Next Article in Journal
Nitrogen Fertilization Boosts Maize Grain Yield, Forage Quality, and Estimated Meat Production in Maize–Forage Intercropping
Previous Article in Journal
Rumen Solubility of Copper, Manganese and Zinc and the Potential Link between the Source and Rumen Function: A Systematic Review
 
 
Font Type:
Arial Georgia Verdana
Font Size:
Aa Aa Aa
Line Spacing:
Column Width:
Background:
Article

The Effect of Sowing Date on the Growth and Yield of Soybeans Cultivated in North-Eastern Poland

by
Gabriel Fordoński
1,
Adam Okorski
1,
Jacek Olszewski
2,
Joanna Dąbrowska
1 and
Agnieszka Pszczółkowska
1,*
1
Department of Entomology, Phytopathology and Molecular Diagnostics, University of Warmia and Mazury in Olsztyn, Pl. Łódzki 5, 10-727 Olsztyn, Poland
2
Experiment and Education Station, University of Warmia and Mazury in Olsztyn, Pl. Łódzki 1, 10-727 Olsztyn, Poland
*
Author to whom correspondence should be addressed.
Agriculture 2023, 13(12), 2199; https://doi.org/10.3390/agriculture13122199
Submission received: 23 October 2023 / Revised: 21 November 2023 / Accepted: 24 November 2023 / Published: 25 November 2023
(This article belongs to the Section Crop Production)

Abstract

Soybean yields are influenced by numerous factors, including environmental conditions, location, and agricultural practices. Sowing date affects plant growth, development, and yields, and it plays a particularly important role in soybean cultivation. The optimal sowing date should be selected based on soil temperature, precipitation, and rainfall distribution in a given region. The aim of this study was to determine the effect of various sowing dates (I—early, II—optimal, III—late) on the time from sowing to emergence of soybean seedlings, length of the growing season, morphological traits of soybean plants, yield components, and seed yields of soybeans grown in north-eastern Poland. Sowing date considerably affected the time from sowing to the emergence of soybean seedlings and seed yields. In north-eastern Poland, soybeans should be sown in the first half of May to minimize the risk of ground frost damage, which can occur even in late May. Sowing date also influenced soybean yields. In north-eastern Poland (Region of Warmia and Mazury), yields were maximized when soybeans were sown late (in mid-May), which was decisively influenced by climatic conditions, mainly temperature. The linear regression analysis revealed that the length of the growing season was correlated with the seed yields of soybeans sown on different dates.

1. Introduction

Legumes grown in Poland cover only 11% of the demand for feed protein in livestock farming [1]. Soybean (Glycine max (L.) Merr.) is a species of the legume family and one of the most important crops in the world. In terms of cultivated area, soybean is the fourth largest crop in the world after wheat, maize, and rice [2]. Soybeans are processed into food and feed because they are a rich source of protein with a balanced essential amino acid profile and are abundant in oil and soluble sugars [3,4,5]. Soybean cultivars with high protein content are the most promising legumes in animal nutrition. The high demand for feed protein has led to an increase in the area under soybeans in the European Union (EU), including Poland [3]. However, soybean production in the EU does not meet the current demand for feed protein [6]. Soybeans have been cultivated in Poland for around 140 years, but a considerable increase in soybean acreage was noted only in the second decade of the 21st century. In Poland, the area under soybeans is relatively low due to limited progress in breeding new cultivars that are adapted to the local climate [7]. Soybean yields are influenced by numerous factors, including the genetic traits of soybean cultivars, environmental conditions, location, and agricultural practices [8,9,10].
Sowing date plays a particularly important role in soybean production because it affects the development of vegetative and generative organs, as well as biomass yields [11,12,13]. The selection of the optimal sowing date is the most important and the least expensive agronomic practice that affects soybean yields [14]. Regional differences in precipitation levels and rainfall distribution should be considered in the choice of sowing date [14,15]. Early sowing is limited mainly by low soil temperature [16]. Early sowing can increase yields by prolonging the growing season, but only in years with sufficient precipitation [14]. Low soil temperature and high soil moisture content during sowing can delay germination and seedling emergence, compromise the development of soybean stands, and decrease seed yields [17,18]. Temperature and photoperiod are considered the main factors that affect the development of soybean plants. Higher temperature increases the rate of plant growth [19]. Early sowing can lead to delayed and uneven seed germination due to low soil temperature, whereas delayed sowing increases the risk of damage caused by drought and ground frost in late spring [7,20,21,22]. According to Bastidas et al. [23], soybeans are sensitive to water deficit during germination. The thermal requirements of soybeans and their responses to daytime length are the main factors that limit soybean cultivation in northern latitudes. Poland is situated between the northern latitudes of 49° and 54°, and it does not have a favorable climate for soybean production [24]. However, breeding progress and the development of cultivars with a shorter growing season (approximately 120–130 days) have increased the area under soybeans in Poland. New soybean cultivars are better adapted to the Polish climate and tolerant to longer daytime lengths and lower temperatures. Polish soybean cultivars produce flowers and ripen earlier than, for example, Japanese cultivars [25].
The aim of this study was to determine the influence of sowing date on the time from sowing to emergence of soybean seedlings, length of the growing season, morphological traits of soybean plants, yield components, and seed yields of soybeans grown under climatic conditions in north-eastern Poland.

2. Materials and Methods

2.1. Field Experiment

A small-area field experiment was conducted in the Agricultural Experiment Station in Bałcyny in north-eastern Poland (53°35′49.7″ N, 19°51′17.3″ E) from 2016 to 2019. The station is operated by the University of Warmia and Mazury in Olsztyn. The experiment had a randomized block design with three replications and two experimental factors. The experimental factors were: A—soybean cultivar and B—sowing date. The following soybean cultivars were analyzed: Merlin (Saatbau Linz eGen, Austria), an early cultivar (a medium-early cultivar according to the Polish Research Center for Cultivar Testing, COBORU), which is characterized by early seedling vigor, frost tolerance, and can be grown in all Polish regions; Aldana (Hodowla Roślin Strzelce sp. z o.o. IHAR Group, Strzelce, Poland), an early cultivar that can be grown in all Polish regions; Lissabon (Saatbau Linz, Austria), a medium-early cultivar (a late cultivar according to COBORU) recommended for central and southern Poland. Soybeans were sown on three dates: I—early (24–25 April), II—optimal (4–6 May), and late (15–20 May) (Table 1). Each year, the experiment was established on Haplic Luvisol originating from boulder clay (IUSS Working Group WRB, 2006) [26]. In each year of the study, the chemical properties of soil were determined in soil samples collected from each plot (at a depth of 30 cm) before fertilization and soybean sowing. Soil pH ranged from 5.9 to 6.6, and soil nutrient levels were determined at 85.1–129 mg P kg −1, 132.8–190.8 mg K kg −1, and 47.0–109.0 mg Mg kg −1 (Table 2). Soil pH was measured with a digital pH meter in deionized water with 1 mol dm−3 KCl (5:1). Phosphorus content was determined colorimetrically in the presence of vanadium and molybdenum (Shimadzu UV-1201 V spectrophotometer, Shimadzu Corporation, Kyoto, Japan). Potassium was determined by atomic emission spectroscopy (AES) (BWB flame photometer, BWB Technologies, UK Ltd., Newbyry, England). Magnesium was extracted with 0.01 M CaCl2 and quantified by atomic absorption spectroscopy (AAS) (AAS1N, Carl Zeiss, Jena, Germany). Nitrogen fertilizer (34% ammonium nitrate) was applied before sowing at 10.2 kg N ha−1. Phosphorus (enriched superphosphate, 17.4% P) and potassium (potash salt, 49.8% K) fertilizers were applied before sowing at 34.88 kg P ha−1 and 99.6 kg K ha−1, respectively. Winter wheat was the preceding crop in each year of the study. The experimental plots had a harvested area of 15 m2 each. The experimental plots were harrowed and plowed with a tillage unit. Soybean seeds were sown on the indicated dates (Table 1).
Before sowing, seeds of soybean cv. Aldana were inoculated with Nitragina (IUNG-PIB Puławy, Poland) and seeds of soybean cvs. Lissabon and Merlin were inoculated using Fix Fertig technology. The seeding rate was 90 live seeds m−2, and seeds were sown at a depth of 3–4 cm, with 12.5 cm spacing between rows. The following crop protection agents were applied: herbicides, Stomp® Aqua 455 CS (pendimethalin, 455 g L−1) at 1.5 L ha−1 after sowing (BBCH 00–01), Corum 502,4 SL (bentazon, 480 g L−1; imazamox, 22.4 g L−1) at 1.25 L ha−1 + Dasch HC at 1 L ha−1 at the first side shoot visible stage (BBCH 20–21); insecticide, Proteus 110 OD (thiacloprid, 100 g L−1; deltamethrin, 10 g L−1) at 0.7 L ha−1 in the pod development stage (BBCH 72–73). In 2016 and 2017, Gwarant 500 S.C fungicide (chlorathonil (tetrachloroisophthalonitrile)) was applied at 2 L ha−1 at the beginning of flowering (BBCH 61–63).
Soybean plants were harvested at full maturity with a plot harvester. The following parameters were determined: plant height [cm], height of the first pod [cm], number of pods per plant, number of seeds per pod, thousand seed weight [g], and seed yield per hectare [t∙ha−1]. Seed yields from each plot were adjusted to 15% moisture content and expressed in tons per hectare. In the fully ripe stage, 25 representative plants were harvested from each plot for the measurements of morphological traits and yield components. Thousand seed weight was determined after harvest at 15% moisture content. The protein content of seeds was calculated by multiplying nitrogen content (nitrogen %) by a conversion factor of 6.25 (ISO 5983-1:2005) [27] and then converted to protein yield per hectare (kg ha−1).

