Optimization of Hot-Air and Microwave Combined Drying Technical Parameters for Extruded Cotton Stalks Based on Response Surface Methodology
Abstract
1. Introduction
2. Materials and Methods
2.1. Material Preparation
2.2. Experimental Set-Up
2.3. Experimental Methods
2.4. Experimental Methods
2.4.1. Single-Factor Experimental Design
2.4.2. Optimization Experiment of Combined Drying Process
2.5. Measurement Indicators and Calculation Methods
2.5.1. Calculation of Moisture Content at Conversion Point
2.5.2. Drying Rate
2.5.3. Energy Consumption per Unit Precipitation
3. Results and Discussion
3.1. Single-Factor Experiment
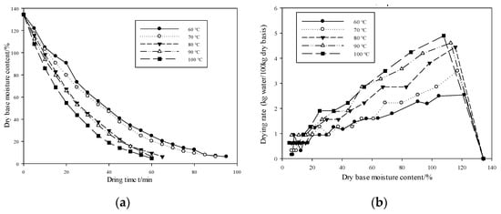
3.1.1. Hot-Air Temperature
3.1.2. Moisture Content at the Conversion Point
3.1.3. Microwave Power
3.2. Response Surface Experimental Results and Analysis
3.2.1. Regression Model Equation Analysis of Variance
3.2.2. Interaction Analysis of Model Significant Factors
3.3. The Optimal Process of Hot-Air and Microwave Combined Drying
3.4. Verification of Optimization Process for Hot-Air and Microwave Combined Drying
4. Conclusions
- During the hot-air and microwave combined drying process, extruded cotton stalks were greatly affected by three factors: hot-air temperature, moisture content at the conversion point, and microwave power. The drying time required for extruded cotton stalks decreased with an increase in the three factors, which also had a significant impact on the energy consumption per unit precipitation of extruded cotton stalks.
- Based on the regression analysis of the experimental data, the ternary quadratic regression equations of drying rate (Y1) and energy consumption per unit precipitation (Y2) were obtained as follows:
- 3.
- The optimum process parameters of hot-air and microwave combined drying for extruded cotton stalks were as follows: hot-air temperature 95 °C, moisture content at the conversion point 57%, and microwave power 700 W. With this experimental condition, through experimental verification, the drying rate and energy consumption per unit precipitation were 4.13632 kg (100 kg·min)−1 and 70.88522 MJ kg−1, respectively, which were close to the simulated values, proving the feasibility of the regression model.
- 4.
- With the experimental conditions of hot-air temperature 95 °C, moisture content at the conversion point 57%, and microwave power 700 W, we compared hot-air and microwave combined drying with single drying, and the drying rate of microwave drying was the highest. The energy consumption per unit precipitation of hot-air and microwave combined drying was the lowest, and it was 106.7% and 10.4% lower than that of hot-air drying and microwave drying, respectively.
Author Contributions
Funding
Institutional Review Board Statement
Data Availability Statement
Acknowledgments
Conflicts of Interest
References
- Zhang, Y.; Ding, Y.; Li, J. The Current Situation of Cotton Stalk Returning Machinery and the Problems of Diseases and Pests in China. Farm Mach. 2023, 903, 79–82. [Google Scholar]
- Zhu, Q.; Ran, T.; Xu, Y. Utilization Status of cotton stalk and its returning technology. Agric. Sci. Technol. Commun. 2022, 604, 39–41+45. [Google Scholar]
