From Traditional to Smart: Exploring the Effects of Smart Agriculture on Green Production Technology Diversity in Family Farms
Abstract
1. Introduction
2. Materials and Methods
2.1. Data
2.2. The Propensity Score Matching (PSM) Model
2.3. Endogenous Switching Regression (ESR)
2.4. Description of Variables
3. Results and Discussion
3.1. The Determinants of Smart-Agriculture Adoption
3.2. PSM Estimation for the Effects of Smart Agriculture
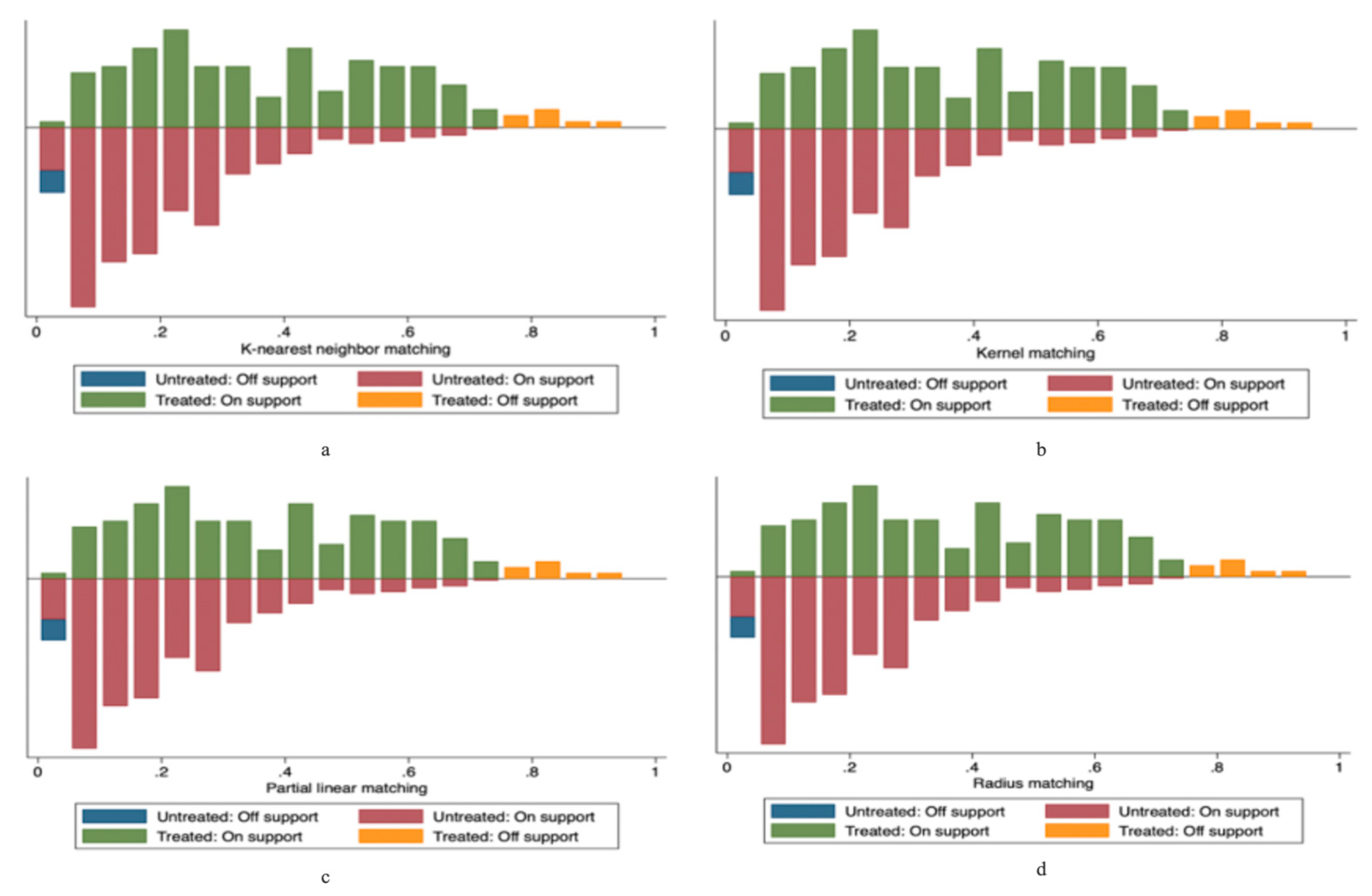
3.2.1. Matching Quality
3.2.2. PSM Results
3.2.3. Sensitivity Analysis
3.3. Robustness Tests Based on Instrumental Variables
3.4. Channel Analysis
3.5. Heterogeneity Analysis
4. Discussion
4.1. Adoption of Smart Agriculture and GPT
4.2. The Impact of Smart Agriculture on the Diversity of GPTS
4.3. Future Research
5. Conclusions
Author Contributions
Funding
Institutional Review Board Statement
Informed Consent Statement
Data Availability Statement
Conflicts of Interest
Appendix A

| Method | Sample | Ps R2 | LR chi2 | Mean Bias (%) |
|---|---|---|---|---|
| Unmatched | 0.157 | 99.61 | 38.9 | |
| K Nearest Neighbor Matching | Matched | 0.006 | 2.08 | 3.1 |
| Kernel matching | Matched | 0.002 | 0.87 | 2.3 |
| Partial linear matching | Matched | 0.024 | 8.78 | 8.5 |
| Radius matching | Matched | 0.005 | 1.84 | 2.7 |
| Variables | Unmatched | Mean | %Bias | T Value | p > |t| | |
|---|---|---|---|---|---|---|
| Matched | Treated | Control | ||||
| Age | U | 46.638 | 49.472 | −31.7 | −3.24 | 0.001 |
| M | 47.09 | 46.688 | 4.5 | 0.36 | 0.717 | |
| Education | U | 12.319 | 10.81 | 54.4 | 5.56 | 0.000 |
| M | 12.157 | 12.062 | 3.4 | 0.30 | 0.764 | |
| Professional farmer | U | 0.702 | 0.604 | 20.6 | 2.09 | 0.037 |
| M | 0.701 | 0.716 | −3.1 | −0.27 | 0.789 | |
| Years of planting | U | 18.312 | 22.069 | −31.9 | −3.23 | 0.001 |
| M | 18.776 | 19.629 | −7.3 | −0.62 | 0.538 | |
| Land scales | U | 243.45 | 127.42 | 36.3 | 4.44 | 0.000 |
| M | 201.01 | 210.79 | −3.1 | −0.24 | 0.811 | |
| Machine value | U | 10.764 | 9.262 | 41.4 | 3.98 | 0.000 |
| M | 10.718 | 10.66 | 1.6 | 0.15 | 0.877 | |
| Farm income | U | 13.436 | 12.443 | 47.1 | 4.84 | 0.000 |
| M | 13.333 | 13.285 | 2.2 | 0.21 | 0.834 | |
| Farm cost | U | 12.472 | 11.505 | 66.4 | 6.95 | 0.000 |
| M | 12.366 | 12.338 | 1.9 | 0.16 | 0.875 | |
| Brand | U | 0.433 | 0.173 | 58.8 | 6.49 | 0.000 |
| M | 0.403 | 0.418 | −3.4 | −0.25 | 0.805 | |
| Contract farming | U | 0.355 | 0.185 | 38.9 | 4.22 | 0.000 |
| M | 0.328 | 0.339 | −2.6 | −0.19 | 0.847 | |
| Number of labors | U | 2.6525 | 2.372 | 17.3 | 1.90 | 0.057 |
| M | 2.5896 | 2.639 | −3.1 | −0.26 | 0.798 | |
| Demonstration farms | U | 0.766 | 0.521 | 52.7 | 5.21 | 0.000 |
