Phytostimulator Application after Cold Stress for Better Maize (Zea mays L.) Plant Recovery
Abstract
1. Introduction
2. Materials and Methods
2.1. Plant Materials and Growing Conditions
2.2. Phytostimulators
2.3. Phytostimulator Treatments
2.4. The Photochemical Efficiency of Photosystem II (PSII)
2.5. Photosynthetic Activity
2.6. The Determination of Leaf Chlorophyll Content
2.7. Yield
2.8. Statistical Analysis of Data
3. Results
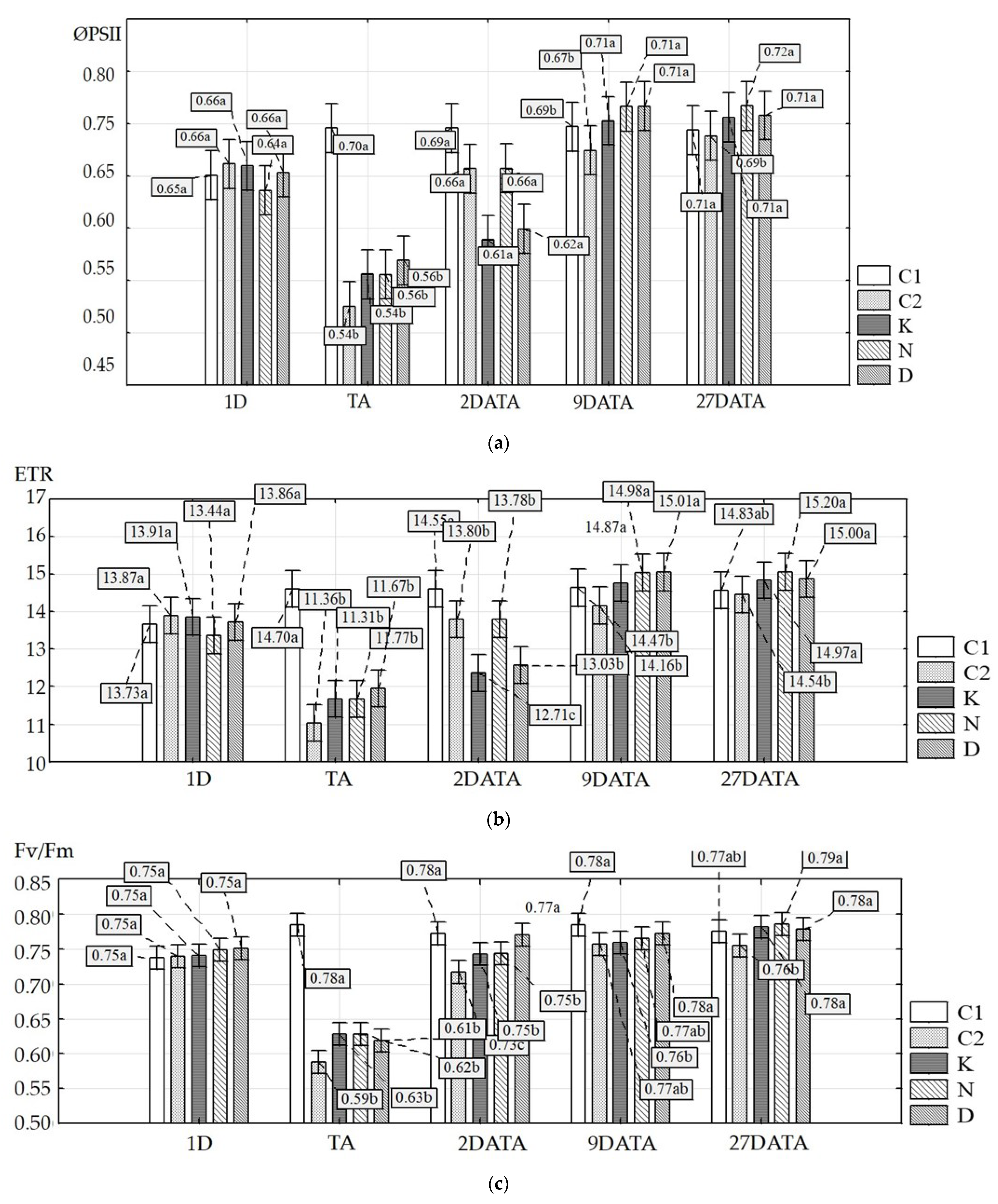
3.1. Chlorophyll Fluorescence Parameters
3.2. Gas Exchange Parameters and Leaf Chlorophyll Content
3.3. Dry Weight of Maize Plant
3.4. Prediction of Maize Plant Recovery Day after Stress
4. Discussion
5. Conclusions
Author Contributions
Funding
Institutional Review Board Statement
Data Availability Statement
Conflicts of Interest
References
- Malhi, G.S.; Kaur, M.; Kaushik, P. Impact of Climate Change on Agriculture and Its Mitigation Strategies: A Review. Sustainability 2021, 13, 1318. [Google Scholar] [CrossRef]
- Raza, A.; Razzaq, A.; Mehmood, S.S.; Zou, X.; Zhang, X.; Lv, Y.; Xu, J. Impact of climate change on crops adaptation and strategies to tackle its outcome: A review. Plants 2019, 8, 34. [Google Scholar] [CrossRef] [PubMed]
- Trnka, M.; Olesen, J.E.; Kersebaum, K.C.; Skjelvåg, A.O.; Eitzinger, J.; Seguin, B.; Dubrovský, M. Agroclimatic conditions in Europe under climate change. Global Change Biol. 2011, 17, 2298–2318. [Google Scholar] [CrossRef]
- Lobell, D.B.; Schlenker, W.; Costa-Roberts, J. Climate trends and global crop production since 1980. Science 2011, 333, 616–620. [Google Scholar] [CrossRef] [PubMed]
- Olesen, J.E.; Trnka, M.; Kersebaum, K.C.; Skjelvåg, A.O.; Seguin, B.; Peltonen-Sainio, P.; Rossi, F.; Kozyra, J.; Micale, F. Impacts and adaptation of European crop production systems to climate change. Europ. J. Agron. 2011, 34, 96–112. [Google Scholar] [CrossRef]