2.2. Statistical Analysis

Seed yields were analyzed statistically using Tukey’s HSD test. The significance of differences between mean values was determined at α = 0.05. All analyses were conducted with the use of Statistica v. 13.3 software (Tibco Software Inc., Palo Alto, CA, USA) [28]. The Spearman’s rank correlation and linear regression method were used to determine the relations between soybean yields, time from sowing to emergence, length of the growing season, and weather conditions. Values at p ≤ 0.01 and p ≤ 0.05 levels were also significant.

3. Weather Conditions

Weather conditions varied across the experimental years (Figure 1a,b). In 2018, the mean daily temperature during the growing season (May to August) was 16.6–20.5 °C, around 2.3 °C higher than the long-term average. Higher temperatures were noted in June and August of 2018 and 2019, whereas mean daily temperatures in May and July were below the long-term average. Considerable differences in the distribution of mean daily temperatures were observed in 2016 (Figure 1a,b). Precipitation levels in the Region of Warmia and Mazury were high in 2017, particularly in June (109.9 mm), July (106.1 mm), and September (211.1 mm), which delayed and hindered seed harvest (the growing season was prolonged to around 147–156 days). Rainfall distribution was optimal in June, July, and August of 2016 and 2018 and in May and July of 2019, which promoted plant growth and increased yields (Figure 1a,b). In each year of the study, daily minimum temperatures affected the time from sowing to the emergence of soybean seedlings and the beginning of the growing season. In 2016, 2017, and 2019, low daily minimum temperatures and frost episodes in late April and in the first half of May affected the emergence of soybeans sown in late April and early May. In 2018, daily minimum temperatures in late April and early May were higher, which accelerated seedling emergence. Total precipitation in June, July, and August of 2018 also promoted soybean growth.

4. Results

4.1. Effect of Sowing Date on Soybean Emergence Length and Growing Season

The study demonstrated that sowing dates in each year affected the growth, development, and yield of the examined soybean cultivars, as well as the length of the growing season. The time from sowing to emergence of soybean seedlings differed across years and cultivars (Table 1). The most favorable conditions for seedling emergence and the shortest time between sowing and emergence were observed in 2018. In turn, 2017 was characterized by the least favorable conditions and delayed seedling emergence (Table 1). The time from sowing to emergence was determined at 12 to 28 days (19 days on average) in early sown plants (I), 9 to 21 days (14 days on average) in plants sown on the optimal date (II), and from 9 to 14 days (12 days on average) in late-sown plants (III). In north-eastern Poland, frost episodes occur frequently in late April and in the first half of May. The average number of days with frost episodes was determined at 3.25 for sowing date I, 1.16 for sowing date II, and 0 for sowing date III. The number of days with frost episodes significantly affected the time from sowing to emergence of soybean seedlings (R = 0.74) and, to a lesser extent, the length of the growing season (R = 0.34) (Table 3). The mathematical analysis revealed that the time from sowing to emergence of soybean seedlings was more strongly influenced by the number of days with unfavorable temperature (R = 0.76). The number of days with minimum temperature below 6 °C ranged from 5 to 17 (12 days on average) for sowing date I, from 4 to 7 (6 days on average) for sowing date II, and from 0 to 3 (0.75 days on average) for sowing date III. The time from sowing to emergence of soybean seedlings was also determined by daily minimum temperature (R = −0.44) and, to a smaller degree, by mean daily temperature (R = −0.28) (Table 4), which indicates that low temperatures were largely responsible for the delayed emergence of soybean seedlings. In the mathematical analysis, the time from sowing to emergence of soybean seedlings was positively correlated with the length of the growing season (R = 0.40) (Table 3), which suggests that delayed emergence compromised plant health and delayed seed ripening. The length of the growing season varied across years and cultivars. The greatest differences were observed in 2016 and 2017. The time from sowing to harvest ranged from 118 to 163 days in 2016, and from 136 to 156 days in 2017. The growing season lasted 130–140 days in 2018, and it was shortest in 2019 at 115–133 days. The time from sowing to harvest was shortened by 13 days on average when the sowing date was delayed by 20 days relative to the early sowing date. Soybean cv. Aldana was characterized by the shortest time between sowing and harvest, in particular in 2016 and 2019. In turn, cv. Lissabon was characterized by the longest growing season in 2016 and 2017 (Table 1). Plant development and soybean yields are influenced by temperature and daytime length, which are directly associated with the sowing date. The number of days with low temperature (R = 0.52), minimum temperature during seedling emergence (R = −0.62), and mean daily temperature during seedling emergence (R = −0.79) strongly influenced the length of the growing season. In Spearman’s rank correlation analysis, the time from sowing to emergence of soybean seedlings was negatively correlated with soybean yields (R = −0.55) (Table 3), which confirmed that delayed emergence decreased seed yields. The number of days with frost episodes was also correlated with soybean yields (R = −0.33) (Table 3), which indicates that the occurrence of spring frost episodes in a given region should be considered when selecting the sowing date.

4.2. Effect of Sowing Date on Morphological Traits of Soybeans

Sowing date had a varied influence on plant height and yield components (Table 4, Table 5, Table 6, Table 7 and Table 8). In 2016, 2017, and 2018, the tallest plants emerged from late-sown seeds. In contrast, seeds sown early and on the optimal date produced the tallest plants in 2019. Regardless of the sowing date, soybean cv. Merlin was characterized by the tallest plants in all years of the experiment (Table 4). The height of the first pod was also greatest in cv. Merlin in 2017, 2018, and 2019, and the differences between the analyzed cultivars were not significant in 2016 (Table 5). The number of pods per plant was highest in late-sown plants in 2018 and 2019, in early sown plants in 2016, and in plants sown on the optimal date in 2017. Cultivars Merlin and Lissabon produced more pods per plant than cv. Aldana (Table 6). In 2018 and 2019, the number of seeds per pod was highest in early sown plants (24–25 April), whereas no significant differences in this parameter were observed in 2016 and 2017 between plants sown on different dates. The analyzed soybean cultivars did not differ significantly in the number of seeds per pod (Table 7). Sowing date did not exert a clear influence on thousand seed weight. Thousand seed weight was highest in cv. Lissabon (Table 8).