| M | 0.754 | 0.757 | −0.8 | −0.07 | 0.944 | |
| Cooperatives | U | 0.546 | 0.384 | 32.9 | 3.40 | 0.001 |
| M | 0.537 | 0.532 | 1.1 | 0.09 | 0.927 | |
| Gamma | KNNM | KM | PLM | RM | ||||
|---|---|---|---|---|---|---|---|---|
| Sig+ | Sig− | Sig+ | Sig− | Sig+ | Sig− | Sig+ | Sig− | |
| 1 | 0.000 | 0.000 | 0.000 | 0.000 | 0.000 | 0.000 | 0.000 | 0.000 |
| 1.1 | 0.000 | 0.000 | 0.000 | 0.000 | 0.000 | 0.000 | 0.000 | 0.000 |
| 1.2 | 0.000 | 0.000 | 0.000 | 0.000 | 0.000 | 0.000 | 0.000 | 0.000 |
| 1.3 | 0.000 | 0.000 | 0.000 | 0.000 | 0.000 | 0.000 | 0.000 | 0.000 |
| 1.4 | 0.000 | 0.000 | 0.000 | 0.000 | 0.000 | 0.000 | 0.000 | 0.000 |
| 1.5 | 0.002 | 0.000 | 0.001 | 0.000 | 0.002 | 0.000 | 0.002 | 0.000 |
| 1.6 | 0.005 | 0.000 | 0.004 | 0.000 | 0.004 | 0.000 | 0.005 | 0.000 |
| 1.7 | 0.012 | 0.000 | 0.009 | 0.000 | 0.010 | 0.000 | 0.012 | 0.000 |
| 1.8 | 0.023 | 0.000 | 0.018 | 0.000 | 0.020 | 0.000 | 0.023 | 0.000 |
| 1.9 | 0.040 | 0.000 | 0.032 | 0.000 | 0.036 | 0.000 | 0.040 | 0.000 |
| 2 | 0.065 | 0.000 | 0.053 | 0.000 | 0.058 | 0.000 | 0.064 | 0.000 |
| Variables | (1) Select Equation | (2) Adoption | (3) Nonadoption |
|---|---|---|---|
| Constant | −2.854 *** (0.861) | 0.622 ** (0.280) | 0.177 (0.130) |
| Age | −0.008 (0.010) | −0.004 (0.002) | −0.000 (0.001) |
| Education | 0.059 ** (0.025) | 0.003 (0.006) | 0.009 ** (0.004) |
| Professional farmer | −0.052 (0.143) | 0.025 (0.034) | 0.065 *** (0.021) |
| Years of planting | −0.006 (0.007) | 0.001 (0.002) | −0.001 (0.001) |
| Land scales | 0.000 (0.000) | 0.000 (0.000) | −0.000 (0.000) |
| Machine value | 0.019 (0.019) | 0.016 *** (0.005) | 0.008 *** (0.002) |
| Farm income | 0.001 (0.037) | 0.020 ** (0.008) | 0.004 (0.005) |
| Farm cost | 0.142 *** (0.054) | −0.023 * (0.013) | 0.016 * (0.009) |
| Brand | 0.473 *** (0.145) | 0.021 (0.038) | −0.045 (0.028) |
| Contract farming | 0.200 0.152 | 0.030 (0.034) | 0.044 * (0.026) |
| Number of labors | 0.021 0.039 | 0.004 (0.008) | 0.004 (0.007) |
| Demonstration farms | 0.313 ** 0.145 | −0.023 (0.013) | −0.047 ** (0.021) |
| Cooperatives | 0.010 0.135 | 0.049 (0.032) | 0.041 ** (0.020) |
| Distance | −0.203 *** (0.070) | ||
| Rho1 | −0.013 (0.381) | ||
| Lns1 | −1.783 *** (0.060) | ||
| Rho0 | −0.221 (0.230) | ||
| Lns0 | −1.64 *** (0.039) | ||
| Likelihood | −155.342 | ||
| Wald test | 61.47 *** | ||
| Observations | 563 |
| Variable | ATT | |||||
|---|---|---|---|---|---|---|
| Type of Farm | Contract Farm | Machine Value | ||||
| Diversity of GPT | =plantation farm | =Combined farm | =1 | =0 | >average | <average |
| 0.112 *** (0.030) | 0.067 (0.043) | 0.052 (0.041) | 0.072 ** (0.030) | 0.091 *** (0.027) | 0.076 (0.056) | |