- Riva-Roveda, L.; Escale, B.; Giauffret, C.; Périlleux, C. Maize plants can enter a standby mode to cope with chilling stress. BMC Plant Biol. 2016, 16, 212. [Google Scholar] [CrossRef]
- Marocco, A.; Lorenzoni, C.; Francheboud, Y. Chilling stress in maize. Maydica 2005, 50, 571. [Google Scholar]
- Leipner, J.; Stamp, P. Chilling stress in maize seedlings. In Handbook of Maize; Bennetzen, J.L., Hake, S.C., Eds.; Springer: New York, NY, USA, 2009; pp. 291–310. [Google Scholar]
- Bilska-Kos, A.; Szczepanik, J.; Sowiński, P. Cold induced changes in the water balance affect immunocytolocalization pattern of one of the aquaporins in the vascular system in the leaves of maize (Zea mays L.). J. Plant Physiol. 2016, 205, 75–79. [Google Scholar] [CrossRef]
- Kościelniak, J.; Biesaga-Kościelniak, J. Photosynthesis and non-photochemical excitation quenching components of chlorophyll excitation in maize and field bean during chilling at different photon flux density. Photosynthetica 2006, 44, 174–180. [Google Scholar] [CrossRef]
- Benito, P.; Ligorio, D.; Bellón, J.; Yenush, L.; Mulet, J.M. A fast method to evaluate in a combinatorial manner the synergistic effect of different biostimulants for promoting growth or tolerance against abiotic stress. Plant Methods 2022, 18, 1–17. [Google Scholar] [CrossRef]
- Brown, P.; Saa, S. Biostimulants in agriculture. Front. Plant Sci. 2015, 6, 671. [Google Scholar] [CrossRef]
- Bulgari, R.; Cocetta, G.; Trivellini, A.; Vernieri, P.; Ferrante, A. Biostimulants and crop responses: A revive. Biol. Agric. Hortic. 2015, 31, 1–17. [Google Scholar] [CrossRef]
- Aguado-Santacruz, G.A.; Moreno-Gómez, B.; Rascón-Cruz, Q.; Aguirre-Mancilla, C.; Espinosa-Solís, J.A.; González-Barriga, C.D. Biofertilizers as complements to synthetic and organic fertilization. In Components, Uses in Agriculture and Environmental Impacts; López-Valdes, F., Fernández-Luqueno, F., Eds.; Nova Science Publishers Inc.: New York, NY, USA, 2014; pp. 155–180. [Google Scholar]
