Emission Reduction
Abstract
1. Introduction
2. Literature Review and Theoretical Framework
2.1. Literature Review
2.1.1. The Definition of Carbon Sources and the Measurement of Carbon Emission
2.1.2. Relationship between Agricultural Socialized Services and Agricultural Carbon Emission Reduction
2.1.3. Literature Review and the Main Contributions of This Paper
2.2. Theoretical Framework
2.2.1. Effect of Chemical Fertilizers Reduction
2.2.2. Effect of Pesticides Reduction
2.2.3. Effect of Diesel Oil Reduction
2.2.4. Effect of Manpower Reduction
3. Data Sources, Measurement Model and Variable Selection
3.1. Data Sources
3.2. Measurement Model
3.3. Variable Selection
3.3.1. The Explained Variable
3.3.2. The Core Explanatory Variable
3.3.3. Control Variables
4. Empirical Test on Agricultural Production Trusteeship’s Promoting Effect on Carbon Emission Reduction
4.1. Logit Model Estimation of Farm Households’ Decision-Making in Purchasing Agricultural Production Trusteeship Services
4.2. Common Support Domain and Balance Test
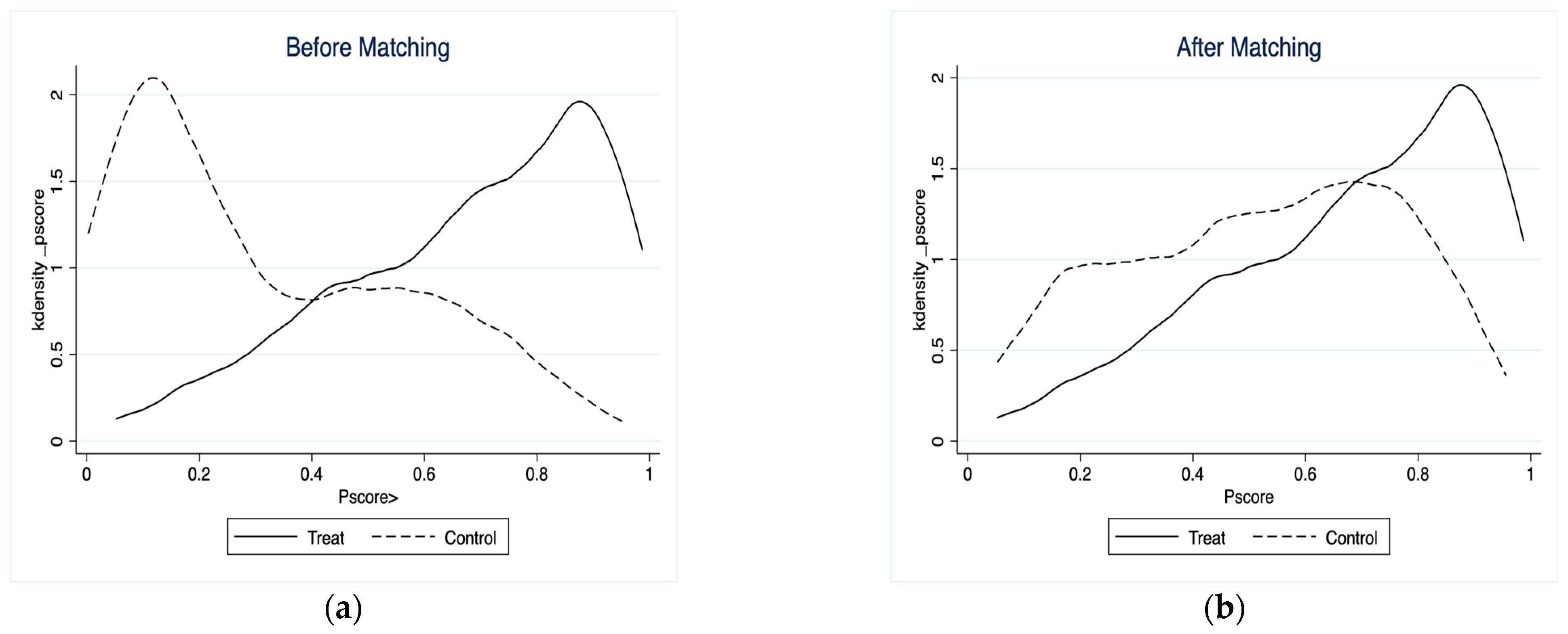
4.2.1. Common Support Domain
4.2.2. Balance Test
4.3. The Test of Agricultural Production Trusteeship’s Effect on Promoting Agricultural Carbon Emission Reduction
4.3.1. Overall Effect of Agricultural Production Trusteeship on Promoting Agricultural Carbon Emission Reduction
4.3.2. Effect of Agricultural Production Trusteeship on Promoting Carbon Emission Reduction of Different Carbon Sources
4.4. Heterogeneity of the Effect of Agricultural Production Trusteeship on Promoting Agricultural Carbon Emission Reduction
4.4.1. Heterogeneity of Carbon Emission Reduction Effect on Different Production Links
4.4.2. Heterogeneity of the Carbon Emission Reduction Effects of the Farm Households with Different Factor Endowments
- Impact of agricultural production trusteeship on carbon emission reduction for the farm households with different capital endowment
- 2.