References
- Wang, W.; Li, K.; Liu, Y.; Lian, J.; Hong, S. A System Dynamics Model Analysis for Policy Impacts on Green Agriculture Development: A Case of the Sichuan Tibetan Area. J. Clean. Prod. 2022, 371, 133562. [Google Scholar] [CrossRef]
- Guo, Z.; Chen, X.; Zhang, Y. Impact of Environmental Regulation Perception on Farmers’ Agricultural Green Production Technology Adoption: A New Perspective of Social Capital. Technol. Soc. 2022, 71, 102085. [Google Scholar] [CrossRef]
- Cui, S.; Li, Y.; Jiao, X.; Zhang, D. Hierarchical Linkage between the Basic Characteristics of Smallholders and Technology Awareness Determines Small-Holders’ Willingness to Adopt Green Production Technology. Agriculture 2022, 12, 1275. [Google Scholar] [CrossRef]
- Jin, J.; Wang, W.; He, R.; Gong, H. Pesticide Use and Risk Perceptions among Small-Scale Farmers in Anqiu County, China. Int. J. Environ. Res. Public Health 2017, 14, 29. [Google Scholar] [CrossRef]
- Gao, Y.; Niu, Z.; Yang, H.; Yu, L. Impact of Green Control Techniques on Family Farms’ Welfare. Ecol. Econ. 2019, 161, 91–99. [Google Scholar] [CrossRef]
- Bukchin, S.; Kerret, D. Once You Choose Hope: Early Adoption of Green Technology. Environ. Sci. Pollut. Res. 2020, 27, 3271–3280. [Google Scholar] [CrossRef]
- Kalyani, Y.; Collier, R. A Systematic Survey on the Role of Cloud, Fog, and Edge Computing Combination in Smart Agriculture. Sensors 2021, 21, 5922. [Google Scholar] [CrossRef]
- Sultan, H.; Zhan, J.; Rashid, W.; Chu, X.; Bohnett, E. Systematic Review of Multi-Dimensional Vulnerabilities in the Himalayas. Int. J. Environ. Res. Public Health 2022, 19, 12177. [Google Scholar] [CrossRef]
- Goel, R.K.; Yadav, C.S.; Vishnoi, S.; Rastogi, R. Smart Agriculture–Urgent Need of the Day in Developing Countries. Sustain. Comput. Inform. Syst. 2021, 30, 100512. [Google Scholar] [CrossRef]
- Mazzetto, F.; Gallo, R.; Sacco, P. Reflections and Methodological Proposals to Treat the Concept of “Information Precision” in Smart Agriculture Practices. Sensors 2020, 20, 2847. [Google Scholar] [CrossRef]
- AlMetwally, S.A.H.; Hassan, M.K.; Mourad, M.H. Real Time Internet of Things (IoT) Based Water Quality Management System. Procedia CIRP 2020, 91, 478–485. [Google Scholar] [CrossRef]
- Sharma, V.; Tripathi, A.K.; Mittal, H. Technological Revolutions in Smart Farming: Current Trends, Challenges & Future Directions. Comput. Electron. Agric. 2022, 201, 107217. [Google Scholar] [CrossRef]
- Zikria, Y.B.; Ali, R.; Afzal, M.K.; Kim, S.W. Next-Generation Internet of Things (IoT): Opportunities, Challenges, and Solutions. Sensors 2021, 21, 1174. [Google Scholar] [CrossRef]
