Abstract
Nowadays, large areas of agricultural land are contaminated with chemical plant-protection products. Agricultural soils are also susceptible to oil pollution as a result of accidents on oil pipelines. Bioremediation of such soils from oil with the help of hydrocarbon-oxidizing bacteria is hindered by the presence of additional pollutants such as herbicides. In this work, seven strains of Pseudomonas were isolated and identified, which showed differences in ability of oil biodegradation (32.7–77.3%). All strains showed resistance to herbicides based on 2,4-D and substances from the class of imidazolinones, possessed phosphate-solubilizing and nitrogen-fixing activity, and produced indolyl-3-acetic acid (305–1627 ng/mL culture liquid). They stimulated the growth of barley and clover in soil with oil, as well as the growth of clover in soil with herbicide. In a vegetative experiment (duration 30 days, initial oil content in soil 2% wt., herbicide based on imazethapyr 0.002% wt.) of barley plants and P. alcaligenes UOM 10 or P. frederiksbergensis UOM 11, oil degradation was 48.1–52.7%, the same strains and clover plants, 37.9–38.6%. The studied bacteria have the potential to be used in the bioremediation of oil-contaminated agricultural soils, including in combination with phytomeliorant plants.
1. Introduction
In the near future, humanity is not ready to abandon the use of hydrocarbons as the main source of energy. Therefore, the pace of exploration, exploitation of deposits, and processing of these minerals will increase. Under such circumstances, the negative impact on the environment will also increase. Soil experiences the greatest impact, as it accumulates hydrocarbons, which change its physicochemical properties and suppress biological activity [1]. This, in turn, leads to inhibition of plant growth and development [2,3,4].
All over the world, significant areas of agricultural soil are contaminated with oil and oil products [5,6]. In most cases, arable soils were already initially contaminated with various chemical plant-protection products that are widely used in intensive crop production. Among them, the most numerous class (48% of the global consumption of pesticides [7]) are herbicides, which are used to kill weeds. Like petroleum products, these substances negatively affect soil microbiocenosis [8,9,10,11] and inhibit plant growth and physiological functions [12,13].
Being simultaneously present in the soil, pollutants can enhance the negative effects of each other, which greatly complicates soil purification and restoration [14,15]. Many studies of the separate effect of oil and herbicides on soil and soil biocenosis have been carried out, and various methods for the removal of these xenobiotics have been proposed [16,17,18,19,20]. However, there are very few publications devoted to the development of methods for cleaning oil-contaminated soils in the presence of such additional toxicants as herbicides [21].
Bioremediation based on the ability of living organisms to decompose pollutants is considered a simple, safe, and cost-effective way to eliminate the consequences of anthropogenic pollution [22,23,24,25]. One of its directions is phytoremediation, which makes it possible to rehabilitate lands after various organic and inorganic pollutants have entered them [26,27]. The main limiting factor for its widespread use is the decrease in plant biomass as a result of stress caused by a combination of unfavorable conditions (pollutant toxicity, violation of the water–air regime of the soil, reduced availability of micronutrients, etc.). This, in turn, can lead to very slow recovery rates. It is known that bacteria can contribute to overcoming abiotic stresses in plants [28,29,30]. Therefore, in recent years, when developing approaches to soil bioremediation, special attention has been paid to bacterial strains that, on the one hand, are resistant and capable of biodegrading various pollutants, and, on the other hand, improve the growth of remediating plants [31].
From this point of view, bacteria of the genus Pseudomonas may be of great interest [32]. They are capable of biodegradation of various pollutants (including hydrocarbons and oil) due to the presence of enzymatic systems that catalyze the reactions of biotransformation of almost all classes of organic compounds in a wide range of concentrations and environmental conditions [33,34]. Many pseudomonads have additional genetic material in the form of biodegradation plasmids, which contain genes responsible for the degradation of various pollutants [35,36,37] and produce biosurfactants that facilitate the dispersion and solubilization of hydrophobic substances, hydrocarbons in particular [38,39].
Many bacteria of the genus Pseudomonas exhibit plant growth-stimulating properties (PGP properties, or Plant Growth-Promoting properties), that is, they can positively influence plant growth and development through the synthesis of phytohormones and siderophores and increase the availability of trace elements, suppress phytopathogens, and induce resistance to abiotic stress such as drought, mineral deficiency, and the presence of pesticides [40,41,42,43]. Pseudomonas spp. are widespread in the environment and are convenient to cultivate, since they maintain sufficient numbers on minimal nutrient media, have a high reproduction rate, and can be grown using cheap raw materials (for example, waste from other production, such as waste from the sunflower-oil process, waste frying oil, beet molasses) [44,45,46,47,48,49,50].
The aim of this study was to isolate new strains of hydrocarbon-oxidizing bacteria of the genus Pseudomonas resistant to herbicides from oil-contaminated agricultural soils and to study their PGP properties. We assumed that the isolated strains, in addition to their resistance to herbicides and ability to destroy oil, would also stimulate the growth and development of phytomeliorant plants. The results of these experiments can be used in studying the features of interaction between microorganisms and plants in cases of complex oil and herbicide pollution, and in developing methods for cleaning and restoring such anthropogenically disturbed areas.
2. Materials and Methods
2.1. Isolation of Hydrocarbon-Degrading Strains
Strains of hydrocarbon-oxidizing microorganisms were isolated from samples of oil-contaminated arable soils from the territory of the Republic of Bashkortostan, where various herbicides were used. We used the method of enrichment cultures [51]. A 100 mL measure of liquid Raymond mineral medium (composition (g/L): NH4NO3—2.0, MgSO4 × 7H2O—0.2, KH2PO4—2.0, Na2HPO4—3.0, CaCl2 × 6H2O—0.01, Na2CO3—0.1, pH—7.0) [52] was introduced into flasks, and 1% (w/v) oil (the only source of carbon and energy) and 2 g of soil were added. After that, cultivation was carried out on an orbital shaker-incubator ES-20/60 (SIA BIOSAN, Latvia) at 28 °C and 160 rpm for 7 days. Further seeding from enrichment cultures was carried out on nutrient agar (NA) (composition (g/L): peptone—5.0, yeast extract—3.0, glucose—1.0, NaCl—5.0, agar–agar—15.0), after which the microorganisms were cultivated for 5 days at 28 °C.
For further studies, the most actively growing isolates on agar and liquid Raymond medium with oil as the sole carbon source were selected. The intensity of growth in a liquid medium with oil (4% w/v) was estimated from the change in the appearance of the medium and the change in pH.
2.2. Identification of the Isolates
Cell morphology was studied using a Solver Pro-M scanning probe microscope (NT-MDT, Russia). Physiological and biochemical properties were studied according to generally accepted methods [53,54]. Identification of strains was carried out by MALDI-TOF mass spectrometry as described in [55]. Spectra were registered in the linear mode with delayed ion extraction using Autoflex Speed (Bruker Daltonics, Germany) with a time-of-flight analyzer (delay time was 350 ns, acceleration potential was 20 kV). The record of spectra was processed in positive-ion mode; the range of registered masses was 2–20 kDa. The external calibration of the analyzer was processed to a mixture of proteins of the Bruker Bacterial Test Standard (Bruker Daltonics); the resolution of the spectra was ±2 Da. The resulting spectra for each strain preparation were obtained by summing the spectra registered in 10–15 points of the analyzed preparations at 500 hits of the laser. The taxonomic classification decision of the strain was made using the Biotyper 3.0 program (Bruker Daltonics). MALDI-TOF mass spectrometry identification results were accepted at genus or species level according to Bruker’s instructions. High-confidence identification indicates a score in the range of 2.00–3.00, which means reliable identification at species level. Low-confidence identification is accepted at genus level, with the score of 1.7–1.99. Scores below 1.7 are considered as non-reliable identifications at any level.
To clarify the species affiliation of microorganisms, 16S rRNA gene nucleotide sequences were determined. Total DNA from bacterial colonies was isolated according to the procedure described in [56]. Amplification of the 16S rRNA gene fragment was carried out with universal primers 27F (5′-AGAGTTTGATCTGGCTCAG-3′) and 1492R (5′-ACGGTACCTTGTTACGACTT-3′) [57] on a C1000 TouchTM Thermal Cycler amplifier (Bio-Rad Laboratories, Hercules, CA, USA). PCR products were purified, and the subsequent sequencing reaction was performed using the Big Dye Terminator Cycle Sequencing Kit (Applied Biosystems, Waltham, MA, USA) according to the manufacturer’s instructions, with the help of the ABI PRIZM 3730 automatic sequencer (Applied Biosystems, Waltham, MA, USA). The search for 16S rRNA nucleotide sequences similar to the corresponding sequences of the studied strains was carried out using the EzBioCloud server (https://www.ezbiocloud.net, accessed on 1 March 2023). The MEGA 6.06 software was used to construct a phylogenetic tree using the neighbor-joining method [58] with 1000 replicates of bootstrap values to ensure the robustness of the conclusions. The Jukes–Cantor method [59] was used to determine genetic distances and clustering.
2.3. Hydrocarbon-Oxidizing Activity of Strains
The hydrocarbon-oxidizing activity of the strains was assessed by the degree of biodegradation of the aliphatic fraction of oil using the gas chromatography method [60]. Bacteria were cultivated in liquid Raymond medium with oil (4% w/v) at 28 °C and 160 rpm for 5 days. The oil-degrading strain Pseudomonas turukhanskensis IB 1.1 was used as a reference [61]. After incubation, the paraffin–naphthenic oil fraction was extracted with hexane and analyzed on a gas chromatograph (Kristall Lux 4000, Russia) with a flame ionization detector and a Zebron™ ZB-1XT capillary column (30 m × 0.53 mm × 2.65 μm). The analysis mode was: initial column temperature 100 °C, heating rate 5 °C/min, final temperature 270 °C, carrier gas helium. The degree of oil biodegradation (%) was calculated on the basis of chromatographic data in accordance with the instructions for the device.
2.4. Resistance of Strains to Herbicides
The resistance of strains to herbicides was determined visually by the intensity of growth on NA medium with the addition of various concentrations of herbicides in comparison with the growth rates on the NA medium without herbicides after cultivation at 28 °C for 7 days. Russian-made selective herbicides were used (Table 1). The commercial products were chosen because surfactants and their other components can change the level of toxicity of herbicides [62]. The concentration of the products in the medium varied in the range 1–10 mL/L.