4.3. Effect of Sowing Date on Yield and Protein Content of Soybean Seeds

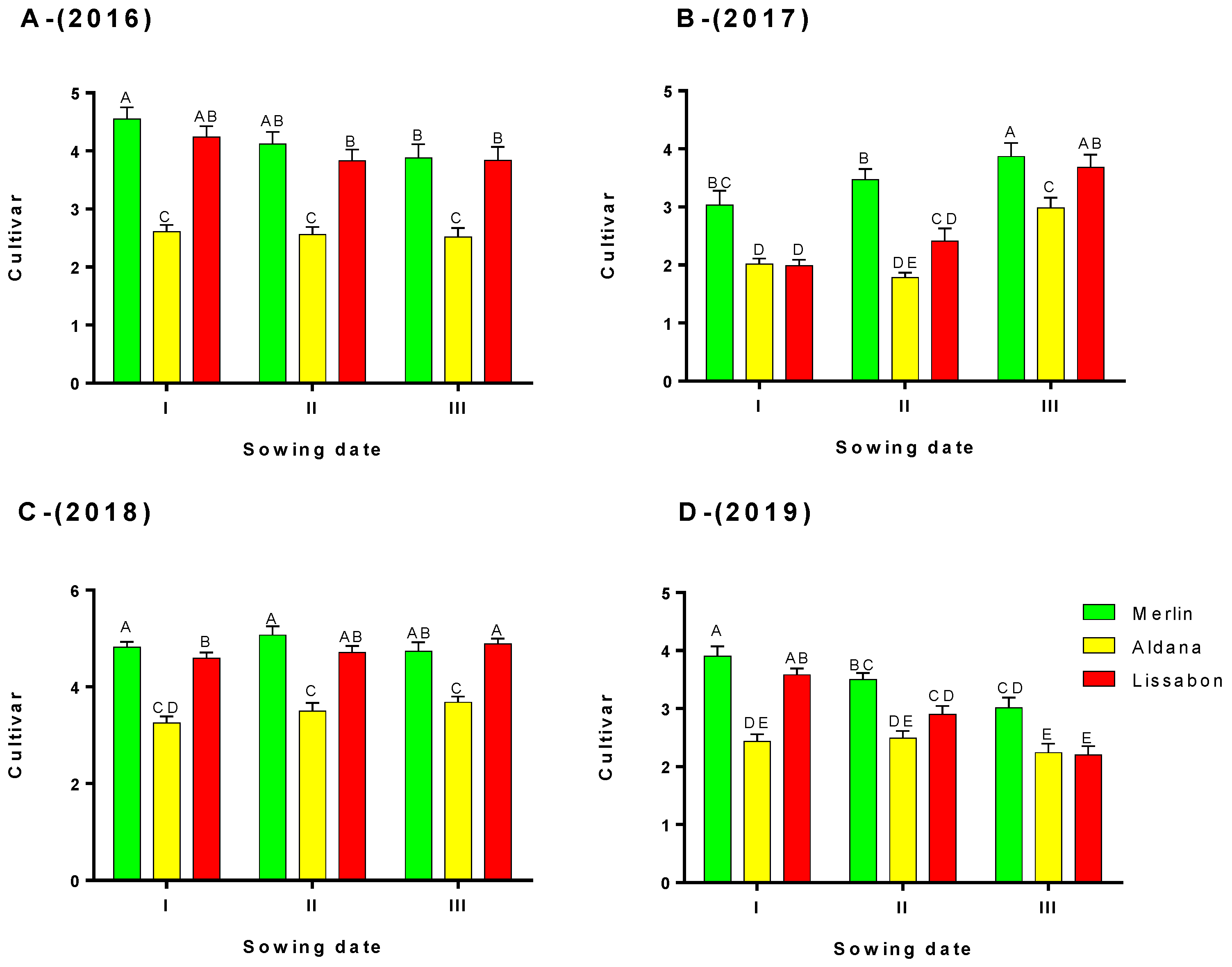
Sowing date and weather conditions exerted varied effects on seed yields. Seed yields were highest in early sown plants (24–25 April) in 2016 and 2019, in late-sown plants in 2017, and in plants sown on optimal and late dates in 2018. The mean values for the four-year experiment indicate that sowing date influenced seed yields and that in north-eastern Poland (Region of Warmia and Mazury), soybeans should be sown late (in mid-May) to maximize seed yields (Figure 2 and Figure 3). In addition, the linear regression analysis revealed a correlation between the length of the growing season and seed yields in late-sown plants (R = 0.47) (Figure 4a–c).
Seed yields were highest in cv. Merlin (4.00 t ha−1 on average) and lowest in cv. Aldana (2.67 t ha−1) (Figure 3 and Figure 4). Seed protein content was highest in late-sown plants. The highest protein content was determined in the seeds of cvs. Lissabon and Merlin (Figure 5A–D).