- Sirmon, D.G.; Hitt, M.A.; Ireland, R.D.; Gilbert, B.A. Resource Orchestration to Create Competitive Advantage: Breadth, Depth, and Life Cycle Effects. J. Manag. 2011, 37, 1390–1412. [Google Scholar] [CrossRef]
- Farooq, M.S.; Riaz, S.; Abid, A.; Abid, K.; Naeem, M.A. A Survey on the Role of IoT in Agriculture for the Implementation of Smart Farming. IEEE Access 2019, 7, 156237–156271. [Google Scholar] [CrossRef]
- Yang, J.; Lan, G.; Li, Y.; Gong, Y.; Zhang, Z.; Ercisli, S. Data Quality Assessment and Analysis for Pest Identification in Smart Agriculture. Comput. Electr. Eng. 2022, 103, 108322. [Google Scholar] [CrossRef]
- Lin, K.; López, O.L.A.; Alves, H.; Chapman, D.; Metje, N.; Zhao, G.; Hao, T. Throughput Optimization in Backscatter-Assisted Wireless-Powered Underground Sensor Networks for Smart Agriculture. Internet Things 2022, 20, 100637. [Google Scholar] [CrossRef]
- Schukat, S.; Heise, H. Smart Products in Livestock Farming—An Empirical Study on the Attitudes of German Farmers. Animals 2021, 11, 1055. [Google Scholar] [CrossRef]
- Quy, V.K.; Hau, N.V.; Anh, D.V.; Quy, N.M.; Ban, N.T.; Lanza, S.; Randazzo, G.; Muzirafuti, A. IoT-Enabled Smart Agriculture: Architecture, Applications, and Challenges. Appl. Sci. 2022, 12, 3396. [Google Scholar] [CrossRef]
- Yang, X.; Shang, G. Smallholders’ Agricultural Production Efficiency of Conservation Tillage in Jianghan Plain, China—Based on a Three-Stage DEA Model. IJERPH 2020, 17, 7470. [Google Scholar] [CrossRef]
- Strong, R.; Wynn, J.T.; Lindner, J.R.; Palmer, K. Evaluating Brazilian Agriculturalists’ IoT Smart Agriculture Adoption Barriers: Understanding Stakeholder Salience Prior to Launching an Innovation. Sensors 2022, 22, 6833. [Google Scholar] [CrossRef] [PubMed]
- Liu, Y.; Ji, D.; Zhang, L.; An, J.; Sun, W. Rural Financial Development Impacts on Agricultural Technology Innovation: Evidence from China. IJERPH 2021, 18, 1110. [Google Scholar] [CrossRef] [PubMed]
- Agrahari, R.K.; Kobayashi, Y.; Tanaka, T.S.T.; Panda, S.K.; Koyama, H. Smart Fertilizer Management: The Progress of Imaging Technologies and Possible Implementation of Plant Biomarkers in Agriculture. Soil Sci. Plant Nutr. 2021, 67, 248–258. [Google Scholar] [CrossRef]
- Marcu, I.; Suciu, G.; Bălăceanu, C.; Vulpe, A.; Drăgulinescu, A.-M. Arrowhead Technology for Digitalization and Automation Solution: Smart Cities and Smart Agriculture. Sensors 2020, 20, 1464. [Google Scholar] [CrossRef]
- Mehta, C.R.; Chandel, N.S.; Rajwade, Y.A. Smart Farm Mechanization for Sustainable Indian Agriculture. AMA-Agric. Mech. Asia Afr. Lat. Am. 2021, 50, 99–105. [Google Scholar]
- Yoon, C.; Lim, D.; Park, C. Factors Affecting Adoption of Smart Farms: The Case of Korea. Comput. Hum. Behav. 2020, 108, 106309. [Google Scholar] [CrossRef]
