Abstract
Market gardening is a widespread practice of bio-intensive vegetable production characterized by direct marketing, small-scale farming structures, high crop densities, and innovative cultivation approaches. Currently, deep compost mulch (DCM) is a popular trend among related growing techniques. The combination of no-till and a permanent mulch of compost aims to improve soil fertility, regulate soil temperature, retain soil moisture, and control weeds. To address the problem of perennial weeds in organic no-till, deep mulch layers of typically 150 mm are used. The amount of compost required and the associated N inputs are immense and carry the risk of environmentally harmful N surpluses that can be lost through nitrate leaching or denitrification. The aim of this study is to evaluate the use of compost as mulch and to investigate N dynamics under DCM. For this purpose, a literature review was conducted, and soil inorganic nitrogen (Nmin-N) was measured under on-farm conditions up to a soil depth of 900 mm in a market garden with DCM in Germany for one year. Furthermore, based on the collected data, the different N pathways were calculated using the N-Expert and NDICEA models and simulated for two additional scenarios. Results from field measurements showed a strongly increased N-surplus not taken up by the crops and a shift of Nmin-N to deeper soil layers for municipal organic waste compost (MW), with an average accumulation of 466 kg Nmin-N ha−1 at 600–900 mm depth. N inputs from DCM can be significantly reduced by the use of green waste compost (GW) with low bulk density or wood waste compost (WW) with an additional high C/N ratio.
1. Introduction
Market gardening has established itself as a common farming system within the organic vegetable production sector. Many publications on this subject, e.g., [1,2,3,4,5], have coined it as a term in its own right [6]. Accordingly, market gardening refers to a way of production characterized by small-scale farming structures, direct marketing, and intensive soil and plant cultivation. These management techniques include seasonal extension, high crop densities, optimized timing of transplanting and harvesting, standardized bed sizes, foresighted weed control, new hand tools, and light machinery for rapid and frequent cultivation, as well as high organic fertilizer application [7]. This bio-intensive approach can produce high yields [8,9], which, together with high margins from direct marketing, allow farmers to make a living despite small land holdings [10]. With relatively low investment costs for small acreage and low-level machinery, market gardening is also attractive for start-ups [9]. Consequently, the pertinent literature on market gardening does not only provide information on cultivation methods or small-scale equipment but also picks up the discussion on socio-economic aspects and lifestyles, aiming to demonstrate to (young) people small-scale farming as an attractive option or career change [7]. Motivated by this, many lateral entrants can be found among market gardeners who do not have an agricultural background and are relatively new to vegetable production on a commercial scale [6,7,9,11]. For them, reference books, social media, and peer-to-peer exchanges with other growers are critical elements of their training [6,7,11].
Within the market garden movement, deep compost mulch (DCM) has recently become very popular. The term describes a method that combines no-till with a thick mulch layer of compost, and was pioneered under the name “No-Dig” by Dowding, mainly for use in home gardens [12]. Later, Perkins popularized its use in commercial vegetable production [13], which was then discussed in a more scientific way by Frost, who called it “Deep Compost Mulch” [14]. The authors highlight its benefits, such as increased crop yield, weed suppression, soil temperature regulation, soil water retention, and increased soil fertility through improved physicochemical and biological parameters. While the relationship between these effects and mulching is well known and has been widely used in vegetable production [15,16,17,18], compost stands out as a mulching material. Due to its nutrient composition and fine crumb structure, it is also suitable as a germination and growth medium [19]. This allows seeding or planting directly into the compost, which makes it ideal as a permanent mulch cover for a no-till market gardening system [13,14]. Recommendations for compost requirements for the DCM method are given volumetrically and generally correspond to a layer of 150 mm in the first year and 20 mm in subsequent years to maintain the height of the mulch [12,13,14]. This results in an initial N input of 4300–12,000 kg N ha−1, depending on the bulk density and N content of the compost [20]. Variations occur with different raw materials, composting methods, and maturity [20], which also affect the mineralization rate of the compost through the corresponding C/N ratio and, thus, the N supply [21]. With a N mobilization of 5–15% in the first year [22], 215–1800 kg Nmin-N ha−1 can be compared to an average fertilization requirement of 70–300 kg Nmin ha−1, depending on the vegetable crop [23]. If these factors are not sufficiently taken into account and compost is only applied volumetrically to achieve a sufficient weed-suppressing mulch thickness, the potential loss of Nmin-N surpluses escapes control. Against this background, it may be difficult for lateral entrants into market gardening to critically evaluate the usage of compost. However, excess N represents a major environmental risk, e.g., through contamination of ground and surface waters [24], but can also lead to harmful NO3 accumulation, especially in green leafy vegetables [25,26], or reduced N2 fixation by legumes in the crop rotation [27]. Consequently, the use of compost in agriculture can be regulated and, depending on country-specific legislation, may hinder the application of DCM due to the amount of compost required [28].
In order to assess the phenomenon on the basis of current research, a literature review was conducted on the advantages and disadvantages of mulching with compost. The development of NO3-N and NH4-N contents under DCM to a soil depth of 900 mm was measured monthly over a period of one year in a representative market garden farm in North Rhine-Westphalia, Germany. In addition, based on the collected data, relevant N pathways in the soil-plant system were calculated using N-Expert and N losses by denitrification and leaching using NDICEA. While N-Expert simulates the interaction of different plant, soil, and fertilization parameters to provide annual fertilization recommendations [29], NDICEA models the spatial and temporal evolution of different N pathways over an arbitrary observation period [30]. Furthermore, the results were simulated with modified compost properties to evaluate the influence of different composts.
2. Materials and Methods
2.1. Literature Review
For the literature review, the keywords “compost mulch” and “deep compost mulch” were initially searched using the academic search engines Web of Science and Google Scholar. Sources were selected that addressed the use of compost as mulch for agricultural crops, while excluding sources that addressed, for example, orchards, vineyards, or landscaping. The focus was on peer-reviewed articles, but displayed master’s theses, dissertations, and conference papers were also reviewed. The most relevant articles were then used for snowballing and forward citation searches. The objective was to evaluate the properties of compost as a mulch material and to assess the current understanding of the associated N dynamics.