5. Discussion

Soybeans are among the leading agricultural crops that are produced on around 6% of the world’s arable land. Soybeans are processed into various products, including high-protein meals, livestock feed, and edible oil [29]. In Poland, the area under soybeans increased from 7642 to 9210 ha, and soybean production increased from 14,747 to 20,970 tons between 2016 and 2021, and it continues to grow [2]. This increase resulted from a number of factors, including the development of high-yielding cultivars that are better adapted to the Polish climate. Sowing date is an important determinant of soybean yields [11,12,30,31,32]. According to Kumar et al. [33], climate is the key factor that affects sowing date choices. In Poland, soybeans should be sown when the mean daily soil temperature exceeds 8 °C, i.e., at the turn of April and May [6,7]. Early sowing can lead to delayed and uneven seed germination due to low soil temperature, whereas delayed sowing increases the risk of damage caused by spring drought [22]. In the present study, sowing date influenced the growth, development, and yields of the analyzed soybean cultivars, as well as the length of the growing season. The time from sowing to emergence of soybean seedlings varied across years and cultivars. The most favorable weather conditions for the emergence of soybean seedlings were noted in 2018, which was characterized by the shortest time between sowing and emergence. In north-eastern Poland, frost episodes frequently occur in late April and in the first half of May when soybeans are sown and when seedlings emerge. During the study, the average number of days with frost episodes was determined to be 3.25 for sowing date I, 1.16 for sowing date II, and 0 for sowing date III, which affected the time from sowing to emergence of soybean seedlings. According to Dragańska et al. [34], late frost episodes at a height of 2 m above ground were noted in north-eastern Poland in the first days of May in the eastern part of the region and in mid-April in the remaining parts of the region between 1981 and 2010. Ground frost at a height of 5 cm above the soil occurred in late May in the east and in mid-May in other parts of the region. The cited authors also reported ground frost episodes in the last ten days of June in the studied period. The average number of days with spring frost episodes ranged from 9 to 16. In the current study, the time from sowing to the emergence of soybean seedlings was influenced by the number of days with unfavorable temperatures (R = 0.76). Other contributing factors were daily minimum temperature (R = −0.44) and, to a lesser extent, daily mean temperature (R = −0.28). Low temperatures considerably delayed seedling emergence, compromised plant health, and delayed seed ripening. Similar observations were made by Uslu and Esendal [22]. According to Kumagai [15], early sown soybeans are at greater risk of exposure to extremely low temperatures and late spring frost that can inhibit germination, seedling emergence, and early stand development. The optimal sowing date is determined by the local climate [35,36]. In the work of Serafin-Andrzejewska et al. [7], the growing season was shortened by 14 days when soybeans were sown 20 days past the earliest date, which corresponds with the present findings. Bateman et al. [37] also found that late-sown plants were unable to harness their growth potential fully. Delayed sowing shortens the growing season and could potentially affect plant height, stand density, and seed yields [23,37,38]. In the current study, the prolonged time from sowing to emergence of soybean seedlings was negatively correlated with seed yields (R = −0.55), which indicates that delayed seedling emergence decreases seed yields. The number of days with frost episodes was correlated with seed yields (R = −0.33), which suggests that frost risk should be considered when selecting sowing dates in a given region. According to Mandić et al. [39] and Shah et al. [40], the optimal sowing date and climate-adapted genotypes promote the uptake of soil nutrients and water, thus maximizing seed yields.
In this study, sowing dates exerted varied effects on plant height and yield components across years. In general, late-sown seeds produced the tallest plants. In turn, the mean values of yield components for four years of the experiment were not significantly affected by sowing dates. Soybean cvs. Marlin and Lissabon produced more pods per plant than cv. Aldana and thousand seed weight was highest in cv. Lissabon. In the work of Bateman et al. [37], plant height increased by 0.3 cm per day when soybeans were sown between 25 March and 2 June, but it decreased by 2.7 cm per day when soybeans were sown late between 2 June and 16 July. Jarecki and Bobrecka-Jamro [20] found that early sowing increased the number of pods per plant and thousand seed weight relative to the optimal sowing date. Księżak and Bojarszczuk [41] also reported that yield components in the studied soybean cultivars were influenced by weather conditions during the growing season and sowing date. Between 2017 and 2019, soybeans sown on the optimal date were characterized by the highest seed weight per plant, whereas delayed sowing induced only minor differences in the number of seeds per pod [41]. In the work of Pedersen and Lauer [9] and Kumar et al. [42], the number of pods per plant and the number of seeds per pod were higher in early sown than in late-sown soybeans. In turn, Borowska and Prusiński [43] reported that the number of pods per plant was the only yield component that was significantly affected by sowing date. In other studies, the number of pods per plant, the number of seeds per pod and seed weight per plant were lower in late-sown soybeans than in early sown soybeans [44,45]. Shah et al. [40] also found that late-sown soybean plants were shorter and produced fewer pods.
Sowing date and weather conditions exerted varied effects on seed yields. The average values in the four-year study indicate that sowing date influenced seed yields, and total seed yields in north-eastern Poland (Region of Warmia and Mazury) were highest when soybeans were sown late (in mid-May). The linear regression analysis revealed a correlation between the length of the growing season and seed yields in late-sown plants (R = 0.47). In a long-term study conducted by Borowska and Prusiński [43], seed yields peaked when soybeans were sown at the turn of April and May, which corroborates the findings of other authors [23,46]. Umburanas et al. [47] also concluded that optimal sowing dates and seeding rates promote plant growth and increase seed yields. In the cited study, delayed sowing compromised yields by decreasing above-ground biomass per unit area, leaf area index, plant height at harvest, height of the lowest pod, number of pods per unit area, number of seeds per unit area, and seed weight. A higher seeding rate increased seed yields, in particular in late-sown plants, by increasing above-ground biomass per unit area, leaf area index, plant height at harvest, height of the lowest pod, number of pods per unit area, and number of seeds per unit area. In a study by Kumagai and Takahashi [44], the number of seeds per pod was one of the key determinants of soybean yields. Delayed sowing reduced the number of seeds per pod, mainly due to low temperatures 20 days after the beginning of seed filling. In turn, Mandić et al. [39] observed a significant reduction in seed yields in all soybean plants that were not sown on the optimal date. Soybeans sown in late April were characterized by a smaller number of pods per plant, lower seed weight per plant, and lower thousand seed weight, which decreased seed yields. These observations were attributed to accelerated plant senescence and the adverse influence of high temperature and low precipitation during seed filling. The cited study was conducted in Serbia, where soybeans are sown at the beginning of April and harvested in September. Therefore, flowering, pod and seed development, and ripening stages take place in July and August when temperatures are high and precipitation is low [45]. These stressors can decrease soybean yields by up to 74% relative to unstressed plants [48]. In the present study, seed yields were highest in cv. Merlin (4.00 t ha−1 on average) and lowest in cv. Aldana (2.67 t ha−1 on average). Similar results were reported by Borowska and Prusiński [43], where Merlin was also the highest-yielding cultivar (3.17 t ha−1), and Aldana was the lowest-yielding (1.91 t ha−1) cultivar. In the current study, seed protein content was highest in late-sown plants. Seeds of soybean cvs. Lissabon and Merlin were characterized by the highest protein yield. In a four-year study conducted by Borowska and Prusiński [43], average seed yields were highest in cv. Merlin. In south-eastern Poland, the average seed yield of soybean plants was determined at 4.18 t ha−1 by Jarecki and Bobrecka-Jamro [20]. In the cited study, sowing date had no significant influence on seed yields. In 2017, seed yields were significantly higher in late-sown than in early sown plants. Soybeans cv. Aldana were characterized by the lowest seed yields in all years of the study. In the present study, Aldana was also the lowest-yielding cultivar in north-eastern Poland. Seed yields were lowest in 2017 and highest in 2018, which is consistent with the findings of Jarecki and Bobrecka-Jamro [20] and Księżak and Bojarszczuk [41]. In the cited studies, seed protein content was significantly higher in late-sown than in early sown plants. In turn, protein and oil yields were not modified by sowing date. In the group of soybean cultivars analyzed by Jarecki et al. [6], cv. Aldana was characterized by low protein and oil yields. Numerous researchers reported higher protein concentrations in late-sown soybeans [14,23,30,46]. Mandić et al. [39] also found that sowing date significantly influenced the protein and oil content of soybeans, especially under water stress in the reproductive stage. Delayed sowing induces a significant decrease in protein content and an increase in the oil content of soybean seeds [49] because high temperature increases the protein content but has a marginal influence or no effect on oil content [50]. In a study conducted by Serafin-Andrzejewska et al. [7] in south-western Poland (Region of Lower Silesia), seed yields were lowest in late-sown soybeans. Therefore, in Lower Silesia, soybeans should be sown in the second or third week of April or at the beginning of May. Soybean cv. Lissabon was characterized by high seed yields [7]. Delayed sowing also negatively affected seed yields in the work of Bateman et al. [37] who found that seed yields decreased by more than 26 kg ha−1 when soybeans were sown past 20 April in the southern USA. Robinson et al. [14] reported higher seed yields in soybeans sown in April and early May and lower seed yields in soybeans sown in late March and early June. In a study by Kumagai and Takahashi [44], seed yields were reduced when soybeans were sown around three weeks past the optimal date. In north-eastern China, soybean yields were affected by variations in climatic factors associated with latitude, and in high-altitude regions, yields were positively correlated with temperature but negatively correlated with accumulated sunshine hours. Climate was responsible for −24% to 38% of the variation in seed yields, and temperature was the most significant climatic factor [51]. A study conducted by Kumagai and Takahashi [44] in the cool region of northern Japan demonstrated that delayed sowing and, consequently, lower temperature during the reproductive stage decreased seed yields and the values of yield components. Mean daily temperature was negatively and significantly correlated with the fraction of available soil water (FASW), which suggests that excess soil water caused by high precipitation was associated with cold weather. In turn, Borowska and Prusiński [43] found that total precipitation in June and July was significantly correlated with seed yields in early sown soybeans, whereas total precipitation in August was also significantly correlated with seed yields in soybeans sown on later dates. Seed yields were significantly highest when soybeans were sown at the turn of April and May, whereas seed and protein yields and seed protein content were highest in the medium-early cv. Merlin. Seed yields were also significantly correlated with total precipitation in other studies [45,52,53]. According to Kumagai [15], water supply plays a particularly important role in soybean production, and soybean yields in northern Japan were influenced by precipitation levels and distribution across years and experimental sites. Thomasz et al. [54] analyzed the relationship between soil water content and soybean yields in 28 agricultural districts in Argentina. The data provided by local weather stations were used in correlation and regression analyses and to forecast soybean yields. Correlation and regression analyses revealed that, in most cases, soil water content explained at least 50% of the variation in soybean yields.