Table 1.
Characteristics of herbicides.
2.5. Resistance of Strains to Heavy Metals
The resistance of strains to heavy metals (Zn, Co, Cd, Pb, Cu, Ni) was assessed visually by their growth on NA medium with salts of these metals (ZnSO4 × 6H2O, CoCl2 × 2H2O, Cd(CH3COO)2 × 2H2O, Pb(CH3COO)2 × 3H2O, CuSO4 × 5H2O, NiCl2 × 6H2O) in comparison with the growth rates on the NA medium without salts after incubation at 28 °C for 7 days. The concentration of metal ions was varied in the range 1–10 mmol/L.
2.6. Production of Hydrolytic Enzymes of Strains
The production of hydrolytic enzymes by the strains was determined by the following methods: protease—by liquefaction of gelatin, amylase—by the diameter of the starch hydrolysis zone, cellulase—by the presence of a zone of dissolution of carboxymethylcellulose, and lipases—by the presence of an opaque zone of calcium salts of fatty acids on a medium with Tween 80 [51].
2.7. PGP Properties of Strains
2.7.1. Phosphate Solubilization
The ability of strains to mobilize inorganic phosphates was determined on Pikovskaya medium (composition (g/L): glucose—10.0, (NH4)2SO4—0.5, NaCl—0.2, KCl—0.2, MgSO4 × 7H2O—0.1, MnSO4 × 7H2O—0.5, FeSO4 × 7H2O—0.5, yeast extract—0.5, agar-agar 15.0, pH—7.2) [63] with the addition of tricalcium phosphate. Bacteria were cultivated for 10 days at 28 °C. The solubilization halo (the translucent area surrounding the colony) diameter was measured. Based on these measurements, the solubilization index (SI) was calculated as follows: halo diameter (mm)/colony diameter (mm) [64]. If the value of the solubilization index (SI) was less than 2, then it was considered that the isolate had low solubilization potential, if SI was 2–3, then the isolate had average solubilization potential, and if SI was greater than 3, then the isolate had high potential [65].
2.7.2. Nitrogen Fixation
The ability of the strains to fixate nitrogen was determined by growth rates on Ashby agar medium (composition (g/L): mannitol—20.0, K2HPO4—0.2, MgSO4×7H2O—0.2, NaCl—0.2, K2SO4—0.1, CaCO3—5.0, agar-agar—15.0) [51] after 5 days of cultivation at 28 °C. The strains were considered active if the number of their cells increased from 105 to 109 CFU/mL or more during 72 h of cultivation. A lower growth rate was interpreted as weak growth.
2.7.3. IAA Production
The content of indolyl-3-acetic acid (IAA) in the culture liquid was analyzed chromatographically as described [66]. Sampling to assess the content of IAA in the culture liquid was carried out after growing bacteria on the NA medium for 5 days. Culture liquid was subjected to centrifugation at 8000× g followed by ultrafiltration through cassettes with a pore diameter of 1 kDa (SARTOCOON Slice Cassete, Germany). Ultrafiltrates were analyzed on an LC-20 Prominence HPLC system with an SPD-M20A diode array detector (Shimadzu, Japan). For chromatographic separation, a Zorbax-ODS column (250 × 4.6 mm) (Shimadzu, Japan) was used in isocratic mode at a solvent ratio of 0.1% acetic acid in water: acetonitrile, 20:80. Absorption was recorded at a wavelength of 279 nm. The IAA concentration was determined from a calibration curve constructed using a standard (Sigma, St. Louis, MO, USA) in the concentration range of 10–10,000 ng/mL.
2.8. Growth Stimulating Activity
2.8.1. The Influence of Strains on the Growth and Development of Plants in Oil-Contaminated Soil
The ability of the strains to stimulate plant growth was tested on the seeds of barley (Hordeum vulgare L.) variety Chelyabinsky 99 and red clover (Trifolium pratense L.) variety Early 2. These plants were chosen because they belong to different families (Poaceae and Fabaceae), and barley and clover are resistant to oil pollution, responsive to bacterization, and have previously been used as phytoremediants [30,67,68,69]. Seeds were inoculated for 15 min. The required amount of liquid culture of bacteria was calculated so that the titer of cells per seed was 105 CFU for barley and 104 CFU for clover. Control seeds were similarly soaked in water. The seeds of barley and clover were placed on the moistened soil in 15 and 20 pieces per Petri dish and incubated for 3 and 4 days at 24–26 °C, respectively. Afterwards, the germination and length of the shoots and roots were measured. In barley, the total length of the roots was measured. We used non-sterile leached chernozem (Luvic Chernozem) from Ufa district of the Republic of Bashkortostan (Russia). The soil was characterized by the following parameters: pHKCl 6.3, Ntotal 0.61%, the humus content 6.8%, and available (0.2 N KCl extract) P2O5 and K2O 94.5 and 101.7 mg/kg soil, respectively. Coarse roots and other plant residues were preliminarily removed from the soil samples, then the soil was dried in air and sifted through a sieve (mesh size was 1 cm). Humidity was maintained at 60%.
We also tested the effect of bacteria on plant growth in the presence of oil. The soil was mixed with oil (2% w/w), then laid out in Petri dishes (40 g per dish) and left for 2 days to weather the toxic volatile components. The experiment was then carried out as described above.
2.8.2. Influence of Strains on Plant Growth and Development under Herbicide Contamination
The soil was placed in Petri dishes (40 g per dish) and moistened to 60% of soil moisture capacity. The characteristics of the soil used are given above. The soil was treated with a solution of Tapir herbicide (concentration 4 mL/L). A 180 μL measure of the working solution of the herbicide was added to one dish (the area of the soil plate was taken into account in the calculation). The amount of the herbicide was increased by 2 times compared to the consumption recommended by the manufacturer. After treatment, the soil was mixed and clover seeds were laid out on its surface. Previously, we found that barley was resistant to this herbicide, so clover was used as a test object. Seed bacterization was carried out as described above. Control seeds were treated with tap water. The dishes were incubated at 24–26 °C for 4 days. After that, seed germination was calculated and the length of shoots and roots was measured.
2.9. Influence of Strains and Plants on the Content of Petroleum Hydrocarbons in the Soil
In the experiment on bioremediation of oil-contaminated soil (including that containing herbicide), barley and clover were used as phytomeliorants. Oil (2% w/v) was added to air-dry soil mixed with sand in a ratio of 9:1, and 450 g were placed in vegetation vessels (V = 500 mL). Herbicide Tapir was added in the amount of 2.0 mL of the working solution of the drug (see above) per 450 g of oil-contaminated soil. Soil moisture was maintained at the level of 60–80% of the total soil moisture capacity. The duration of the experiment was 30 days. The vessels were planted with six barley seeds or ten clover seeds. Throughout the experiment, the plants grew at a temperature of 22–26 °C and a 14-hour photoperiod on a light platform providing illumination of 240 µmol m−2 s−1 PAR. Before planting in the soil, the seeds were treated with the liquid culture of P. alcaligenes UOM 10 or P. frederiksbergensis UOM 11, as described above. These microorganisms were chosen due to their high hydrocarbon-oxidizing activity. In the variants of the experiment without the use of plants, the soil mixture was watered with the liquid culture of bacteria in such a way that the cell titer was at least 105 CFU/g of soil. Experimental variants without inoculation served as controls.
The content of residual hydrocarbons in soil samples was measured using EPA method 3540C (https://www.epa.gov/hw-sw846/sw-846-test-method-3540c-soxhlet-extraction (accessed on 1 March 2023)). Ten-gram soil samples were packed in filter paper and extracted in a Soxhlet extractor with 300 mL of hexane for 8 h at six extraction cycles per hour. The extraction product was transferred to a glass column filled with glass wool and Na2SO4 to remove any water it contained. The extract was collected in a flask for subsequent evaporation of the solvent using a rotary evaporator Rotavapor R-100 (Buchi Labortechnik AG, Flawil, Switzerland) until a final volume of 2 mL was reached. The concentrated solution was poured into a pre-weighed glass beaker and dried until a constant weight was reached. The total petroleum hydrocarbons present in the samples were then quantified by gravimetric analysis with a weighing accuracy of up to 0.1 mg.
The degree of hydrocarbon biodegradation (D) was calculated from the formula:
where C0 is the initial concentration of oil hydrocarbons (20 g/kg soil), and C1 is the concentration of oil hydrocarbons in the samples at the end of the experiment.
2.10. Statistical Analysis
The experiments were performed in triplicate. The data were processed using Statistica (Statsoft) software (version 10). In figures and tables, data are presented as mean ± standard error. The significance of differences was assessed by ANOVA followed by Duncan’s test (p ≤ 0.05).
3. Results
3.1. Isolation and Identification of Strains
Of the 54 isolates visually different when grown on NA, 18 isolates were selected for further studies. They were characterized by the most intensive growth on agar and liquid Raymond medium with oil. During the cultivation of each isolate in the liquid medium, the oil film disappeared on its surface and on the walls of the flasks, oil was dispersed, flakes were formed, and the pH shifted towards the acid side from between 6.70 and 6.74 at the beginning of incubation to between 5.56 and 6.38 at the end (Figure S1).
As a result of MALDI– -TOF mass spectral analysis of cellular proteins, each isolate was assigned a numerical identification rating (score). Based on these data, 7 isolates out of 18 were assigned to the genus Pseudomonas (UOM 9, UOM 10, UOM 11, UOM 13, UOM 14, UOM 15, UOM 16). The scores of isolate UOM 9 and UOM 15 were 1.903 and 1.989, which corresponds to a high degree of accuracy of generic identification. The scores of isolate UOM 10, UOM 11, UOM 13, UOM 14, and UOM 16 were 2.073–2.201. This corresponds to a high degree of species identification (Table 2).
Table 2.
Differently identified isolates by MALDI-TOF MS and 16S rRNA gene sequencing.