2.2. On-Farm Soil Sampling
On-farm soil samples were collected once a month from April 2021 to March 2022 at a market garden farm with DCM in North Rhine-Westphalia, Germany, during ongoing vegetable production. The soil is loam, and annual average temperatures and precipitation are 9.3 °C and 860 mm, respectively. Crops are grown in standardized beds 0.75 m wide and 20 m long. The single beds are separated by 0.3 m paths mulched with wood chips and grouped in units of 10 beds each. Samples were collected from three compost-treated plots and one control plot without compost application, each corresponding to one bed. Beds were not placed in an experimental setup, but followed farm practice design without replicates. The units for Plots 1 and 2 were each established in February 2019, and the unit for Plot 3 in February 2021. The control corresponds to a non-mulched bed in the same unit as Plot 3 that was left fallow and uncultivated during the observation period to illustrate the mineralization potential of the soil at the site. In October 2021, sampling plot 3 had to be moved to the adjacent bed in the same unit. Due to a nest of persistent field bindweed on the initial sampling bed, it was covered with a black plastic tarp for weed control in September 2021 and left in place until spring. Because the cover diverts precipitation from the underlying soil, it would bias the measurement of potential N leaching over the winter. Except for the weed infestation, these two beds did not differ in terms of treatment, crop rotation, or history. All the beds, except the one for the control, were mulched with a 150 mm layer of municipal organic waste compost (MW) [31,32] in the first year and a 20 mm layer in the following years. The nutrient content of the composts used according to the test certificate [33] is shown in Table 1. The crop rotations of each plot are shown in Table 2. For each bed, one representative sample was collected from four subsamples from randomly selected sampling points across the bed at depths of 0–300, 300–600, and 600–900 mm using a hand-driven auger (25 mm diameter). These were analyzed for NO3-N and NH4-N content as one composite sample per plot and sampling date by extraction with a 0.0125 M CaCl2 solution [34].
Table 1.
Nutrient content in municipal organic waste compost in dry matter (DM) applied to the three sampled plots on the farm.
Table 2.
Crop rotations of the three mulched plots and the control.
2.3. Modeling
The decision support tools N-Expert and NDICEA were used to simulate N dynamics under compost mulch. N-Expert calculates the relevant N pathways in the plant–soil system and is used for field-specific fertilizer recommendations for vegetable crops [29]. The model has been validated on the basis of a large amount of empirical data [35], and it has been shown that its application in practice can lead to a reduction in N surpluses [36]. Mineralization from soil organic matter is calculated according to the potentially mineralizable N in the soil [37], and mineralization or immobilization of N by organic fertilizers is predicted based on the classification into different fertilizer categories and the C to organic N ratio [38]. NDICEA describes the dynamics of N and soil water as a function of weather and crop demand, and allows prediction of denitrification and N leaching throughout the year [30]. Validation was also performed with extensive field data and resulted in a prediction probability in the range of +/− 20 kg N ha−1 [39,40,41].
N-Expert was used to map crop-specific N requirements and N balance during the growing season, and NDICEA was used to calculate potential N losses for each plot throughout the year. The input data regarding climate and soil conditions, compost characteristics and application rate, and crop rotation were consistent with those of the soil samples (Section 3.2). The first Nmin-N measurements of each plot were also used in the N-Expert calculation as the basis for the predictions. In addition, two scenarios were simulated in which MW was replaced by “Green Compost” and “Woody Compost” [42], while maintaining the other input data, to calculate the influence of different compost compositions on Nmin-N dynamics under otherwise identical conditions.
3. Results and Discussion
3.1. Literature Review
The literature review identified a total of 29 studies on the use of compost as mulch in agriculture. None of these studies explicitly addressed DCM or the combination of no-till with a permanent, thick layer of compost mulch in bio-intensive vegetable production. Therefore, to the best of the authors’ knowledge, there are currently no peer-reviewed articles on this method.
A frequent topic of research has been the effect of compost mulch on yield. With the same fertilizer application in various vegetable crops, the addition of compost mulch resulted in increased yield compared to the unmulched control [43,44,45,46,47,48,49,50,51,52,53,54]. Compared to other organic mulch materials such as hay, straw, shredded leaves, pine needles, sawdust, wood chips, and corn gluten meal, compost mulch also produced higher yields under otherwise identical conditions [43,47,48,53,54,55]. Differences were observed with both higher [44], similar [47,52,54], and lower yields [48] when compared to plastic mulches such as polyethylene film or polypropylene fabric. The potential yield-increasing effect of compost mulch can be attributed to factors such as weed suppression, regulation of soil temperature, soil moisture retention, and improvement in soil fertility through nutrient input and microbial stimulation [44,45,47,54,55], which are described in more detail below.
A key criterion for the effectiveness of weed control is the thickness of the mulch cover. Experiments with increasing compost application rates of 0, 50, 100, and 200 mm [56], 0, 38, 75, 113, and 150 mm [57], and 0, 25, 50, 75, and 100 mm [58] show a linear effect on weed suppression with increasing height of the mulch. However, small effects on weed suppression could be achieved with a thin layer of 10–20 mm [51,59]. In two consecutive studies at one site, 50 mm of mulch eliminated the need for weed control [46,47], while under other conditions, a 50 mm layer required a similar weeding effort as the control [60]. A compost mulch thickness of 100 mm resulted in halving the working time for weed control compared to the non-mulched treatment [44]. A 200 mm layer effectively suppressed local perennial weeds but did not completely prevent weed emergence. However, as a rating of weed species showed, this was mainly due to seed contamination from the insufficiently sanitized compost [19]. Some studies compare the weed control of different mulch materials. As might be expected, plastic mulch consistently had a better weed suppression potential than compost. Weed growth was limited to the edges or cutouts of planting holes [44,60]. Comparisons between compost and other organic mulches were less clear, with compost often achieving more effective weed control than the alternatives, including shredded leaves [47], sawdust [43], corn gluten meal [48], and straw [53]. In other studies, hay [60], pine needles [19], and straw [48] performed better than compost, possibly because the coarser texture of hay or straw provides greater resistance to weeds than fine-grained compost [60]. In addition, the fine-crumb texture of compost and the contained nutrients may themselves provide an ideal growing medium for weeds [19]. However, the last two comparisons are clouded by the fact that a 30–50 mm layer of compost mulch was compared to a 100 mm layer of hay [60], and in the other case, the compost used was seed-contaminated [19]. Immature composts were shown to be particularly weed suppressive due to the higher concentration and phytotoxicity of acetic acids [58]. A 75 mm layer of immature compost applied to row alleys between raised soil beds covered with polyethylene completely suppressed weed growth, while significant weed growth occurred in the alleys of the non-mulched control [57]. Although the use of immature compost is limited to such special cases, these results also highlight the importance of ensuring adequate compost maturity to avoid damage to crops. However, it is particularly clear why a mulch height of approximately 150 mm has proven successful with the DCM method. Especially in organic no-till, where perennial weeds can be a problem, only a deep layer of mulch can adequately suppress weeds [61].
Other benefits of compost mulching are related to soil temperature and moisture. Compost regulates topsoil temperature by reducing the variation around the mean compared to bare soil [46,47,49,54,62]. While Gheshm and Brown report an increase in topsoil temperature under compost compared to the control [47], other studies describe a cooling in the range of 0.5–2 °C [49,54,62]. This involves cooler temperatures in the afternoon but warmer temperatures in the morning [49,54,63]. Compost acts as an insulator, both slowing heat conduction from the atmosphere to the soil and minimizing soil heat loss during the night [54]. As mulch height increases, the effect intensifies, and mean soil temperature decreases [62]. Both the lower variance in topsoil temperatures and a decrease in mean temperature compared to the control can also be observed under other organic mulches such as hay, straw, or wood chips, while the topsoil underneath is generally colder than under compost [47,54,62,63]. The reason given is that black compost warms soil temperature better by absorbing solar radiation and conducting heat than organic mulches of a lighter color [47,54]. Overall, black plastic mulch warms the soil the most [47,54], but lacks the insulating effect, so topsoil temperatures are colder in the morning, and the temperature fluctuates more compared with uncovered soil [47,54,63].