- Martínez-Viveros, O.; Jorquera, M.A.; Crowley, D.E.; Gajardo, G.; Mora, M.L. Mechanisms and practical considerations involved in plant growth promotion by rhizobacteria. J. Soil Sci. Plant Nutr. 2010, 10, 293–319. [Google Scholar] [CrossRef]
- Glińska, S.; Bartczak, M.; Oleksiak, S.; Wolska, A.; Gabara, B.; Posmyk, M.M. Effects of anthocyanin-rich extract from red cabbage leaves on meristematic cells of Allium cepa L. roots treated with heavy metals. Ecotox. Environ. Safe 2007, 68, 343–350. [Google Scholar] [CrossRef]
- Bonny, S. Corporate concentration and technological change in the global seed industry. Sustainability 2017, 9, 1632. [Google Scholar] [CrossRef]
- Posmyk, M.M.; Szafrańska, K. Biostimulators: A New Trend towards Solving an Old Problem. Front. Plant Sci. 2016, 7, 748. [Google Scholar] [CrossRef]
- Brzozowski, L.; Mazourek, M.A. Sustainable agricultural future relies on the transition to organic agroecological pest management. Sustainability 2018, 10, 2023. [Google Scholar] [CrossRef]
- Xu, L.; Geelen, D. Developing biostimulants from agro-food and industrial by-products. Front. Plant Sci. 2018, 9, 1567. [Google Scholar] [CrossRef]
- Baltazar, M.; Correia, S.; Guinan, K.J.; Sujeeth, N.; Bragança, R.; Gonçalves, B. Recent advances in the molecular effects of biostimulants in plants: An overview. Biomolecules 2021, 11, 1096. [Google Scholar] [CrossRef]
- Traversari, S.; Cacini, S.; Nesi, B. Seaweed Extracts as Substitutes of Synthetic Hormones for Rooting Promotion in Rose Cuttings. Horticulturae 2022, 8, 561. [Google Scholar] [CrossRef]
- Nano Active 2023. Available online: https://chemirol.com.pl/pl_PL/product/nano-active (accessed on 31 January 2023).
- Dynamic Cresco 2023. Available online: https://chemirol.com.pl/pl_PL/product/dynamic-cresco (accessed on 31 January 2023).