- Fischer, E.; Qaim, M. Linking Smallholders to Markets: Determinants and Impacts of Farmer Collective Action in Kenya. World Dev. 2012, 40, 1255–1268. [Google Scholar] [CrossRef]
- He, K.; Zhang, J.; Zeng, Y.; Zhang, L. Households’ Willingness to Accept Compensation for Agricultural Waste Recycling: Taking Biogas Production from Livestock Manure Waste in Hubei, P.R. China as an Example. J. Clean. Prod. 2016, 131, 410–420. [Google Scholar] [CrossRef]
- Chuang, J.-H.; Wang, J.-H.; Liou, Y.-C. Farmers’ Knowledge, Attitude, and Adoption of Smart Agriculture Technology in Taiwan. Int. J. Environ. Res. Public Health 2020, 17, 7236. [Google Scholar] [CrossRef]
- Ren, Y.; Peng, Y.; Castro Campos, B.; Li, H. The Effect of Contract Farming on the Environmentally Sustainable Production of Rice in China. Sustain. Prod. Consum. 2021, 28, 1381–1395. [Google Scholar] [CrossRef]
- Zhang, S.; Sun, Z.; Ma, W.; Valentinov, V. The Effect of Cooperative Membership on Agricultural Technology Adoption in Sichuan, China. China Econ. Rev. 2020, 62, 101334. [Google Scholar] [CrossRef]
- Li, X.; Guo, H.; Jin, S.; Ma, W.; Zeng, Y. Do Farmers Gain Internet Dividends from E-Commerce Adoption? Evidence from China. Food Policy 2021, 101, 102024. [Google Scholar] [CrossRef]
- Imran, M.A.; Ali, A.; Ashfaq, M.; Hassan, S.; Culas, R.; Ma, C. Impact of Climate Smart Agriculture (CSA) through Sustainable Irrigation Management on Resource Use Efficiency: A Sustainable Production Alternative for Cotton. Land Use Pol. 2019, 88, 104113. [Google Scholar] [CrossRef]
- Tang, Y.; Dananjayan, S.; Hou, C.; Guo, Q.; Luo, S.; He, Y. A Survey on the 5G Network and Its Impact on Agriculture: Challenges and Opportunities. Comput. Electron. Agric. 2021, 180, 105895. [Google Scholar] [CrossRef]
- Venkatesh, V.; Raj, P.; Anushia Devi, R. Chapter Ten-A Smart Framework through the Internet of Things and Machine Learning for Precision Agriculture. In Advances in Computers; Raj, P., Saini, K., Surianarayanan, C., Eds.; Edge/Fog Computing Paradigm: The Concept Platforms and Applications; Elsevier: Amsterdam, The Netherlands, 2022; Volume 127, pp. 279–306. [Google Scholar]
- Li, D.; Nanseki, T.; Chomei, Y.; Kuang, J. A Review of Smart Agriculture and Production Practices in Japanese Large-Scale Rice Farming. J. Sci. Food Agric. 2023, 103, 1609–1620. [Google Scholar] [CrossRef]
- Navarro, E.; Costa, N.; Pereira, A. A Systematic Review of IoT Solutions for Smart Farming. Sensors 2020, 20, 4231. [Google Scholar] [CrossRef]
- Hoang, V.; Nguyen, V. Determinants of Small Farmers’ Participation in Contract Farming in Developing Countries: A Study in Vietnam. Agribusiness 2023. [Google Scholar] [CrossRef]
