Plastic Contaminant Detection in Aerial Imagery of Cotton Fields Using Deep Learning
Abstract
1. Introduction
2. Materials and Methods
2.1. Experiment Site
2.2. Data Acquisition
2.3. Image Data Preparation
2.4. YOLOv5 Architecture
2.5. YOLOv5 Training, Performance Metrics, and Desirability Function
2.6. Experiment Design
3. Results
3.1. Overall Performance of YOLOv5 for Plastic Bag Detection in Cotton Field
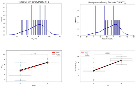
3.2. Color Effect Tests
3.3. Model Type Effect Tests
3.4. Desirability Function as Optimization Method
3.5. Plastic Bag Height Effect Test
4. Discussion
4.1. Overall Performance of YOLOv5
4.2. Effect of Color of Bags on YOLOv5 Performance
4.3. Effect of Model Type
4.4. Optimal Model
4.5. Effect of Plastic Bag Height
4.6. Limitations
5. Conclusions
6. Future Work
Author Contributions
Funding
Institutional Review Board Statement
Data Availability Statement
Acknowledgments
Conflicts of Interest
References
- Robbins, R.F. New Extraneous Matter Code for Plastic Contaminants in Cotton Samples, Memphis, TN, USA. 2018. Available online: https://mymarketnews.ams.usda.gov/sites/default/files/resources/2018-08/New%20Extraneous%20Matter%20Code%20for%20Plastic%20Contaminants%20in%20Cotton%20Samples_0.pdf (accessed on 8 July 2023).
- Pelletier, M.G.; Holt, G.A.; Wanjura, J.D. A Cotton Module Feeder Plastic Contamination Inspection System. AgriEngineering 2020, 2, 280–293. [Google Scholar] [CrossRef]
- Whitelock, D.; Pelletier, M.; Thomasson, A.; Buser, M.; Xu, B.; Delhom, C.; Hardin, R. Current University and USDA Lab Cotton Contamination Research. Beltwide Cotton Conferences. 2018, pp. 516–520. Available online: http://www.cotton.org/beltwide/proceedings/2005-2019/data/conferences/2018/papers/18518.pdf#page=1 (accessed on 4 June 2021).
- Himmelsbach, D.S.; Hellgeth, J.W.; McAlister, D.D. Development and use of an Attenuated Total Reflectance/Fourier Transform Infrared (ATR/FT-IR) spectral database to identify foreign matter in cotton. J. Agric. Food Chem. 2006, 54, 7405–7412. [Google Scholar] [CrossRef] [PubMed]
- Wanjura, J.; Pelletier, M.; Ward, J.; Hardin, B.; Barnes, E. Prevention of Plastic Contamination When Handling Cotton Modules; Cotton Incorporated: Cary, NC, USA, 2020; pp. 1–10. [Google Scholar]
- Yadav, P.K.; White, E.L.; Thomasson, J.A.; Cholula, U.; Marconi, T.; Enciso, J. Application of UAV Remote Sensing for Detecting Plastic Contaminants in Cotton Fields. In Proceedings of the Beltwide Cotton Conferences, Austin, TX, USA, 8–10 January 2020; pp. 817–823. [Google Scholar]
- Blake, C.; Sui, C.; Yang, R. UAV-Based Multispectral Detection of Plastic Debris In Cotton Fields. In Proceedings of the 2020 Beltwide Cotton Conferences, Austin, TX, USA, 8–10 January 2020; Volume 53, pp. 560–564. [Google Scholar]
- Byler, R.K.; Boykin, J.C.; Hardin, R.G. 2013: Removal of Plastic Sheet Material with Normal Cotton Ginning Equipment. In Proceedings of the Beltwide Cotton Conferences, San Antonio, TX, USA, 7–10 January 2013; pp. 676–685. [Google Scholar]
- Hardin, R.G.; Byler, R.K. Removal of sheet plastic materials from seed cotton using a cylinder cleaner. J. Cotton Sci. 2016, 20, 375–385. [Google Scholar] [CrossRef]