- Impact of agricultural production trusteeship on carbon emission reduction for the farm households with different land endowments
5. Conclusions and Implications
5.1. Conclusions
5.2. Implications
Author Contributions
Funding
Institutional Review Board Statement
Data Availability Statement
Conflicts of Interest
References
- Huang, R.J.; Zhang, Y.; Bozzetti, C.; Ho, K.F.; Cao, J.J.; Han, Y.; Daellenbach, K.R.; Slowik, J.G.; Platt, S.M.; Canonaco, F.; et al. High secondary aerosol contribution to particulate pollution during haze events in China. Nature 2014, 514, 218–222. [Google Scholar] [CrossRef]
- Zheng, H.; Ma, J.; Yao, Z.; Hu, F. How Does Social Embeddedness Affect Farmers’ Adoption Behavior of Low-Carbon Agricultural Technology? Evidence From Jiangsu Province, China. Front. Environ. Sci. 2022, 10, 909803. [Google Scholar] [CrossRef]
- Huang, X.; Xu, X.; Wang, Q.; Zhang, L.; Gao, X.; Chen, L. Assessment of Agricultural Carbon Emissions and Their Spatiotemporal Changes in China, 1997–2016. Int. J. Environ. Res. Public Health 2019, 16, 3105. [Google Scholar] [CrossRef] [PubMed]
- Zhang, X.; Wang, C.; Liu, X.; Wu, J. Tax pressure, farmland management, and agricultural carbon abatement: Empirical evidence from tax-and-fees reform in rural China. Front. Environ. Sci. 2022, 10, 1037248. [Google Scholar] [CrossRef]
- Fan, M.; Shen, J.; Yuan, L.; Jiang, R.; Chen, X.; Davies, W.J.; Zhang, F. Improving crop productivity and resource use efficiency to ensure food security and environmental quality in China. J. Exp. Bot. 2012, 63, 13–24. [Google Scholar] [CrossRef] [PubMed]
- Du, K.; Li, J. Towards a green world: How do green technology innovations affect total-factor carbon productivity. Energy Policy 2019, 131, 240–250. [Google Scholar] [CrossRef]
- He, P.; Zhang, J.; Li, W. The role of agricultural green production technologies in improving low-carbon efficiency in China: Necessary but not effective. J. Environ. Manag. 2021, 293, 112837. [Google Scholar] [CrossRef]
- Rigg, J.; Salamanca, A.; Phongsiri, M.; Sripun, M. More farmers, less farming? Understanding the truncated agrarian transition in Thailand. World Dev. 2018, 107, 327–337. [Google Scholar] [CrossRef]
- Manda, J.; Khonje, M.G.; Alene, A.D.; Tufa, A.H.; Abdoulaye, T.; Mutenje, M.; Setimela, P.; Manyong, V. Does cooperative membership increase and accelerate agricultural technology adoption? Empirical evidence from Zambia. Technol. Forecast. Soc. Chang. 2020, 158, 120160. [Google Scholar] [CrossRef]
- Mao, H.; Zhou, L.; Ying, R.; Pan, D. Time Preferences and green agricultural technology adoption: Field evidence from rice farmers in China. Land Use Policy 2021, 109, 105627. [Google Scholar] [CrossRef]
- Ma, L.; Wang, Y.; Teng, Y. Evolutionary game analysis of stakeholders under the whole process trusteeship mode of agricultural production. Kybernetes 2022, 51, 2877–2901. [Google Scholar] [CrossRef]
- West, T.O.; Marland, G. A synthesis of carbon sequestration, carbon emissions, and net carbon flux in agriculture: Comparing tillage practices in the United States. Agric. Ecosyst. Environ. 2002, 91, 217–232. [Google Scholar] [CrossRef]
