Physical and Chemical Properties of Silver-Containing Nanosorbent Obtained from Rice Straw Biochar
Abstract
1. Introduction
2. Materials and Methods
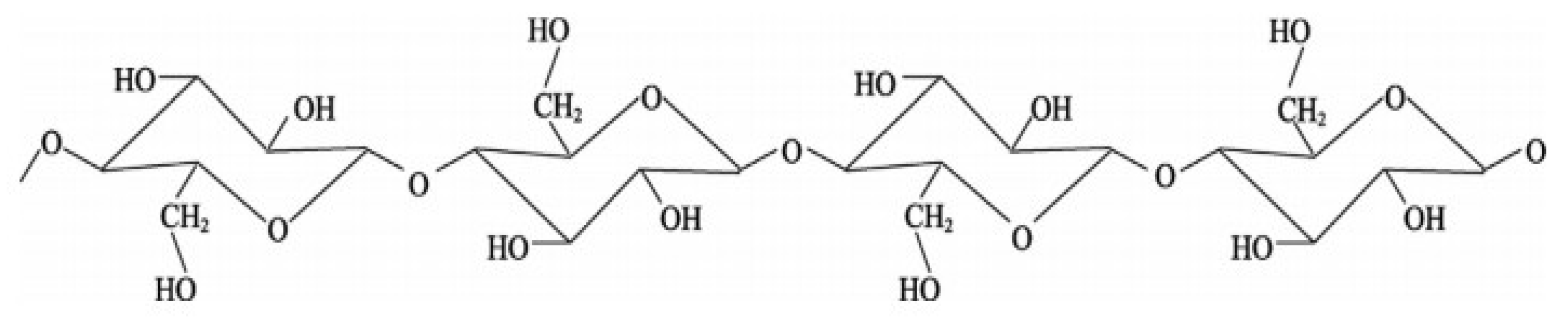
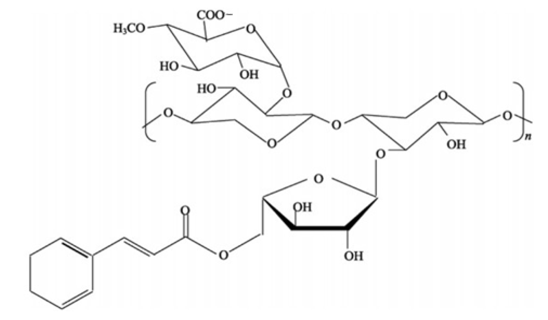
2.1. Feedstock
2.2. Biochar Production/Activation
2.2.1. Physico-Chemical Activations of Activation of the Initial Source from Rice Straw
2.2.2. Electromagnetic Method for Activating the Surface of Rice Straw Biochar Particles
3. Results and Discussion
4. Conclusions
Funding
Institutional Review Board Statement
Data Availability Statement
Conflicts of Interest
References
- El-Aassar, M.; Mohamed, F. Characterization valorized anthracite and its application in manganese (VII) adsorption from aqueous solution; batch and column studies. Microporous Mesoporous Mater. 2021, 310, 110641. [Google Scholar] [CrossRef]
- Akbar, N.A.; Aziz, H.A.; Alazaiza, M.Y.D. Effectiveness of Fe, Mn, UV254 and Colour Removal from Pre-ozonated Groundwater Using Anthracite Coal. Int. J. Environ. Res. 2021, 15, 245–259. [Google Scholar] [CrossRef]
- Bai, X.; Yan, G.; Chen, X.; Li, J. Adsorption Characteristics of Ionic Surfactants on Anthracite Surface: A Combined Experimental and Modeling Study. Molecules 2022, 27, 5314. [Google Scholar] [CrossRef]
- Moazed, H.; Viraraghavan, T. Use of Organo-Clay/Anthracite Mixture in the Separation of Oil from Oily Waters. Energy Sources 2007, 27, 101–112. [Google Scholar] [CrossRef]
- Dontala, S.P.; Reddy, T.B.; Vadde, R. Environmental Aspects and Impacts its Mitigation Measures of Corporate Coal Mining. Procedia Earth Planet. Sci. 2015, 11, 2–7. [Google Scholar] [CrossRef]
- Rokhim, R.; Adawiyah, W.; Nasution, R.E.F. The negative impact of coal mining company on health, environment, climate change, economic sustainability and macroeconomic. E3S Web Conf. 2018, 74, 01004. [Google Scholar] [CrossRef]
- Godage, N.H.; Gionfriddo, E. Use of natural sorbents as alternative and green extractive materials: A critical review. Anal. Chim. Acta 2020, 1125, 187–200. [Google Scholar] [CrossRef]
- Ahmad, M.; Rajapaksha, A.U.; Lim, J.E.; Zhang, M.; Bolan, N.; Mohan, D.; Vithanage, M.; Lee, S.S.; Ok, Y.S. Biochar as a sorbent for contaminant management in soil and water: A review. Chemosphere 2014, 99, 19–33. [Google Scholar] [CrossRef] [PubMed]
- Li, L.; Zou, D.; Xiao, Z.; Zeng, X.; Zhang, L.; Jiang, L.; Wang, A.; Ge, D.; Zhang, G.; Liu, F. Biochar as a sorbent for emerging contaminants enables improvements in waste management and sustainable resource use. J. Clean. Prod. 2019, 210, 1324–1342. [Google Scholar] [CrossRef]
- Silvani, L.; Vrchotova, B.; Kastanek, P.; Demnerova, K.; Pettiti, I.; Papini, M.P. Characterizing Biochar as Alternative Sorbent for Oil Spill Remediation. Sci. Rep. 2017, 7, 43912. [Google Scholar] [CrossRef]