- Dalal, N.; Triggs, B. Histograms of oriented gradients for human detection. In Proceedings of the 2005 IEEE Computer Society Conference on Computer Vision and Pattern Recognition (CVPR’05), San Diego, CA, USA, 20–25 June 2005. [Google Scholar] [CrossRef]
- Ren, X.; Ramanan, D. Histograms of Sparse Codes for Object Detection. In Proceedings of the 2013 IEEE Conference on Computer Vision and Pattern Recognition, Portland, OR, USA, 23–28 June 2013; pp. 3246–3253. [Google Scholar] [CrossRef]
- Whitehill, J.; Littlewort, G.; Fasel, I.; Bartlett, M.; Movellan, J. Toward practical smile detection. IEEE Trans. Pattern Anal. Mach. Intell. 2009, 31, 2106–2111. [Google Scholar] [CrossRef] [PubMed]
- Kalinke, T.; Tzomakas, C.; Seelen, W.V. A texture-based object detection and an adaptive model-based classification. In Proceedings of the International Conference on Intelligent Vehicles, Stuttgart, Germany, 28–30 October 1998; pp. 341–346. Available online: http://citeseerx.ist.psu.edu/viewdoc/summary?doi=10.1.1.33.526 (accessed on 8 July 2023).
- Chen, Y.Q. Novel Techniques for Image Texture Classification; University of Southampton: Southampton, UK, 1995. [Google Scholar]
- Yadav, P.K.; Thomasson, J.A.; Searcy, S.W.; Hardin, R.G.; Braga-Neto, U.; Popescu, S.C.; Martin, D.E.; Rodriguez, R.; Meza, K.; Enciso, J.; et al. Assessing the Performance of Yolov5 Algorithm for Detecting Volunteer Cotton Plants in Corn Fields at Three Different Growth Stages. Artif. Intell. Agric. 2022, 6, 292–303. [Google Scholar] [CrossRef]
- Yadav, P.K.; Thomasson, J.A.; Hardin, R.; Searcy, S.W.; Braga-Neto, U.; Popescu, S.C.; Martin, D.E.; Rodriguez, R.; Meza, K.; Enciso, J.; et al. Detecting volunteer cotton plants in a corn field with deep learning on UAV remote-sensing imagery. Comput. Electron. Agric. 2023, 204, 107551. [Google Scholar] [CrossRef]
- Chen, Y.R.; Chao, K.; Kim, M.S. Machine vision technology for agricultural applications. Comput. Electron. Agric. 2002, 36, 173–191. [Google Scholar] [CrossRef]
- Fan, S.; Li, J.; Zhang, Y.; Tian, X.; Wang, Q.; He, X.; Zhang, C.; Huang, W. On line detection of defective apples using computer vision system combined with deep learning methods. J. Food Eng. 2020, 286, 110102. [Google Scholar] [CrossRef]
- Liu, G.; Nouaze, J.C.; Mbouembe, P.L.T.; Kim, J.H. YOLO-Tomato: A Robust Algorithm for Tomato Detection Based on YOLOv3. Sensors 2020, 20, 2145. [Google Scholar] [CrossRef]
- Zhou, F.; Zhao, H.; Nie, Z. Safety Helmet Detection Based on YOLOv5. In Proceedings of the International Conference on Power Electronics, Computer Applications, ICPECA 2021, Shenyang, China, 22–24 January 2021; pp. 6–11. [Google Scholar] [CrossRef]
- Brungel, R.; Friedrich, C.M. DETR and YOLOv5: Exploring Performance and Self-Training for Diabetic Foot Ulcer Detection. In Proceedings of the 34th International Symposium on Computer-Based Medical Systems (CBMS) 2021, Online, 7–9 June 2021; pp. 148–153. [Google Scholar] [CrossRef]
- Solawetz, J.; Nelson, J. How to Train YOLOv5 On a Custom Dataset. 2020. Available online: https://blog.roboflow.com/how-to-train-yolov5-on-a-custom-dataset/ (accessed on 7 August 2021).
