Towards Resilient Agriculture to Hostile Climate Change in the Sahel Region: A Case Study of Machine Learning-Based Weather Prediction in Senegal
Abstract
1. Introduction
1.1. Weather Forecasting and Usefulness of Weather Information in Agriculture
1.2. Problem Statement
1.3. Objectives
- 1.
- To determine the spatial weather distribution in Senegal;
- 2.
- To determine the weather annual cycle in Senegal.
1.4. Brief Literature Review
1.5. Description of the Study Area and Data Source
1.6. Dataset
1.7. Exploratory Data Analysis
1.7.1. Spatial Weather Distribution
1.7.2. Annual Weather Cycle
2. Materials and Methods
2.1. Data Pre-Processing and Transformation
Machine Learning Models
3. Presentation of Results and Discussion
3.1. Relative Humidity
3.2. Minimum Temperature
3.3. Maximum Temperature
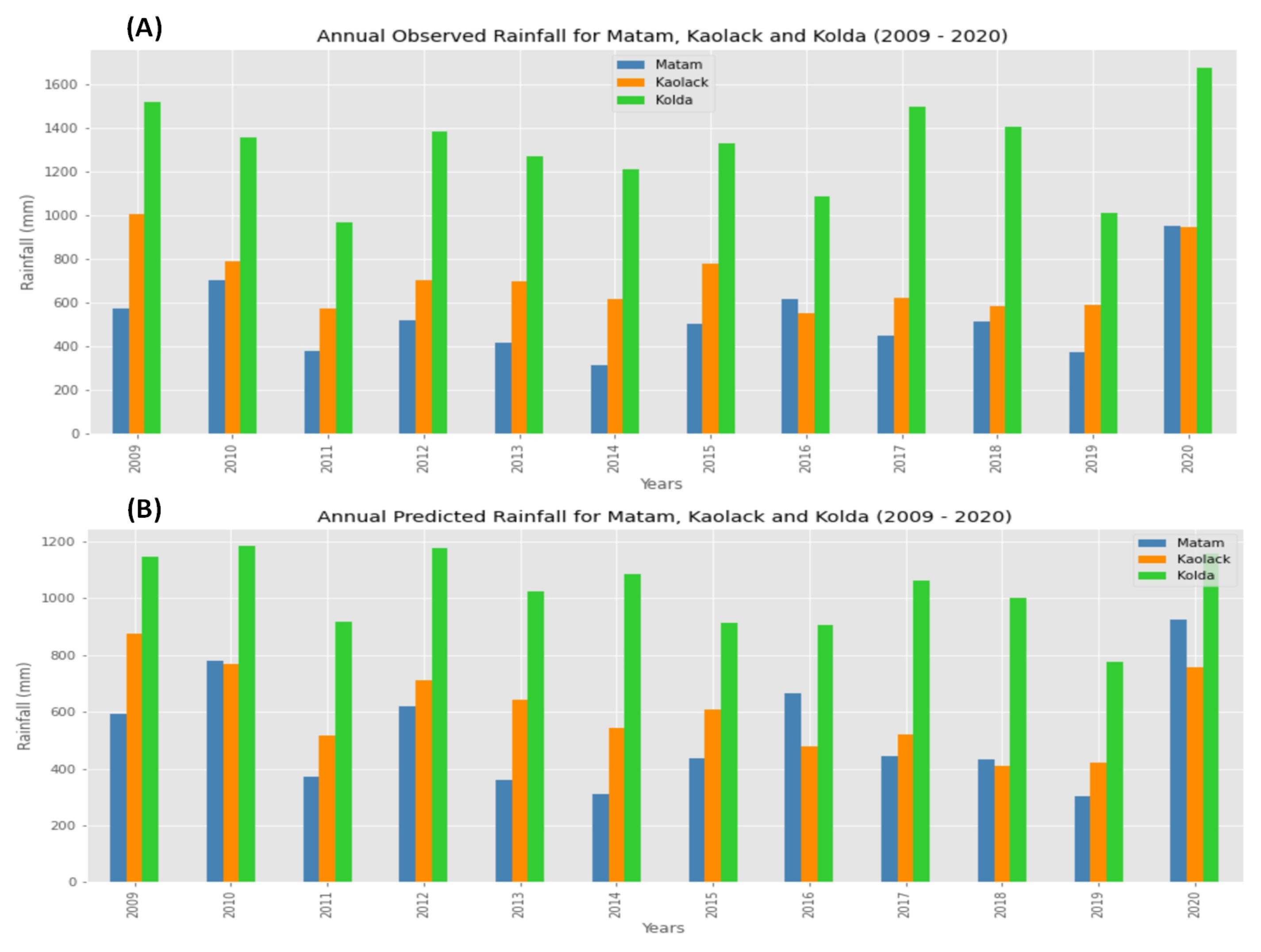
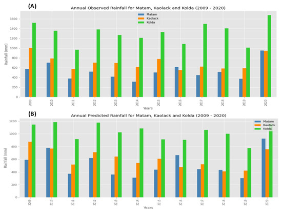
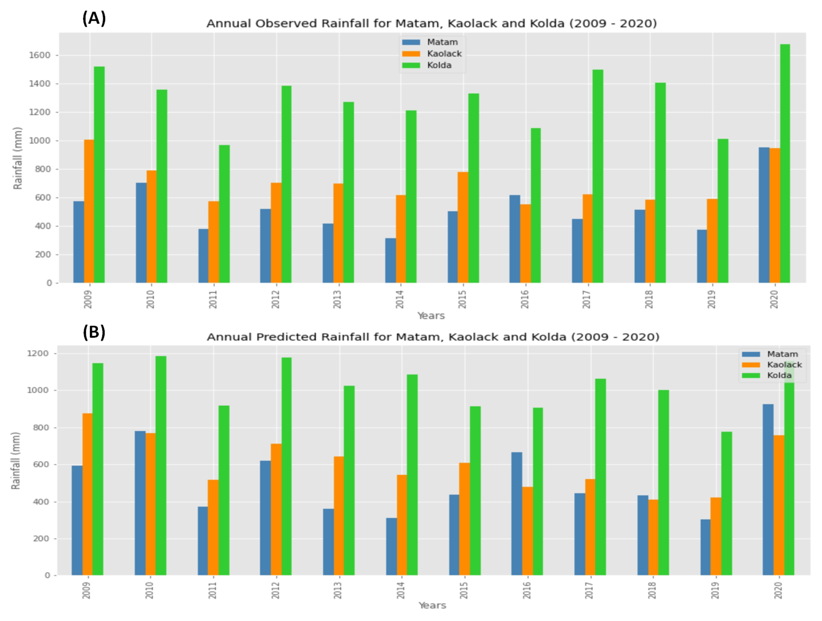
3.4. Rainfall
4. Prediction on the Test Dataset
4.1. Spatial Weather Distribution
4.1.1. Relative Humidity
4.1.2. Maximum and Minimum Temperature
4.1.3. Rainfall
4.2. Annual Weather Cycle
4.2.1. Relative Humidity
4.2.2. Maximum Temperature and Minimum Temperature
4.2.3. Rainfall
4.3. Conclusions and Recommendations
4.4. Limitation of the Study
4.5. Future Work
Author Contributions
Funding
Data Availability Statement
Acknowledgments
Conflicts of Interest
References
- Rodolfo, M.; Drilona, E. Climate Change in Sub-Saharan Africa’s Fragile States; International Monetary Fund: Washington, DC, USA, 2022. [Google Scholar]