- Wang, R.; Zhang, Y.; Zou, C. How does agricultural specialization affect carbon emissions in China? J. Clean. Prod. 2022, 370, 133463. [Google Scholar] [CrossRef]
- Boeckx, P.; Van Nieuland, K.; Van Cleemput, O. Short-term effect of tillage intensity on N2O and CO2 emissions. Agron. Sustain. Dev. 2011, 31, 453–461. [Google Scholar] [CrossRef]
- Zou, X.; Li, Y.E.; Li, K.; Cremades, R.; Gao, Q.; Wan, Y.; Qin, X. Greenhouse gas emissions from agricultural irrigation in China. Mitig. Adapt. Strateg. Glob. Change 2013, 20, 295–315. [Google Scholar] [CrossRef]
- Johnson, J.M.; Franzluebbers, A.J.; Weyers, S.L.; Reicosky, D.C. Agricultural opportunities to mitigate greenhouse gas emissions. Environ. Pollut. 2007, 150, 107–124. [Google Scholar] [CrossRef]
- Yu, L.; Liu, S.; Wang, F.; Liu, Y.; Liu, H.; Wang, Q.; Tran, L.S.P.; Dong, Y.; Li, W. Strategies for agricultural production management based on land, water and carbon footprints on the Qinghai-Tibet Plateau. J. Clean. Prod. 2022, 362, 132563. [Google Scholar] [CrossRef]
- Pandey, D.; Agrawal, M.; Pandey, J.S. Carbon footprint: Current methods of estimation. Environ. Monit. Assess. 2011, 178, 135–160. [Google Scholar] [CrossRef] [PubMed]
- Dong, G.; Mao, X.; Zhou, J.; Zeng, A. Carbon footprint accounting and dynamics and the driving forces of agricultural production in Zhejiang Province, China. Ecol. Econ. 2013, 91, 38–47. [Google Scholar] [CrossRef]
- Su, B.; Ang, B.W.; Li, Y. Input-output and structural decomposition analysis of Singapore’s carbon emissions. Energy Policy 2017, 105, 484–492. [Google Scholar] [CrossRef]
- Brentrup, F.; Küsters, J.; Kuhlmann, H.; Lammel, J. Environmental impact assessment of agricultural production systems using the life cycle assessment methodology. Eur. J. Agron. 2004, 20, 247–264. [Google Scholar] [CrossRef]
- Weber, C.L.; Matthews, H.S. Quantifying the global and distributional aspects of American household carbon footprint. Ecol. Econ. 2008, 66, 379–391. [Google Scholar] [CrossRef]
- Hamilton, J.; Sidebottom, J. Mountain Pesticide Education and Safety Outreach program: A model for community collaboration to enhance on-farm safety and health. N. C. Med. J. 2011, 72, 471–473. [Google Scholar] [CrossRef] [PubMed]
- Zhang, S.; Sun, Z.; Ma, W.; Valentinov, V. The effect of cooperative membership on agricultural technology adoption in Sichuan, China. China Econ. Rev. 2020, 62, 101334. [Google Scholar] [CrossRef]
- Micha, E.; Tsakiridis, A.; Ragkos, A.; Buckley, C. Assessing the effect of soil testing on chemical fertilizer use intensity: An empirical analysis of phosphorus fertilizer demand by Irish dairy farmers. J. Rural Stud. 2023, 97, 186–191. [Google Scholar] [CrossRef]
- Ehler, L.E. Integrated pest management (IPM): Definition, historical development and implementation, and the other IPM. Pest. Manag. Sci. 2006, 62, 787–789. [Google Scholar] [CrossRef] [PubMed]
- Małgorzata, H.; Kowalska, J.; Jakubowska, M. Reducing Carbon Footprint of Agriculture—Can Organic Farming Help to Mitigate Climate Change? Agriculture 2022, 12, 1383. [Google Scholar] [CrossRef]