- Yu, L.; Zhao, D.; Xue, Z.; Gao, Y. Research on the Use of Digital Finance and the Adoption of Green Control Techniques by Family Farms in China. Technol. Soc. 2020, 62, 101323. [Google Scholar] [CrossRef]
- Sridhar, A.; Balakrishnan, A.; Jacob, M.M.; Sillanpaa, M.; Dayanandan, N. Global Impact of COVID-19 on Agriculture: Role of Sustainable Agriculture and Digital Farming. Environ. Sci. Pollut. Res. 2023, 30, 42509–42525. [Google Scholar] [CrossRef]
- Grzelak, A.; Guth, M.; Matuszczak, A.; Czyżewski, B.; Brelik, A. Approaching the Environmental Sustainable Value in Agriculture: How Factor Endowments Foster the Eco-Efficiency. J. Clean. Prod. 2019, 241, 118304. [Google Scholar] [CrossRef]
- Lu, H.; Xie, H. Impact of Changes in Labor Resources and Transfers of Land Use Rights on Agricultural Non-Point Source Pollution in Jiangsu Province, China. J. Environ. Manag. 2018, 207, 134–140. [Google Scholar] [CrossRef]
- Li, M.; Wang, J.; Zhao, P.; Chen, K.; Wu, L. Factors Affecting the Willingness of Agricultural Green Production from the Perspective of Farmers’ Perceptions. Sci. Total Environ. 2020, 738, 140289. [Google Scholar] [CrossRef]
- Beddington, J. Food Security: Contributions from Science to a New and Greener Revolution. Philos. Trans. R. Soc. B-Biol. Sci. 2010, 365, 61–71. [Google Scholar] [CrossRef]
- Sagheer, A.; Mohammed, M.; Riad, K.; Alhajhoj, M. A Cloud-Based IoT Platform for Precision Control of Soilless Greenhouse Cultivation. Sensors 2020, 21, 223. [Google Scholar] [CrossRef]
- Romeo, L.; Petitti, A.; Marani, R.; Milella, A. Internet of Robotic Things in Smart Domains: Applications and Challenges. Sensors 2020, 20, 3355. [Google Scholar] [CrossRef]
- Ahmed, M.A.; Gallardo, J.L.; Zuniga, M.D.; Pedraza, M.A.; Carvajal, G.; Jara, N.; Carvajal, R. LoRa Based IoT Platform for Remote Monitoring of Large-Scale Agriculture Farms in Chile. Sensors 2022, 22, 2824. [Google Scholar] [CrossRef]
- Fathy, C.; Ali, H.M. A Secure IoT-Based Irrigation System for Precision Agriculture Using the Expeditious Cipher. Sensors 2023, 23, 2091. [Google Scholar] [CrossRef]
- Wu, F. Adoption and Income Effects of New Agricultural Technology on Family Farms in China. PLoS ONE 2022, 17, e0267101. [Google Scholar] [CrossRef]



| Variables | Definition | Adopted (A = 141) | Non-Adopted (B = 424) | Mean Difference (A-B) |
|---|---|---|---|---|
| Diversity of GPT adoption | The proportion of AGPT adoption | 0.731 | 0.602 | 0.129 *** 1 |
| Age | Age of the farm’s owner | 46.638 | 49.472 | −2.833 *** |
| Education | Years of education of farm’s owner | 12.319 | 10.810 | 1.509 *** |