In all isolates, a comparative analysis of the nucleotide sequence of the 16S rRNA gene was performed. Sequences were submitted to the GenBank genetic sequence database at the NCBI (Table 2). The phylogenetic position of the studied isolates compared to the closest and other known strains of genus Pseudomonas is shown in the dendrogram construct on the basis of the 16S rRNA gene sequences (Figure S2). Phenotypic and physiological–biochemical features of isolated Pseudomonas spp. are given in Table S1. Thus, it was found that isolate UOM 9 belongs to the species P. silesiensis, UOM 10 belongs to P. alcaligenes, UOM 11 to P. frederiksbergensis, UOM 13 to P. arsenicoxydans, UOM 14 to P. jessenii, UOM 15 to P. zhaodongensis, and UOM 16 to P. avellanae.
3.2. Hydrocarbon-Oxidizing Activity of Strains
Pseudomonas spp. had different abilities to decompose oil in the liquid medium (Figure 1). The degree of biodegradation in P. silesiensis UOM 9, P. jessenii UOM 14, P. zhaodongensis UOM 15, and P. avellanae UOM 16 was 32.7–42.4%, and in P. arsenicoxydans UOM 13 it was 50.8%. The highest level of oil degradation was recorded for the P. alcaligenes UOM 10 (74.8%) and P. frederiksbergensis UOM 11 (77.3%) strains. These parameters were equal to those of the reference oil-oxidizing strain P. turukhanskensis IB 1.1 (76.8%).
Figure 1.
Degree of oil biodegradation by Pseudomonas spp. Statistically different means values are marked with different letters (p ≤ 0.05).
3.3. Resistance of Strains to Herbicides
Herbicides Octapon extra, Tapir, and Germes contain different active ingredients (2,4-dichlorophenoxyacetic acid (2,4-D), imazethapyr, imazamox + khizalofop-P-ethyl, respectively). Despite this, all strains were resistant to them over the entire range of concentrations, which indicates the absence of toxicity of these drugs for the studied bacteria. The exception was P. jessenii UOM 14, which could not withstand the presence of Octapon extra in an amount of more than 5 mL/L (Table 3).
Table 3.
Properties of the pseudomonad strains.
Bacterial resistance to Chistalan and Phenazin was much lower (no more than 5 mL/L). The strains P. frederiksbergensis UOM 11, P. jessenii UOM 14, and P. zhaodongensis UOM 15 did not grow at the concentration of Chistalan in the medium above 1 mL/L (Table 3).
3.4. Resistance of Strains to Heavy Metals
Among all studied strains of P. jessenii, UOM 14 showed the highest resistance to four out of six metals (lead, cadmium, zinc, copper). Cadmium was the most toxic for microorganisms. It completely suppressed the growth of some strains (P. alcaligenes UOM 10 and P. zhaodongensis UOM 15). Lead, zinc, and nickel were the least toxic. The strains (with the exception of P. jessenii UOM 14) showed the same resistance to these metal ions (no more than 4–5 mmol/L) (Table 3).
3.5. Production of Hydrolytic Enzymes
The P. silesiensis UOM 9 and P. avellanae UOM 16 strains did not produce enzymes from the test set. The P. zhaodongensis UOM 15 strain produced lipase, amylase, and cellulase. Most of the bacteria (five out of seven) had lipase activity (Table 3).
3.6. PGP Properties of Strains
3.6.1. Phosphate Mobilization
All strains were capable of dissolving calcium phosphate, but to varying degrees. The strains P. alcaligenes UOM 10 and P. zhaodongensis UOM 15 had a low phosphate solubilization potential (SI less than 2), while the P. frederiksbergensis UOM 11 had a high potential (SI 3.2). Other bacteria had an average inorganic phosphate solubilization potential (SI 2-3) (Table 3).
3.6.2. Nitrogen-Fixing Ability
The strains showed good growth on Ashby’s nitrogen-free medium (Table 3). The strain P. silesiensis UOM 9 produces mucus, which is an indirect indication that it synthesizes exopolysaccharide.
3.6.3. IAA Products
All studied strains synthesized IAA (Table 3). Its highest concentration was found in the culture liquid of P. alcaligenes UOM 10 and P. jessenii UOM 14 strains (1627 and 1615 ng/mL, respectively). Bacteria P. silesiensis UOM 9 and P. frederiksbergensis UOM 11 produce the least amount of this substance (539 and 305 ng/mL of culture liquid, respectively).
3.7. Growth-Stimulating Activity
3.7.1. Influence of Bacterization on the Growth and Development of Plants in Oil-Contaminated Soil
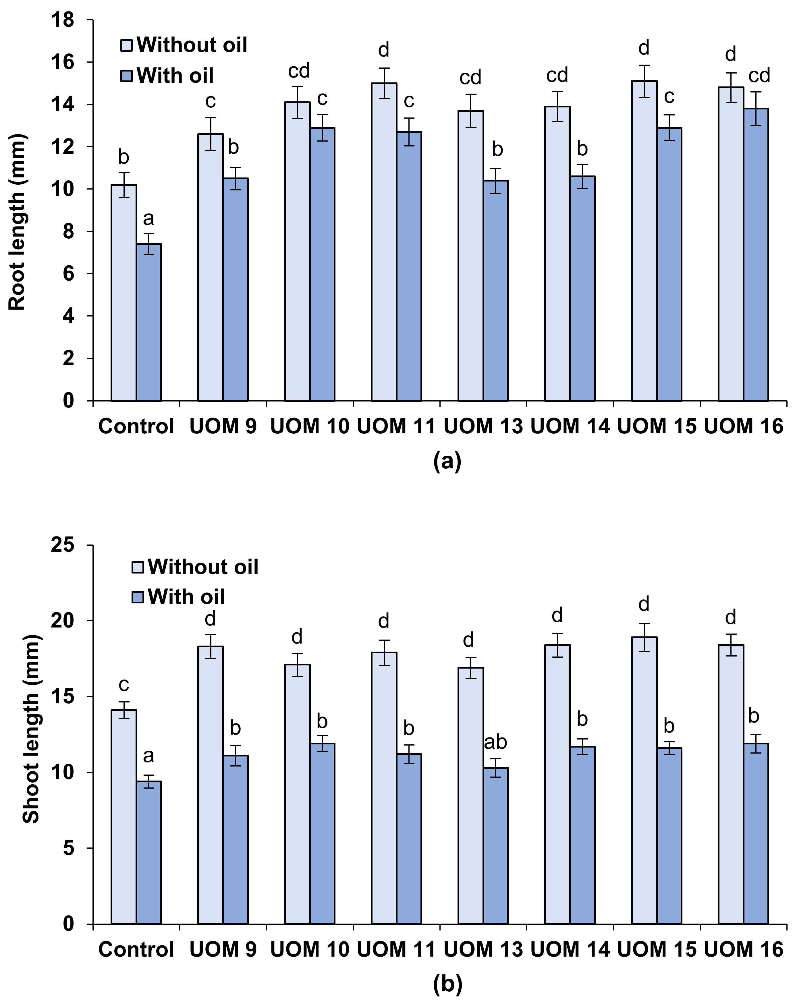
The germination of barley seeds, regardless of the variant of the experiment on pure soil, was 100%. However, treatment of barley seeds with strains P. alcaligenes UOM 10, P. zhaodongensis UOM 15, and P. avellanae UOM 16 led to shoot elongation by 12.1–21.9%, while the use of P. alcaligenes UOM 10, P. frederiksbergensis UOM 11, P. jessenii UOM 14, P. zhaodongensis UOM 15, and P. avellanae UOM 16 increased the total root length by 26.4–49.4% (Figure 2).
Figure 2.
Effect of bacterization on the length of roots (a) and shoots (b) of barley plants. Statistically different means values are marked with different letters (p ≤ 0.05).
The germination of clover seeds in the control was 72%. Bacterization of clover seeds with all strains contributed to the growth of shoots and roots of seedlings by 19.9–34.0% and 23.5–48.0% (Figure 3), and an increase in seed germination up to 77–86%.
Figure 3.
Effect of bacterization on the length of roots (a) and shoots (b) of clover plants. Statistically different mean values are marked with different letters (p ≤ 0.05).
Seed germination on oil-contaminated soil generally remained the same as on clean soil, although oil had a noticeable negative effect on the development of both plants. The length of the roots and shoots of barley in the control decreased by 34.6% and 45.1%, clover—by 27.5% and 33.3%, respectively (Figure 2 and Figure 3). The root/shoot ratio of both plants increased compared to that in pure soil (Table 4).
Table 4.
Root/shoot ratio in barley and clover plants.
Under the influence of bacterization, the plants were able to compensate for the lag in the growth of roots and partially shoots. Roots of inoculated barley plants in oil-contaminated soil were comparable in length to those of control plants in clean soil. In the presence of oil, the length of roots of clover seedlings treated with strains P. alcaligenes UOM 10, P. frederiksbergensis UOM 11, P. zhaodongensis UOM 15, and P. avellanae UOM 16 was 24.5–35.3% higher than in the pure control. In the oil-contaminated soil, the inoculated barley plants had longer shoots than the untreated plants in the control (by 22.9–32.2% when treated with P. alcaligenes UOM 10, P. frederiksbergensis UOM 11, P. zhaodongensis UOM 15, and P. avellanae UOM 16). Under the same conditions, the length of clover shoots after inoculation increased by 18.1–26.6%. Thus, the use of bacteria had a positive effect on the morphometric parameters of plants in clean and oil-contaminated soil (Figure 4).
Figure 4.
Effect of bacterization on barley (a) and clover (b) plants in oil-contaminated soil. In figures (a,b), on the left is the Petri dish with a control, on the top right is the dish with plants treated with P. alcaligenes UOM 10 strain, and on the bottom right is the Petri dish with plants treated with P. frederiksbergensis UOM 11 strain.
As a result of bacterization, the ratio of the length of plant roots to the length of shoots increased on clean and oil-contaminated soil, but its maximum values were recorded in inoculated plants on soil with oil (Table 4).