- Shareef, H.J.; Al-Yahyai, R.A.; Omar, A.E.D.K.; Barus, W.A. Foliar nano-fertilization enhances fruit growth, maturity, and biochemical responses of date palm. Can. J. Plant Sci. 2020, 101, 299–306. [Google Scholar] [CrossRef]
- Santini, G.; Biondi, N.; Rodolfi, L.; Tredici, M.R. Plant biostimulants from cyanobacteria: An emerging strategy to improve yields and sustainability in agriculture. Plants 2021, 10, 643. [Google Scholar] [CrossRef] [PubMed]
- Basak, A. Effect of Preharvest Treatment with Seaweed Products, Kelpak® and Goëmar BM 86®, on Fruit Quality in Apple. Int. J. Fruit Sci. 2008, 8, 1–14. [Google Scholar] [CrossRef]
- Sulewska, H.; Ratajczak, K.; Panasiewicz, K.; Kalaji, H.M. Can pyraclostrobin and epoxiconazole protect conventional and stay-green maize varieties grown under drought stress? PLoS ONE 2019, 14, e0221116. [Google Scholar] [CrossRef] [PubMed]
- Genty, B.; Briantais, J.M.; Baker, N.R. The relationship between quantum yield of photosynthetic electron transport and quenching of chlorophyll fluorescence. Biochim. Biophys. Acta 1989, 990, 87–92. [Google Scholar] [CrossRef]
- Krall, J.P.; Edwards, G.E. Relationship between photosystem II activity and CO2 fixation in leaves. Physiol. Plant. 1992, 86, 180–187. [Google Scholar] [CrossRef]
- Borkowska, B.; Balla, I.; Szucs, E.; Michaczuk, B. Evaluation of the response of micropropagated peach rootstock ‘Cadaman’and cv.‘Cresthaven’ to mycorrhization using chlorophyll a fluorescence method. J. Fruit Ornam. Plant Res. 2008, 16, 243–260. [Google Scholar]
- Kalaji, M.H.; Guo, P. Chlorophyll fluorescence: A useful tool in barley plant breeding programs. In Photochemistry Research Progress; Sánchez, A., Gutierrez, S.J., Eds.; Nova Science Publishers: New York, NY, USA, 2008; pp. 447–471. [Google Scholar]
- Thornley, J.H.M. Dynamic model of leaf photosynthesis with acclimation to light and nitrogen. Ann. Bot. 1998, 81, 421–430. [Google Scholar] [CrossRef]
- Kyei-Boahen, S.; Lada, R.; Astatkie, T.; Gordon, R.; Caldwell, C. Photosynthetic response of carrots to varying irradiances. Photosynthetica 2003, 41, 301–305. [Google Scholar] [CrossRef]
- Kalaji, H.M.; Schansker, G.; Brestic, M.; Bussotti, F.; Calatayud, A. Frequently asked questions about chlorophyll fluorescence, the sequel. Photosynth. Res. 2017, 132, 13–66. [Google Scholar] [CrossRef]
- Witkowska-Banaszczak, E.; Radzikowska, D.; Ratajczak, K. Chemical profile and antioxidant activity of Trollius europaeus under the influence of feeding aphids. Open Life Sci. 2018, 13, 312–318. [Google Scholar] [CrossRef]
- Bowley, S.R. A Hitchhiker’s Guide to Statistics in Plant Biology; Any Old Subject Books: Guelph, ON, Canada, 1999. [Google Scholar]
- Long, S.P.; East, T.M.; Baker, N.R. Chilling damage to photosynthesis in young Zea mays: I. Effects of light and temperature variation on photosynthetic CO2 assimilation. J. Exp. Bot. 1983, 34, 177–188. [Google Scholar] [CrossRef]
- Baker, N.R.; Long, S.P.; Ort, D.R. Photosynthesis and temperature, with particular reference to effects on quantum yield. In: Plant and temperature. Great Britain Soc. for Exp. Biol. 1988, 42, 347–375. [Google Scholar]