- Kelvin, M.; Ng’ombe, J.N. Climate change impacts on sustainable maize production in Sub-Saharan Africa: A review. Maize Prod. Use 2019, 47–75. [Google Scholar]
- Nyaga, J.N. Assessment of Perceived Impacts of Climate Change on Agricultural Crops Productions and Its Effects on Food Security: A Case Study of Small-Scale Farmers in Murang’a County Kenya; Università Ca’Foscari Venezia: Venice, Italy, 2021; Volume 123. [Google Scholar]
- Kahn, M.E.; Mohaddes, K.; Ng, R.N.C.; Pesaran, M.H.; Raissi, M.; Yang, J.-C. Long-term macroeconomic effects of climate change: A cross-country analysis. Energy Econ. 2021, 104, 105624. [Google Scholar] [CrossRef]
- Koudahe, K.; Djaman, K.; Bodian, A.; Irmak, S.; Sall, M.; Diop, L.; Balde, A.B.; Rudnick, D.R. Trend analysis in rainfall, reference evapotranspiration and aridity index in Southern Senegal: Adaptation to the vulnerability of rainfed rice cultivation to climate change. Atmos. Clim. Sci. 2017, 7, 476–495. [Google Scholar] [CrossRef]
- Shen, X.; Liu, B.; Henderson, M.; Wang, L.; Jiang, M.; Lu, X. Vegetation greening, extended growing seasons, and temperature feedbacks in warming temperate grasslands of China. J. Clim. 2022, 35, 1–51. [Google Scholar] [CrossRef]
- Fonta, W.; Edame, G.; Anam, B.E.; Duru, E.J.C. Climate Change, Food Security and Agricultural Productivity in Africa: Issues and policy directions. Int. J. Humanit. Soc. Sci. 2011, 1, 205–223. [Google Scholar]
- Harris, D.; Orr, A. Is rainfed agriculture really a pathway from poverty? Agric. Syst. 2014, 123, 84–96. [Google Scholar] [CrossRef]