- Bai, Z.; Liu, S.; Hu, Q. The main ways and existing problems of cotton straw utilization. Cotton Sci. 2021, 43, 11–15. [Google Scholar]
- Cai, J.; Liu, J.; Wang, N. Research progress on comprehensive utilization of crop straw. Anhui Agric. Sci. 2021, 49, 11–14. [Google Scholar]
- Lin, T.; Guo, W.; Gao, L. Anatomical characteristics chemical components of cotton stalks. J. Northwest For. Univ. 2012, 27, 201–206. [Google Scholar]
- Cao, C.; Yang, Z.; Han, L.; Jiang, X. Study on in situ analysis of cellulose, hemicelluloses and lignin distribution linked to tissue structure of crop stalk internodal transverse section based on FTIR microspectroscopic imaging. Cellulose 2014, 22, 139–149. [Google Scholar] [CrossRef]
- Wang, H.; Guo, K.; Li, P. Microwave drying kinetics and energy consumption analysis of extruded cotton stalks. Trans. Chin. Soc. Agric. Eng. 2015, 31, 294–301. [Google Scholar]
- Xia, N.; Chen, X.; Guo, K. Optimal film content improving mechnical and water absorption properties of oriented cotton stalk-platic boards. Trans. Chin. Soc. Agric. Eng. 2015, 31, 303–309. [Google Scholar]
- Song, X.; Lei, Y.; Fu, F. Preparation technology and experiment of reconsolidated square materials of cotton stalk. Trans. Chin. Soc. Agric. Mach. 2014, 49, 154–159. [Google Scholar]
- Lin, Y.; Guo, K.; Tran Van, C. Research on evaluation methods for image segmentation of cucumber disease. J. Agric. Mech. Res. 2014, 10, 154–163. [Google Scholar]
- Bhattacharya, M.; Srivastav, P.P.; Mishra, H.N. Thin-layer modeling of convective and microwave-convective drying of oyster mushroom (Pleurotus ostreatus). J. Food Sci. Technol. 2015, 52, 2013–2022. [Google Scholar] [CrossRef]
- Choi, Y.-I.; Jung, B.; Sung, N.; Han, Y. A study on the drying characteristics from mixture of food waste and sawdust by using microwave/inner-cycle thermal-air drying process. J. Mater. Cycles Waste Manag. 2014, 17, 359–368. [Google Scholar] [CrossRef]
- Sharma, G.P.; Prasad, S. Effective moisture diffusivity of garlic cloves undergoing microwave-convective drying. J. Food Eng. 2004, 65, 609–617. [Google Scholar] [CrossRef]
- Joshi, N.D.; Mohapatra, D.; Joshi, D.C.; Sutar, R.F. Puffing Characteristics of Parboiled Milled Rice in a Domestic Convective–Microwave Oven and Process Optimization. Food Bioprocess Technol. 2013, 7, 1678–1688. [Google Scholar] [CrossRef]
- Wang, H.; Li, P.; Guo, K. Mathematical modeling of microwave drying of crashed cotton stalks for man-made composite material. Int. J. Agric. Biol. Eng. 2016, 9, 171–178. [Google Scholar] [CrossRef]
- Trirattanapikul, W.; Phoungchandang, S. Microwave blanching and drying characteristics of Centella asiatica (L.) urban leaves using tray and heat pump-assisted dehumidified drying. J. Food Sci. Technol. 2014, 51, 3623–3634. [Google Scholar] [CrossRef][Green Version]
- Medeni, M. Drying, shrinkage and rehydration characteristics of kiwifruits during hot air and microwave drying. J. Food Eng. 2001, 48, 177–182. [Google Scholar]
- Medeni, M. Microwave/air and microwave finish drying of banana. J. Food Eng. 2000, 44, 71–78. [Google Scholar]
- Hii, C.L.; Ong, S.P.; Ying, J.; Putranto, A.; Mangindaan, D. Hybrid drying of food and bioproducts: A review. Dry. Technol. 2021, 39, 1554–1576. [Google Scholar] [CrossRef]