6. Conclusions

The study demonstrated that sowing date influenced seedling emergence, yield components, and soybean yields in north-eastern Poland. The most favorable weather conditions for the emergence of soybean seedlings were observed in 2018, characterized by the shortest time between sowing and emergence. Spring frosts are common in the studied region, and sowing dates should be optimized to minimize the risk of plant damage. Frost events were noted during the emergence of soybean plants sown on early and optimal dates (I and II), which significantly affected the time from sowing to emergence. On average, seed yields were highest in late-sown plants (14–20 May), although differences in this parameter were observed across years. In north-eastern Poland, soybeans should not be sown early due to a high number of days with a low temperature (below 6 °C) and frequent frost episodes in April and May, which can delay seedling emergence, prolong the time between sowing and harvest, and decrease yields. In the analyzed group of soybean cultivars, seed yields were highest in the medium-early cv. Merlin and lowest in the early cv. Aldana. Despite the above, Aldana was the earliest-ripening soybean cultivar. It should be stressed that northern and north-eastern Polish regions are characterized by the shortest growing season, lower temperature, and a lower risk of prolonged drought.

Author Contributions

Conceptualization, G.F. and A.P.; methodology, G.F., A.O., J.O. and A.P.; software, A.O. and A.P.; validation, G.F., A.O. and A.P.; formal analysis, G.F. and A.P.; investigation, G.F., A.O., J.O. and A.P.; data curation, G.F., A.O., J.O. and A.P.; writing—original draft preparation, G.F., A.O., J.O., J.D. and A.P.; writing—review and editing, G.F., A.P., A.O. and J.D.; visualization, A.O. and A.P.; supervision, A.P.; project administration, G.F. and A.P. All authors have read and agreed to the published version of the manuscript.

Funding

The results presented in this paper were obtained as part of the Grant of the Polish Ministry of Agriculture and Rural Development, Project No. HOR 3.6/2016–2020 and comprehensive study financed by the University of Warmia and Mazury in Olsztyn Grant No. 30.610.009-110 and project financially supported by the Minister of Education and Science under the program entitled “Regional Initiative of Excellence” for the years 2019–2023, Project No. 010/RID/2018/19, amount of funding PLN 12,000,000.

Institutional Review Board Statement

Not applicable.

Data Availability Statement

Data are contained within the article.

Acknowledgments

The publication was written as a part of the result of the author’s (JO) internship at Slovak University of Agriculture in Nitra, co-financed by the European Union under the European Social Fund (Operational Program Knowledge Education Development), carried out in the project Development Program at the University of Warmia and Mazury in Olsztyn (POWR.03.05. 00-00-Z310/17). We would also like to thank the staff of the Agricultural Experiment Station in Bałcyny for technical support during the performance of the experiment.

Conflicts of Interest

The authors declare no conflict of interest.