- Redmon, J.; Farhadi, A. YOLOv3:An Incremental Improvement. 2018. Available online: http://arxiv.org/abs/1804.02767 (accessed on 7 August 2021).
- Mao, Q.C.; Sun, H.M.; Liu, Y.B.; Jia, R.S. Mini-YOLOv3: Real-Time Object Detector for Embedded Applications. IEEE Access 2019, 7, 133529–133538. [Google Scholar] [CrossRef]
- Ge, Z.; Liu, S.; Wang, F.; Li, Z.; Sun, J. YOLOX: Exceeding YOLO Series in 2021. arXiv 2021, arXiv:2107.08430. Available online: http://arxiv.org/abs/2107.08430 (accessed on 2 February 2022).
- USDA; Natural Resources Conservation Service. Web Soil Survey. 2020. Available online: https://websoilsurvey.sc.egov.usda.gov/App/HomePage.htm (accessed on 5 March 2021).
- Yadav, P. image_splitter. 2021. Available online: https://github.com/pappuyadav/image_splitter (accessed on 17 September 2022).
- Bloice, M.D.; Stocker, C.; Holzinger, A. Augmentor: An Image Augmentation Library for Machine Learning. arXiv 2017, arXiv:1708.04680. [Google Scholar] [CrossRef]
- Tzutalin. LabelImg. Git Code. 2015. Available online: https://github.com/tzutalin/labelImg (accessed on 10 November 2020).
- Kist, A.M. Glottis Analysis Tools—Deep Neural Networks. Zenodo. 13 January 2021. Available online: https://zenodo.org/record/4436985 (accessed on 8 May 2021).
- Yan, B.; Fan, P.; Lei, X.; Liu, Z.; Yang, F. A real-time apple targets detection method for picking robot based on improved YOLOv5. Remote Sens. 2021, 13, 1619. [Google Scholar] [CrossRef]
- Howard, A.; Sandler, M.; Chen, B.; Wang, W.; Chen, L.-C.; Tan, M.; Chu, G.; Vasudevan, V.; Zhu, Y.; Pang, R.; et al. Searching for mobileNetV3. In Proceedings of the IEEE/CVF International Conference on Computer Vision, Seoul, Republic of Korea, 27 October–2 November 2019; pp. 1314–1324. [Google Scholar] [CrossRef]
- Yadav, P.K.; Thomasson, J.A.; Hardin, R.; Searcy, S.W.; Braga-Neto, U.; Popescu, S.C.; Martin, D.E.; Rodriguez, R.; Meza, K.; Enciso, J.; et al. Computer Vision for Volunteer Cotton Detection in a Corn Field With UAS Remote Sensing Imagery and Spot-Spray Applications. arXiv 2022, arXiv:2207.07334. [Google Scholar] [CrossRef]
- Jocher, G.; Stoken, A.; Borovec, J.; Chaurasia, A.; Abhiram, V.; Changyu, L.; Hogan, A.; Hajek, J.; Diaconu, L.; Kwon, Y.; et al. Ultralytics/yolov5: v5.0—YOLOv5-P6 1280 Models, AWS, Supervisely and YouTube Integrations. 11 April 2021. Available online: https://zenodo.org/record/4679653 (accessed on 21 July 2021).
- Ruder, S. An overview of gradient descent optimization algorithms. arXiv 2016, arXiv:1609.04747. Available online: http://arxiv.org/abs/1609.04747 (accessed on 1 June 2023).