In addition, mulches retain soil moisture by reducing evaporation at the soil surface [54,62,64,65,66]. This effect is also enhanced by an increasing mulch height [62,65]. By suppressing weeds and the associated transpiration, mulches have a further positive effect on water retention [62]. Soil moisture levels are higher under compost than under wood chips [62,64]. Because plastic mulch diverts much of the rainwater from the underlying soil, higher soil moisture levels have generally been found under compost and other organic mulches when irrigated at the same rate [54,64].
Dowding, Perkins, and Frost particularly highlight the effects of DCM on soil fertility [12,13,14]. Corresponding assessments of the effects of compost mulch on soil biological and physicochemical parameters are also found in the studies. Organic mulches can increase the occurrence of earthworms compared to the non-mulched control, with the number of individuals under straw and hay being twice as high as under compost [53,67]. Plastic mulch, on the other hand, reduces earthworm abundance, presumably because soil temperatures are too high and soil moisture is too low [67]. Furthermore, a sudden increase in bacterivorous and fungivorous nematodes was observed after compost mulch application, which occurred due to an increase in bacterial and fungal biomass in the course of labile C and N contents released by the compost [45]. Among the physicochemical aspects, an increase in soil organic matter content was mainly observed [43,44,59,67,68]. A single compost mulch application of 100 mm, for example, increased the topsoil organic matter content from 3.9% to 8.6% after three years [44]. An immense annual application of 150 mm of manure compost over seven years in intensively managed permaculture beds increased soil organic C content up to 7.4%, while a neighboring pasture and conventional cropland had 4.9% and 1.1% topsoil organic C, respectively [69]. The high C contents of the permaculture beds are primarily due to an increase in coarse particulate organic matter fractions. This 250–2000 µm labile fraction mineralizes easily and enhances aggregation, but does not interact with clay minerals [69]. Schonbeck and Evanylo investigated the effect of mulch application on aggregate stability as well as soil bulk density and infiltration rate but were unable to measure any significant effects. Since changes in tilth-related soil properties usually occur only in the medium to long term after a management change and the experimental period was only one year, the results were not surprising [67]. An increase in P, K, Ca, and Mg contents [44,67,69], as well as micronutrient contents [44] by compost mulch, could also be demonstrated.
In reviewing the literature on the effects of compost mulching, special emphasis was placed on evaluations of N dynamics at high compost application rates. The annual application of a 30 mm layer of municipal solid waste compost to three consecutive winter wheat crops resulted in excess of about 100 kg NO3-N ha−1 in the 0–1000 mm soil layer [68]. However, yields and soil organic matter were not significantly different from a 10 mm compost mulch treatment. Since increases in NO3-N, soil organic matter, and total plant N could not plausibly explain the fate of applied N at the higher dose, the authors suggest increased denitrification at high compost applications [68]. The application of 30 mm green waste compost (GW) in another study resulted in higher tomato yields compared to the non-mulched control, but did not increase NO3-N levels in the 0–300 mm soil layer [67]. After a three-year experimental period, a single compost application of 100 mm manure compost resulted in 121 kg NO3-N ha−1 in 0–100 mm soil depth after harvest, whereas the unmulched control with otherwise the same fertilization contained only 45 kg NO3-N ha−1 [44]. While more frequent and deeper sampling would have been more informative, the 121 kg NO3-N ha−1 in topsoil measured outside the growing season already indicates an unproductive N surplus. Nmin-N levels of 39–63 kg ha−1 were measured at 0–300 mm depth during the harvest season of blueberries after 200 mm of manure and seafood waste compost application [70]. The relatively low soil Nmin-N content, measured by the amount of compost and the N it contained, could be related to the high C/N ratio of 22 to 48 of the composts used [70] and thus a possibly low N availability [21]. In addition, seed contamination of the composts resulted in increased weed growth and corresponding N consumption [19]. Relevant immobilization of Nmin-N present in the soil by composts with a high C/N ratio would not be expected with mulch application compared to incorporation, due to the different degrees of physical contact between soil and compost [67,71]. The highest compost application within the reviewed studies was 150 mm of manure compost annually for seven years. While immense increases in soil organic C and plant-available P, K, Mg, and Ca were demonstrated here, unfortunately, no measured data on Nmin-N were collected in this study [69].
While the effects on yield, the suitability of compost mulch for weed suppression, and the effects on soil temperature and moisture have been well investigated, there are only a few studies that address N dynamics, especially at high compost application rates. In addition, they provide only an incomplete picture of N dynamics, e.g., due to low sampling frequencies or shallow sampling depths. The reviewed results do not indicate intensive NO3 leaching so far. Perkins also rules out significant leaching losses by arguing that the interaction of DCM and no-till increases microbial activity and soil organic matter levels to the extent that excess NO3 is immobilized, allowing high N loads to be maintained in the soil without risk of leaching [13]. The population of microbivorous nematodes was found to correlate with the increased nutrient turnover provided by nutrient-rich mulches [45], supporting Perkins’s argument. A comparative analysis of yields, NO3-N fluxes according to anion exchange resin strips, and foliar N content between treatments with 68 kg N ha−1 as urea and 34 kg N ha−1 as urea combined with 20.7–27.9 t compost mulch ha−1 (DM) suggests that nutrient cycling is generally improved by the mulch application. Although soil NO3-N levels were at least three times lower in the compost treatment, compost resulted in higher yields, root biomass, and foliar N concentrations, suggesting that soil food web interactions resulted in rapid and tightly coupled nutrient cycling that reduced NO3-N accumulation but allowed gross mineralization to meet plant N requirements [45]. However, it is questionable which NO3-N concentrations limit the assimilation by the soil food web. Frost, on the other hand, acknowledges a general leaching risk when applying large amounts of nutrient-rich compost, such as manure compost [14]. Instead, Frost recommends applying them very sparingly to the soil surface and using lower-nutrient composts with a high C/N ratio, such as GW, for the actual mulching layer [14], which is in line with the results of our subsequent investigations.