- Putranto, A.; Chen, X.D. Reaction engineering approach modeling of intensified drying of fruits and vegetables using microwave, ultrasonic and infrared-heating. Dry. Technol. 2020, 38, 747–757. [Google Scholar] [CrossRef]
- Han, J.; Yang, H.; Xie, Y. Optimization of hot-air and microwave drying process of green asparagus. Jiangsu Agric. Sci. 2021, 49, 188–194. [Google Scholar]
- Jiang, Q.; Zhang, K.; Zhou, M. Microwave sirocco barks of Eucommia ulmoides oliv combination drying technology research. J. Vac. Electron. 2020, 346, 77–81. [Google Scholar]
- Maftoonazad, N.; Dehghani, M.R.; Ramaswamy, H.S. Hybrid microwave-hot air tunnel drying of onion slices: Drying kinetics, energy efficiency, product rehydration, color, and flavor characteristics. Dry. Technol. 2020, 40, 966–986. [Google Scholar] [CrossRef]
- Wiset, L.; Wongkasem, K.; Kampakdee, N. Silkworm pupae drying using microwave combined with hot air. Int. Food Res. J. 2017, 24, 1460–1463. [Google Scholar]
- Jung, B.-G.; Choi, Y.-I. Comparisons of drying characteristics of food waste using microwave, hot air and combined microwave/hot air drying processes. J. Korean Soc. Environ. Technol. 2019, 20, 346–352. [Google Scholar] [CrossRef]
- Tang, X.; He, S.; Duan, Z. Response surface optimization of the combined microwave intermittent and hot air drying process of fairy grass and its effect on the gel quality of fairy grass. Food Ind. Sci. Technol. 2022, 43, 203–211. [Google Scholar] [CrossRef]
- Qu, M.; Zhao, S.; Zhu, X.; Wan, Z.; Liu, L.; Huang, Y.; Zhu, Y.; Yang, X. Optimization of drying process and quality evaluation of microwave-hot air dehydrated frozen tofu by response surface method. Food Ind. Sci. Technol. 2021, 42, 158–166. [Google Scholar] [CrossRef]
- Zhang, H.; Zhang, Y.; Yang, J.; Peng, J.; Pan, L.; Chen, J.; Tu, K. Optimization of the combined drying process of hot air and microwave for shiitake mushrooms using response surface methodology. J. Food Ind. Sci. Technol. 2019, 40, 214–221+232. [Google Scholar] [CrossRef]
- Zhu, Q.; Wang, Y.; Deng, C. The response surface method to optimize microwave rice noodles—Hot air drying technology research. J. Food Sci. Technol. Econ. 2020, 45, 118–121. [Google Scholar] [CrossRef]
- Yu, Y.; Li, Q.; Deng, J. Optimization of Hot Air Combined Microwave Brittleness Process for Green Taro Slices by Response Surface Methodology and Fuzzy Evaluation. J. Zhejiang Agric. Sci. 2019, 60, 1388–1393. [Google Scholar] [CrossRef]
- Sumic, Z.; Tepic, A.; Pavlic, B. Drying of shiitake mushrooms in a vacuum dryer and optimization of the process by response surface methodology (RSM). J. Food Meas. Charact. 2016, 10, 425–433. [Google Scholar] [CrossRef]
- Taheri-Garavand, A.; Karimi, F.; Karimi, M.; Lotfi, V.; Khoobbakht, G. Hybrid response surface methodology-artificial neural network optimization of drying process of banana slices in a forced convective dryer. Food Sci. Technol. Int. 2018, 24, 277–291. [Google Scholar] [CrossRef] [PubMed]
- Kumar, V.; Shrivastava, S.L. Optimization of vacuum-assisted microwave drying parameters of green bell pepper using response surface methodology. J. Food Meas. Charact. 2017, 11, 1761–1772. [Google Scholar] [CrossRef]