References

  1. Dzwonkowski, W.; Rola, K.; Hanczakowska, E.; Niwińska, B.; Swiatkiewicz, S. Economic Aspects of Replacing GM Soybeans by Protein Feed Crops Grown in Poland; Institute of Agricultural and Food Economics-National Research Institute: Warsaw, Poland, 2016; ISBN 978-83-7658-656-4. [Google Scholar]
  2. FAOSTAT 2023. Available online: https://www.fao.org/faostat/en/#data/QCL/visualize (accessed on 18 May 2023).
  3. Niwińska, B.; Witaszek, K.; Niedbała, G.; Pilarski, K. Seeds of n-GM Soybean Varieties Cultivated in Poland and Their Processing Products as High-Protein Feeds in Cattle Nutrition. Agriculture 2020, 10, 174. [Google Scholar] [CrossRef]
  4. Stein, H.H.; Berger, L.L.; Drackley, J.K.; Fahey, G.C., Jr.; Hernot, D.C.; Parsons, C.M. Nutritional properties and feeding values of soybeans and their co-products. In Soybeans, Chemistry, Production, Processing, and Utilization; Johnson, L.A., White, P.J., Galloway, R., Eds.; AOCS Press: Urbana, IL, USA, 2008; pp. 613–660. [Google Scholar]
  5. Sudarić, A.; Kočar, M.M.; Duvnjak, T.; Zdunić, Z.; Kulundžić, A.M. Improving seed quality of soybean suitable for growing in Europe. In Soybean for Human Consumption and Animal Feed; IntechOpen: Rijeka, Croatia, 2019; Available online: https://www.intechopen.com/online-first/improving-seed-quality-of-soybean-suitable-for-growing-in-europe (accessed on 5 April 2023).
  6. Jarecki, W.; Bobrecka-Jamro, D. Effect of sowing date on the yield and seed quality of Soybean [Glycine max (L.) Merr.]. J. Elem. 2021, 26, 7–18. [Google Scholar] [CrossRef]
  7. Serafin-Andrzejewska, M.; Helios, W.; Jama-Rodzeńska, A.; Kozak, M.; Kotecki, A.; Kuchar, L. Effect of Sowing Date on Soybean Development in South-Western Poland. Agriculture 2021, 11, 413. [Google Scholar] [CrossRef]
  8. Nleya Th Schutte, M.; Clay, D.; Reicks, G.; Mueller, N. Planting date, cultivar, seed treatment, and seeding rate effects on soybean growth and yield. Agrosyst. Geosci. Environ. 2020, 3, e20045. [Google Scholar] [CrossRef]
  9. Pedersen, P.; Lauer, J.G. Response of soybean yield components to management system and planting date. J. Agron. 2004, 96, 1372–1381. [Google Scholar] [CrossRef]
  10. Vossenkemper, J.P.; Nafziger, E.D.; Wessel, J.R.; Maughan, M.W.; Rupert, M.E.; Schmidt, J.P. Early planting, fullseason cultivars, and seed treatments maximize soybean yield potential. Crop Forage Turfgrass Manag. 2016, 1, 1–9. [Google Scholar] [CrossRef]
  11. Nico, M.; Miralles, D.J.; Kantolic, A.G. Natural post-flowering photoperiod and photoperiod sensitivity: Roles in yield-determining processes in soybean. Field Crops Res. 2019, 231, 141–152. [Google Scholar] [CrossRef]
  12. Divito, G.A.; Echeverría, H.; Andrade, F.H.; Sadras, V.O. Soybean shows an attenuated nitrogen dilution curve irrespective of maturity group and sowing date. Field Crops Res. 2016, 186, 1–9. [Google Scholar] [CrossRef]
  13. Kandil, A.A.; Sharief, A.E.; Morsy, A.R.; El-Sayed, A.I.M. Influence of planting date on some genotypes of soybean growth yield and seed quality. J. Biol. Sci. 2013, 13, 146–151. [Google Scholar] [CrossRef][Green Version]
  14. Robinson, A.P.; Conley, S.P.; Volenec, J.J.; Santini, J.B. Analysis of high yielding, early-planted soybean in Indiana. Agron. J. 2009, 101, 131–139. [Google Scholar] [CrossRef]
  15. Kumagai, E. Effect of early sowing on growth and yield of determinate and indeterminate soybean(Glycine max (L.) Merr.) cultivars in a cool region of northern Japan. J. Agric. Meteorol. 2018, 74, 18–28. [Google Scholar] [CrossRef]
  16. Hu, M.X.; Wiatrak, P. Effect of planting date on soybean growth, yield, and grain quality: Review. Agron. J. 2012, 104, 785–790. [Google Scholar] [CrossRef]
  17. Andales, A.A.; Batchelor, W.D.; Anderson, C.E. Modification of a soybean model to improve soil temperature and emergence date prediction. Trans. ASAE 2000, 43, 121–129. [Google Scholar] [CrossRef]
  18. Kane, M.V.; Steele, C.C.; Grabau, L.J. Early-maturing soybean cropping system. 2. Growth and development responses to environmental conditions. Agron. J. 1997, 89, 459–464. [Google Scholar] [CrossRef]
  19. Setiyono, T.D.; Weiss, A.; Specht, J.; Bastidas, A.M.; Cassman, K.G.; Dobermann, A. Understanding and modeling the effect of temperature and daylength on soybean phenology under high-yield conditions. Field Crops Res. 2007, 100, 257–271. [Google Scholar] [CrossRef]
  20. Jarecki, W.; Bobrecka-Jamro, D.; Jańczak-Pieniążek, M.; Buczek, J. Yield of soybean (Glycine max (L.) Merr.) in the habitat conditions of Podkarpackie Voivodeship. Acta Sci. Pol. Agric. 2020, 19, 97–105. [Google Scholar]
  21. Zarski, J.; Kuśmierek-Tomaszewska, R.; Dudek, S.; Krokowski, M.; Kledzik, R. Identifying climatic risk to soybean cultivation in the transitional type of moderate climate in Central Poland. J. Cent. Eur. Agric. 2019, 20, 143–156. [Google Scholar] [CrossRef]
  22. Uslu, N.; Esendal, E. Response of inoculation and sowing date of soybean under Bafra plain conditions in the Northern region of Turkey. Turk. J. Agric. For. 1998, 22, 525–531. [Google Scholar]
  23. Bastidas, A.M.; Setiyono, T.; Dobermann, A.; Cassman, K.G.; Elmore, R.W.; Graef, G.L.; Specht, J.E. Soybean Sowing Date: The Vegetative, Reproductive, and Agronomic Impacts. Crop Sci. 2008, 48, 727–740. [Google Scholar] [CrossRef]
  24. Cober, E.R.; Morrison, M.J. Regulation of seed yield and agronomic characters by photoperiod sensitivity and growth habit genes in soybean. Theor. Appl. Genet. 2010, 120, 1005–1012. [Google Scholar] [CrossRef]
  25. Yamaguchi, N.; Kurosaki, H.; Kawasaki, M.; Sene, M.; Miyoshi, T. Early-Maturing and Chilling-Tolerant Soybean Lines Derived from Crosses between Japanese and Polish Cultivars. Plant Prod. Sci. 2015, 18, 234–239. [Google Scholar] [CrossRef]
  26. IUSS Working Group WRB. World reference base for soil resources. In World Soil Resources Reports, 2nd ed.; FAO: Rome, Italy, 2006; Volume 103, p. 132. [Google Scholar]
  27. ISO 5983-1:2005; Animal Feeding Stuffs. Determination of Nitrogen Content and Calculation of Crude Protein Content; Part 1. Kjeldahl Method. ISO: Geneva, Switzerland, 2005.
  28. Statistics Poland. Crop Production in 2015. Statistical Data and Reports. Warsaw, Poland. 2016. Available online: https://stat.gov.pl/obszary-tematyczne/rolnictwo-lesnictwo/uprawy-rolne-i-ogrodnicze/wyniki-produkcji-roslinnej-w-2015-roku,6,12.html (accessed on 10 June 2019). (In Polish)
  29. Hartman, G.L.; West, E.D.; Herman, T.K. Crops that feed the world 2011. Soybean–worldwide production, use, and constraints caused by pathogens and pests. Food Secur. 2011, 3, 5–17. [Google Scholar] [CrossRef]
  30. Morsy, A.R.; Mohamed, E.N.M.; Abou-Sin, T.M. Seed yield and seed quality of some soybean genotypes as influenced by planting date. J. Plant Prod. Mansoura Univ. 2016, 7, 1165–1171. [Google Scholar] [CrossRef]
  31. Gawęda, D.; Cierpiała, R.; Bujak, K.; Wesołowski, K. Soybean yield under different tillage systems. Acta Sci. Pol. Hort. Cultus 2014, 13, 43–54. [Google Scholar]
  32. Sadeghi, M.; Niyaki, A.N. Effect of planting date cultivar on the yield and yield componets of soybean in North Iran. J. Agric. Biol. Sci. 2013, 8, 81–85. [Google Scholar]
  33. Kumar, R.; Singh, K.K.; Gupta, B.R.D.; Baxla, A.K.; Rathore, L.S.; Attri, S.D. Optimum sowing dates for soybean in central India using CROPGRO and ClimProb symbiosis. Meteorol. Appl. 2006, 9, 247–254. [Google Scholar] [CrossRef]
  34. Dragańska, E.; Szwejkowski, Z.; Cymes, I. Warunki Klimatyczne Polski Północno-Wschodniej w Latach 1981–2010; Uniwersytet Warmińsko-Mazurski w Olsztynie: Olsztyn, Poland, 2019; p. 162. ISBN 978-83-8100-208-0. (In Polish) [Google Scholar]
  35. Mourtzinis, S.; Specht, J.E.; Conley, S.P. Defining optimal soybean sowing dates across the US. Sci. Rep. 2019, 9, 2800. [Google Scholar] [CrossRef]
  36. Vidić, M.; Hrustić, M.; Miladinović, J.; Ðukić, V.; Ðordević, V.; Popović, V. Latest NS varieties of soybean. Field Veg. Crops Res. 2010, 47, 347–355. [Google Scholar] [CrossRef]
  37. Bateman, N.R.; Catchot, A.L.; Gore, J.; Cook, D.R.; Musser, F.R.; Irby, J.T. Effects of planting date for soybean growth, development, and yield in the southern USA. Agronomy 2020, 10, 596. [Google Scholar] [CrossRef]
  38. Zhang, L.; Zhang, J.; Watson, C.E.; Kyei–Boahen, S. Developing phenological prediction tables for soybean. Crop Manag. 2004, 3, 3. [Google Scholar] [CrossRef]
  39. Mandić, V.; Ðordević, S.; Ðordević, N.; Bijelić, Z.; Krnjaja, V.; Petričević, M.; Brankov, M. Genotype and Sowing Time Effects on Soybean Yield and Quality. Agriculture 2020, 10, 502. [Google Scholar] [CrossRef]
  40. Shah, T.; Zafar, N.; Kalsoom, K.; Ahmad, A.; Jalal, A. Yield and quality traits of soybean cultivars response to different planting windows. Int. J. Stat. Actuar. Sci. 2017, 1, 55–59. [Google Scholar]
  41. Księżak, J.; Bojarszczuk, J. The Seed Yield of Soybean Cultivars and Their Quantity Depending on Sowing Term. Agronomy 2022, 12, 1066. [Google Scholar] [CrossRef]
  42. Kumar, B.S.; Naidu, C.R.; Reddy, M.S.; Kavitha, P. Impact of sowing dates and plant densities on productivity and nutrient uptake of soybean (Glycine max (L.) Merrill). J. Pharmacogn. Phytochem. 2018, 7, 2670–2674. [Google Scholar]
  43. Borowska, M.; Prusiński, J. Effect of soybean cultivars sowing dates on seed yield and its correlation with yield parameters. Plant Soil Environ. 2021, 67, 360–366. [Google Scholar] [CrossRef]
  44. Kumagai, E.; Takahashi, T. Soybean (Glycine max (L.) Merr.) Yield reduction due to late sowing as a function of radiation interception and use in a cool region of Northern Japan. Agronomy 2020, 10, 66. [Google Scholar] [CrossRef]
  45. Mandić, V.; Bijelić, Z.; Krnjaja, V.; Simić, A.; Ružić-Muslić, D.; Dragičević, V.; Petričević, V. The rainfall use efficiency and soybean grain yield under rainfed conditions in Vojvodina. Biotechnol. Anim. Husb. 2017, 33, 475–486. [Google Scholar] [CrossRef]
  46. Egli, D.B. Bruening. Potential of early-maturing soybean cultivars in late plantings. Agron. J. 2000, 92, 532–537. [Google Scholar] [CrossRef]
  47. Umburanas, R.C.; Yokoyama, A.H.; Balena, L.; Dourado-Neto, D.; Teixeira, W.F.; Zito, R.K.; Reichardt, K.; Kawakami, J. Soybean Yield in Diferent Sowing Dates and Seeding Rates in a Subtropical Environment. Int. J. Plant Prod. 2019, 13, 117–128. [Google Scholar] [CrossRef]