3.2. On-Farm Soil Sampling
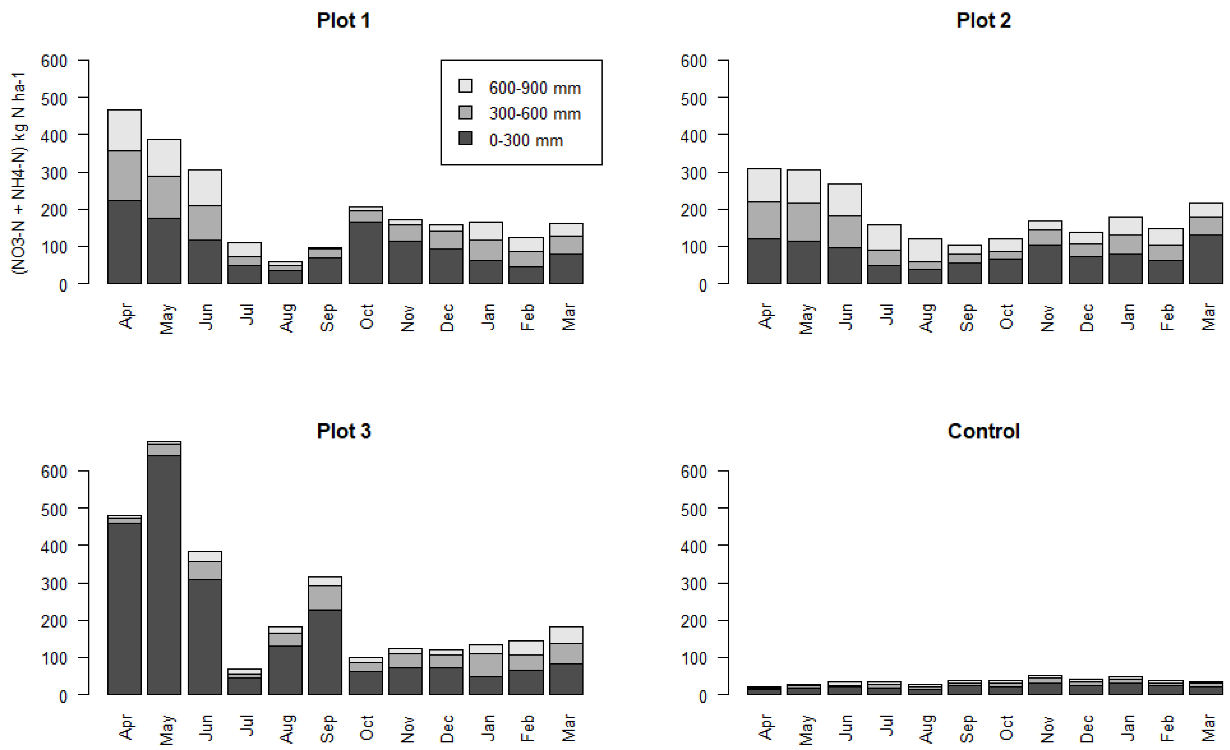
The results of the soil sampling are shown in Figure 1. The highest levels during the study period occurred at the beginning of the sampling in April and May, with a maximum of 680 kg Nmin-N ha−1 in Plot 3. During this period, Plots 1 and 2 showed between 300 and 480 kg Nmin-N ha−1, with about 100 kg Nmin-N ha−1 in each of the soil layers 300–600 and 600–900 mm, while almost all of the Nmin-N in Plot 3 was concentrated in the topsoil. The lowest Nmin-N levels in the mulched plots were measured during the main growing season between July and September and were 60, 70, and 100 kg Nmin-N ha−1 in Plots 1, 3, and 2, respectively. Thereafter, Nmin-N increased again to 120–170 kg in the mulched plots and to 30–50 kg ha−1 in the control outside the growing season from November to February. A further increase was observed in March with values of 160, 180, and 220 kg Nmin-N ha−1 in Plot 1, 3, and 2, respectively.
Figure 1.
Mineral N content of soil sampled in three soil depths in three mulched and one control plot from April 2021 to March 2022.
Subtracting the Nmin-N soil stocks corresponding to the control, the compost mulch added about 650 kg Nmin-N ha−1 to the soil of Plot 3 within a short time after spreading. This subsequently decreased to 70 kg Nmin-N ha−1 just before harvest, most likely due to the uptake of red cabbage of up to 250 kg N ha−1 [23]. As the soil samples do not indicate any major Nmin-N shifts into the deeper soil layers during crop growth, it is reasonable to assume that, apart from N immobilization, major losses occur due to denitrification. Corresponding indications with a high application of compost mulch can also be found in the literature [68]. The renewed increase in Nmin-N in August in Plot 3 can be explained by the absence of a crop and the simultaneously continued mineralization of the compost. In addition, mineralization may have been stimulated by shallow hoeing due to persistent field bindweed, as well as by the application of black film and the associated increase in soil temperature [72]. In contrast, the overall decrease in Nmin-N in Plots 1 and 2 from spring to harvest can be plausibly explained by the average removal of 210 + 220 kg N ha−1 by fennel and kohlrabi and 250 kg N ha−1 by celery [23]. After harvest, mineralization from compost continues; Nmin-N content increases again and gradually shifts to the 300–900 mm soil layer. A further increase in the rate of mineralization can be seen with rising temperatures in March. The trend towards lower Nmin-N in Plots 1 and 2 in spring 2022 compared to 2021 is due to the fact that the mulch cover was refreshed with 20 mm compost in spring 2021, but not during our sampling in 2022.
Overall, the application of DCM resulted in a high Nmin-N content in the soil. Reliable statements about actual N losses can only be made on the basis of appropriate measurements [73,74]. However, based on the data collected, it seems likely that excess Nmin-N was released on the farm during the monitoring period. In particular, the shift of Nmin-N from topsoil to subsoil over time and the resulting potential leaching is evident when comparing Plot 3, established in spring 2021, with Plots 1 and 2, which already received the initial compost layer of 150 mm in 2019. Furthermore, the relatively high Nmin-N levels throughout the main growth period indicate an excess supply compared to crop demand. Especially during the winter months, leaching losses are likely due to the high Nmin-N contents and the increasing proportion in the 600–900 mm soil horizon. The MW applied has very high Ntotal and Nmin-N contents with a low C/N ratio and a high bulk density (Table 1). As a result, the already high N supply is increased by a comparatively high mass of compost when applied in volumetric dosage. Therefore, the use of MW should be avoided when using the DCM method to reduce N surpluses. Furthermore, the low-intensity crop rotation is noticeable (Table 2), since high crop intensities with up to four crops per season are actually more common in market gardening [9,75] and would have allowed better utilization of the Nmin-N supply.
3.3. Modeling
The models were used to calculate the N pathways in the plant–soil system and the expected N losses due to denitrification and leaching (Table 3). For all plots, N-Expert outputs for MW are in line with field measurements (Figure 1). Except for a small negative balance in spinach and celery, N supply exceeded demand in all crops, with an average surplus of 81 kg N ha−1 a−1 during the growing season at depths of 0–300 and 0–600 mm, respectively, depending on the rooting depth of the crop [23]. The N balance for the whole year was calculated using NDICEA. It defines leaching losses as the cumulative Nmin-N sum below 600 mm soil depth. Compared to the field data, where the annual totals at 600–900 mm soil depth were 518, 637, and 244 kg Nmin-N ha−1 in Plots 1, 2, and 3, respectively, these were overestimated by the model. Replacing MW with GW and wood waste compost (WW) reduced predicted N losses due to leaching and denitrification by 44.7 and 68.5%, respectively. Because compost amounts were measured volumetrically at 150 mm mulch height, significantly lower amounts of GW and WW were required than MW due to the lower bulk density [42]. While GW and MW differed only slightly in g Ntotal kg DM−1 and C/N ratio, WW was also characterized by low N content and high C/N ratio [42]. Nmin-N supply was always higher than crop removal in the NDICEA simulations. N-Expert, on the other hand, does not calculate sufficient coverage of crop N demand for the GW and WW scenarios. However, if N-Expert is not adjusted to the Nmin-N level based on soil samples, as in the calculation for MW, only the N input in the calculated year is taken into account, and an accumulated Nmin-N soil stock, as in DCM, cannot be considered.