- Hall, D.O.; Rao, K. Photosynthesis; Cambridge University Press: Cambridge, UK, 1999. [Google Scholar]
- Rymen, B.; Fiorani, F.; Kartal, F.; Vandepoele, K.; Inzé, D.; Beemster, G.T. Cold nights impair leaf growth and cell cycle progression in maize through transcriptional changes of cell cycle genes. Plant Physiol. 2007, 143, 1429–1438. [Google Scholar] [CrossRef]
- Kratsch, H.; Wise, R.R. The ultrastructure of chilling stress. Plant Cell Environ. 2000, 23, 337–350. [Google Scholar] [CrossRef]
- Mauro, S.; Dainese, P.; Lannoe, R.; Bassi, R. Cold-resistant and cold-sensitive maize lines differ in the phosphorylation of the photosystem II subunit, CP29. Plant Physiol. 1997, 115, 171–180. [Google Scholar] [CrossRef]
- Koroleva, O.Y.; Brüggemann, W.; Krause, G.H. Photoinhibition, xanthophyll cycle and in vivo chlorophyll fluorescence quenching of chilling-tolerant Oxyria digyna and chilling-sensitive Zea mays. Physiol. Plant. 1994, 92, 577–584. [Google Scholar] [CrossRef]
- Foyer, C.H.; Vanacker, H.; Gomez, L.D.; Harbinson, J. Regulation of photosynthesis and antioxidant metabolism in maize leaves at optimal and chilling temperatures. Plant Physiol. Biochem. 2002, 40, 659–668. [Google Scholar] [CrossRef]
- Schapendonk, A.H.C.M.; Dolstra, O.; Van Kooten, O. The use of chlorophyll fluorescence as a screening method for cold tolerance in maize. Photosynth. Res. 1989, 20, 235–247. [Google Scholar] [CrossRef]
- Han, Q.-H.; Huang, B.; Ding, C.-B.; Zhang, Z.-W.; Chen, Y.-E.; Hu, C.; Zhou, L.-J.; Huang, Y.; Liao, J.-Q.; Yuan, S.; et al. Effects of melatonin on anti-oxidative systems and photosystem II in cold-stressed rice seedlings. Front. Plant Sci. 2017, 8, 785. [Google Scholar] [CrossRef]
- Long, S.P.; Spence, A.K. Toward cool C4 crops. Annu. Rev. Plant Biol. 2013, 64, 701–722. [Google Scholar] [CrossRef] [PubMed]
- Papageorgiou, G.C. (Ed.) Chlorophyll a fluorescence: A signature of photosynthesis; Springer Science & Business Media: Berlin/Heidelberg, Germany, 2007; Volume 19. [Google Scholar]
- Guidi, L.; Lo Piccolo, E.; Landi, M. Chlorophyll fluorescence, photoinhibition and abiotic stress: Does it make any difference the fact to be a C3 or C4 species? Front. Plant Sci. 2019, 10, 174. [Google Scholar] [CrossRef] [PubMed]
- Wu, J.; Nadeem, M.; Galagedara, L.; Thomas, R.; Cheema, M. Effects of chilling stress on morphological, physiological, and biochemical attributes of silage corn genotypes during seedling establishment. Plants 2022, 11, 1217. [Google Scholar] [CrossRef]
- Huner, N.P.A.; Maxwell, D.P.; Gray, G.R.; Savitch, L.V.; Laudenbach, D.E.; Falk, S. Photosynthetic response to light and temperature: PS II excitation pressure and redox signaling. Acta Physiol. Plant. 1995, 17, 167–176. [Google Scholar]
- Borowski, E. The effect of the method of application and concentration of Asahi Sl on the response of cucumber plants to chilling stress. Acta Agrobot. 2010, 63, 161–169. [Google Scholar] [CrossRef]
- Lootens, P.; Van Waes, J.; Carlier, L. Effect of a short photoinhibition stress on photosynthesis, chlorophyll a fluorescence, and pigment contents of different maize cultivars. Can a rapid and objective stress indicator be found? Photosynthetica 2004, 42, 187–192. [Google Scholar] [CrossRef]