- Sova, D.; Bedelean, B.; Sandu, V. Application of Response Surface Methodology to Optimization of Wood Drying Conditions in a Pilot-Scale Kiln. Balt. For. 2016, 22, 348–356. [Google Scholar]
- Yogurtcu, H. Optimization of microwave apple drying using response surface method. J. Fac. Eng. Archit. Gazi Univ. 2019, 34, 1366–1376. [Google Scholar]
- Erbay, Z.; Icier, F. Optimization of hot air drying of olive leaves using response surface methodology. J. Food Eng. 2009, 91, 533–541. [Google Scholar] [CrossRef]
- Demirhan, E.; Özbek, B. Drying kinetics and effective moisture diffusivity of purslane undergoing microwave heat treatment. Korean J. Chem. Eng. 2010, 27, 1377–1383. [Google Scholar] [CrossRef]
- Figiel, A. Drying kinetics and quality of beetroots dehydrated by combination of convective and vacuum-microwave methods. J. Food Eng. 2010, 98, 461–470. [Google Scholar] [CrossRef]
- Li, Y.; Lei, Y.; Zhang, L.; Peng, J.; Li, C. Microwave drying characteristics and kinetics of ilmenite. Trans. Nonferrous Met. Soc. China 2011, 21, 202–207. [Google Scholar] [CrossRef]
- Wang, H.; Feng, X.; Li, L. Research on hot-air drying and control model for dry basis moisture conteng of seed cotton. Trans. Chin. Soc. Agric. Eng. 2013, 29, 265–272. [Google Scholar]
- Figiel, A. Drying kinetics and quality of vacuum–microwave dehydrated garlic cloves and slices. J. Food Eng. 2009, 94, 98–104. [Google Scholar] [CrossRef]






| Level | Factors | ||
|---|---|---|---|
| Hot Air Temperature x1 (°C) | Moisture Content at the Conversion Point x2 (%) | Microwave Power x3 (W) | |
| Upper asterisk arm | 107 | 63 | 782 |
| Upper level | 100 | 60 | 460 |
| Zero level | 90 | 55 | 580 |
| Lower level | 80 | 50 | 700 |
| Lower asterisk arm | 73 | 47 | 378 |
| Temperature T (°C) | Air Density ρ (kg·m−3) | The Heat Capacity of Air C (J·(kg·°C)−1 |
|---|---|---|
| 60 | 1.0250 | 1017 |
| 70 | 0.9960 | 1017 |
| 73 | 0.9876 | 1017 |
| 80 | 0.9680 | 1022 |
| 90 | 0.9420 | 1022 |
| 100 | 0.9160 | 1022 |
| 107 | 0.8999 | 1022 |
| Number | Factors | Average Drying Rate Y1 (kg (kg·100·min)−1 | Energy Consumption per Unit Precipitation Y2 (MJ kg−1) | ||
|---|---|---|---|---|---|
| X 1 (°C) | X2 (%) | X3 (W) | |||
| 1 | −1 | −1 | −1 | 3.0057 | 92.7671 |
| 2 | 1 | −1 | −1 | 3.5016 | 85.4825 |
| 3 | −1 | 1 | −1 | 3.0409 | 94.3448 |
| 4 | 1 | 1 | −1 | 3.7410 | 82.0764 |
| 5 | −1 | −1 | 1 | 3.4210 | 79.6454 |
| 6 | 1 | −1 | 1 | 3.4210 | 84.3873 |
| 7 | −1 | 1 | 1 | 3.5494 | 78.7479 |
| 8 | 1 | 1 | 1 | 4.3697 | 69.3243 |
| 9 | −1.682 | 0 | 0 | 2.9213 | 92.2064 |
| 10 | 1.682 | 0 | 0 | 3.9846 | 76.6567 |
| 11 | 0 | −1.682 | 0 | 3.2098 | 87.3424 |
| 12 | 0 | 1.682 | 0 | 3.3548 | 88.0132 |
| 13 | 0 | 0 | −1.682 | 3.4098 | 87.8184 |
| 14 | 0 | 0 | 1.682 | 4.1767 | 69.5542 |
| 15 | 0 | 0 | 0 | 3.727 | 78.3253 |
| 16 | 0 | 0 | 0 | 3.6879 | 79.7258 |
| 17 | 0 | 0 | 0 | 3.6749 | 79.7985 |
| 18 | 0 | 0 | 0 | 3.9543 | 74.7966 |
| 19 | 0 | 0 | 0 | 3.7956 | 77.9613 |
| 20 | 0 | 0 | 0 | 3.9097 | 75.0987 |
| Source | Sum of Squares | Freedom | Mean Squares | F Value | Significant Level p |
|---|---|---|---|---|---|
| X1 | 1.060 | 1 | 1.060 | 55.930 | <0.0001 ** |
| X2 | 0.190 | 1 | 0.190 | 9.830 | 0.0106 * |
| X3 | 0.560 | 1 | 0.560 | 29.470 | 0.0003 ** |