Table 3.
Model predictions in kg N ha−1. MW = municipal organic waste compost, GW = green waste compost, WW = wood waste compost, Nmin-N = inorganic N, Min OM = mineralization from soil organic matter, and Min/Im OF = mineralization or immobilization from organic fertilizer N.
Overfertilization of N is a common and widespread problem in vegetable production [76]. For example, many vegetable crops have a low N-use efficiency [77], and deliberately high N fertilization is often used as insurance against yield loss [78]. The problem is exacerbated by intensive irrigation, which has the potential to leach significant amounts of soluble N [79]. Many vegetables are harvested during full vegetative growth, and N-rich crop residues can result in significant NO3 leaching and N2O emissions outside the growing season [80,81]. Sustainable vegetable production requires efficient and environmentally friendly measures, and precise and adapted fertilization can have a large leverage effect [82]. The use of compost as a mulch material is particularly challenging in this context, as it has a low N fertilization effect in the year of application, and uncontrolled N mineralization makes it difficult to synchronize with crop demand [83]. However, with DCM, the low N release of the compost is overcompensated by the exceptionally high application rate, which further complicates the adjustment. Since the method is based on a high compost volume that allows integration of no-till and permanent mulch cover with adequate weed suppression, the adaptation of nutrient loads must be made through the choice of the compost and its nutrient composition. As the simulations show, N losses due to denitrification and leaching decrease strongly in the order MW, GW, and WW. Compared to the measured data, reliable quantification of the actual N fluxes by NDICEA and N-Expert seems unlikely, but both models illustrate the leverage of different compost qualities on N turnover. While absolute N inputs decrease with decreasing bulk density and N concentration for the same compost volume, N mineralization rates decrease with increasing C/N ratio [21]. The corresponding N inputs by MW, GW, and WW for 150 mm mulch were 10,159, 5609, and 3588 kg N ha−1, respectively. Therefore, light, woody, nutrient-poor composts are particularly suitable for realizing high compost volumes through DCM. As they are also recommended as a bulk substitute for peat-free growing media [42], they can also meet the requirement for permanent mulch cover as a growing medium. The comparatively low P content [42] also reduces the risk of problematic P accumulation in the soil, which can occur in composts with low N/P ratios [84]. To meet a possible Nmin-N demand of individual crops beyond the release of the compost, the targeted use of rapidly available organic N fertilizers is recommended [38], depending on the Nmin-N content of the soil and the expected uptake by the crop [23].
4. Conclusions
The advantages and disadvantages of compost as mulch were revealed in the literature review. Compared to common organic mulch materials such as hay, straw, or wood chips, compost has similar mulching properties but may contain higher nutrient concentrations. Since compost is a good germination and growth medium, it can remain on the site as permanent mulch. It is, therefore, well suited for no-till market gardening systems, but must be piled high enough to provide adequate weed suppression. Although the existing literature does not provide an understanding of the N dynamics in DCM, results from on-farm soil sampling suggest that nutrient-rich composts such as MW can lead to substantial accumulations of Nmin-N. These accumulations pose a risk of leaching into surface and groundwater. To reduce the risk of environmentally harmful Nmin-N surpluses, woody composts with low nutrient concentration, low bulk density, and high C/N ratio are recommended, as they are associated with lower N inputs and mineralization rates. However, according to model predictions, this may lead to the undersupply of individual crops in the rotation. In this case, additional applications of readily available organic N fertilizers may be appropriate for targeted supplementation of crop Nmin-N demand. Decision support tools such as N-Expert can assist with application rates when calibrated to fertilizer and soil analyses. More field data under different compost types and site conditions are needed to accurately assess N dynamics, N losses, and the contribution of DCM to plant nutrition.
Author Contributions
Conceptualization, B.R.; methodology, B.R.; software, A.S. and B.R.; validation, A.S.; formal analysis, A.S.; investigation, B.R.; resources, B.R.; writing—original draft preparation, B.R. and A.S.; writing—review and editing, B.R., M.H. and A.S.; visualization, B.R.; All authors have read and agreed to the published version of the manuscript.
Funding
This research received no external funding.
Institutional Review Board Statement
Not applicable.
Data Availability Statement
Not applicable.
Conflicts of Interest
The authors declare no conflict of interest.
References
- Coleman, E. The New Organic Grower: A Master’s Manual of Tools and Techniques for the Home and Market Gardener; Chelsea Green Pub. Co: White River Junction, VT, USA, 1995; ISBN 093003175X. [Google Scholar]
- Coleman, E. The Winter Harvest Handbook: Year-Round Vegetable Production Using Deep-Organic Techniques and Unheated Greenhouses; Chelsea Green Pub: White River Junction, VT, USA, 2009; ISBN 9781603580816. [Google Scholar]
- Fortier, J.-M. The Market Gardener: A Successful Grower’s Handbook for Small-Scale Organic Farming; New Society Publishers: Gabriola Island, BC, Canada, 2014; ISBN 9781550925555. [Google Scholar]
- Stone, C. The Urban: Growing Food for Profit on Leased and Borrowed Land; New Society Publishers: Gabriola Island, BC, Canada, 2016; ISBN 9780865718012. [Google Scholar]
- Hartman, B. The Lean Farm Guide to Growing Vegetables: More In-Depth Lean Techniques for Efficient Organic Production, 1st ed.; Chelsea Green Publishing: White River Junction, VT, USA, 2017; ISBN 9781603587006. [Google Scholar]
- Drottberger, A.; Melin, M.; Lundgren, L. Alternative Food Networks in Food System Transition—Values, Motivation, and Capacity Building among Young Swedish Market Gardeners. Sustainability 2021, 13, 4502. [Google Scholar] [CrossRef]
- Maughan, N.; Pipart, N.; van Dyck, B.; Visser, M. The potential of bio-intensive market gardening models for a transformative urban agriculture. In Resourcing an Agroecological Urbanism: Political, Transformationaland Territorial Dimensions; Tornaghi, C., Dehaene, M., Eds.; Routledge, Taylor & Francis Group: London, UK, 2021; pp. 144–164. ISBN 9780429433566. [Google Scholar]
- Jeavons, J.C. Biointensive Sustainable Mini-Farming: II. Perspective, Principles, Techniques and History. J. Sustain. Agric. 2001, 19, 65–76. [Google Scholar] [CrossRef]
- Morel, K.; San Cristobal, M.; Léger, F.G. Small can be beautiful for organic market gardens: An exploration of the economic viability of French microfarms using MERLIN. Agric. Syst. 2017, 158, 39–49. [Google Scholar] [CrossRef]
- Morel, K.; Guégan, C.; Léger, F.G. Can an organic market garden based on holistic thinking be viable without motorization? The case of a permaculture farm. Acta Hortic. 2016, 1137, 343–346. [Google Scholar] [CrossRef]
- Waltner, B. Marktgärtnereien-Die Zukunft des Kleinstrukturierten Gemüseanbaus? Bionet Gemüsetagung 2020 I Fokus: Market Gardening. 2020. Available online: https://www.bio-net.at/fileadmin/bionet/documents/Bericht_Marktgaertnereien_Bionet_Gemuesetagung_2020.pdf (accessed on 10 March 2023).