- Demmig-Adams, B.; Adams, W.W. An integrative approach to photoinhibition and photoprotection of photosynthesis. Environ. Exp. Bot. 2018, 154, 1–3. [Google Scholar] [CrossRef]
- Hajihashemi, S.; Noedoost, F.; Geuns, J.M.C.; Djalovic, I.; Siddique, K.H.M. Effect of Cold Stress on Photosynthetic Traits, Carbohydrates, Morphology, and Anatomy in Nine Cultivars of Stevia rebaudiana. Front. Plant Sci. 2018, 9, 1430. [Google Scholar] [CrossRef]
- Dong, Y.J.; He, M.R.; Wang, Z.L.; Chen, W.F.; Hou, J.; Qiu, X.K.; Zhang, J.W. Effects of new coated release fertilizer on the growth of maize. J. Soil Sci. Plant Nutr. 2016, 16, 637–649. [Google Scholar] [CrossRef]
- Haghighi, B.J.; Yarmahaodi, Z.; Alizadeh, O. Evaluation the effects of biological fertilizer on physiological characteristic and yield and its components of Corn (Zea mays L.) under drought stress. Am. J. Agric. Biol. Sci. 2010, 5, 189–193. [Google Scholar] [CrossRef]
- Nekrasova, G.F.; Ushakova, O.S.; Ermakov, A.E.; Uimin, M.A.; Byzov, I.V. Effects of copper(II) ions and copper oxide nanoparticles on Elodea densa Planch. Russ. J. Ecol. 2011, 42, 458–463. [Google Scholar] [CrossRef]
- Jakienė, E.; Spruogis, V.; Romaneckas, K.; Dautartė, A.; Avižienytė, D. The bio-organic nano fertilizer improves sugar beet photosynthesis process and productivity. Zemdirb.-Agric. 2015, 102, 141–146. [Google Scholar] [CrossRef]
- Pietrini, F.; Massacci, A. Leaf anthocyanin content changes in Zea mays L. grown at low temperature: Significance for the relationship between the quantum yield of PS II and the apparent quantum yield of CO2 assimilation. Photosynth. Res. 1998, 58, 213–219. [Google Scholar] [CrossRef]
- Sherwin, H.W.; Farrant, J.M. Protection mechanisms against excess light in the resurrection plants Craterostigma wilmsii and Xerophyta viscosa. Plant Growth Regul. 1998, 24, 203–210. [Google Scholar] [CrossRef]
- Zaefyzadeh, M.; Quliyev, R.A.; Babayeva, S.M.; Abbasov, M.A. The effect of the interaction between genotypes and drought stress on the superoxide dismutase and chlorophyll content in durum wheat landraces. Turk. J. Biol. 2009, 33, 1–7. [Google Scholar] [CrossRef]
- Haldimann, P. Low growth temperature-induced changes to pigment composition and photosynthesis in Zea mays genotypes differing in chilling sensitivity. Plant Cell Environ. 1998, 21, 200–208. [Google Scholar] [CrossRef]
- Kocira, A.; Świeca, M.; Kocira, S.; Złotek, U.; Jakubczyk, A. Enhancement of yield, nutritional and nutraceutical properties of two common bean cultivars following the application of seaweed extract (Ecklonia maxima). Saudi J. Biol. Sci. 2018, 25, 563–571. [Google Scholar] [CrossRef]
- Matysiak, K.; Kaczmarek, S.; Leszczynska, D. Influence of liquid seaweed extract of Ecklonia maxima on winter wheat cv Tonacja. J. Res. Appl. Agric. Engin 2012, 57, 44–47. [Google Scholar]
- Papenfus, H.B.; Kulkarni, M.G.; Stirk, W.A.; Finnie, J.F.; Van Staden, J. Effect of a commercial seaweed extract (Kelpak®) and polyamines on nutrient-deprived (N, P and K) okra seedlings. Sci. Hortic 2013, 151, 142–146. [Google Scholar] [CrossRef]