3.7.2. Influence of Strains on Plant Growth and Development under Herbicide Contamination
To assess the growth-stimulating activity of the strains, the herbicide Tapir was used, since this drug is resistant to degradation and can accumulate in the soil. Tapir is intended for the destruction of dicotyledons and cereal weeds in soybean and pea crops. Previously, we found that barley was resistant to this herbicide, so clover was used as a test object. Seed germination and morphometric parameters of its seedlings on soil treated with the herbicide turned out to be significantly lower than on pure soil. Germination decreased from 72% to 52%, root and shoot length decreased by 12.7% and 26.9%, respectively (Figure 5 and Figure 6). The ratio of root length to shoot length increased from 0.72 to 0.86 (Table 4).
Figure 5.
Effect of bacterization on the length of roots and shoots of clover plants in the presence of herbicide. Statistically different mean values are marked with different letters (p ≤ 0.05).
Figure 6.
Effect of bacterization on clover plants in herbicide-treated soil. On the left is the Petri dish with a control, on the top right is the dish with plants treated with P. alcaligenes UOM 10 strain, and on the bottom right is the Petri dish with plants treated with P. frederiksbergensis UOM 11 strain.
Bacterization of clover seeds before their germination on soil with the herbicide improved all three analyzed parameters. Germination of inoculated seeds was 76–84%. The length of shoots after the application of microorganisms increased by 28.2–47.6%. The length of the roots also increased, but significant differences from the control (by 22.5–29.2%) were found only in the variants with strains P. alcaligenes UOM 10, P. frederiksbergensis UOM 11, and P. avellanae UOM 16. The ratio of root length to shoot length in treated plants approached the value of this indicator on pure soil and amounted to 0.69–0.78 (Table 4).
3.8. Biodegradation of Hydrocarbons in the Soil
In the soil experiment, the strains P. alcaligenes UOM 10 and P. frederiksbergensis UOM 11 were used, since they also had the highest activity in the decomposition of oil in vitro. The degree of oil biodegradation for four weeks in the variants with the use of these strains was 37.5–38.2%. When using barley and clover plants without the introduction of bacteria, this indicator was 33.4% and 26.4%, respectively (Figure 7). The combined use of the bacteria and plants increased the efficiency of oil decomposition. In the presence of microorganisms, the hydrocarbon concentration decreased at approximately the same rate: in the variants with barley, the degree of destruction was 49.3–51.2%, and with clover, 40.6–42.7%.
Figure 7.
The degree of hydrocarbons biodegradation in various reclamation options. UOM 10 and UOM 11 are variants of experiments with the introduction of Pseudomonas alcaligenes UOM 10 and P. frederiksbergensis UOM 11 strains, respectively. Statistically different mean values are marked with different letters (p ≤ 0.05).
The addition of herbicide Tapir to oil-contaminated soil did not have a significant effect on the process of hydrocarbon decomposition. When the soil was simultaneously contaminated with oil and Tapir, destruction also occurred more intensively in those variants where barley and clover plants were subjected to bacterial treatment.
4. Discussion
At present, much scientific and practical experience has been accumulated in the elimination of the consequences of oil pollution [18,70]. However, given the important role of hydrocarbons in the world economy, as well as the diversity of soil and climatic conditions on our planet and the variability in the qualitative and quantitative composition of oil and oil products, the task of developing and implementing effective methods for reclamation of hydrocarbon-contaminated areas is still very relevant. In this study, seven strains of hydrocarbon-oxidizing pseudomonads were isolated and identified from oil-contaminated arable soils. Our interest was focused specifically on pseudomonads, since they have a wide range of properties useful for environmental biotechnology [71].
Undoubtedly, the most important quality of hydrocarbon-oxidizing bacteria is their ability to degrade oil. The isolated microorganisms showed different degrees of oil degradation (32.7–77.3%) (Figure 1). P. alcaligenes UOM 10 and P. frederiksbergensis UOM 11 proved to be the most effective. They are representatives of species that are well-known for their ability to degrade oil, petroleum products, and polycyclic aromatic hydrocarbons (PAHs) [72,73,74,75,76,77]. An additional advantage of the isolated bacteria is their ability to synthesize lipase (Table 3). This enzyme can serve as an effective tool for the decomposition of hydrocarbons [78,79], and the lipase activity of microorganisms is used to monitor the biodegradation of oil and oil products during bioremediation [80].
Today, anthropogenic soil pollution most often has a complex character. For example, oil and pesticide contamination can occur as a result of accidents on oil pipelines passing through agricultural land on which chemical plant protection products were used [5,6]. The presence of additional pollutants inhibits the vital activity of the native hydrocarbon-oxidizing microorganisms and leads to a decrease in the efficiency of self-purification of oil-contaminated soil [81]. Therefore, for its bioremediation, it is necessary to use oil-degrading microorganisms that are resistant to the presence of other pollutants. All Pseudomonas spp. isolated by us had equally high resistance to herbicides Octapon extra, Tapir, and Hermes, despite the fact that their active substances belong to different classes of chemical compounds. Resistance to Chistalan and Phenizan was at least two times lower (Table 3). The composition of these two herbicides includes an additional component of dicamba (3,6-dichloro-2-methoxybenzoic acid). Perhaps it could have a negative effect on bacterial growth.
In addition to herbicides, heavy metals can be found in oil-contaminated agricultural soils. They accumulate during crude-oil spills and as a result of violation of the regulations for the use of pesticides and fertilizers [82,83,84,85]. Heavy metals have their own toxicity, which can have a negative effect on microorganisms [86,87]. To date, there are no clear criteria for dividing strains into resistant and unresistant to the effects of heavy metals. For example, it was proposed that pseudomonads, for which growth is not inhibited by NiCl2, ZnSO4, or Pb(CH3COO)2 at a concentration of 1 mmol/L, are resistant to nickel, zinc, and lead [88]. In [89], bacteria of the genus Pseudomonas isolated from water containing metal salts (circulating cooling water of iron and steel plant) were considered resistant if they grew in the presence of nickel, zinc, and lead in amounts of 3.5–4.0, 2.5–3.0, and 2.5–3.0 mmol/L, respectively. The bacteria isolated in this study showed resistance to lead, zinc, and nickel ions in the amount of 4.0–5.0 mmol/L (except for P. jessenii UOM 14) (Table 3). This feature can serve as an additional advantage of the strains in the selection of agents for bioremediation of oil-contaminated agricultural soils.
To improve the efficiency of soil bioremediation, microbiological destruction and phytoremediation are often combined. Microorganisms used for this should not only destroy pollutants, but also stimulate plant growth, i.e., have PGP properties [90]. Therefore, it seemed important to find out whether the studied hydrocarbon-oxidizing pseudomonads belong to the PGPB group. In particular, they can increase the availability of nitrogen and phosphorus for plants, which are key elements in the mineral nutrition of plants [91]. Nitrogen is part of the amino acids from which proteins are synthesized. It plays an important role in almost all metabolic processes in plant cells. Phosphorus affects the formation of the rudiments of the reproductive parts of plants and the branching of the roots. At the same time, phosphorus contained in the soil is practically inaccessible to plants due to poor solubility and the formation of complexes with metals [92]. Therefore, strains with nitrogen fixing and phosphate solubilizing activity are of great practical interest for environmental and agricultural biotechnology. Many Pseudomonas spp. have these properties [45,93], including the bacteria studied in this work, which had the potential to fix atmospheric nitrogen. They actively grew on a nitrogen-free medium (Table 3), i.e., are at least oligonitrophils. In addition, the strains were capable of phosphate solubilization. Particularly promising from this point of view was the strain P. frederiksbergensis UOM 11, whose ability to dissolve phosphates was high (SI 3.2) (Table 3). This is a characteristic feature of many members of this species [94,95].
Bacterization positively affected the length of roots and shoots of barley and clover in clean and oil-contaminated soil, as well as the growth and development of clover seedlings in herbicide-treated soil (Figure 2, Figure 3, Figure 4, Figure 5 and Figure 6). The ability of bacteria to increase the growth rates of plants (the length of roots, in particular) is very important when bioremediation is carried out using microbial–plant complexes. The presence of hydrocarbons in the soil reduces the water-holding capacity and air exchange, and also leads to a change in the physical and chemical properties of the soil, and the availability of mineral nutrients [96,97]. Therefore, increased growth of the underground part is an important plant response to oil stress. In general, roots provide surfaces for attachment of microorganisms and secrete exudates, which contribute to an increase in their abundance in the rhizosphere [98,99], and also produce enzymes that destroy organic pollutants in the soil [100].
As is known, the production of phytohormones by bacteria plays an important role in their stimulating effect on plants [29,101]. Auxins are the main regulators of plant growth and development, and IAA is the most common indole compound of this group. It enhances plant cell division, their elongation and differentiation, and promotes colonization of roots by bacteria and protection against pathogens [102,103,104,105,106]. It is known that exogenous auxins help plants overcome abiotic stress caused by drought, salinity, and pesticides [40,107]. All the studied strains synthesized IAA, but according to its content in the culture liquid, they can be divided into two groups: microorganisms with a low level of IAA production (P. silesiensis UOM 9 and P. arsenicoxydans UOM 13) and with an average level (Table 3). It was found that IAA enhances root growth [29]. Probably, the different ability of the studied microorganisms to increase the length of the roots in both plants in contaminated soil depends on the amount of IAA produced (Figure 2a and Figure 3a). Thus, P. silesiensis UOM 9 and P. arsenicoxydans UOM 13, which secrete the least of this phytohormone (539 and 305 ng/mL), had a weaker stimulating effect than other strains. The P. alcaligenes UOM 10 and P. jessenii UOM 14 strains producing the same amount of auxin (1627 and 1615 ng/mL) differed from each other in their ability to enhance plant growth. The obtained results are consistent with the literature data, which show that stimulation of plant growth is due to the complex effect of microorganisms and a high concentration of IAA in the culture liquid does not guarantee the presence of a growth stimulating effect from bacterization [108].
The root/shoot ratio characterizes the growing conditions of plants. The worse the provision of plants with nutrients and water, the higher this ratio. On the example of both plants, we saw that the ratio increased when the soil was contaminated with oil and herbicide. For barley in clean and oil-contaminated soil, it was 6.2 and 7.4 (Table 4). When treated with Pseudomonas spp., the root/shoot ratio in barley plants on oil-contaminated soil turned out to be 1.2–1.5 times higher than in the variant without inoculation. This indicates that, under the influence of bacterization, plants in the early stages of their development were able to form a more powerful root system, which in the future should ensure enhanced growth of the aerial part.