- Dowding, C. Organic Gardening: The Natural No-Dig Way; Green: Totnes, UK, 2007; ISBN 9781903998915. [Google Scholar]
- Perkins, R. Regenerative Agriculture: A Practical Whole Systems Guide to Making Small Farms Work; RP 59°N/Richard Perkins: Sunne, Sweden, 2019; ISBN 9151910519. [Google Scholar]
- Frost, J. The Living Soil Handbook: The No-Till Grower’s Guide to Ecological Market Gardening; Chelsea Green Publishing: Chelsea, VT, USA, 2021; ISBN 9781645020271. [Google Scholar]
- Kosterna, E. The Effect of Different Types of Straw Mulches on Weed-Control in Vegetables Cultivation. J. Ecol. Eng. 2014, 15, 109–117. [Google Scholar] [CrossRef]
- Bucki, P.; Siwek, P. Organic and non-organic mulches–impact on environmental conditions, yield, and quality of Cucurbitaceae. Folia Hortic. 2019, 31, 129–145. [Google Scholar] [CrossRef]
- Bajorienė, K.; Jodaugienė, D.; Pupalienė, R.; Sinkevičienė, A. Effect of organic mulches on the content of organic carbon in the soil. Est. J. Ecol. 2013, 62, 100. [Google Scholar] [CrossRef]
- Chopra, M.; Koul, B. Comparative assessment of different types of mulching in various crops: A review. Plant Arch. 2020, 20, 1620–1626. [Google Scholar]
- Burkhard, N.; Lynch, D.; Percival, D.; Sharifi, M. Organic Mulch Impact on Vegetation Dynamics and Productivity of Highbush Blueberry Under Organic Production. Horts 2009, 44, 688–696. [Google Scholar] [CrossRef]
- Khater, E.S.G. Some Physical and Chemical Properties of Compost. Int. J. Waste Resour. 2015, 5, 72–79. [Google Scholar] [CrossRef]
- Janssen, B.H. Nitrogen mineralization in relation to C:N ratio and decomposability of organic materials. In Progress in Nitrogen Cycling Studies; Van Cleemput, O., Hofman, G., Vermoesen, A., Eds.; Springer: Dordrecht, The Netherlands, 1996; pp. 69–75. ISBN 978-94-010-6292-3. [Google Scholar]
- Amlinger, F.; Götz, B.; Dreher, P.; Geszti, J.; Weissteiner, C. Nitrogen in biowaste and yard waste compost: Dynamics of mobilisation and availability—A review. Eur. J. Soil Biol. 2003, 39, 107–116. [Google Scholar] [CrossRef]
- Feller, C.; Fink, M. Nmin Target Values for Field Vegetables. Acta Hortic. 2002, 571, 195–201. [Google Scholar] [CrossRef]
- Bijay-Singh; Craswell, E. Fertilizers and nitrate pollution of surface and ground water: An increasingly pervasive global problem. SN Appl. Sci. 2021, 3, 518. [Google Scholar] [CrossRef]
- Albornoz, F. Crop responses to nitrogen overfertilization: A review. Sci. Hortic. 2016, 205, 79–83. [Google Scholar] [CrossRef]
- Anjana, S.U.; Iqbal, M. Nitrate accumulation in plants, factors affecting the process, and human health implications. A review. Agron. Sustain. Dev. 2007, 27, 45–57. [Google Scholar] [CrossRef]
- Voisin, A.-S.; Salon, C.; Munier-Jolain, N.G.; Ney, B. Quantitative effects of soil nitrate, growth potential and phenology on symbiotic nitrogen fixation of pea (Pisum sativum L.). Plant Soil 2002, 243, 31–42. [Google Scholar] [CrossRef]
- Fischbach, U.; Barbi, M. Kompostgaben in Market Gardening Betrieben. Ökomenischer Gärtnerrundbrief 2021, 3, 41–44. [Google Scholar]
- Fink, M.; Scharpf, H.C. N-Expert–A Decision Support System for Vegetable Fertilization in the Field. Acta Hortic. 1993, 339, 67–74. [Google Scholar] [CrossRef]
- Van der Burgt, G.J.H.M.; Oomen, G.J.M.; Habets, A.S.J.; Rossing, W.A.H. The NDICEA model, a tool to improve nitrogen use efficiency in cropping systems. Nutr. Cycl. Agroecosyst. 2006, 74, 275–294. [Google Scholar] [CrossRef]
- Sailer, G.; Eichermüller, J.; Poetsch, J.; Paczkowski, S.; Pelz, S.; Oechsner, H.; Müller, J. Characterization of the separately collected organic fraction of municipal solid waste (OFMSW) from rural and urban districts for a one-year period in Germany. Waste Manag. 2021, 131, 471–482. [Google Scholar] [CrossRef]
- Gottschall, R.; Thelen-Jüngling, M.; Kranert, M.; Kehres, B. Suitability of Biowaste and Green Waste Composts for Organic Farming in Germany and the Resulting Utilization Potentials. Agriculture 2023, 13, 740. [Google Scholar] [CrossRef]
- Bundesgütegemeinschaft Kompost e.V. Merkblatt Prüfzeugnisse: Erläuterung der RAL-Prüfzeugnisse und Hinterlegter Qualitäts–/Prüfkriterien Kompost RAL-GZ 251. Available online: https://www.kompost.de/fileadmin/user_upload/Dateien/Guetesicherung/Dokumente_Kompost/Dok._251-010-2_Merkblatt_Puez.pdf (accessed on 10 March 2023).
- Verband Deutscher Landwirtschaftlicher Untersuchungs und Forschungsanstalten. Die Untersuchung von Böden: 1.-5. Teillieferung; (Gesamtwerk); VDLUFA-Verl.: Darmstadt, Germany, 2007; ISBN 3922712428. [Google Scholar]
- Fink, M.; Scharpf, H. Apparent nitrogen mineralization and recovery of nitrogen supply in field trials with vegetable crops. J. Hortic. Sci. Biotechnol. 2000, 75, 723–726. [Google Scholar] [CrossRef]
- Armbruster, M.; Laun, N.; Heger, A.; Wiesler, F. Integrated nitrogen management-A strategy to improve nitrogen efficiency in intensive field vegetable production. In Proceedings of the NUTRIHORT, Nutrient Management, Innovative Techniques and Nutrient Legislation in Intensive Horticulture for an Improved Water Quality, Ghent, Belgium, 16–18 September 2013; ILVO: Melle, België, 2013; pp. 15–18. [Google Scholar]
- Nendel, C.; Melzer, D.; Thorburn, P.J. The nitrogen nutrition potential of arable soils. Sci. Rep. 2019, 9, 5851. [Google Scholar] [CrossRef] [PubMed]
- Sradnick, A.; Feller, C. A Typological Concept to Predict the Nitrogen Release from Organic Fertilizers in Farming Systems. Agronomy 2020, 10, 1448. [Google Scholar] [CrossRef]
- Van der Burgt, G.J.H.M.; Oomen, G.J.M.; Rossing, W.A.H. The NDICEA Model as a Learning Tool: Field Experiences. 2005. Available online: https://www.louisbolk.nl/sites/default/files/publication/pdf/1780.pdf (accessed on 16 March 2023).