- Braghiroli, F.L.; Bouafif, H.; Neculita, C.M.; Koubaa, A. Activated Biochar as an Effective Sorbent for Organic and Inorganic Contaminants in Water. Water Air Soil Pollut. 2018, 229, 230. [Google Scholar] [CrossRef]
- Shakoor, M.B.; Ali, S.; Rizwan, M.; Abbas, F.; Bibi, I.; Riaz, M.; Khalil, U.; Niazi, N.K.; Rinklebe, J. A review of biochar-based sorbents for separation of heavy metals from water. Int. J. Phytoremediation 2020, 22, 111–126. [Google Scholar] [CrossRef]
- Guillaume, K.B.; Serpokrylov, N.S.; Smolyanichenko, A.S. Preparation of Activated Carbon from Cashew Nut Shells for Water Purification. Russ. J. Non-Ferr. Met. 2020, 61, 112–118. [Google Scholar] [CrossRef]
- Li, R.; Wu, Y.; Lou, X.; Li, H.; Cheng, J.; Shen, B.; Qin, L. Porous Biochar Materials for Sustainable Water Treatment: Synthesis, Modification, and Application. Water 2023, 15, 395. [Google Scholar] [CrossRef]
- Alsawy, T.; Rashad, E.; El-Qelish, M.; Mohammed, R.H. A comprehensive review on the chemical regeneration of biochar adsorbent for sustainable wastewater treatment. NPJ Clean Water 2022, 5, 29. [Google Scholar] [CrossRef]
- Ćwieląg-Piasecka, I.; Jamroz, E.; Medyńska-Juraszek, A.; Bednik, M.; Kosyk, B.; Polláková, N. Deashed Wheat-Straw Biochar as a Potential Superabsorbent for Pesticides. Materials 2023, 16, 2185. [Google Scholar] [CrossRef] [PubMed]
- Godwin, P.M.; Pan, Y.; Xiao, H.; Afzal, M.T. Progress in Preparation and Application of Modified Biochar for Improving Heavy Metal Ion Removal from Wastewater. J. Bioresour. Bioprod. 2019, 4, 31–42. [Google Scholar] [CrossRef]
- Fdez-Sanromán, A.; Pazos, M.; Rosales, E.; Sanromán, M.A. Unravelling the Environmental Application of Biochar as Low-Cost Biosorbent: A Review. Appl. Sci. 2020, 10, 7810. [Google Scholar] [CrossRef]
- Alsulaili, A.; Refaie, A. Agricultural waste-based biochar as a low-cost sorbent for water treatment. In Proceedings of the EURASIAWEB International Conference, Sanliurfa, Turkey, 13–14 January 2022. [Google Scholar]
- Foong, S.Y.; Chan, Y.H.; Chin, B.L.F.; Lock, S.S.M.; Yee, C.Y.; Yiin, C.L.; Peng, W.; Lam, S.S. Production of biochar from rice straw and its application for wastewater remediation—An overview. Bioresour. Technol. 2022, 360, 127588. [Google Scholar] [CrossRef]
- Phuong, D.T.M.; Loc, N.X. Rice Straw Biochar and Magnetic Rice Straw Biochar for Safranin O Adsorption from Aqueous Solution. Water 2022, 14, 186. [Google Scholar] [CrossRef]
- Taufik, S.H.; Ahmad, S.A.; Zakaria, N.N.; Shaharuddin, N.A.; Azmi, A.A.; Khalid, F.E.; Merican, F.; Convey, P.; Zulkharnain, A.; Khalil, K.A. Rice Straw as a Natural Sorbent in a Filter System as an Approach to Bioremediate Diesel Pollution. Water 2021, 13, 3317. [Google Scholar] [CrossRef]
- Yakout, S.M.; Daifullah, A.E.H.M.; El-Reefy, S.A. Pore structure characterization of chemically modified biochar derived from rice straw. Environ. Eng. Manag. J. 2015, 14, 473–480. [Google Scholar] [CrossRef]