- Wang, Y.; Yang, J.; Duan, C. Research on the Spatial-Temporal Patterns of Carbon Effects and Carbon-Emission Reduction Strategies for Farmland in China. Sustainability 2023, 15, 10314. [Google Scholar] [CrossRef]
- Alam, M.Z.; Crump, A.R.; Haque, M.M.; Islam, M.S.; Hossain, E.; Hasan, S.B.; Hasan, S.B.; Hossain, M.S. Effects of Integrated Pest Management on Pest Damage and Yield Components in a Rice Agro-Ecosystem in the Barisal Region of Bangladesh. Front. Environ. Sci. 2016, 4, 22. [Google Scholar] [CrossRef]
- Midingoyi, S.K.G.; Kassie, M.; Muriithi, B.; Diiro, G.; Ekesi, S. Do Farmers and the Environment Benefit from Adopting Integrated Pest Management Practices? Evidence from Kenya. J. Agric. Econ. 2018, 70, 452–470. [Google Scholar] [CrossRef]
- Wu, F.; Zhai, L.; Xu, P.; Zhang, Z.B.; Baillo, E.H.; Tolosa, L.N.; Kimotho, R.N.; Jia, X.L.; Guo, H.Q. Effects of deep vertical rotary tillage on the grain yield and resource use efficiency of winter wheat in the Huang-Huai-Hai Plain of China. J. Integr. Agric. 2021, 20, 593–605. [Google Scholar] [CrossRef]
- Adnan, N.; Nordin, S.M.; Bahruddin, M.A.; Tareq, A.H. A state-of-the-art review on facilitating sustainable agriculture through green fertilizer technology adoption: Assessing farmers behavior. Trends Food Sci. Technol. 2019, 86, 439–452. [Google Scholar] [CrossRef]
- Macintosh, K.A.; Chin, J.; Jacobs, B.; Cordell, D.; McDowell, R.W.; Butler, P.; Haygarth, P.M.; Williams, P.; Quinn, J.P.; O’Flaherty, V.; et al. Transforming phosphorus use on the island of Ireland: A model for a sustainable system. Sci. Total Environ. 2019, 656, 852–861. [Google Scholar] [CrossRef] [PubMed]
- Sun, Y.; Hu, R.; Zhang, C. Does the adoption of complex fertilizers contribute to fertilizer overuse? Evidence from rice production in China. J. Clean. Prod. 2019, 219, 677–685. [Google Scholar] [CrossRef]
- Li, S.; Zhu, Z.; Dai, Z.; Duan, J.; Wang, D.; Feng, Y. Temporal and Spatial Differentiation and Driving Factors of China’s Agricultural Eco-Efficiency Considering Agricultural Carbon Sinks. Agriculture 2022, 12, 1726. [Google Scholar] [CrossRef]
- Sun, S.; Hu, R.; Zhang, C. Pest control practices, information sources, and correct pesticide use: Evidence from rice production in China. Ecol. Indic. 2021, 129, 107895. [Google Scholar] [CrossRef]
- Chowdhury, J.; Al Basir, F.; Takeuchi, Y.; Ghosh, M.; Roy, P.K. A mathematical model for pest management in Jatropha curcas with integrated pesticides—An optimal control approach. Ecol. Complex. 2019, 37, 24–31. [Google Scholar] [CrossRef]
- Ali, M.P.; Bari, M.N.; Haque, S.S.; Kabir, M.M.M.; Afrin, S.; Nowrin, F.; Islam, M.S.; Landis, D.A. Establishing next-generation pest control services in rice fields: Eco-agriculture. Sci. Rep. 2019, 9, 10180. [Google Scholar] [CrossRef]
- Qing, C.; Zhou, W.; Song, J. Impact of outsourced machinery services on farmers’ green production behavior: Evidence from Chinese rice farmers. J. Environ. Manag. 2023, 327, 116843. [Google Scholar] [CrossRef]
- Li, J.; Rodriguez, D.; Tang, X. Effects of land lease policy on changes in land use, mechanization and agricultural pollution. Land Use Policy 2017, 64, 405–413. [Google Scholar] [CrossRef]