- Koopmans, C.; Rietberg, P.; van der Burgt, G.J. Calibration and Adaptation of the NDICEA Model to Reduced Tillage Systems. Available online: https://orgprints.org/id/eprint/28776/1/3001.pdf (accessed on 16 March 2023).
- Swain, E.Y.; Almadni, M.; Leifert, C.; Stockdale, E.A.; Cooper, J.M. NDICEA Calibration and validation on a northern UK soil. Org. Agr. 2016, 6, 267–280. [Google Scholar] [CrossRef]
- Vandecasteele, B.; van Loo, K.; Ommeslag, S.; Vierendeels, S.; Rooseleer, M.; Vandaele, E. Sustainable Growing Media Blends with Woody Green Composts: Optimizing the N Release with Organic Fertilizers and Interaction with Microbial Biomass. Agronomy 2022, 12, 422. [Google Scholar] [CrossRef]
- Domínguez-Hernández, E.; Hernández-Aguilar, C.; Domínguez-Hernández, M.E.; Domínguez-Pacheco, F.A. Designing a horticultural intervention to improve food security: Evaluation of mulching practices using sustainability indicators. Agroecol. Sustain. Food Syst. 2020, 44, 1212–1242. [Google Scholar] [CrossRef]
- Feldman, R.S.; Holmes, C.E.; Blomgren, T.A. Use of fabric and compost mulches for vegetable production in a low tillage, permanent bed system: Effects on crop yield and labor. Am. J. Altern. Agric. 2000, 15, 146–153. [Google Scholar] [CrossRef]
- Forge, T.; Walters, T.; Koch, C. Use of Composted Dairy Manure Solids Mulch for Raspberry: Influences on Soil Nematode Communities and N and P Availability. Compost. Sci. Util. 2014, 22, 230–241. [Google Scholar] [CrossRef]
- Gheshm, R.; Brown, R.N. Organic Mulch Effects on High Tunnel Lettuce in Southern New England. Horttechnology 2018, 28, 485–491. [Google Scholar] [CrossRef]
- Gheshm, R.; Brown, R.N. Compost and Black Polyethylene Mulches Improve Spring Production of Romaine Lettuce in Southern New England. Horttechnology 2020, 30, 510–518. [Google Scholar] [CrossRef]
- Law, D.M.; Rowell, A.B.; Snyder, J.C.; Williams, M.A. Weed Control Efficacy of Organic Mulches in Two Organically Managed Bell Pepper Production Systems. Horttechnology 2006, 16, 225–232. [Google Scholar] [CrossRef]
- Naeini, S.M.; Cook, H.F. Influence of municipal compost on temperature, water, nutrient status and the yield of maize in a temperate soil. Soil Use Manag. 2000, 16, 215–221. [Google Scholar] [CrossRef]
- Dezsény, Z.; Jung, T. Effects of compost mulch and conservation tillage on organic zucchini production. Org. Agr. 2017, 7, 169–197. [Google Scholar] [CrossRef]
- Tanveer, A.; Sarwar, M.; Asghar, M.S.; Saleem, M.F.; Maqsood, H.; Ali, B.; Kashif Munir, M.; Arshad, M.; Muhammad Ikram, R.; Ahmad Ikram, N.; et al. Reducing nutrient uptake in okra weeds by suppressing their population through alligator weed compost mulch for better pod yield and quality. Arab. J. Geosci. 2022, 15, 1006. [Google Scholar] [CrossRef]
- Abubaker, S.M. Performance of greenhouse tomato (Lycopersicon esculentum Mill.) under compost and other mulch types. Acta Hortic. 2017, 1164, 203–208. [Google Scholar] [CrossRef]
- Vallotton, J.D. Reducing Tillage in Small-Scale Permanent Bed Organic Vegetable Production Systems. Master’s Thesis, University of Maine, Orono, ME, USA, 2018. Available online: https://digitalcommons.library.umaine.edu/etd/2869 (accessed on 10 March 2023).
- Schonbeck, M.W.; Evanylo, G.K. Effects of Mulches on Soil Properties and Tomato Production I. Soil Temperature, Soil Moisture and Marketable Yield. J. Sustain. Agric. 1998, 13, 55–81. [Google Scholar] [CrossRef]
- Boyhan, G.E.; Hicks, R.; Hill, C.R. Natural Mulches Are Not Very Effective for Weed Control in Onions. Horttechnology 2006, 16, 523–526. [Google Scholar] [CrossRef]
- Oswald, M.; Bomford, M. Fresh Spent Mushroom Compost Mulch Effect on Bean (Phaseolus vulgaris), Broccoli (Brassica oleracea var. italica), Salsola (Salsola komarovii), and Squash (Cucurbita pepo subsp. pepo) Growth, Weed Suppression, and Broccoli Yield; Kwantlen Polytechnic University, Faculty of Science and Horticulture, Department of Sustainable Agriculture: Surrey, BC, Canada; Available online: https://www.kpu.ca/sites/default/files/Faculty%20of%20Science%20%26%20Horticulture/Sustainable%20Agriculture/Oswald2020%20-%20sharable.pdf (accessed on 10 March 2023).