| Professional farmer | 1 if the farm’s owner is a professional farmer, 0 otherwise | 0.702 | 0.604 | 0.098 *** |
| Years of planting | Years of participating in agricultural practices | 18.312 | 22.069 | 3.757 *** |
| Land scales | Land size (mu 2) | 243.455 | 127.419 | 116.026 *** |
| Machine value | Value of total agricultural machine | 10.764 | 9.262 | 1.502 *** |
| Farm income | Farm’s total income in 2021 (yuan) | 13.436 | 12.433 | 0.993 *** |
| Farm cost 3 | Farm’s total production fees in 2021 (yuan 2) | 12.472 | 11.505 | 0.967 *** |
| Brand | 1 if the farm registered brand of agricultural products; 0 otherwise. | 0.433 | 0.173 | 0.260 *** |
| Contract farming | 1 if the farm participated in contract farming, 0 otherwise | 0.355 | 0.185 | 0.170 *** |
| Number of labors | The number of owner labor | 2.652 | 2.372 | 0.280 *** |
| Demonstration farms | 1 if the farm is registered as a demonstration farm; 0 otherwise. | 0.766 | 0.521 | 0.245 *** |
| Cooperatives | 1 if the farm participated in cooperatives; 0 otherwise. | 0.546 | 0.384 | 0.162 *** |
| Instrumental variable | ||||
| Distance | The distance from farm to agribusiness | 1.399 | 1.813 | 0.414 *** |
| Variables | (1) Logit Estimates | (2) Marginal Effects |
|---|---|---|
| Age | −0.009 (0.016) | −0.001 (0.002) |
| Education | 0.109 ** (0.043) | 0.017 *** (0.006) |
| Professional farmer | −0.039 (0.246) | −0.006 (0.038) |
| Years of planting | −0.011 (0.012) | −0.002 (0.002) |
| Land scales | 0.000 (0.000) | 0.000 (0.000) |
| Machine value | 0.037 (0.032) | 0.006 (0.005) |
| Farm income | 0.033 (0.087) | 0.005 (0.013) |
| Farm cost | 0.236 ** (0.105) | 0.036 ** (0.016) |
| Brand | 0.852 *** (0.235) | 0.131 *** (0.035) |
| Contract farming | 0.319 (0.251) | 0.049 (0.038) |
| Number of labors | 0.044 (0.056) | 0.006 (0.009) |
| Demonstration farms | 0.600 ** (0.252) | 0.092 ** (0.038) |
| Cooperatives | 0.065 (0.219) | 0.001 (0.034) |
| Constant | −6.23 *** (1.603) | |
| Pseudo R2 | 0.158 | |
| Observations | 563 |
| ATT | S.E. | T-Test | |
|---|---|---|---|
| Panel A: K-nearest neighbor matching | |||
| Diversity of GPT | 0.086 *** | 0.025 | 3.44 |
| Panel B: Kernel matching | |||
| Diversity of GPT | 0.085 *** | 0.023 | 3.71 |
| Panel C: Partial linear matching | |||
| Diversity of GPT | 0.082 *** | 0.029 | 2.79 |
| Panel D: Radius matching | |||
| Diversity of GPT | 0.086 *** | 0.025 | 3.48 |
| Mean | 0.085 | ||
| Balancing property satisfied | YES | ||
| Common support imposed | YES | ||
| Number of treated | 134 | ||
| Number of controls | 411 | ||
| Combined | 545 | ||
| ATT | ATU | ATE | |
|---|---|---|---|
| Diversity of GPT | 0.142 *** (0.011) | 0.078 *** (0.006) | 0.094 *** (0.005) |