- Sosnowski, J.; Jankowski, K.; Wisniewska-Kadżajan, B.; Jankowska, J. Effect of the Ecklonia maxima extract on selected micro-and macroelements in above-ground biomass of Festulolium baunii (K. Richt.) A. Camus. Pol. J. Nat. Sci. 2013, 28, 317–326. [Google Scholar]
- Sharma, H.S.; Fleming, C.; Selby, C.; Rao, J.R.; Martin, T. Plant biostimulants: A review on the processing of macroalgae and use of extracts for crop management to reduce abiotic and biotic stresses. J. Appl. Phycol. 2014, 26, 465–490. [Google Scholar] [CrossRef]
- Pietryga, J.; Matysiak, K. Biologiczna ocena bioregulatora wzrostu Kelpak w rzepaku ozimym. Prog. Plant Prot. 2003, 43, 863–865. [Google Scholar]
- Rengasamy, K.R.; Kulkarni, M.G.; Stirk, W.A.; Van Staden, J. Eckol improves growth, enzyme activities, and secondary metabolite content in maize (Zea mays cv. Border King). J. Plant Growth Regul. 2015, 34, 410–416. [Google Scholar] [CrossRef]
- Matysiak, K.; Adamczewski, K. Wpływ bioregulatora Kelpak na plonowanie roślin uprawnych. Prog. Plant Prot. 2006, 46, 102–108. [Google Scholar]
- Pobereżny, J.; Szczepanek, M.; Wszelaczyńska, E.; Prus, P. The quality of carrot after field biostimulant application and after storage. Sustainability 2020, 12, 1386. [Google Scholar] [CrossRef]
- Ekinci, M.; Dursun, A.; Yildirim, E.; Parlakova, F. Effects of nanotechnology liquid fertilizers on the plant growth and yield of cucumber (Cucumis sativus L.). Acta Sci Pol Hortic 2014, 13, 135–141. [Google Scholar]
- Wu, W.; Mao, Y.; Liang, Y.; Zhu, F.; Sun, G. Optimization of Function Parameters of Nanomaterials on Germination of Paper. 2012. Available online: http://en.enki.com.en/Article_en/htm (accessed on 22 February 2017).
- Liu, R.; Lal, R. Synthetic apatite nanoparticles as a phosphorus fertilizer for soybean (Glycine max). Sci. Rep. 2014, 4, 5686. [Google Scholar] [CrossRef]
- Guardiola-Márquez, C.E.; Santos-Ramírez, M.T.; Segura-Jiménez, M.E.; Figueroa-Montes, M.L.; Jacobo-Velázquez, D.A. Fighting Obesity-Related Micronutrient Deficiencies through Biofortification of Agri-Food Crops with Sustainable Fertilization Practices. Plants 2022, 11, 3477. [Google Scholar] [CrossRef]
- Benzon, H.R.L.; Rubenecia, M.R.U.; Ultra Jr, V.U.; Lee, S.C. Nano-fertilizer affects the growth, development, and chemical properties of rice. Int. J. Agric. Res. 2015, 7, 105–117. [Google Scholar]
- Gupta, S.D.; Agarwal, A.; Pradhan, S. Phytostimulatory effect of silver nanoparticles (AgNPs) on rice seedling growth: An insight from antioxidative enzyme activities and gene expression patterns. Ecotoxicol. Environ. Saf. 2018, 161, 624–633. [Google Scholar] [CrossRef]
- Shalaby, T.A.; Bayoumi, Y.; Eid, Y.; Elbasiouny, H.; Elbehiry, F.; Prokisch, J.; Ling, W. Can nanofertilizers mitigate multiple environmental stresses for higher crop productivity? Sustainability 2022, 14, 3480. [Google Scholar] [CrossRef]





| Source of Variation | df | F-value | |||||
|---|---|---|---|---|---|---|---|
| ΦPSII | Fv/Fm | ETR | CCI | PNmax | RD | ||