- Ozores-Hampton, M.; Obreza, T.A.; Stoffella, P.J. Mulching with Composted MSW for Biological Control of Weeds in Vegetable Crops. Compost. Sci. Util. 2001, 9, 352–360. [Google Scholar] [CrossRef]
- Ozores-Hampton, M.; Obreza, T.A.; Stoffella, P.J.; Fitzpatrick, G. Immature Compost Suppresses Weed Growth Under Greenhouse Conditions. Compost. Sci. Util. 2002, 10, 105–113. [Google Scholar] [CrossRef]
- Schmalzle, G. Weed control with the compost-Mulch-method. Dtsch. Gart. 1990, 44, 1393–1395. [Google Scholar]
- Schonbeck, M.W. Weed Suppression and Labor Costs Associated with Organic, Plastic, and Paper Mulches in Small-Scale Vegetable Production. J. Sustain. Agric. 1999, 13, 13–33. [Google Scholar] [CrossRef]
- Carr, P.; Gramig, G.; Liebig, M. Impacts of Organic Zero Tillage Systems on Crops, Weeds, and Soil Quality. Sustainability 2013, 5, 3172–3201. [Google Scholar] [CrossRef]
- Pickering, J.S.; Kendle, A.D.; Hadley, P. The Suitability of Composted Green Waste as An Organic Mulch: Effects on Soil Moisture Retention And Surface Temperature. Acta Hortic. 1998, 469, 319–324. [Google Scholar] [CrossRef]
- Roe, N.E.; Stoffella, P.J.; Bryan, H.H. Growth and Yields of Bell Pepper and Winter Squash Grown with Organic and Living Mulches. J. Am. Soc. Hortic. Sci. 1994, 119, 1193–1199. [Google Scholar] [CrossRef]
- Roe, N.E.; Stoffella, P.J.; Bryan, H.H. Utilization of MSW Compost and other Organic Mulches on Commercial Vegetable Crops. Compost. Sci. Util. 1993, 1, 73–84. [Google Scholar] [CrossRef]
- Agassi, M.; Levy, G.; Hadas, A.; Benyamini, Y.; Zhevelev, H.; Fizik, E.; Gotessman, M.; Sasson, N. Mulching with composted municipal solid wastes in Central Negev, Israel: I. effects on minimizing rainwater losses and on hazards to the environment. Soil Tillage Res. 2004, 78, 103–113. [Google Scholar] [CrossRef]
- Agassi, M.; Hadas, A.; Benyamini, Y.; Levy, G.J.; Kautsky, L.; Avrahamov, L.; Zhevelev, H. Mulching Effects of Composted MSW On Water Percolation and Compost Degradation Rate. Compost. Sci. Util. 1998, 6, 34–41. [Google Scholar] [CrossRef]
- Schonbeck, M.W.; Evanylo, G.K. Effects of Mulches on Soil Properties and Tomato Production II. Plant-Available Nitrogen, Organic Matter Input, and Tilth-Related Properties. J. Sustain. Agric. 1998, 13, 83–100. [Google Scholar] [CrossRef]
- Hadas, A.; Agassi, M.; Zhevelev, H.; Kautsky, L.; Levy, G.; Fizik, E.; Gotessman, M. Mulching with composted municipal solid wastes in the Central Negev, Israel. Soil Tillage Res. 2004, 78, 115–128. [Google Scholar] [CrossRef]
- Tombeur, F.d.; Sohy, V.; Chenu, C.; Colinet, G.; Cornelis, J.-T. Effects of Permaculture Practices on Soil Physicochemical Properties and Organic Matter Distribution in Aggregates: A Case Study of the Bec-Hellouin Farm (France). Front. Environ. Sci. 2018, 6, 116. [Google Scholar] [CrossRef]
- Burkhard, N.; Lynch, D.; Percival, D. Effects of Pine-Needle and Compost Mulches and Weeds on Nitrogen Dynamics in An Organically-Managed Highbush Blueberry Field. Acta Hortic. 2010, 873, 253–260. [Google Scholar] [CrossRef]
- Reeh, U.; Jensen, M.B. Yield and Quality of Leek in Response to Compost Applied as a Mulch or Incorporated Into the Soil. Compost. Sci. Util. 2002, 10, 244–248. [Google Scholar] [CrossRef]
- Rylander, H.; Rangarajan, A.; Maher, R.M.; Hutton, M.G.; Rowley, N.W.; McGrath, M.T.; Sexton, Z.F. Black Plastic Tarps Advance Organic Reduced Tillage I: Impact on Soils, Weed Seed Survival, and Crop Residue. Hortscience 2020, 55, 819–825. [Google Scholar] [CrossRef]
- Friedl, J.; Cardenas, L.M.; Clough, T.J.; Dannenmann, M.; Hu, C.; Scheer, C. Measuring denitrification and the N2O:(N2O + N2) emission ratio from terrestrial soils. Curr. Opin. Environ. Sustain. 2020, 47, 61–71. [Google Scholar] [CrossRef]
- Ramos, C.; Kücke, M. A Review of Methods for Nitrate Leaching Measurement. Acta Hortic. 2001, 563, 259–266. [Google Scholar] [CrossRef]
- Morel, K.; San Cristobal, M.; Léger, F.G. Simulating incomes of radical organic farms with MERLIN: A grounded modeling approach for French microfarms. Agric. Syst. 2018, 161, 89–101. [Google Scholar] [CrossRef]
- Tei, F.; Neve, S.d.; Haan, J.d.; Kristensen, H.L. Nitrogen management of vegetable crops. Agric. Water Manag. 2020, 240, 106316. [Google Scholar] [CrossRef]
- Greenwood, D.J.; Kubo, K.; Burns, I.G.; Draycott, A. Apparent recovery of fertilizer n by vegetable crops. Soil Sci. Plant Nutr. 1989, 35, 367–381. [Google Scholar] [CrossRef]
- Thompson, R.B.; Martínez-Gaitan, C.; Gallardo, M.; Giménez, C.; Fernández, M.D. Identification of irrigation and N management practices that contribute to nitrate leaching loss from an intensive vegetable production system by use of a comprehensive survey. Agric. Water Manag. 2007, 89, 261–274. [Google Scholar] [CrossRef]
- Gallardo, M.; Elia, A.; Thompson, R.B. Decision support systems and models for aiding irrigation and nutrient management of vegetable crops. Agric. Water Manag. 2020, 240, 106209. [Google Scholar] [CrossRef]
- Agneessens, L.; Waele, J.d.; Neve, S.d. Review of Alternative Management Options of Vegetable Crop Residues to Reduce Nitrate Leaching in Intensive Vegetable Rotations. Agronomy 2014, 4, 529–555. [Google Scholar] [CrossRef]
- Nett, L.; Sradnick, A.; Fuß, R.; Flessa, H.; Fink, M. Emissions of nitrous oxide and ammonia after cauliflower harvest are influenced by soil type and crop residue management. Nutr. Cycl. Agroecosyst. 2016, 106, 217–231. [Google Scholar] [CrossRef]
- Zemek, O.; Neuweiler, R.; Richner, W.; Liebisch, F.; Spiess, E. Estimating and Reducing Nitrate Leaching in Vegetable Production. Agrarforschung Schweiz 2020, 11, 76–78. [Google Scholar] [CrossRef]
- Möller, K. Soil fertility status and nutrient input–output flows of specialised organic cropping systems: A review. Nutr. Cycl. Agroecosystems 2018, 112, 147–164. [Google Scholar] [CrossRef]
- Eghball, B.; Power, J.F. Phosphorus and Nitrogen-Based Manure and Compost Applications Corn Production and Soil Phosphorus. Soil Sci. Soc. Am. J. 1999, 63, 895–901. [Google Scholar] [CrossRef]
Disclaimer/Publisher’s Note: The statements, opinions and data contained in all publications are solely those of the individual author(s) and contributor(s) and not of MDPI and/or the editor(s). MDPI and/or the editor(s) disclaim responsibility for any injury to people or property resulting from any ideas, methods, instructions or products referred to in the content. |
© 2023 by the authors. Licensee MDPI, Basel, Switzerland. This article is an open access article distributed under the terms and conditions of the Creative Commons Attribution (CC BY) license (https://creativecommons.org/licenses/by/4.0/).