When studying clover plants, we were able to compare how the introduction of the bacteria affected their development in the presence of different xenobiotics. As with barley, clover inoculation led to an even greater increase in root formation in oily soil. The root/shoot ratio also increased by 1.2–1.5 times compared to the control. A completely different relationship was found in soil contaminated with Tapir herbicide. The introduction of bacteria led to a decrease in the root/shoot ratio compared to untreated plants (0.86 in the control and 0.69–0.78 in the variants using pseudomonads) (Table 4). This means that the bacterized plants successfully overcame stress and maintained growth rates at the level of plants that developed on clean soil.
Thus, presowing seed treatment contributed to better adaptation of plants to abiotic stress conditions caused by various pollutants. Under the influence of bacterization, plants were able to almost completely neutralize the consequences of the presence of the herbicide in the soil and partially compensate for the negative effect of oil on growth characteristics. Apparently, this is due to the fact that the obstacle to the development of plants was not the toxic effect of pollutants, but the ability of oil to have a negative effect on the physicochemical and structural properties of the soil.
The results obtained were used in the preparation of a vegetation experiment for cleaning up oil-contaminated soil (including in the presence of imazethapyr-based herbicide) using the most active oil-degrading microorganisms P. alcaligenes UOM 10 or P. frederiksbergensis UOM 11. It was previously noted (see review by [109] and references) that the use of degrading bacteria with PGP properties makes phytoremediation more effective by stimulating plant growth and enhancing the biodegradation of pollutants. In the present study, it was found that the combined use of oil-degrading strains P. alcaligenes UOM 10 or P. frederiksbergensis UOM 11 and phytomeliorant plants had a positive effect on the rate of removal of hydrocarbons from the soil. The best result in soil cleaning was obtained when using the bacteria in conjunction with barley. The degree of biodegradation for the month of the experiment was 49.3–51.2%. The use of barley without bioaugmentation led to lower results, but was more effective than the use of unbacterized clover. The low efficiency of clover (the degree of oil biodegradation is 26.4%), in our opinion, is associated with a weak root system of plants and a slow growth rate of the aerial part. When clover seeds were inoculated with strains P. alcaligenes UOM 10 or P. frederiksbergensis UOM 11, the degree of soil purification increased by 14.2–16.3%.
The presence of the herbicide Tapir in the soil against the background of oil pollution (20 g/kg of soil) had almost no effect on the rate of biodegradation. It is known that Tapir (imazethapyr) can persist in the soil for up to two years and has significant phytotoxicity [110]. Despite this, apparently, both barley and clover can be used in the reclamation of areas containing, among other things, residual amounts of this herbicide.
During the analysis of the obtained data, the authors faced the problem of comparative evaluation of the results of the experiment. There is a sufficient number of studies on this topic [111,112,113], but it is almost impossible to compare our results with data in the literature. This is due to significant differences in the experimental conditions. The differences relate to the qualitative and quantitative composition of oil and oil products, soil characteristics, the method of reclamation, the duration of the experiments, methods for assessing the residual amounts of hydrocarbons in the soil, etc. Nevertheless, the analysis of publications allows the authors to assert that the level of hydrocarbon biodegradation established in this work (in the range of 40–50% per month) is sufficient to consider the P. alcaligenes UOM 10 and P. frederiksbergensis UOM 11 strains as promising agents for bioremediation of oil-contaminated soils, including in the presence of herbicides.
According to the available literature, this study is one of the few in which oil-degrading bacteria resistant to additional pollutants and enhancing plant growth under conditions of oil and herbicide pollution were isolated. Our future efforts will be aimed at studying how these microorganisms (including together with plants) will affect the content of hydrocarbons in the soil in the presence of herbicides and heavy metals. In addition, we plan to study whether these pseudomonads can degrade herbicides and inactivate heavy metals in the soil. It will also be interesting to test the effectiveness of using various consortiums of isolated strains for these purposes. The obtained results can become the basis for the development of effective bioremediation technologies for complexly contaminated soils.
5. Conclusions
In the present study, seven strains of hydrocarbon-oxidizing Pseudomonas were isolated and identified which showed resistance to herbicides based on various active substances (2,4-D, imazethapyr, a mixture of imazamox and chizalofop-P-ethyl). All studied bacteria possessed PGP properties and stimulated the growth of roots and shoots of barley and clover in pure and oil-contaminated soil to varying degrees, and also had a positive effect on clover seedlings in soil with herbicide. Thus, the microorganisms helped the plants overcome the stress caused by the presence of pollutants. The strains P. alcaligenes UOM 10 and P. frederiksbergensis UOM 11 had the greatest potential as the basis of microbial–plant complexes for bioremediation of oil-contaminated agricultural soils due to their high ability to degrade oil and stimulate the growth and development of plants. However, other strains also have prospects for use in the process of cleaning and restoring soils. They can be used to accelerate the growth of remediating plants.
Supplementary Materials
The following supporting information can be downloaded at: https://www.mdpi.com/article/10.3390/agriculture13061111/s1, Figure S1: the appearance of Raymond’s medium with oil without inoculation (left flask) and with the cultivation of UOM 11 isolate (right flask); Figure S2: neighbor-joining tree illustrating the phylogenetic position of isolated Pseudomonas spp. and other species in the genus Pseudomonas based on 16S rRNA gene sequences. Bootstrap values (expressed as percentages of 1000 replications) over 50% are shown at branching nodes. Bar, 0.005 substitutions per nucleotide position; Table S1: phenotypic and physiological–biochemical features of isolated Pseudomonas spp.
Author Contributions
Conceptualization, T.K. and E.K.; methodology, T.K. and E.K.; validation, T.K. and E.K.; formal analysis, S.M.; investigation, S.M., Y.S. and M.I.; data curation, T.K., S.M. and E.K.; writing—original draft preparation, T.K.; writing—review and editing, T.K. and E.K..; visualization, S.M., Y.S. and M.I. All authors have read and agreed to the published version of the manuscript.
Funding
This research was funded by the Russian Science Foundation, grant number 23-24-00130, https://rscf.ru/en/project/23-24-00130/ (accessed on 1 April 2023).
Institutional Review Board Statement
Not applicable.
Data Availability Statement
The data presented in this study are available in the graphs and tables provided in the manuscript.
Conflicts of Interest
The authors declare no conflict of interest.
References
- Polyak, Y.M.; Bakina, L.G.; Chugunova, M.V.; Mayachkina, N.V.; Gerasimov, A.O.; Bure, V.M. Effect of remediation strategies on biological activity of oil-contaminated soil—A field study. Int. Biodeterior. Biodegrad. 2018, 126, 57–68. [Google Scholar] [CrossRef]
- Nardeli, S.M.; Saad, C.F.; de Barros Rossetto, P.; Caetano, V.S.; Ribeiro-Alves, M.; Paes, J.E.S.; Danielowski, R.; da Maia, L.S.; Costa de Oliveira, A.; Peixoto, R.S.; et al. Transcriptional responses of Arabidopsis thaliana to oil contamination. Environ. Exp. Bot. 2016, 127, 63–72. [Google Scholar] [CrossRef]