- Nyasulu, C.; Diattara, A.; Traore, A.; Ba, C. Enhancing Farmers Productivity through IoT and Machine Learning: A State-of-the-Art Review of Recent Trends in Africa. In Proceedings of the International Conference on Research in Computer Science and its Applications, Dakar, Senegal, 17–19 June 2021; pp. 113–124. [Google Scholar]
- Islam, B.U. Comparison of conventional and modern load forecasting techniques based on artificial intelligence and expert systems. Int. J. Comput. Sci. Issues 2011, 8, 507–513. [Google Scholar]
- Iseh, A.J.; Woma, T.Y. Weather forecasting models, methods and applications. Int. J. Eng. Res. Technol. 2013, 2, 11945–11956. [Google Scholar]
- Dueben, P.D.; Bauer, P.; Adams, S. Deep learning to improve weather predictions. In Deep Learning for the Earth Sciences: A Comprehensive Approach to Remote Sensing, Climate Science, and Geosciences; John Wiley & Sons Ltd.: Hoboken, NJ, USA, 2021; Volume 27, pp. 204–217. [Google Scholar]
- Bonavita, M.; Arcucci, R.; Carrassi, A.; Dueben, P.; Geer, A.J.; Le, S.B.; Longépé, N.; Mathieu, P.-P.; Raynaud, L. Machine learning for earth system observation and prediction. Bull. Am. Meteorol. Soc. 2021, 102, E710–E716. [Google Scholar] [CrossRef]
- Shalev-Shwartz, S.; Ben-David, S. Understanding Machine Learning: From Theory to Algorithms, 3rd ed.; Cambridge University Press: Cambridge, UK, 2013. [Google Scholar]
- The Role of Weather Forecasting in Agriculture. Available online: https://www.dtn.com/the-role-of-weather-forecasting-in-agriculture/ (accessed on 8 April 2022).