  48. Jumrani, K.; Bhatia, V.S. Impact of combined stress of high temperature and water deficit on growth and seed yield of soybean. Physiol. Mol. Biol. Plants 2018, 24, 37–50. [Google Scholar] [CrossRef]
  49. Soliman, M.M.; Rabie, E.M.; Ragheb, S.B. Response of soybean yield to late sowing date. Arab Univ. J. Agric. Sci. 2007, 15, 51–59. [Google Scholar] [CrossRef]
  50. Ojo, D.K.; Adebisi, M.A.; Tijani, B.O. Influence of environment on protein and oil contents of soybeans seed (Glycine max (L.) Merril). Glob. J. Agric. Sci. 2002, 1, 27–32. [Google Scholar] [CrossRef]
  51. Zhang, J.; Liu, Y.; Dai, L. Agricultural practice contributed more to changes in soybean yield than climate change from 1981 to 2010 in northeast China. J. Sci. Food Agric. 2022, 102, 2387–2395. [Google Scholar] [CrossRef] [PubMed]
  52. Sobko, O.; Stahl, A.; Hahn, V.; Zikeli, S.; Claupein, W.; Gruber, S. Environmental effects on soybean (Glycine max (L.) Merr.) production in central and south Germany. Agronomy 2020, 10, 1847. [Google Scholar] [CrossRef]
  53. Bosnjak, D. Drought and its relation to field production in Vojvodina. Naučni Institut za Ratarstvo i Povrtarstvo. Novi Sad. 2004, 40, 45–55. [Google Scholar] [CrossRef]
  54. Thomasz, E.O.; Corfield, K.; Vilker, A.S.; Marisol, M. Forecasting soybean production to enhance climate services for Agriculture in Argentina. Clim. Serv. 2023, 30, 100341. [Google Scholar] [CrossRef]
Figure 1. Weather conditions in Bałcyny (Region of Warmia and Mazury) in 2016–2019 in relation to the multiannual average * (a) temperature (°C)/daily mean; (b) precipitation (mm).
Figure 1. Weather conditions in Bałcyny (Region of Warmia and Mazury) in 2016–2019 in relation to the multiannual average * (a) temperature (°C)/daily mean; (b) precipitation (mm).
Agriculture 13 02199 g001
Figure 2. The effect of sowing date on the seed yield of soybean cultivars ((AD) 2016–2019) by ANOVA with the Tukey test at p ≤ 0.05; different capital letters show statistical significance.
Figure 2. The effect of sowing date on the seed yield of soybean cultivars ((AD) 2016–2019) by ANOVA with the Tukey test at p ≤ 0.05; different capital letters show statistical significance.
Agriculture 13 02199 g002
Figure 3. The effect of sowing date on the seed yield of soybean cultivars (average over the years of research) by ANOVA with the Tukey test at p ≤ 0.05; different capital letters show statistical significance.
Figure 3. The effect of sowing date on the seed yield of soybean cultivars (average over the years of research) by ANOVA with the Tukey test at p ≤ 0.05; different capital letters show statistical significance.
Agriculture 13 02199 g003
Figure 4. Linear regression analysis of the relationship between the length of the growing season and seed yields in soybean cultivars sown on different dates: (a) sowing date I, (b) sowing date II, and (c) sowing date III.
Figure 4. Linear regression analysis of the relationship between the length of the growing season and seed yields in soybean cultivars sown on different dates: (a) sowing date I, (b) sowing date II, and (c) sowing date III.
Agriculture 13 02199 g004
Figure 5. The effect of sowing date on the protein yield of soybean cultivars ((AD) 2016–2019) by ANOVA with the Tukey test at p ≤ 0.05; different capital letters show statistical significance.
Figure 5. The effect of sowing date on the protein yield of soybean cultivars ((AD) 2016–2019) by ANOVA with the Tukey test at p ≤ 0.05; different capital letters show statistical significance.
Agriculture 13 02199 g005
Table 1. Sowing date and the number of days from sowing to emergence and from sowing to harvest in the analyzed soybean cultivars.
Table 1. Sowing date and the number of days from sowing to emergence and from sowing to harvest in the analyzed soybean cultivars.
CultivarYearSowing DateNumber of Days from Sowing to EmergenceNumber of Days from Sowing to Harvest
Merlin I2016 16157
Aldana I25 April16131
Lissabon I(I *)16163
Merlin II 12147
Aldana II5 May12129
Lissabon II(II)12153
Merlin III 11138
Aldana III20 May11118
Lissabon III(III)11151
Merlin I2017 24156
Aldana I25 April26156
Lissabon I(I)28156
Merlin II 19147
Aldana II4 May21147
Lissabon II(II)22151
Merlin III 13136
Aldana III15 May13136
Lissabon III(III)13140
Merlin I2018 12140
Aldana I24 April12140
Lissabon I(I)12140
Merlin II 9133
Aldana II4 May9133
Lissabon II(II)9133
Merlin III 9130
Aldana III14 May9130
Lissabon III(III)9130
Merlin I2019 20135
Aldana I24 April20132
Lissabon I(I)20135
Merlin II 16133
Aldana II6 May16123
Lissabon II(II)16133
Merlin III 16133
Aldana III14 May16115
Lissabon III(III)16133
* I, II, III—sowing dates.
Table 2. Chemical properties of soil.
Table 2. Chemical properties of soil.
ParameterpHPKMg
Year/Unitmol dm−3mg kg−1 Soil
20166.6129190.894
20176.585.1157.7109
20186.193.9132.847
20195.9108152.073.2
Table 3. Spearman’s rank correlation between soybean yields, time from sowing to emergence, length of the growing season, and weather conditions.
Table 3. Spearman’s rank correlation between soybean yields, time from sowing to emergence, length of the growing season, and weather conditions.
Variable Between Sowing to Emergence Length of the Growing Season
Time from Sowing to EmergenceNumber of Days with Frost EpisodesNumber of Days with Temperature below 6 °CMinimum TemperatureMean Daily Temperature
Seed yield, t ha−1−0.55 **−0.33 *−0.150.010.32 *0.12 *
Time from sowing to emergence-0.74 **0.76 **−0.44 **−0.28 *0.40 **
Length of the growing season0.40 **0.34 *0.52 **−0.62 **−0.79 **-
*—significant difference at p ≤ 0.05; **—significant difference at p ≤ 0.01.
Table 4. The effect of sowing date on plant height of soybean plants (2016–2019).
Table 4. The effect of sowing date on plant height of soybean plants (2016–2019).
CultivarPlant Height (cm)Mean for 2016–2019
2016201720182019
IIIIIIMeanIIIIIIMeanIIIIIIMeanIIIIIIMean
Merlin87.33 C90.83 B102.10 A93.42 A77.20 A73.30 B79.90 A76.80 A52.50 D62.23 C94.23 A69.66 A65.53 A66.70 A59.00 AB63.74 A75.91 A
Aldana76.33 D76.80 D86.50 C79.88 B60.40 C53.90 D60.10 C58.10 C48.20 D55.40 CD77.83 B60.48 C58.93 C57.07 AB50.17 B55.39 B63.46 C
Lissabon79.00 D77.17 D85.43 C80.53 B63.10 C62.30 C72.10 B65.80 B50.23 D59.80 C88.90 A66.31 B57.73 AB58.13 AB53.80 B56.56 B67.31 B
Mean80.80 B81.60 B91.34 A 66.90 B 63.17 C70.70 A 50.31 C59.14 B86.99 A 60.73 A60.63 A54.32 B
A, B, C, D—by ANOVA with the Tukey test at p ≤ 0.05; different capital letters show statistical significance.
Table 5. The effect of sowing date on height of first pod of soybean plants (2016–2019).
Table 5. The effect of sowing date on height of first pod of soybean plants (2016–2019).
CultivarHeight of First Pod (cm)Mean for 2016–2019
2016201720182019
IIIIIIMeanIIIIIIMeanIIIIIIMeanIIIIIIMean
Merlin12.20 CD11.70 CD11.80 CD11.90 A10.90 AB9.70 B12.00 A10.80 A11.00 CD10.40 DE13.80 A11.73 A11.67 A10.10 AB6.60 BC9.46 A10.97 A
Aldana8.80 F10.73 E16.00 A11.84 A8.90 BC6.80 CD11.80 A 9.20 B10.13 DE10.87 D12.70 B11.23 AB10.63 A8.47 AB6.83 BC8.64 AB10.22 AB
Lissabon12.77 B10.90 E12.43 BC12.03 A7.90 C7.20 C11.20 AB8.80 C11.87 C8.30 F10.83 D10.33 B10.87 A6.60 BC5.77 C7.74 B9.72 B
Mean11.26 B11.11 B13.41 A 9.23 B7.90 C11.67 A 11.00 B9.86 C12.44 A 11.06 A 8.39 B6.40 C
A, B, C, D, E, F—by ANOVA with the Tukey test at p ≤ 0.05; different capital letters show statistical significance.
Table 6. The effect of sowing date on number of pods per plant of soybean plants (2016–2019).
Table 6. The effect of sowing date on number of pods per plant of soybean plants (2016–2019).
CultivarNumber of Pods per PlantMean for 2016–2019
2016201720182019
IIIIIIMeanIIIIIIMeanIIIIIIMeanIIIIIIMean
Merlin41.27 A31.10 C33.50 B35.29 A17.60 BC18.00 BC21.50 B19.00 B18.80 A19.83 A19.07 A19.23 A21.70 B21.40 BC22.53 B21.88 A23.85 A
Aldana31.03 C24.80 F15.80 G23.88 C21.60 B30.60 A15.20 C22.50 B13.37 B14.17 B14.37 B13.97 B13.70 C16.27 BC20.60 BC16.86 B19.30 B
Lissabon33.60 B30.37 D28.33 E30.77 B34.80 A36.00 A18.20 BC29,90 A15.53 AB16.63 AB19.20 A17.12 AB15.77 BC20.10 BC36.07 A23.98 A25.44 A
Mean35.30 A28.76 B25.88 C 24.67 B28.20 A18.30 C 15.90 B16.87 AB17.55 A 17.06 B19.26 B26.40 A
A, B, C, D, E, F, G—by ANOVA with the Tukey test at p ≤ 0.05; different capital letters show statistical significance.
Table 7. The effect of sowing date on number of seeds per pod of soybean plants (2016–2019).
Table 7. The effect of sowing date on number of seeds per pod of soybean plants (2016–2019).
CultivarNumber of Seeds per PodMean for 2016–2019
2016201720182019
IIIIIIMeanIIIIIIMeanIIIIIIMeanIIIIIIMean
Merlin2.17 AB2.17 AB2.03 BC2.12 A1.90 B 2.00 AB2.10 AB2.00 AB2.07 A1.73 B1.90 AB1.90 A2.10 A1.90 A1.90 A1.97 A1.99 A
Aldana2.03 BC1.93 C1.93 C1.97 B1.90 B1.90 B1.90 B1.90 B1.83 AB1.77 B1.70 B1.77 B1.90 A1.73 A1.87 A1.83 A1.86 A
Lissabon2.03 BC2.30 A2.13 ABC 2.16 A2.10 AB2.10 AB2.20 A2.10 A1.97 AB1.97 AB1.79 B1.97 A2.10 A1.93 A1.9 A1.97 A2.05 A
Mean2.08 A2.13 A2.03 A 1.97 A2.00 A2.07 A 1.96 A1.82 B1.80 B 2.03 A1.85 B1.88 B
A, B, C—by ANOVA with the Tukey test at p ≤ 0.05; different capital letters show statistical significance.
Table 8. The effect of sowing date on thousand seed weight of soybean plants (2016–2019).
Table 8. The effect of sowing date on thousand seed weight of soybean plants (2016–2019).
CultivarThousand Seed Weight (g) Mean for 2016–2019
2016201720182019
IIIIIIMeanIIIIIIMeanIIIIIIMeanIIIIIIMean
Merlin186.33 B181.67 B175.67 B181.22 B167.67 CD167.77 CD171.67 C169.00 B199.67 B194.67 BC181.00 D191.78 C169.00 C171.00 C185.00 B175.00 C179.25 C
Aldana176.00 B179.33 B174.00 B176.44 B186.33 B186.67 B198.00 A190.33 A201.33 B201.33 B199.00 B200.56 B179.00 BC179.00 BC191.00 AB183.00 B187.58 B
Lissabon214.33 A188.00 B180.33 B197.56 A167.67 CD163.33 D175.67 C168.89 B218.33 A213.00 Aa201.00 B210.78 A199.00 A196.00 A199.00 A198.00 A193.81 A
Mean192.22 A183.00 B180.00 B 172.56 B172.59 B178.78 A 206.44 A203.00 A193.67 B 182.33 B182.00 B191.67 A
A, B, C, D, a—by ANOVA with the Tukey test at p ≤ 0.05; different capital letters show statistical significance.
Disclaimer/Publisher’s Note: The statements, opinions and data contained in all publications are solely those of the individual author(s) and contributor(s) and not of MDPI and/or the editor(s). MDPI and/or the editor(s) disclaim responsibility for any injury to people or property resulting from any ideas, methods, instructions or products referred to in the content.