- Wyszkowska, J.; Borowik, A.; Kucharski, J. The resistance of Lolium perenne L.× hybridum, Poa pratensis, Festuca rubra, F. arundinacea, Phleum pratense and Dactylis glomerata to soil pollution by diesel oil and petroleum. Plant. Soil Environ. 2019, 65, 307–312. [Google Scholar] [CrossRef]
- Sui, X.; Wang, X.; Li, Y.; Ji, H. Remediation of petroleum-contaminated soils with microbial and microbial combined methods: Advances, mechanisms, and challenges. Sustainability 2021, 13, 9267. [Google Scholar] [CrossRef]
- Guo, M.; Gong, Z.; Allinson, G.; Tai, P.; Miao, R.; Li, X.; Jia, C.; Zhuang, J. Variations in the bioavailability of polycyclic aromatic hydrocarbons in industrial and agricultural soils after bioremediation. Chemosphere 2016, 144, 1513–1520. [Google Scholar] [CrossRef] [PubMed]
- Martínez, B.C.S.; Benavides, L.M.; Santoyo, G.; Sánchez-Yáñez, J.M. Biorecovery of agricultural soil impacted by waste motor oil with Phaseolus vulgaris and Xanthobacter autotrophicus. Plants 2022, 11, 1419. [Google Scholar] [CrossRef] [PubMed]
- Gupta, P.K. Herbicides and fungicides. In Reproductive and Developmental Toxicology; Academic Press: Cambridge, MA, USA, 2017; pp. 657–679. [Google Scholar]
- Moretto, J.A.S.; Altarugio, L.M.; Andrade, P.A.; Fachin, A.L.; Andreote, F.D.; Stehling, E.G. Changes in bacterial community after application of three different herbicides. FEMS Microbiol. Lett. 2017, 364, 13. [Google Scholar] [CrossRef]
- Zaller, J.G.; Cantelmo, C.; Santos, G.D.; Muther, S.; Gruber, E.; Pallua, P.; Mandl, K.; Friedrich, B.; Hofstetter, I.; Schmuckenschlager, B.; et al. Herbicides in vineyards reduce grapevine root mycorrhization and alter soil microorganisms and the nutrient composition in grapevine roots, leaves, xylem sap and grape juice. Environ. Sci. Pollut. Res. 2018, 25, 23215–23226. [Google Scholar] [CrossRef] [PubMed]
- Meena, R.S.; Kumar, S.; Datta, R.; Lal, R.; Vijayakumar, V.; Brtnicky, M.; Sharma, M.P.; Yadav, G.S.; Jhariya, M.K.; Jangir, C.K.; et al. Impact of Agrochemicals on Soil Microbiota and Management: A Review. Land 2020, 9, 34. [Google Scholar] [CrossRef]
- Fernández-Calviño, D.; Rousk, J.; Bååth, E.; Bollmann, U.E.; Bester, K.; Brandt, K.K. Short-term toxicity assessment of a triazine herbicide (terbutryn) underestimates the sensitivity of soil microorganisms. Soil Biol. Biochem. 2021, 154, 108130. [Google Scholar] [CrossRef]
- Choudhury, P.P. Transformation of herbicides in the environment. In Herbicide Residue Research in India; Springer: Singapore, 2019; pp. 415–442. [Google Scholar]
- Mahapatra, K.; De, S.; Banerjee, S.; Roy, S. Pesticide mediated oxidative stress induces genotoxicity and disrupts chromatin structure in fenugreek (Trigonella foenum—Graecum, L.) seedlings. J. Hazard. Mater. 2019, 369, 362–374. [Google Scholar] [CrossRef] [PubMed]
- Renoux, A.Y.; Zajdlik, B.; Stephenson, G.L.; Moulins, L.J. Risk-based management of site soils contaminated with a mixture of hazardous substances: Methodological approach and case study. Hum. Ecol. Risk Assess. 2013, 19, 1127–1146. [Google Scholar] [CrossRef]
- Ye, S.; Zeng, G.; Wu, H.; Zhang, C.; Liang, J.; Dai, J.; Liu, Z.; Xiong, W.; Wan, J.; Xu, P.; et al. Co-occurrence and interactions of pollutants, and their impacts on soil remediation—A review. Crit. Rev. Environ. Sci. Technol. 2017, 47, 1528–1553. [Google Scholar] [CrossRef]
- Sun, S.; Sidhu, V.; Rong, Y.; Zheng, Y. Pesticide pollution in agricultural soils and sustainable remediation methods: A review. Curr. Pollut. Rep. 2018, 4, 240–250. [Google Scholar] [CrossRef]
- Pileggi, M.; Pileggi, S.A.V.; Sadowsky, M.J. Herbicide bioremediation: From strains to bacterial communities. Heliyon 2020, 6, e05767. [Google Scholar] [CrossRef] [PubMed]
- Adedeji, J.A.; Tetteh, E.K.; Opoku Amankwa, M.; Asante-Sackey, D.; Ofori-Frimpong, S.; Armah, E.K.; Rathilal, S.; Mohammadi, A.H.; Chetty, M. Microbial bioremediation and biodegradation of petroleum products—A mini review. Appl. Sci. 2022, 12, 12212. [Google Scholar] [CrossRef]
- Michael-Igolima, U.; Abbey, S.J.; Ifelebuegu, A.O. A systematic review on the effectiveness of remediation methods for oil contaminated soils. Environ. Adv. 2022, 9, 100319. [Google Scholar] [CrossRef]
- Muter, O. Current trends in bioaugmentation tools for bioremediation: A critical review of advances and knowledge gaps. Microorganisms 2023, 11, 710. [Google Scholar] [CrossRef] [PubMed]
- Islas-García, A.; Vega-Loyo, L.; Aguilar-López, R.; Xoconostle-Cázares, B.; Rodríguez-Vázquez, R. Evaluation of hydrocarbons and organochlorine pesticides and their tolerant microorganisms from an agricultural soil to define its bioremediation feasibility. J. Environ. Sci. Health B. 2015, 50, 99–108. [Google Scholar] [CrossRef] [PubMed]
- Ossai, I.C.; Ahmed, A.; Hassan, A.; Hamid, F.S. Remediation of soil and water contaminated with petroleum hydrocarbon: A review. Environ. Technol. Innov. 2020, 17, 100526. [Google Scholar] [CrossRef]
- Mambwe, M.; Kalebaila, K.K.; Johnson, T. Remediation technologies for oil contaminated soil. Glob. J. Environ. Sci. Manag. 2021, 7, 419–438. [Google Scholar] [CrossRef]
- Salari, M.; Rahmanian, V.; Hashemi, S.A.; Chiang, W.-H.; Lai, C.W.; Mousavi, S.M.; Gholami, A. Bioremediation treatment of polyaromatic hydrocarbons for environmental sustainability. Water 2022, 14, 3980. [Google Scholar] [CrossRef]
- Stepanova, A.Y.; Gladkov, E.A.; Osipova, E.S.; Gladkova, O.V.; Tereshonok, D.V. Bioremediation of soil from petroleum contamination. Processes 2022, 10, 1224. [Google Scholar] [CrossRef]
- Allamin, I.A.; Halmi, M.I.E.; Yasid, N.A.; Ahmad, S.A.; Abdullah, S.R.S.; Shukor, Y. Rhizodegradation of petroleum oily sludgecontaminated soil using Cajanus cajan increases the diversity of soil microbial community. Sci. Rep. 2020, 10, 4094. [Google Scholar] [CrossRef]
- Ancona, V.; Rascio, I.; Aimola, G.; Campanale, C.; Grenni, P.; di Lenola, M.; Garbini, G.L.; Uricchio, V.F.; Caracciolo, A.B. Poplar-assisted bioremediation for recovering a PCB and heavy-metal-contaminated area. Agriculture 2021, 11, 689. [Google Scholar] [CrossRef]
- Wang, Q.; Jiang, F.; Dodd, I.C.; Belimov, A.A. Rhizosphere bacteria containing 1-aminocyclopropane-1-carboxylate deaminase increase growth and photosynthesis of pea plants under salt stress by limiting Na+ accumulation. Funct. Plant Biol. 2016, 43, 161–172. [Google Scholar] [CrossRef]
- Kudoyarova, G.; Arkhipova, T.; Korshunova, T.; Bakaeva, M.; Loginov, O.; Dodd, I.C. Phytohormone mediation of interactions between plants and non-symbiotic growth promoting bacteria under edaphic stresses. Front. Plant Sci. 2019, 10, 1368. [Google Scholar] [CrossRef]
- Kuzina, E.; Rafikova, G.; Vysotskaya, L.; Arkhipova, T.; Bakaeva, M.; Chetverikova, D.; Kudoyarova, G.; Korshunova, T.; Chetverikov, S. Influence of hydrocarbon-oxidizing bacteria on the growth, biochemical characteristics, and hormonal status of barley plants and the content of petroleum hydrocarbons in the soil. Plants 2021, 10, 1745. [Google Scholar] [CrossRef]
- Ebadi, A.; Khoshkholgh Sima, N.A.; Olamaee, M.; Hashemi, M.; Ghorbani Nasrabadi, R. Remediation of saline soils contaminated with crude oil using the halophyte Salicornia persica in conjunction with hydrocarbon-degrading bacteria. J. Environ. Manag. 2018, 219, 260–268. [Google Scholar] [CrossRef] [PubMed]
- Korshunova, T.Y.; Bakaeva, M.D.; Kuzina, E.V.; Rafikova, G.F.; Chetverikov, S.P.; Chetverikova, D.V.; Loginov, O.N. Role of bacteria of the genus Pseudomonas in the sustainable development of agricultural systems and environmental protection (review). Appl. Biochem. Microbiol. 2021, 3, 281–296. [Google Scholar] [CrossRef]
- Pandey, P.; Pathak, H.; Dave, S. Microbial ecology of hydrocarbon degradation in the soil: A review. Res. J. Environ. Toxicol. 2016, 10, 1–15. [Google Scholar] [CrossRef]