- Khan, N.A.; Qiao, J.; Abid, M.; Gao, Q. Understanding farm-level cognition of and autonomous adaptation to climate variability and associated factors: Evidence from the rice-growing zone of Pakistan. Land Use Policy 2021, 105, 105427. [Google Scholar] [CrossRef]
- Han, E.; Ines, A.V.; Baethgen, W.E. Climate-Agriculture-Modeling and Decision Tool (CAMDT): A software framework for climate risk management in agriculture. Environ. Model. Softw. 2017, 95, 102–114. [Google Scholar] [CrossRef]
- Tharun, V.P.; Prakash, R.; Devi, S.R. Prediction of Rainfall Using Data Mining Techniques. In Proceedings of the 2018 Second International Conference on Inventive Communication and Computational Technologies (ICICCT), Coimbatore, India, 20–21 April 2018; pp. 1507–1512. [Google Scholar]
- Alawadi, S.; Mera, D.; Fernández-Delgado, M.; Alkhabbas, F.; Olsson, C.M.; Davidsson, P. A comparison of machine learning algorithms for forecasting indoor temperature in smart buildings. Energy Syst. 2020, 13, 689–705. [Google Scholar] [CrossRef]
- Liyew, C.M.; Melese, H.A. Machine learning techniques to predict daily rainfall amount. EJ. Big Data 2021, 8, 1–11. [Google Scholar] [CrossRef]
- Tall, M.; Sylla, M.B.; Diallo, I.; Pal, J.S.; Faye, A.; Mbaye, M.L.; Gaye, A.T. Projected impact of climate change in the hydroclimatology of Senegal with a focus over the Lake of Guiers for the twenty-first century. Theor. Appl. Climatol. 2017, 129, 655–665. [Google Scholar] [CrossRef]
- Tall, A. Climate forecasting to serve communities in West Africa. Procedia Environ. Sci. 2010, 1, 421–431. [Google Scholar] [CrossRef][Green Version]
- Salack, S.; Muller, B.; Gaye, A.T. Rain-based factors of high agricultural impacts over Senegal. Part I: Integration of local to sub-regional trends and variability. Theor. Appl. Climatol. 2011, 106, 1–22. [Google Scholar] [CrossRef]
- Fowler, A.M.; Boswijk, G.; Gergis, J.; Lorrey, A. ENSO history recorded in Agathis australis (kauri) tree rings. Part A: Kauri’s potential as an ENSO proxy. Int. J. Climatol. J. R. Meteorol. Soc. 2008, 28, 1–20. [Google Scholar] [CrossRef]
- Sultan, B.; Janicot, S. The West African monsoon dynamics. Part II: The “preonset” and “onset” of the summer monsoon. J. Clim. 2003, 16, 3407–3427. [Google Scholar] [CrossRef]
- Ndiaye, B.; Moussa, M.A.; Wade, M.; Sy, A.; Diop, A.B.; Diop, A.D.; Diop, B.; Diakhaby, A. Spatial and Temporal Distribution of Rainfall Breaks in Senegal. Am. J. Clim. Chang. 2021, 10, 533–560. [Google Scholar] [CrossRef]
- Nwagu, C.K.; Omankwu, O.C.; Inyiama, H. Knowledge Discovery in Databases (KDD): An overview. Int. J. Comput. Sci. Inf. Secur. 2017, 15, 13–16. [Google Scholar]
- Kumar, S.; Chong, I. Correlation analysis to identify the effective data in machine learning: Prediction of depressive disorder and emotion states. Int. J. Environ. Res. Public Health 2018, 15, 2907. [Google Scholar] [CrossRef] [PubMed]
- Flores, J.H.; Engel, P.M.; Pinto, R.C. Autocorrelation and partial autocorrelation functions to improve neural networks models on univariate time series forecasting. Int. Jt. Conf. Neural Netw. 2012, 1–8. [Google Scholar]
- Ali, M. An Open Source, Low-Code Machine Learning Library in Python. PyCaret Version 1.0.0. Available online: https://www.pycaret.org (accessed on 20 April 2022).