- Lin, T.Y.; Maire, M.; Belongie, S.; Hays, J.; Perona, P.; Ramanan, D.; Dollár, P. Microsoft COCO: Common Objects in Context. In Proceedings of the European Conference on Computer Vision, Zurich, Switzerland, 6–12 September 2014; Volume 8693, LNCS, no. PART 5. pp. 740–755. [Google Scholar] [CrossRef]
- Xie, S.; Braga-Neto, U.M. On the Bias of Precision Estimation Under Separate Sampling. Cancer Inform. 2019, 18, 1176935119860822. [Google Scholar] [CrossRef]
- Luque, A.; Carrasco, A.; Martín, A.; de las Heras, A. The impact of class imbalance in classification performance metrics based on the binary confusion matrix. Pattern Recognit. 2019, 91, 216–231. [Google Scholar] [CrossRef]
- Li, P.; Goyal, T.-Y.; Girshick, P.; He, R.; Dollar, K. Focal Loss for Dense Object Detection. In Proceedings of the IEEE international conference on computer vision, Salt Lake City, UT, USA, 18–22 June 2018; pp. 1980–2988. [Google Scholar]
- Obermiller, D.J. Multiple Response Optimization Using JMP. 2000. Available online: https://support.sas.com/resources/papers/proceedings/proceedings/sugi22/INFOVIS/PAPER178.PDF (accessed on 2 June 2022).
- Costa, N.R.; Lourenço, J.; Pereira, Z.L. Desirability function approach: A review and performance evaluation in adverse conditions. Chemom. Intell. Lab. Syst. 2011, 107, 234–244. [Google Scholar] [CrossRef]
- Dennis, R.B.; Schnabel, J.E., Jr. Numerical Methods for Unconstrained Optimization and Nonlinear Equations, 1st ed.; Society for Industrial and Applied Mathematics: Philadelphia, PA, USA, 1996. [Google Scholar]
- The SciPy Community. Statistical Functions (scipy.stats). 2021. Available online: https://docs.scipy.org/doc/scipy/reference/stats.html (accessed on 9 August 2021).
- Hardin, R.G.; Huang, Y.; Poe, R. Detecting Plastic Trash in a Cotton Field With a UAV. In Proceedings of the Beltwide Cotton Conferences, San Antonio, TX, USA, 3–5 January 2018; pp. 521–527. Available online: http://www.cotton.org/beltwide/proceedings/2005-2018/data/conferences/2018/papers/18538.pdf (accessed on 15 September 2021).
- Liu, X.; Tang, G.; Zou, W. Improvement of Detection Accuracy of Aircraft in Remote Sensing Images Based on YOLOV5 Model. In Proceedings of the International Geoscience and Remote Sensing Symposium IGARSS, Brussels, Belgium, 11–16 July 2021; pp. 4775–4778. [Google Scholar] [CrossRef]
- Raghavendra, U.; Fujita, H.; Bhandary, S.V.; Gudigar, A.; Tan, J.H.; Acharya, U.R. Deep convolution neural network for accurate diagnosis of glaucoma using digital fundus images. Inf. Sci. 2018, 441, 41–49. [Google Scholar] [CrossRef]
- Bevilacqua, V.; Brunetti, A.; Guerriero, A.; Trotta, G.F.; Telegrafo, M.; Moschetta, M. A performance comparison between shallow and deeper neural networks supervised classification of tomosynthesis breast lesions images. Cogn. Syst. Res. 2019, 53, 3–19. [Google Scholar] [CrossRef]
- Dandois, J.P.; Ellis, E.C. High spatial resolution three-dimensional mapping of vegetation spectral dynamics using computer vision. Remote Sens. Environ. 2013, 136, 259–276. [Google Scholar] [CrossRef]
- Samie, F.; Tsoutsouras, V.; Bauer, L.; Xydis, S.; Soudris, D.; Henkel, J. Computation offloading and resource allocation for low-power IoT edge devices. In Proceedings of the 3rd World Forum on Internet of Things (WF-IoT), Brussels, Belgium, 11–16 July 2016; pp. 7–12. [Google Scholar] [CrossRef]