- Zhang, X.; Yang, J.; Thomas, R. Mechanization outsourcing clusters and division of labor in Chinese agriculture. China Econ. Rev. 2017, 43, 184–195. [Google Scholar] [CrossRef]
- Belton, B.; Win, M.T.; Zhang, X.; Filipski, M. The rapid rise of agricultural mechanization in Myanmar. Food Policy 2021, 101, 102095. [Google Scholar] [CrossRef]
- Yan, M.; Cheng, K.; Luo, T.; Yan, Y.; Pan, G.; Rees, R.M. Carbon footprint of grain crop production in China—Based on farm survey data. J. Clean. Prod. 2015, 104, 130–138. [Google Scholar] [CrossRef]
- Liu, D.; Zhu, X.; Wang, Y. China’s agricultural green total factor productivity based on carbon emission: An analysis of evolution trend and influencing factors. J. Clean. Prod. 2021, 278, 123692. [Google Scholar] [CrossRef]
- Li, J.; Li, S.; Liu, Q.; Ding, J. Agricultural carbon emission efficiency evaluation and influencing factors in Zhejiang province, China. Front. Environ. Sci. 2022, 10, 1005251. [Google Scholar] [CrossRef]
- Gan, Y.; Liang, C.; Chai, Q.; Lemke, R.L.; Campbell, C.A.; Zentner, R.P. Improving farming practices reduces the carbon footprint of spring wheat production. Nat. Commun. 2014, 5, 5012. [Google Scholar] [CrossRef] [PubMed]
- Fabbri, C.; Dalla Marta, A.; Napoli, M.; Orlandini, S.; Verdi, L. Short-term Response of Greenhouse Gas Emissions from Precision Fertilization on Barley. Agronomy 2022, 13, 96. [Google Scholar] [CrossRef]
- Cillis, D.; Maestrini, B.; Pezzuolo, A.; Marinello, F.; Sartori, L. Modeling soil organic carbon and carbon dioxide emissions in different tillage systems supported by precision agriculture technologies under current climatic conditions. Soil Tillage Res. 2018, 183, 51–59. [Google Scholar] [CrossRef]
- Pretty, J.; Bharucha, Z.P. Integrated Pest Management for Sustainable Intensification of Agriculture in Asia and Africa. Insects 2015, 6, 152–182. [Google Scholar] [CrossRef]
- Brown, R.M.; Dillon, C.R.; Schieffer, J.; Shockley, J.M. The carbon footprint and economic impact of precision agriculture technology on a corn and soybean farm. J. Environ. Econ. Policy 2015, 5, 335–348. [Google Scholar] [CrossRef]
- Naher, U.A.; Biswas, J.C.; Maniruzzaman, M.; Khan, F.H.; Sarkar, M.I.U.; Jahan, A.; Hera, M.H.R.; Hossain, M.B.; Islam, A.; Islam, M.R.; et al. Bio-Organic Fertilizer: A Green Technology to Reduce Synthetic N and P Fertilizer for Rice Production. Front. Plant. Sci. 2021, 12, 602052. [Google Scholar] [CrossRef] [PubMed]
- Pishgar-Komleh, S.H.; Ghahderijani, M.; Sefeedpari, P. Energy consumption and CO2 emissions analysis of potato production based on different farm size levels in Iran. J. Clean. Prod. 2012, 33, 183–191. [Google Scholar] [CrossRef]
- Wu, Y.; Xi, X.; Tang, X.; Luo, D.; Gu, B.; Lam, S.K.; Vitousek, P.M.; Chen, D. Policy distortions, farm size, and the overuse of agricultural chemicals in China. Proc. Natl. Acad. Sci. USA 2018, 115, 7010–7015. [Google Scholar] [CrossRef]


| Carbon Source | Carbon Emission Factor | Source of Coefficient |
|---|---|---|
| Chemical fertilizer | 0.8956 kg/kg | T. O. West, Oak Ridge National Laboratory |
| Pesticide | 4.9341 kg/kg | Oak Ridge National Laboratory |