- Dutta, V.; Verma, R.; Gopalkrishnan, C.; Yuan, M.-H.; Batoo, K.M.; Jayavel, R.; Chauhan, A.; Lin, K.-Y.A.; Balasubramani, R.; Ghotekar, S. Bio-Inspired Synthesis of Carbon-Based Nanomaterials and Their Potential Environmental Applications: A State-of-the-Art Review. Inorganics 2022, 10, 169. [Google Scholar] [CrossRef]
- Weidner, E.; Karbassiyazdi, E.; Altaee, A.; Jesionowski, T.; Ciesielczyk, F. Hybrid Metal Oxide/Biochar Materials for Wastewater Treatment Technology: A Review. ACS Omega 2022, 7, 27062–27078. [Google Scholar] [CrossRef] [PubMed]
- Goodman, B.A. Utilization of waste straw and husks from rice production: A review. J. Bioresour. Bioprod. 2020, 5, 143–162. [Google Scholar] [CrossRef]
- Mirmohamadsadeghi, S.; Karimi, K. Recovery of silica from rice straw and husk. In Current Developments in Biotechnology and Bioengineering: Resource Recovery from Wastes; Elsevier: Amsterdam, The Netherlands, 2020; pp. 411–433. [Google Scholar] [CrossRef]
- Wi, S.G.; Chung, B.Y.; Lee, Y.G.; Yang, D.J.; Bae, H.-J. Enhanced enzymatic hydrolysis of rapeseed straw by popping pretreatment for bioethanol production. Bioresour. Technol. 2011, 102, 5788–5793. [Google Scholar] [CrossRef]
- Vershinin, I.N. Devices with a rotating electromagnetic field. In LLC “Advanced Technologies of the XXI Century”; Vershinin, I.N., Vershinin, N.P., Eds.; Advanced Technologies: Salsk, Russia, 2007; 368p. [Google Scholar]
- Logvinenko, D.D.; Shelyakov, O.P. Intensification of Technological Processes in Devices with a Vortex Layer; “Tekhnika” Publishing House: Kyiv, Ukraine, 1976; 144p. [Google Scholar]
- Beskopylny, A.N.; Stel’makh, S.A.; Shcherban’, E.M.; Mailyan, L.R.; Meskhi, B.; Smolyanichenko, A.S.; Varavka, V.; Beskopylny, N.; Dotsenko, N. Influence of Electromagnetic Activation of Cement Paste and Nano-Modification by Rice Straw Biochar on the Structure and Characteristics of Concrete. J. Compos. Sci. 2022, 6, 268. [Google Scholar] [CrossRef]
- Kafarov, V.V.; Logvinenko, D.D.; Shelyakov, O.P. Investigation of the critical filling factor of an apparatus with a vortex layer by ferromagnetic particles. Chem. Pet. Eng. 1973, 11, 19–20. [Google Scholar]
- Kostitsyn, M.A. Improving the performance of unshaped mullite-corundum ceramics for metallurgical purposes using nanodispersed oxide materials. Thesis Cand. Techn. Sci. 2013, 153. [Google Scholar]
- Pourghahramani, P.; Forssberg, E. Comparative study of microstructural characteristics and stored energy of mechanically activated hematite in different grinding environments. Int. J. Miner. Process. 2006, 79, 120–139. [Google Scholar] [CrossRef]
- Shestak, Y. Theory of thermal analysis: Physical and chemical properties of inorganic compounds. Trans. Eng. Mir. 1987, 456. [Google Scholar]
- McKewan, W.M. Kinetics of iron oxide reduction. Trans. Am. Inst. Min. Eng. 1960, 218, 2–6. [Google Scholar]





