- Botchkarev, A. Performance metrics (error measures) in machine learning regression, forecasting and prognostics: Properties and typology. arXiv 2018, arXiv:1809.03006. [Google Scholar]
- Chicco, D.; Warrens, M.J.; Jurman, G. The coefficient of determination R-squared is more informative than SMAPE, MAE, MAPE, MSE and RMSE in regression analysis evaluation. PeerJ Comput. Sci. 2021, 7, e623. [Google Scholar] [CrossRef]
- Anwar, M.T.; Winarno, E.; Hadikurniawati, W.; Novita, M. Rainfall prediction using Extreme Gradient Boosting. J. Phys. Conf. Ser. 2021, 1869, 012078. [Google Scholar] [CrossRef]
- Karna, N.; Roy, P.C.; Shakya, S. Temperature Prediction using Regression Model. Adv. Eng. ICT Converg. Proc. 2018, 4, 161–170. [Google Scholar]
- Arulmozhi, E.; Basak, J.K.; Sihalath, T.; Park, J.; Kim, H.T.; Moon, B.E. Machine learning-based microclimate model for indoor air temperature and relative humidity prediction in a swine building. Animals 2021, 11, 222. [Google Scholar] [CrossRef]



























| Station | Latitude | Longitude | 
|---|---|---|
| Rosso | 16.5 N | −15.817 W | 
| Saint-Louis | 16.05 N | −16.483 W | 
| Cap-skiring | 12.4 N | −16.75 W | 
| Diourbel | 14.65 N | −16.233 W | 
| Kaolack | 14.133 N | −16.067 W | 
| Kedougou | 12.567 N | −12.217 W | 
| Kolda | 12.883 N | −14.967 W | 
| Linguere | 15.367 N | −15.117 W | 
| Matam | 15.617 N | −13.25 W | 
| Tambacounda | 13.767 N | −13.683 W | 
| Model | MAE | MSE | RMSE | |
|---|---|---|---|---|
| Ensemble Model | 4.0126 | 29.9885 | 5.4428 | 0.9335 | 
| Light Gradient Boosting Machine | 4.0693 | 30.6936 | 5.5040 | 0.9317 | 
| CatBoost Regressor | 4.0619 | 30.7052 | 5.5046 | 0.9317 | 
| Gradient Boosting Regressor | 4.0863 | 30.8061 | 5.5140 | 0.9314 | 
| Extreme Gradient Boosting | 4.1601 | 32.1831 | 5.6292 | 0.9280 | 
| Random Forest Regressor | 4.2284 | 32.9041 | 5.7005 | 0.9270 | 
| Orthogonal Matching Pursuit | 4.2385 | 33.1158 | 5.7223 | 0.9268 | 
| Extra Trees Regressor | 4.2533 | 33.3111 | 5.7349 | 0.9260 | 
| K Neighbors Regressor | 4.4810 | 36.5971 | 6.0138 | 0.9184 | 
| AdaBoost Regressor | 5.7023 | 48.4746 | 6.9384 | 0.8954 | 
| Decision Tree Regressor | 5.9400 | 65.2236 | 8.0390 | 0.8553 | 
| Model | MAE | MSE | RMSE | |
|---|---|---|---|---|
| Ensemble Model | 0.7908 | 1.1329 | 1.0515 | 0.9018 | 
| Gradient Boosting Regressor | 0.7953 | 1.1481 | 1.0582 | 0.9006 | 
| Light Gradient Boosting Machine | 0.7966 | 1.1508 | 1.0595 | 0.9004 | 
| CatBoost Regressor | 0.7983 | 1.1554 | 1.0614 | 0.9001 | 
| Extreme Gradient Boosting | 0.8107 | 1.1893 | 1.0771 | 0.8971 | 
| Orthogonal Matching Pursuit | 0.8199 | 1.2034 | 1.0840 | 0.8956 | 
| Random Forest Regressor | 0.8248 | 1.2200 | 1.0922 | 0.8942 | 
| Extra Trees Regressor | 0.8301 | 1.2326 | 1.0982 | 0.8931 | 
| K Neighbors Regressor | 0.8793 | 1.3646 | 1.1573 | 0.8815 | 
| AdaBoost Regressor | 0.8961 | 1.4137 | 1.1727 | 0.8787 | 
| Decision Tree Regressor | 1.1877 | 2.4335 | 1.5515 | 0.7865 | 
| Model | MAE | MSE | RMSE | |
|---|---|---|---|---|
| Ensemble Model | 1.2515 | 2.8038 | 1.6591 | 0.8205 | 
| Light Gradient Boosting Machine | 1.2618 | 2.8418 | 1.6694 | 0.8176 | 
| Gradient Boosting Regressor | 1.2678 | 2.8478 | 1.6725 | 0.8175 | 
| CatBoost Regressor | 1.2624 | 2.8501 | 1.6716 | 0.8171 | 
| Extreme Gradient Boosting | 1.2878 | 2.9636 | 1.7031 | 0.8095 | 