| X1X2 | 0.130 | 1 | 0.130 | 6.920 | 0.0251 * |
| X1X3 | 0.018 | 1 | 0.018 | 0.930 | 0.3573 |
| X2X3 | 0.081 | 1 | 0.081 | 4.250 | 0.0462 * |
| X12 | 0.200 | 1 | 0.200 | 10.380 | 0.0092 ** |
| X22 | 0.450 | 1 | 0.450 | 23.860 | 0.0006 ** |
| X32 | 0.000176 | 1 | 0.000176 | 0.009263 | |
| Model | 2.640 | 9 | 0.290 | 15.490 | <0.0001 ** |
| Residual | 0.190 | 10 | 0.019 | — | — |
| Lack of fit | 0.120 | 5 | 0.024 | 1.750 | 0.2772 |
| Pure error | 0.069 | 5 | 0.014 | — | — |
| Cor. Total | 2.830 | 9 | — | — | — |
| Source | Sum of Squares | Freedom | Mean Squares | F Value | Significant Level p |
|---|---|---|---|---|---|
| X1 | 185.90 | 1 | 185.90 | 29.15 | 0.0003 ** |
| X2 | 20.33 | 1 | 20.33 | 3.19 | 0.1045 |
| X3 | 393.23 | 1 | 393.23 | 61.75 | <0.0001 ** |
| X1X2 | 45.84 | 1 | 45.84 | 7.19 | 0.0231 * |
| X1X3 | 27.64 | 1 | 27.64 | 4.33 | 0.044 * |
| X2X3 | 24.96 | 1 | 24.96 | 3.91 | 0.0761 |
| X12 | 74.88 | 1 | 74.88 | 11.74 | 0.0065 ** |
| X 22 | 169.27 | 1 | 169.27 | 26.54 | 0.0004 ** |
| X 32 | 0.89 | 1 | 0.89 | 0.14 | 0.7169 |
| Model | 922.95 | 9 | 102.55 | 16.08 | <0.0001 ** |
| Residual | 63.78 | 10 | 6.38 | — | — |
| Lack of fit | 39.65 | 5 | 7.93 | 1.64 | 0.2994 |
| Pure error | 24.13 | 5 | 4.83 | — | — |
| Cor. Total | 986.73 | 9 | — | — |
| Different Drying Methods | Average Drying Rate Y1 (kg (kg·100·min)−1 | Energy Consumption per Unit Precipitation Y2 (MJ kg−1) |
|---|---|---|
| Hot-air drying | 1.73 | 146.58 |
| Microwave drying | 4.33 | 78.28 |
| Combination drying | 4.14 | 70.89 |
Disclaimer/Publisher’s Note: The statements, opinions and data contained in all publications are solely those of the individual author(s) and contributor(s) and not of MDPI and/or the editor(s). MDPI and/or the editor(s) disclaim responsibility for any injury to people or property resulting from any ideas, methods, instructions or products referred to in the content. |
© 2023 by the authors. Licensee MDPI, Basel, Switzerland. This article is an open access article distributed under the terms and conditions of the Creative Commons Attribution (CC BY) license (https://creativecommons.org/licenses/by/4.0/).
Share and Cite
Wang, H.; Wang, F.; Gao, H.; Zhai, X.; Li, P. Optimization of Hot-Air and Microwave Combined Drying Technical Parameters for Extruded Cotton Stalks Based on Response Surface Methodology. Agriculture 2023, 13, 1996. https://doi.org/10.3390/agriculture13101996
Wang H, Wang F, Gao H, Zhai X, Li P. Optimization of Hot-Air and Microwave Combined Drying Technical Parameters for Extruded Cotton Stalks Based on Response Surface Methodology. Agriculture. 2023; 13(10):1996. https://doi.org/10.3390/agriculture13101996
Chicago/Turabian StyleWang, Hongti, Fangyan Wang, Hongwei Gao, Xinting Zhai, and Peng Li. 2023. "Optimization of Hot-Air and Microwave Combined Drying Technical Parameters for Extruded Cotton Stalks Based on Response Surface Methodology" Agriculture 13, no. 10: 1996. https://doi.org/10.3390/agriculture13101996
APA StyleWang, H., Wang, F., Gao, H., Zhai, X., & Li, P. (2023). Optimization of Hot-Air and Microwave Combined Drying Technical Parameters for Extruded Cotton Stalks Based on Response Surface Methodology. Agriculture, 13(10), 1996. https://doi.org/10.3390/agriculture13101996