| Phytostimulator (P) | 4 | 3.1 * | 8.7 ** | 3.1 * | 3.9 ** | 18.5 ** | 0.69 n.s |
| Time (T) | 4 | 23.4 ** | 48.0 ** | 23.4 ** | 150.1 ** | 82.5 ** | 7.3 ** |
| P × T | 16 | 2.4 ** | 4.2 ** | 2.4 ** | 1.0 n.s | 4.2 ** | 0.29 n.s |
| Error | 125 | ||||||
| Total | 149 | ||||||
| Treatment | CCI | RD | ||
|---|---|---|---|---|
| (BBCH 19, 10) | (BBCH 11) | (BBCH 65) | ||
| C1 | 11.35 a | 12.77 a | 16.71 a | 1.00 a |
| C2 | 8.90 b | 9.18 b | 13.62 b | 0.88 a |
| K | 9.58 b | 10.01 b | 14.14 b | 0.89 a |
| N | 9.70 ab | 10.00 b | 14.92 ab | 1.06 a |
| D | 9.47 b | 12.33 a | 14.78 ab | 0.87 a |
| Days of Measurement | CCI | RD |
|---|---|---|
| 1D | 10.91 c | 0.84 b |
| TA | 9.80 c | 0.62 b |
| 2DATA | 10.86 c | 0.86 b |
| 9DATA | 15.75 b | 1.01 ab |
| 27DATA | 26.90 a | 1.37 a |
| Treatment | Dry Weight (g/plant) | |||
|---|---|---|---|---|
| Leaf | Shoot | Panicle | Cob | |
| C1 | 8.84 ± 2.56 a | 10.53 ± 2.38 a | 0.82 ± 0.23 a | 3.92 ± 1.07 a |
| C2 | 4.66 ± 0.78 b | 6.33 ± 0.71 b | 0.41 ± 0.10 b | 2.23 ± 0.92 b |
| K | 5.60 ± 1.19 b | 6.58 ± 2.06 b | 0.52 ± 0.16 b | 3.06 ± 0.88 ab |
| N | 7.50 ± 1.94 a | 8.63 ± 1.80 ab | 0.62 ± 0.15 ab | 2.76 ± 0.93 ab |
| D | 7.57 ± 2.10 a | 11.33 ± 3.53 a | 0.51 ± 0.13 b | 3.94 ± 0.58 a |
| Treatment | DW (g/plant) | DW (%) C1 | DW (%) C2 |
|---|---|---|---|
| C1 | 24.11 ± 4.22 a | - | - |
| C2 | 13.64 ± 1.11 d | 43.4 | - |
| K | 15.76 ± 3.16 cd | 34.7 | 15.5 |
| N | 19.51 ± 2.97 bc | 19.2 | 43.0 |
| D | 23.35 ± 5.28 ab | 3.2 | 71.2 |
Disclaimer/Publisher’s Note: The statements, opinions and data contained in all publications are solely those of the individual author(s) and contributor(s) and not of MDPI and/or the editor(s). MDPI and/or the editor(s) disclaim responsibility for any injury to people or property resulting from any ideas, methods, instructions or products referred to in the content. |
© 2023 by the authors. Licensee MDPI, Basel, Switzerland. This article is an open access article distributed under the terms and conditions of the Creative Commons Attribution (CC BY) license (https://creativecommons.org/licenses/by/4.0/).
Share and Cite
Ratajczak, K.; Sulewska, H.; Panasiewicz, K.; Faligowska, A.; Szymańska, G. Phytostimulator Application after Cold Stress for Better Maize (Zea mays L.) Plant Recovery. Agriculture 2023, 13, 569. https://doi.org/10.3390/agriculture13030569
Ratajczak K, Sulewska H, Panasiewicz K, Faligowska A, Szymańska G. Phytostimulator Application after Cold Stress for Better Maize (Zea mays L.) Plant Recovery. Agriculture. 2023; 13(3):569. https://doi.org/10.3390/agriculture13030569
Chicago/Turabian StyleRatajczak, Karolina, Hanna Sulewska, Katarzyna Panasiewicz, Agnieszka Faligowska, and Grażyna Szymańska. 2023. "Phytostimulator Application after Cold Stress for Better Maize (Zea mays L.) Plant Recovery" Agriculture 13, no. 3: 569. https://doi.org/10.3390/agriculture13030569
APA StyleRatajczak, K., Sulewska, H., Panasiewicz, K., Faligowska, A., & Szymańska, G. (2023). Phytostimulator Application after Cold Stress for Better Maize (Zea mays L.) Plant Recovery. Agriculture, 13(3), 569. https://doi.org/10.3390/agriculture13030569