| Agricultural diesel oil | 0.5927 kg/kg | IPCC |
| Manual input | 10.5 kg/man-day | IPCC |
| Variable Name | Variable Description | Mean Value | Standard Deviation |
|---|---|---|---|
| Explained variable | |||
| Agricultural carbon emissions | Average carbon emission per mu of wheat (kg/mu) | 42.666 | 5.072 |
| Explanatory variable | |||
| Whether to purchase agricultural production trusteeship services | Whether to purchase agricultural production trusteeship services: Yes = 1; No = 0 | 0.422 | 0.494 |
| Control variable | |||
| Age | Age (years) | 55.271 | 10.016 |
| Level of education | Education level: primary school and below = 1; junior high school = 2; secondary school and technical secondary school = 3; college and above = 4 | 1.592 | 0.669 |
| Proportion of food income | Proportion of food income in total household income: [0, 10%) = 1; [10%, 20%) = 2; [20%, 30%) = 3; [30%, 50%) = 4; 50% and above = 5 | 2.749 | 1.484 |
| Type of agricultural machinery | Household-owned farm machinery type (types) | 1.283 | 1.798 |
| Number of labor force | Number of labor force in the household | 2.991 | 0.693 |
| Concurrent-business situation | Whether family members went out for work or business in the past year: Yes = 1; No = 0 | 0.710 | 0.454 |
| Operating scale | Area of wheat planted by the farmer (mu) | 22.556 | 113.556 |
| Degree of land fragmentation | Number of plots in which the farmer grows wheat/scale of operation | 0.529 | 0.475 |
| Land quality | Self-assessment of cultivated land quality: poor = 1; average = 2; good = 3 | 2.286 | 0.652 |
| Do relatives and friends have civil servants | Whether relatives and friends work as civil servants: Yes = 1; No = 0 | 0.415 | 0.493 |
| Does the family member Working in an agribusiness | Do family members work in agricultural enterprises: Yes = 1; No = 0 | 0.080 | 0.271 |
| Join a cooperative or not | Has the family joined the cooperative: Yes = 1; No = 0 | 0.456 | 0.498 |
| Index | Coefficient | Standard Deviation | Z Value |
|---|---|---|---|
| Age | 0.022 *** | 0.007 | 2.90 |
| Level of education | 0.480 *** | 0.113 | 4.26 |
| Proportion of food income | −0.179 *** | 0.059 | −3.04 |
| Type of agricultural machinery | −0.376 *** | 0.052 | −7.20 |
| Number of labor force | −0.141 | 0.114 | −1.23 |
| part-time business situation | 0.683 *** | 0.176 | 3.87 |
| Operating scale | 0.0001 | 0.001 | 0.08 |
| Degree of land fragmentation | −3.091 *** | 0.321 | −9.62 |
| Land quality | −0.244 ** | 0.106 | −2.31 |
| Do relatives and friends work as civil servants | 0.649 *** | 0.214 | 3.04 |
| Do family members work in leading enterprises | −0.115 | 0.275 | −0.42 |
| Join a cooperative or not | 1.376 *** | 0.206 | 6.67 |
| Constant term | −0.289 | 0.754 | −0.38 |
| LR statistics | 404.87 | ||
| Pseudo | 0.2387 | ||
| Sample Size | 1245 | ||
| Matching Method | Pseudo | LR Statistics | p-Value | Mean Deviation (%) | Median Deviation (%) |
|---|---|---|---|---|---|
| Before Matching | 0.228 | 385.97 | 0.000 | 26.8 | 16.6 |
| K-Nearest Neighbor Matching | 0.004 | 6.36 | 0.897 | 3.6 | 3.4 |
| Caliper Matching | 0.008 | 11.13 | 0.518 | 4.8 | 3.8 |