- Koshlaf, E.; Ball, A.S. Soil bioremediation approaches for petroleum hydrocarbon polluted environments. AIMS Microbiol. 2017, 3, 25–49. [Google Scholar] [CrossRef] [PubMed]
- Sharma, S.; Pathak, H. Pseudomonas in biodegradation. Int. J. Pure App. Biosci. 2014, 2, 213–222. [Google Scholar]
- Kahlon, R.S. Biodegradation and bioremediation of organic chemical pollutants by Pseudomonas. In Pseudomonas: Molecular and Applied Biology; Springer: Cham, Switzerland, 2016; pp. 343–417. [Google Scholar]
- Esikova, T.Z.; Anokhina, T.O.; Suzina, N.E.; Shushkova, T.V.; Wu, Y.; Solyanikova, I.P. Characterization of a new Pseudomonas putida s Ch2, a degrader of toxic anthropogenic compounds epsilon-caprolactam and glyphosate. Microorganisms 2023, 11, 650. [Google Scholar] [CrossRef]
- Santos, D.K.F.; Rufino, R.D.; Luna, J.M.; Santos, V.A.; Sarubbo, L.A. Biosurfactants: Multifunctional biomolecules of the 21st century. Int. J. Mol. Sci. 2016, 3, 401. [Google Scholar] [CrossRef] [PubMed]
- Silva, E.J.; Silva, I.A.; Brasileiro, P.P.; Correa, P.F.; Almeida, D.G.; Rufino, R.D.; Luna, J.M.; Santos, V.A.; Sarubbo, L.A. Treatment of oily effluent using a low-cost biosurfactant in a flotation system. Biodegradation 2019, 30, 335–350. [Google Scholar] [CrossRef] [PubMed]
- Travaglia, C.; Masciarelli, O.; Fortuna, J.; Marchetti, G.; Cardozo, P.; Lucero, M.; Zorza, E.; Luna, V.; Reinoso, H. Towards sustainable maize production: Glyphosate detoxification by Azospirillum sp. and Pseudomonas sp. Crop Prot. 2015, 77, 102–109. [Google Scholar] [CrossRef]
- Raheem, A.; Shaposhnikov, A.; Belimov, A.A.; Dodd, A.C.; Ali, B. Auxin production by rhizobacteria was associated with improved yield of wheat (Triticum aestivum L.) under drought stress. Arch. Agron. Soil Sci. 2017, 64, 574–587. [Google Scholar] [CrossRef]
- Kumar, P.; Thakur, S.; Dhingra, G.K.; Singh, A.; Pal, M.K.; Harshvardhan, K.; Dubey, R.C.; Maheshwari, D.K. Inoculation of siderophore producing rhizobacteria and their consortium for growth enhancement of wheat plant. Biocat. Agricul. Biotechnol. 2018, 15, 264–269. [Google Scholar] [CrossRef]
- Arkhipova, T.; Sharipova, G.; Akhiyarova, G.; Kuzmina, L.; Galin, I.; Martynenko, E.; Seldimirova, O.; Nuzhnaya, T.; Feoktistova, A.; Timergalin, M.; et al. The effects of rhizosphere inoculation with Pseudomonas mandelii on formation of apoplast barriers, HVPIP2 aquaporins and hydraulic conductance of barley. Microorganisms 2022, 10, 935. [Google Scholar] [CrossRef]
- Kaskatepe, B.; Yildiz, S.; Gumustas, M.; Ozkan, S. Rhamnolipid production by Pseudomonas putida IBS036 and Pseudomonas pachastrellae LOS20 with using pulps. Curr. Pharm. Anal. 2017, 13, 138–144. [Google Scholar] [CrossRef]
- Hassen, W.; Neifar, M.; Cherif, H.; Najjari, A.; Chouchane, H.; Driouich, R.C.; Salah, A.; Naili, F.; Mosbah, A.; Souissi, Y.; et al. Pseudomonas rhizophila S211, a new plant growth-promoting rhizobacterium with potential in pesticide-bioremediation. Front. Microbiol. 2018, 9, 34. [Google Scholar] [CrossRef]
- Weimer, A.; Kohlstedt, M.; Volke, D.C.; Nikel, P.I.; Wittmann, C. Industrial biotechnology of Pseudomonas putida: Advances and prospects. Appl. Microbiol. Biotechnol. 2020, 104, 7745–7766. [Google Scholar] [CrossRef] [PubMed]
- Kanavaki, I.; Drakonaki, A.; Geladas, E.D.; Spyros, A.; Xie, H.; Tsiotis, G. Polyhydroxyalkanoate (PHA) production in Pseudomonas sp. phDV1 strain grown on phenol as carbon sources. Microorganisms 2021, 9, 1636. [Google Scholar] [CrossRef]
- Benincasa, M.; Accorsini, F.R. Pseudomonas aeruginosa LBI production as an integrated process using the wastes from sunflower-oil refining as a substrate. Biores. Technol. 2008, 99, 3843–3849. [Google Scholar] [CrossRef] [PubMed]
- Gamal, R.F.; Abdelhady, H.M.; Khodair, T.A.; El-Tayeb, T.S.; Hassan, E.A.; Aboutaleb, K.A. Semi-scale production of PHAs from waste frying oil by Pseudomonas fluorescens S48. Braz. J. Microbiol. 2013, 44, 539–549. [Google Scholar] [CrossRef] [PubMed]
- Li, K.-T.; Peng, W.-F.; Zhou, J.; Wei, S.-J.; Cheng, X. Establishment of beet molasses as the fermentation substrate for industrial vitamin B12 production by Pseudomonas denitrificans. J. Chem. Technol. Biotechnol. 2013, 88, 1730–1735. [Google Scholar] [CrossRef]
- Netrusov, A.I.; Egorova, M.A.; Zakharchuk, L.M.; Dinarieva, T.Y. Workshop on Microbiology; Academy: Moscow, Russia, 2005; 608p. [Google Scholar]
- Raymond, R.L. Microbial oxidation of n-paraffinic hydrocarbons. Dev. Ind. Microbiol. 1961, 2, 23–32. [Google Scholar]
- Gerhardt, P. Manual of Methods for General Bacteriology; American Society of Microbiology: Washington, DC, USA, 1981; 524p. [Google Scholar]
- Holt, S.G.; Krieg, N.R.; Sneath, P.H.A.; Stanley, J.T.; Williams, S.T. Bergey’s Manual of Determinate Bacteriology; Williams and Wilkins: New York, NY, USA, 1998. [Google Scholar]
- Korshunova, T.Y.; Mukhamatdyarova, S.R.; Loginov, O.N. Taxonomic classification of the oil destructing bacterium using mass spectrometry methods by the results of analysis of cellular proteins and study of cellular fatty acids. Biol. Bull. 2015, 3, 220–225. [Google Scholar] [CrossRef]
- Wilson, K. Preparation of genomic DNA from bacteria. Curr. Protoc. Mol. Biol. 1997, 2, 241–247. [Google Scholar] [CrossRef] [PubMed]
- Lane, D.J. 16S/23S rRNA sequencing. In Nucleic Acid Techniques in Bacterial Systematic; John Wiley and Sons: Chichester, UK, 1991; pp. 115–177. [Google Scholar]
- Saitou, N.; Nei, M. The neighbor-joining method: A new method for reconstructing phylogenetic trees. Mol. Biol. Evol. 1987, 4, 406–425. [Google Scholar]
- Jukes, T.H.; Cantor, C.R. Evolution of Protein Molecules. In Mammalian Protein Metabolism; Academic Press: New York, NY, USA, 1969; pp. 21–132. [Google Scholar]
- Borzenkov, I.A.; Milekhina, E.I.; Gotoeva, M.T.; Rozanova, E.P.; Belyaev, S.S. The properties of hydrocarbon-oxidizing bacteria isolated from the oilfields of Tatarstan, Western Siberia, and Vietnam. Mikrobiologiya 2006, 1, 66–72. [Google Scholar] [CrossRef]
- Korshunova, T.Y.; Chetverikov, S.P.; Valiullin, E.G.; Loginov, O.N. Biotechnological potential of the bacterium Pseudomonas sp. IB-1.1 as bases of the multifunctional biological product. Proceed. Univ. Appl. Chem. Biotechnol. 2016, 1, 93–99. [Google Scholar]
- Rodea-Palomares, I.; Makowski, M.; Gonzalo, S.; González-Pleiter, M.; Leganés, F.; Fernández-Piñas, F. Effect of PFOA/PFOS pre-exposure on the toxicity of the herbicides 2,4-D, Atrazine, Diuron and Paraquat to a model aquatic photosynthetic microorganism. Chemosphere 2015, 139, 65–72. [Google Scholar] [CrossRef] [PubMed]
- Pikovskaya, R.I. Mobilization of phosphorus in soil in connection with vital activity of some microbial species. Mikrobiologiya 1948, 17, 362–370. [Google Scholar]
- Berraquero, F.R.; Baya, A.M.; Cormenzana, A.R. Establecimiento de índices para el estudio de la solubilización de fosfatos por bacterias del suelo. Ars Pharm. (Internet) 1976, 17, 399–406. [Google Scholar]
- Lisboa, P.H.G.; de Andrade, P.H.M.; Machado, P.C.; de Sousa, C.P.; Lacava, P.T. Isolation and in vitro screening of plant growth-promoting rhizobacteria from Solanum lycocarpum St. Hil., an endemic plant of the Brazilian tropical savannah. Afr. J. Microbiol. Res. 2021, 5, 253–261. [Google Scholar] [CrossRef]
- Starikov, S.N.; Chetverikov, S.P. The strain of Enterobacter sp. UOM-3 is capable of synchronous destruction of herbicides and synthesis of indole-3-acetic acid. Ecobiotech 2020, 4, 716–721. [Google Scholar] [CrossRef]
- Ertekin, O.; Erol, C.; Unlu, S.; Yildizhan, Y.; Pelitli, V.; Yuksel, B.; Memon, A. Aliphatic hydrocarbon fingerprints in Trifolium spp. Fresenius Environ. Bull. 2011, 20, 367–371. [Google Scholar]
- Karličić, V.M.; Radić, D.S.; Jovičić-Petrović, J.P.; Raičević, V.B. Red clover and plant growth promoting bacteria: The combination that can speed up soil remediation rate. J. Agric. Sci. 2020, 2. Available online: https://www.aseestant.ceon.rs/index.php/jas/issue/view/1002 (accessed on 1 April 2023).