| Cellulose | Hemicellulose | Lignin | Ash | |
|---|---|---|---|---|
| Straw | 32.0–38.6 | 19.7–35.7 | 13.5–22.3 | 10–17 |
| Husk | 28.6–43.3 | 22.0–29.7 | 19.2–24.4 | 17–20 |
| № | Chemical Element, % | EP | S |
|---|---|---|---|
| 1 | C | 8.9 | 13.7 |
| 2 | O | 54.9 | 58.3 |
| 3 | Si | 8.1 | 16.4 |
| 4 | Ag | 16.7 | 1.1 |
| 5 | K | 2.5 | 3.9 |
| 6 | Ca | 1.3 | 0.9 |
| 7 | Mg | 4.4 | 2.7 |
| 8 | Na | 1.4 | 0.9 |
| 9 | Cl | 0.7 | 0.3 |
| 10 | Fe | 0.3 | 0.1 |
| 11 | Ni | 0.3 | 0.1 |
| 12 | Mn | 0.3 | 0.5 |
| 13 | P | 0.2 | 0.7 |
| 14 | Al | - | 0.3 |
| 15 | S | - | 0.1 |
| № | Characteristic | EP | S |
|---|---|---|---|
| 1 | Ash content | 35.8 | 35.5 |
| 2 | Moisture contents, % | - | - |
| 3 | Specific surface, m2/g | 7.45 | 7.37 |
| 4 | Relative pore volume diameter up to 900 Å, cm3/g | 0.034 | 0.036 |
| 5 | Average mesopore diameter via desorption, Å | 196 | 238 |
| 6 | Micropore volume, cm3/g | 0.0026 | 0.0019 |
| 7 | Average micropore diameter, Å | 4.08 | 3.68 |
| № | Index | Permissible Levels | Source Water Quality Indicators | Water Quality Indicators after Carbonization Silver-Containing Biochar Sorbent | Efficiency, % |
|---|---|---|---|---|---|
| 1 | 2 | 3 | 4 | 5 | 6 |
| 1 | TMK, CFU/mL | Not more than 100 CFU in 1.0 mL | 210 CFU in 1.0 mL | 20 CFU in 1.0 mL | 90.48 |
| 2 | CCB | Not found in 100.0 mL | 20 CFU in 1.0 mL | Not found in 100.0 mL | 100.0 |
| 3 | TCB | - | Not found in 100.0 mL | Not found in 100.0 mL | - |
Disclaimer/Publisher’s Note: The statements, opinions and data contained in all publications are solely those of the individual author(s) and contributor(s) and not of MDPI and/or the editor(s). MDPI and/or the editor(s) disclaim responsibility for any injury to people or property resulting from any ideas, methods, instructions or products referred to in the content. |
© 2023 by the author. Licensee MDPI, Basel, Switzerland. This article is an open access article distributed under the terms and conditions of the Creative Commons Attribution (CC BY) license (https://creativecommons.org/licenses/by/4.0/).
Share and Cite
Smolyanichenko, A. Physical and Chemical Properties of Silver-Containing Nanosorbent Obtained from Rice Straw Biochar. Agriculture 2023, 13, 1288. https://doi.org/10.3390/agriculture13071288
Smolyanichenko A. Physical and Chemical Properties of Silver-Containing Nanosorbent Obtained from Rice Straw Biochar. Agriculture. 2023; 13(7):1288. https://doi.org/10.3390/agriculture13071288
Chicago/Turabian StyleSmolyanichenko, Alla. 2023. "Physical and Chemical Properties of Silver-Containing Nanosorbent Obtained from Rice Straw Biochar" Agriculture 13, no. 7: 1288. https://doi.org/10.3390/agriculture13071288
APA StyleSmolyanichenko, A. (2023). Physical and Chemical Properties of Silver-Containing Nanosorbent Obtained from Rice Straw Biochar. Agriculture, 13(7), 1288. https://doi.org/10.3390/agriculture13071288