| Random Forest Regressor | 1.3031 | 3.0114 | 1.7195 | 0.8071 | 
| Extra Trees Regressor | 1.3116 | 3.0473 | 1.7298 | 0.8048 | 
| Orthogonal Matching Pursuit | 1.3240 | 3.1079 | 1.7519 | 0.8016 | 
| K Neighbors Regressor | 1.3811 | 3.3403 | 1.8128 | 0.7865 | 
| AdaBoost Regressor | 1.4331 | 3.3870 | 1.8281 | 0.7841 | 
| Decision Tree Regressor | 1.8775 | 6.1235 | 2.4593 | 0.6098 | 
| Model | MAE | MSE | RMSE | |
|---|---|---|---|---|
| Ensemble Model | 0.2142 | 0.1681 | 0.4100 | 0.7733 | 
| CatBoost Regressor | 0.2150 | 0.1691 | 0.4112 | 0.7719 | 
| Light Gradient Boosting Machine | 0.2146 | 0.1695 | 0.4117 | 0.7714 | 
| Gradient Boosting Regressor | 0.2221 | 0.1752 | 0.4185 | 0.7638 | 
| Extreme Gradient Boosting | 0.2178 | 0.1752 | 0.4185 | 0.7638 | 
| Random Forest Regressor | 0.2212 | 0.1797 | 0.4238 | 0.7578 | 
| Extra Trees Regressor | 0.2246 | 0.1851 | 0.4302 | 0.7504 | 
| K Neighbors Regressor | 0.2316 | 0.2022 | 0.4496 | 0.7272 | 
| AdaBoost Regressor | 0.3803 | 0.2851 | 0.5325 | 0.6147 | 
| Orthogonal Matching Pursuit | 0.4127 | 0.3336 | 0.5775 | 0.5502 | 
| Decision Tree Regressor | 0.2910 | 0.3452 | 0.5875 | 0.5343 | 
| Authors | Model | Parameter | MAE | RMSE | 
|---|---|---|---|---|
| Our results | Relative Humidity | 0.1873 | 0.1369 | |
| Ensemble Model | Minimum Temperature | 0.1881 | 0.1429 | |
| Maximum Temperature | 0.1898 | 0.144 | ||
| Rainfall | 0.2987 | 0.1787 | ||
| [20] | Random Forest | 4.49 | 8.82 | |
| Multivariate Linear Regression | Rainfall | 4.97 | 8.61 | |
| XGBoost | 3.58 | 7.85 | ||
| [33] | XGBoost | Rainfall | 8.8 | 2.7 | 
| [34] | Linear Regression | Maximum Temperature | 3.10 | 1.78 | 
| [35] | Indoor Air Temperature | 0.3535 | 0.476 | |
| Random Forest | Indoor Relative Humidity | 1.47 | 2.429 | 
| Publisher’s Note: MDPI stays neutral with regard to jurisdictional claims in published maps and institutional affiliations. | 
© 2022 by the authors. Licensee MDPI, Basel, Switzerland. This article is an open access article distributed under the terms and conditions of the Creative Commons Attribution (CC BY) license (https://creativecommons.org/licenses/by/4.0/).
Share and Cite
Nyasulu, C.; Diattara, A.; Traore, A.; Deme, A.; Ba, C. Towards Resilient Agriculture to Hostile Climate Change in the Sahel Region: A Case Study of Machine Learning-Based Weather Prediction in Senegal. Agriculture 2022, 12, 1473. https://doi.org/10.3390/agriculture12091473
Nyasulu C, Diattara A, Traore A, Deme A, Ba C. Towards Resilient Agriculture to Hostile Climate Change in the Sahel Region: A Case Study of Machine Learning-Based Weather Prediction in Senegal. Agriculture. 2022; 12(9):1473. https://doi.org/10.3390/agriculture12091473
Chicago/Turabian StyleNyasulu, Chimango, Awa Diattara, Assitan Traore, Abdoulaye Deme, and Cheikh Ba. 2022. "Towards Resilient Agriculture to Hostile Climate Change in the Sahel Region: A Case Study of Machine Learning-Based Weather Prediction in Senegal" Agriculture 12, no. 9: 1473. https://doi.org/10.3390/agriculture12091473
APA StyleNyasulu, C., Diattara, A., Traore, A., Deme, A., & Ba, C. (2022). Towards Resilient Agriculture to Hostile Climate Change in the Sahel Region: A Case Study of Machine Learning-Based Weather Prediction in Senegal. Agriculture, 12(9), 1473. https://doi.org/10.3390/agriculture12091473
 
        








 
       