| Core matching | 0.007 | 10.20 | 0.599 | 4.9 | 4.0 |
| Local linear regression matching | 0.010 | 14.55 | 0.267 | 5.7 | 3.9 |
| Spline matching | 0.010 | 14.55 | 0.267 | 5.7 | 3.9 |
| Matching Method | K-Nearest Neighbor Matching | Caliper Matching | Core Matching | Local Linear Regression Matching | Spline Matching | Mean Value |
|---|---|---|---|---|---|---|
| Total carbon emissions | ||||||
| Experimental group | 38.785 | 38.785 | 38.785 | 38.785 | 38.785 | 38.785 |
| Control group | 45.878 | 45.777 | 45.840 | 45.888 | 46.078 | 45.892 |
| ATT | −7.092 *** (0.394) | −6.991 *** (0.261) | −7.054 *** (0.296) | −7.103 *** (0.287) | −7.293 *** (0.285) | −7.107 |
| Matching Method | K-Nearest Neighbor Matching | Caliper Matching | Core Matching | Local Linear Regression Matching | Spline Matching | Mean Value |
|---|---|---|---|---|---|---|
| Carbon emission of chemical fertilizers | ||||||
| Experimental group | 27.219 | 27.219 | 27.219 | 27.219 | 27.219 | 27.219 |
| Control group | 31.745 | 31.645 | 31.670 | 31.710 | 31.826 | 31.719 |
| ATT | −4.527 *** (0.275) | −4.426 *** (0.220) | −4.481 *** (0.227) | −4.491 *** (0.214) | −4.607 *** (0.218) | −4.506 |
| Carbon emission of agricultural chemicals | ||||||
| Experimental group | 1.869 | 1.869 | 1.869 | 1.869 | 1.869 | 1.869 |
| Control group | 2.171 | 2.175 | 2.175 | 2.178 | 2.182 | 2.176 |
| ATT | −0.301 *** (0.013) | −0.306 *** (0.009) | −0.305 *** (0.010) | −0.309 *** (0.010) | −0.313 *** (0.009) | 0.307 |
| Carbon Emission of agricultural diesel oil | ||||||
| Experimental group | 4.453 | 4.453 | 4.453 | 4.453 | 4.453 | 4.453 |
| Control group | 4.740 | 4.735 | 4.742 | 4.733 | 4.728 | 4.736 |
| ATT | −0.286 *** (0.037) | −0.281 *** (0.023) | −0.289 *** (0.027) | −0.279 *** (0.027) | −0.275 *** (0.024) | −0.282 |
| Carbon emission of manpower input | ||||||
| Experimental group | 5.244 | 5.244 | 5.244 | 5.244 | 5.244 | 5.244 |
| Control group | 7.222 | 7.222 | 7.223 | 7.268 | 7.342 | 7.255 |
| ATT | −1.978 *** (0.143) | −1.978 *** (0.111) | −1.980 *** (0.114) | −2.024 *** (0.114) | −2.098 *** (0.123) | −2.012 |
| Matching Method | K-Nearest Neighbor Matching | Caliper Matching | Core Matching | Local Linear Regression Matching | Spline Matching | Mean Value |
|---|---|---|---|---|---|---|
| The agricultural material supply link | ||||||
| Experimental group | 37.770 | 37.770 | 37.770 | 37.770 | 37.770 | 37.770 |
| Control group | 43.213 | 43.320 | 43.311 | 43.338 | 43.300 | 43.296 |
| ATT | −5.442 *** (0.436) | −5.550 *** (0.317) | −5.540 *** (0.325) | −5.568 *** (0.343) | −5.530 *** (0.333) | −5.530 |
| The ploughing, sowing and harvesting link | ||||||
| Experimental group | 40.907 | 40.907 | 40.907 | 40.907 | 40.907 | 40.907 |
| Control group | 46.430 | 46.790 | 46.748 | 46.497 | 46.729 | 46.639 |
| ATT | −5.522 *** (0.442) | −5.883 *** (0.325) | −5.841 *** (0.312) | −5.590 *** (0.319) | −5.822 *** (0.352) | −5.732 |
| The field management link | ||||||
| Experimental group | 38.215 | 38.215 | 38.215 | 38.215 | 38.215 | 38.215 |
| Control group | 44.375 | 44.392 | 44.404 | 44.358 | 44.346 | 44.375 |