Share and Cite

MDPI and ACS Style

Fordoński, G.; Okorski, A.; Olszewski, J.; Dąbrowska, J.; Pszczółkowska, A. The Effect of Sowing Date on the Growth and Yield of Soybeans Cultivated in North-Eastern Poland. Agriculture 2023, 13, 2199. https://doi.org/10.3390/agriculture13122199

AMA Style

Fordoński G, Okorski A, Olszewski J, Dąbrowska J, Pszczółkowska A. The Effect of Sowing Date on the Growth and Yield of Soybeans Cultivated in North-Eastern Poland. Agriculture. 2023; 13(12):2199. https://doi.org/10.3390/agriculture13122199

Chicago/Turabian Style

Fordoński, Gabriel, Adam Okorski, Jacek Olszewski, Joanna Dąbrowska, and Agnieszka Pszczółkowska. 2023. "The Effect of Sowing Date on the Growth and Yield of Soybeans Cultivated in North-Eastern Poland" Agriculture 13, no. 12: 2199. https://doi.org/10.3390/agriculture13122199

APA Style

Fordoński, G., Okorski, A., Olszewski, J., Dąbrowska, J., & Pszczółkowska, A. (2023). The Effect of Sowing Date on the Growth and Yield of Soybeans Cultivated in North-Eastern Poland. Agriculture, 13(12), 2199. https://doi.org/10.3390/agriculture13122199

Note that from the first issue of 2016, this journal uses article numbers instead of page numbers. See further details here.

Article Metrics

Back to TopTop