| Variables | ATT | ATU | ATE |
|---|---|---|---|
| Panel A: K- Nearest neighbor matching (KNNM) | |||
| Network technology services | 0.139 ** (0.059) | 0.180 *** (0.055) | 0.170 *** (0.049) |
| Value-added product | 0.784 *** (0.037) | 0.788 *** (0.063) | 0.787 *** (0.053) |
| Environmental monitoring services | 0.326 *** (0.066) | 0.341 *** (0.065) | 0.337 *** (0.057) |
| Balancing property satisfied | Yes | ||
| Common support imposed | Yes | ||
| Observations | 563 | ||
| Number of treated | 134 | ||
| Number of controls | 411 | ||
| Combined | 545 | ||
| Panel B: Kernel matching (KN) | |||
| Network technology services | 0.138 *** (0.048) | 0.185 *** (0.048) | 0.173 *** (0.044) |
| Value-added product | 0.783 *** (0.036) | 0.749 *** (0.054) | 0.757 *** (0.047) |
| Environmental monitoring services | 0.312 *** (0.056) | 0.350 *** (0.057) | 0.341 *** (0.052) |
| Balancing property satisfied | Yes | ||
| Common support imposed | Yes | ||
| Observations | 563 | ||
| Number of treated | 134 | ||
| Number of controls | 411 | ||
| Combined | 545 | ||
Disclaimer/Publisher’s Note: The statements, opinions and data contained in all publications are solely those of the individual author(s) and contributor(s) and not of MDPI and/or the editor(s). MDPI and/or the editor(s) disclaim responsibility for any injury to people or property resulting from any ideas, methods, instructions or products referred to in the content. |
© 2023 by the authors. Licensee MDPI, Basel, Switzerland. This article is an open access article distributed under the terms and conditions of the Creative Commons Attribution (CC BY) license (https://creativecommons.org/licenses/by/4.0/).
Share and Cite
Hu, Y.; Koondhar, M.A.; Kong, R. From Traditional to Smart: Exploring the Effects of Smart Agriculture on Green Production Technology Diversity in Family Farms. Agriculture 2023, 13, 1236. https://doi.org/10.3390/agriculture13061236
Hu Y, Koondhar MA, Kong R. From Traditional to Smart: Exploring the Effects of Smart Agriculture on Green Production Technology Diversity in Family Farms. Agriculture. 2023; 13(6):1236. https://doi.org/10.3390/agriculture13061236
Chicago/Turabian StyleHu, Yixin, Mansoor Ahmed Koondhar, and Rong Kong. 2023. "From Traditional to Smart: Exploring the Effects of Smart Agriculture on Green Production Technology Diversity in Family Farms" Agriculture 13, no. 6: 1236. https://doi.org/10.3390/agriculture13061236
APA StyleHu, Y., Koondhar, M. A., & Kong, R. (2023). From Traditional to Smart: Exploring the Effects of Smart Agriculture on Green Production Technology Diversity in Family Farms. Agriculture, 13(6), 1236. https://doi.org/10.3390/agriculture13061236