| YOLOv5-Original | YOLOv5-Scaled-Down | |||
|---|---|---|---|---|
| Layers | Parameters | Layers | Parameters | |
| Small (s) | 283 | 7,066,239 | 224 | 7,056,607 |
| Medium (m) | 391 | 21,060,447 | 308 | 21,041,679 |
| Large (l) | 499 | 46,636,735 | 392 | 46,605,951 |
| Extra Large (x) | 607 | 87,251,103 | 476 | 87,210,542 |
| Hyperparameters | Values |
|---|---|
| Learning Rate | 0.01 |
| Learning rate Decay | 0.2 |
| Momentum | 0.937 |
| Weight Decay | 0.0005 |
| Batch Size | 4 |
| Training Epoch | 250 |
| Model | Average Precision | Accuracy | ||
|---|---|---|---|---|
| F Ratio | Prob > F | F Ratio | Prob > F | |
| YOLOv5s | 5.7812 | 0.0272 | 19.2649 | 0.0004 |
| YOLOv5m | 3.0022 | 0.1002 | 6.6480 | 0.0189 |
| YOLOv5l | 12.1663 | 0.0026 | 19.8409 | 0.0003 |
| YOLOv5x | 0.9136 | 0.3518 | 21.6296 | 0.0002 |
| Model | F Ratio | Prob > F | White Bags | mAP | Brown Bags | |||
|---|---|---|---|---|---|---|---|---|
| F Ratio | Prob > F | F Ratio | Prob > F | F Ratio | Prob > F | |||
| AP | 2.15 | 0.11 | 4.63 | 0.01 | 3.27 | 0.03 | ||
| Accuracy | 0.44 | 0.73 | 3.66 | 0.02 | ||||
| InferenceTime | 27,665.3 | <0.0001 | ||||||
| Image_Sample_Number | Top | Middle | Bottom |
|---|---|---|---|
| 1 | 62.5 | 12.5 | 0 |
| 2 | 100 | 0 | 0 |
| 3 | 100 | 100 | 0 |
| 4 | 100 | 0 | 0 |
| 5 | 100 | 0 | 0 |
| 6 | 100 | 33.33 | 0 |
| 7 | 100 | 100 | 50 |
| 8 | 100 | 50 | 0 |
| 9 | 100 | 100 | 0 |
| 10 | 80 | 100 | 0 |
Disclaimer/Publisher’s Note: The statements, opinions and data contained in all publications are solely those of the individual author(s) and contributor(s) and not of MDPI and/or the editor(s). MDPI and/or the editor(s) disclaim responsibility for any injury to people or property resulting from any ideas, methods, instructions or products referred to in the content. |
© 2023 by the authors. Licensee MDPI, Basel, Switzerland. This article is an open access article distributed under the terms and conditions of the Creative Commons Attribution (CC BY) license (https://creativecommons.org/licenses/by/4.0/).
Share and Cite
Yadav, P.K.; Thomasson, J.A.; Hardin, R.; Searcy, S.W.; Braga-Neto, U.; Popescu, S.C.; Rodriguez, R., III; Martin, D.E.; Enciso, J.; Meza, K.; et al. Plastic Contaminant Detection in Aerial Imagery of Cotton Fields Using Deep Learning. Agriculture 2023, 13, 1365. https://doi.org/10.3390/agriculture13071365
Yadav PK, Thomasson JA, Hardin R, Searcy SW, Braga-Neto U, Popescu SC, Rodriguez R III, Martin DE, Enciso J, Meza K, et al. Plastic Contaminant Detection in Aerial Imagery of Cotton Fields Using Deep Learning. Agriculture. 2023; 13(7):1365. https://doi.org/10.3390/agriculture13071365
Chicago/Turabian StyleYadav, Pappu Kumar, J. Alex Thomasson, Robert Hardin, Stephen W. Searcy, Ulisses Braga-Neto, Sorin C. Popescu, Roberto Rodriguez, III, Daniel E. Martin, Juan Enciso, Karem Meza, and et al. 2023. "Plastic Contaminant Detection in Aerial Imagery of Cotton Fields Using Deep Learning" Agriculture 13, no. 7: 1365. https://doi.org/10.3390/agriculture13071365
APA StyleYadav, P. K., Thomasson, J. A., Hardin, R., Searcy, S. W., Braga-Neto, U., Popescu, S. C., Rodriguez, R., III, Martin, D. E., Enciso, J., Meza, K., & White, E. L. (2023). Plastic Contaminant Detection in Aerial Imagery of Cotton Fields Using Deep Learning. Agriculture, 13(7), 1365. https://doi.org/10.3390/agriculture13071365