- Sawicka, B.; Vambol, V.; Krochmal-Marczak, B.; Messaoudi, M.; Skiba, D.; Pszczółkowski, P.; Barbaś, P.; Farhan, A.K. Green technology as a way of cleaning the environment from petroleum substances in south-eastern Poland. Front. Biosci. 2022, 4, 28. [Google Scholar] [CrossRef] [PubMed]
- Lim, M.W.; Lau, E.V.; Poh, P.E. A comprehensive guide of remediation technologies for oil contaminated soil—Present works and future directions. Mar. Poll. Bull. 2016, 109, 14–45. [Google Scholar] [CrossRef]
- Wasi, S.; Tabrez, S.; Ahmad, M. Use of Pseudomonas spp. for the bioremediation of environmental pollutants: A review. Environ. Monit. Assess. 2013, 185, 8147–8155. [Google Scholar] [CrossRef] [PubMed]
- Kaczorek, E.; Moszynska, S.; Olszanowski, A. Modification of cell surface properties of Pseudomonas alcaligenes S22 during hydrocarbon biodegradation. Biodegradation 2011, 22, 359–366. [Google Scholar] [CrossRef]
- Doszhanov, Y.O.; Mansurov, Z.A.; Ongarbaev, Y.K.; Tileuberdi, Y.; Zhubanova, A.A. The study of biodegradation of diesel fuels by different strains of Pseudomonas. Appl. Mech. Mater. 2013, 467, 12–15. [Google Scholar] [CrossRef]
- Gofar, N. Synergism of wild grass and hydrocarbonoclastic bacteria in petroleum biodegradation. J. Trop. Soils. 2013, 2, 161–168. [Google Scholar] [CrossRef]
- Adeleye, A.O.; Nkereuwem, M.E.; Omokhudu, G.I.; Amoo, A.O.; Shiaka, G.P.; Yerima, M.B. Effect of microorganisms in the bioremediation of spent engine oil and petroleum related environmental pollution. J. Appl. Sci. Environ. Manag. 2018, 2, 157–167. [Google Scholar] [CrossRef]
- Wang, R.; Wu, B.; Zheng, J.; Chen, H.; Rao, P.; Yan, L.; Chai, F. Biodegradation of total petroleum hydrocarbons in soil: Isolation and characterization of bacterial strains from oil contaminated soil. Appl. Sci. 2020, 10, 4173. [Google Scholar] [CrossRef]
- Ruiz, O.N.; Radwan, O.; Striebich, R.C. GC-MS hydrocarbon degradation profile data of Pseudomonas frederiksbergensis SI8, a bacterium capable of degrading aromatics at low temperatures. Data Brief. 2021, 35, 106864. [Google Scholar] [CrossRef]
- Kadri, N.; Magdouli, S.; Rouissi, T.; Brar, S.K. Ex-situ biodegradation of petroleum hydrocarbons using Alcanivorax borkumensis enzymes. Biochem. Engin. J. 2018, 132, 279–287. [Google Scholar] [CrossRef]
- Bamitale, O.M.; Ayomikun, A.M. Biodegradation potential of tropical hydrocarbon degrading Providencia stuartii. Trends Appl. Sci. Res. 2020, 15, 253–259. [Google Scholar] [CrossRef]
- Margesin, R.; Hämmerle, M.; Tscherko, D. Microbial activity and community composition during bioremediation of diesel-oil-contaminated soil: Effects of hydrocarbon concentration, fertilizers, and incubation time. Microb. Ecol. 2007, 2, 259–269. [Google Scholar] [CrossRef]
- Dai, Y.; Liu, R.; Zhou, Y.; Li, N.; Hou, L.; Ma, Q.; Gao, B. Fire Phoenix facilitates phytoremediation of PAH-Cd co-contaminated soil through promotion of beneficial rhizosphere bacterial communities. Environ. Int. 2020, 136, 105421. [Google Scholar] [CrossRef] [PubMed]
- Gómez-Sagasti, M.T.; Alkorta, I.; Becerril, J.M.; Epelde, L.; Anza, M.; Garbisu, C. Microbial monitoring of the recovery of soil quality during heavy metal phytoremediation. Water Air Soil Pollut. 2012, 6, 3249–3262. [Google Scholar] [CrossRef]
- Adesina, G.; Adelasoye, K. Effect of crude oil pollution on heavy metal contents, microbial population in soil, and maize and cowpea growth. Agric. Sci. 2014, 5, 43–50. [Google Scholar] [CrossRef]
- Masindi, V.; Muedi, K.L. Environmental contamination by heavy metals. In Heavy Metals; IntechOpen: London, UK, 2018; pp. 115–132. [Google Scholar]
- Li, Q.; Liu, J.; Gadd, G.M. Fungal bioremediation of soil co-contaminated with petroleum hydrocarbons and toxic metals. Appl. Microbiol. Biotechnol. 2020, 104, 8999–9008. [Google Scholar] [CrossRef]
- Etesami, H. Bacterial mediated alleviation of heavy metal stress and decreased accumulation of metals in plant tissues: Mechanisms and future prospects. Ecotoxicol. Environ. Saf. 2018, 147, 175–191. [Google Scholar] [CrossRef]
- Li, Y.; Wang, S.; Nan, Z.; Zang, F.; Sun, H.; Zhang, Q.; Huang, W.; Bao, L. Accumulation, fractionation and health risk assessment of fluoride and heavy metals in soil-crop systems in northwest China. Sci. Total Environ. 2019, 663, 307–314. [Google Scholar] [CrossRef] [PubMed]
- Ceylan, Ö.; Uğur, A. Bio-monitoring of heavy metal resistance in Pseudomonas and Pseudomonas related genus. J. Biol. Environ. Sci. 2012, 18, 233–242. [Google Scholar]
- Zhang, J.-K.; Wang, Z.-H.; Ye, Y. Heavy metal resistances and chromium removal of a novel cr(vi)-reducing pseudomonad strain isolated from circulating cooling water of iron and steel plant. Appl. Biochem. Biotechnol. 2016, 180, 1328–1344. [Google Scholar] [CrossRef]
- Bishnoi, U. Chapter four-PGPR interaction: An ecofriendly approach promoting the sustainable agriculture system. Adv. Bot. Res. 2015, 75, 81–113. [Google Scholar] [CrossRef]
- Mikala, P.S.A.; Wasonga, D.O.; Solano Hernandez, A.; Santanen, A. Seedling growth and phosphorus uptake in response to different phosphorus sources. Agronomy 2020, 8, 1089. [Google Scholar] [CrossRef]
- Ando, K.; Yamaguchi, N.; Nakamura, Y.; Kasuya, M.; Taki, K. Speciation of phosphorus accumulated in fertilized cropland of Aichi prefecture in Japan with different soil properties by sequential chemical extraction and P K-edge XANES. Soil Sci. Plant Nutr. 2021, 2, 150–161. [Google Scholar] [CrossRef]
- Kalayu, G. Phosphate solubilizing microorganisms: Promising approach as biofertilizers. Int. J. Agron. 2019, 2019, 4917256. [Google Scholar] [CrossRef]
- Adam, W.; Heckel, F.; Saha-Möller, C.R.; Taupp, M.; Schreier, P. A highly enantioselective biocatalytic sulfoxidation by the topsoil bacterium Pseudomonas frederiksbergensis. Tetrahedron Asymmetry 2004, 15, 983–985. [Google Scholar] [CrossRef]
- Zeng, Q.W.; Wu, X.Q.; Wen, X.Y. Effects of soluble phosphate on phosphate-solubilizing characteristics and expression of gcd gene in Pseudomonas frederiksbergensis strain JW-SD2. Curr. Microbiol. 2016, 72, 198–206. [Google Scholar] [CrossRef]
- Devatha, C.P.; Vishnu Vishal, A.; Purna Chandra Rao, J. Investigation of physical and chemical characteristics on soil due to crude oil contamination and its remediation. Appl. Water Sci. 2019, 9, 89. [Google Scholar] [CrossRef]
- Bungau, S.; Behl, T.; Aleya, L.; Bourgeade, P.; Aloui-Sossé, B.; Purza, A.L.; Abid, A.; Samuel, A.D. Expatiating the impact of anthropogenic aspects and climatic factors on long term soil monitoring and management. Environ. Sci. Pollut. Res. 2021, 28, 30528–30550. [Google Scholar] [CrossRef] [PubMed]
- Rohrbacher, F.; St-Arnaud, M. Root exudation: The ecological driver of hydrocarbon rhizoremediation. Agronomy 2016, 6, 19. [Google Scholar] [CrossRef]
- Chetverikov, S.; Vysotskaya, L.; Kuzina, E.; Arkhipova, T.; Bakaeva, M.; Rafikova, G.; Korshunova, T.; Chetverikova, D.; Hkudaygulov, G.; Kudoyarova, G. Effects of association of barley plants with hydrocarbon-degrading bacteria on the content of soluble organic compounds in clean and oil-contaminated sand. Plants 2021, 10, 975. [Google Scholar] [CrossRef] [PubMed]
- Muratova, A.; Dubrovskaya, E.; Golubev, S.; Grinev, V.; Chernyshova, M.; Turkovskaya, O. The coupling of the plant and microbial catabolisms of phenanthrene in the rhizosphere of Medicago sativa. J. Plant Physiol. 2015, 188, 1–8. [Google Scholar] [CrossRef]
- Orozco-Mosqueda, M.d.C.; Santoyo, G.; Glick, B.R. Recent advances in the bacterial phytohormone modulation of plant growth. Plants 2023, 12, 606. [Google Scholar] [CrossRef]
- Zhao, Y. Auxin biosynthesis and its role in plant development. Annu. Rev. Plant Biol. 2010, 2, 49–64. [Google Scholar] [CrossRef] [PubMed]
- Patten, C.L.; Blakney, A.J.C.; Coulson, T.J.D. Activity, distribution and function of indole-3-acetic acid biosynthetic pathways in bacteria. Crit. Rev. Microbiol. 2013, 39, 395–415. [Google Scholar] [CrossRef] [PubMed]
- Duca, D.; Lorv, J.; Patten, C.L.; Rose, D.; Glick, B.R. Indole-3-acetic acid in plant-microbe interactions. Antonie Van Leeuwenhoek 2014, 106, 85–125. [Google Scholar] [CrossRef] [PubMed]
- Duca, D.R.; Rose, D.R.; Glick, B.R. Indole acetic acid overproduction transformants of the rhizobacterium Pseudomonas sp. UW4. Antonie Van Leeuwenhoek 2018, 111, 1645–1660. [Google Scholar] [CrossRef] [PubMed]
- Du, M.; Spalding, E.P.; Gray, W.M. Rapid auxin-mediated cell expansion. Annu. Rev. Plant Biol. 2020, 71, 379–402. [Google Scholar] [CrossRef] [PubMed]
- Rubin, R.L.; van Groenigen, K.J.; Hungate, B.A. Plant growth promoting rhizo-bacteria are more effective under drought: A meta-analysis. Plant Soil. 2017, 416, 309–323. [Google Scholar] [CrossRef]
- Ali, B.; Sabri, A.N.; Ljung, K.; Hasnain, S. Auxin production by plant associated bacteria: Impact on endogenous IAA content and growth of Triticum aestivum L. Lett. Appl. Microbiol. 2009, 48, 542–547. [Google Scholar] [CrossRef]
- Dehnavi, S.M.; Ebrahimipour, G. Comparative remediation rate of biostimulation, bioaugmentation, and phytoremediation in hydrocarbon contaminants. Int. J. Environ. Sci. Technol. 2022, 19, 11561–11586. [Google Scholar] [CrossRef]
- Ladan, S.S. Phytotoxic follow-up imidazolinone on green manure and ways to reduce it. Plodorodie 2021, 6, 78–83. [Google Scholar] [CrossRef]
- Ptaszek, N.; Pacwa-Płociniczak, M.; Noszczyńska, M.; Płociniczak, T. Comparative study on multiway enhanced bio-and phytoremediation of aged petroleum-contaminated soil. Agronomy 2020, 10, 947. [Google Scholar] [CrossRef]
- Asghar, H.N.; Rafique, H.M.; Khan, M.Y.; Zahir, Z.A. Phytoremediation of light crude oil by maize (Zea mays L.) bio-augmented with plant growth promoting bacteria. Soil Sediment. Contam. 2017, 26, 749–763. [Google Scholar] [CrossRef]
- Liu, H.; Yang, G.; Jia, H.; Sun, B. Crude oil degradation by a novel strain Pseudomonas aeruginosa AQNU-1 isolated from an oil-contaminated lake wetland. Processes 2022, 10, 307. [Google Scholar] [CrossRef]
Disclaimer/Publisher’s Note: The statements, opinions and data contained in all publications are solely those of the individual author(s) and contributor(s) and not of MDPI and/or the editor(s). MDPI and/or the editor(s) disclaim responsibility for any injury to people or property resulting from any ideas, methods, instructions or products referred to in the content. |
© 2023 by the authors. Licensee MDPI, Basel, Switzerland. This article is an open access article distributed under the terms and conditions of the Creative Commons Attribution (CC BY) license (https://creativecommons.org/licenses/by/4.0/).