| ATT | −6.160 *** (0.422) | −6.176 *** (0.300) | −6.189 *** (0.325) | −6.143 *** (0.328) | −6.131 *** (0.279) | −6.160 |
| Grouping Variables | K-Nearest Neighbor Matching | Caliper Matching | Core Matching | Local Linear Regression Matching | Spline Matching | Mean Value | |
|---|---|---|---|---|---|---|---|
| Types of agricultural machinery | |||||||
| 0–1 type | Experimental group | 39.538 | 39.538 | 39.538 | 39.538 | 39.538 | 39.538 |
| Control group | 46.690 | 46.667 | 46.630 | 46.454 | 46.650 | 46.618 | |
| ATT | −7.152 *** (0.437) | −7.129 *** (0.334) | −7.092 *** (0.337) | −7.026 *** (0.343) | −7.111 *** (0.322) | −7.102 | |
| More than one types | Experimental group | 38.362 | 38.362 | 38.362 | 38.362 | 38.3621 | 38.362 |
| Control group | 45.185 | 44.952 | 44.959 | 44.937 | 44.10 | 44.827 | |
| ATT | −6.823 *** (0.509) | −6.590 *** (0.455) | −6.597 *** (0.479) | −6.576 *** (0.455) | −6.548 *** (0.434) | −6.627 | |
| Operation scale | |||||||
| Below 7 mu | Experimental group | 39.510 | 39.510 | 39.510 | 39.510 | 39.510 | 39.510 |
| Control group | 46.322 | 46.308 | 46.300 | 46.158 | 46.320 | 46.282 | |
| ATT | −6.812 *** (0.459) | −6.798 *** (0.341) | −6.790 *** (0.363) | −6.648 *** (0.355) | −6.810 *** (0.380) | −6.772 | |
| 7 mu and Above | Experimental group | 38.954 | 38.954 | 38.954 | 38.954 | 38.954 | 38.954 |
| Control group | 44.763 | 45.751 | 44.701 | 45.041 | 44.964 | 45.044 | |
| ATT | −5.810 *** (0.538) | −5.797 *** (0.478) | −5.747 *** (0.461) | −6.087 *** (0.409) | −6.010 *** (0.472) | −5.890 | |
Disclaimer/Publisher’s Note: The statements, opinions and data contained in all publications are solely those of the individual author(s) and contributor(s) and not of MDPI and/or the editor(s). MDPI and/or the editor(s) disclaim responsibility for any injury to people or property resulting from any ideas, methods, instructions or products referred to in the content. |
© 2023 by the authors. Licensee MDPI, Basel, Switzerland. This article is an open access article distributed under the terms and conditions of the Creative Commons Attribution (CC BY) license (https://creativecommons.org/licenses/by/4.0/).
Share and Cite
Sun, X.; Guang, S.; Cao, J.; Zhu, F.; Liu, J.; Sriboonchitta, S. Effect of Agricultural Production Trusteeship on Agricultural Carbon Emission Reduction. Agriculture 2023, 13, 1457. https://doi.org/10.3390/agriculture13071457
Sun X, Guang S, Cao J, Zhu F, Liu J, Sriboonchitta S. Effect of Agricultural Production Trusteeship on Agricultural Carbon Emission Reduction. Agriculture. 2023; 13(7):1457. https://doi.org/10.3390/agriculture13071457
Chicago/Turabian StyleSun, Xiaoyan, Shuya Guang, Jingjing Cao, Fengying Zhu, Jianxu Liu, and Songsak Sriboonchitta. 2023. "Effect of Agricultural Production Trusteeship on Agricultural Carbon Emission Reduction" Agriculture 13, no. 7: 1457. https://doi.org/10.3390/agriculture13071457
APA StyleSun, X., Guang, S., Cao, J., Zhu, F., Liu, J., & Sriboonchitta, S. (2023). Effect of Agricultural Production Trusteeship on Agricultural Carbon Emission Reduction. Agriculture, 13(7), 1457. https://doi.org/10.3390/agriculture13071457

