Osmopriming Combined with Boron-Tolerant Bacteria (Bacillus sp. MN54) Improved the Productivity of Desi Chickpea under Rainfed and Irrigated Conditions
Abstract
:1. Introduction
2. Materials and Methods
2.1. Experimental Site
2.2. Planting Material and Treatment Details
2.3. Crop Husbandry
2.4. Observations
2.4.1. Nodule Population
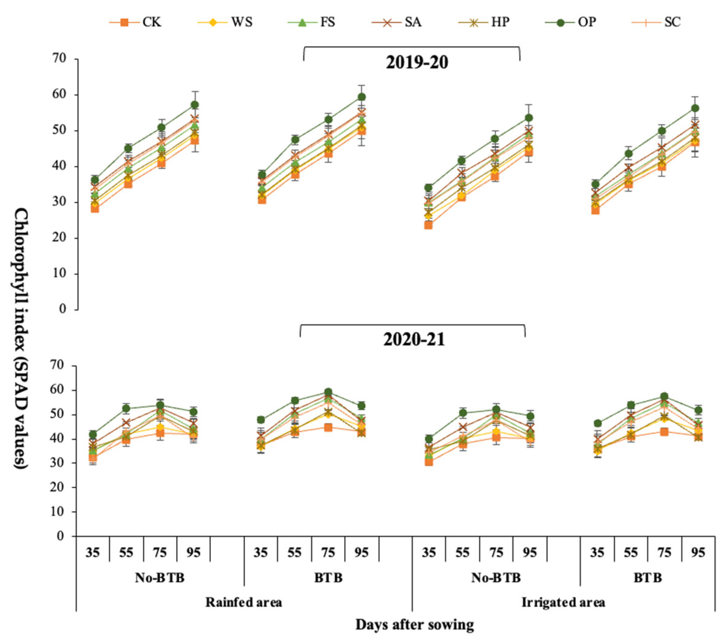
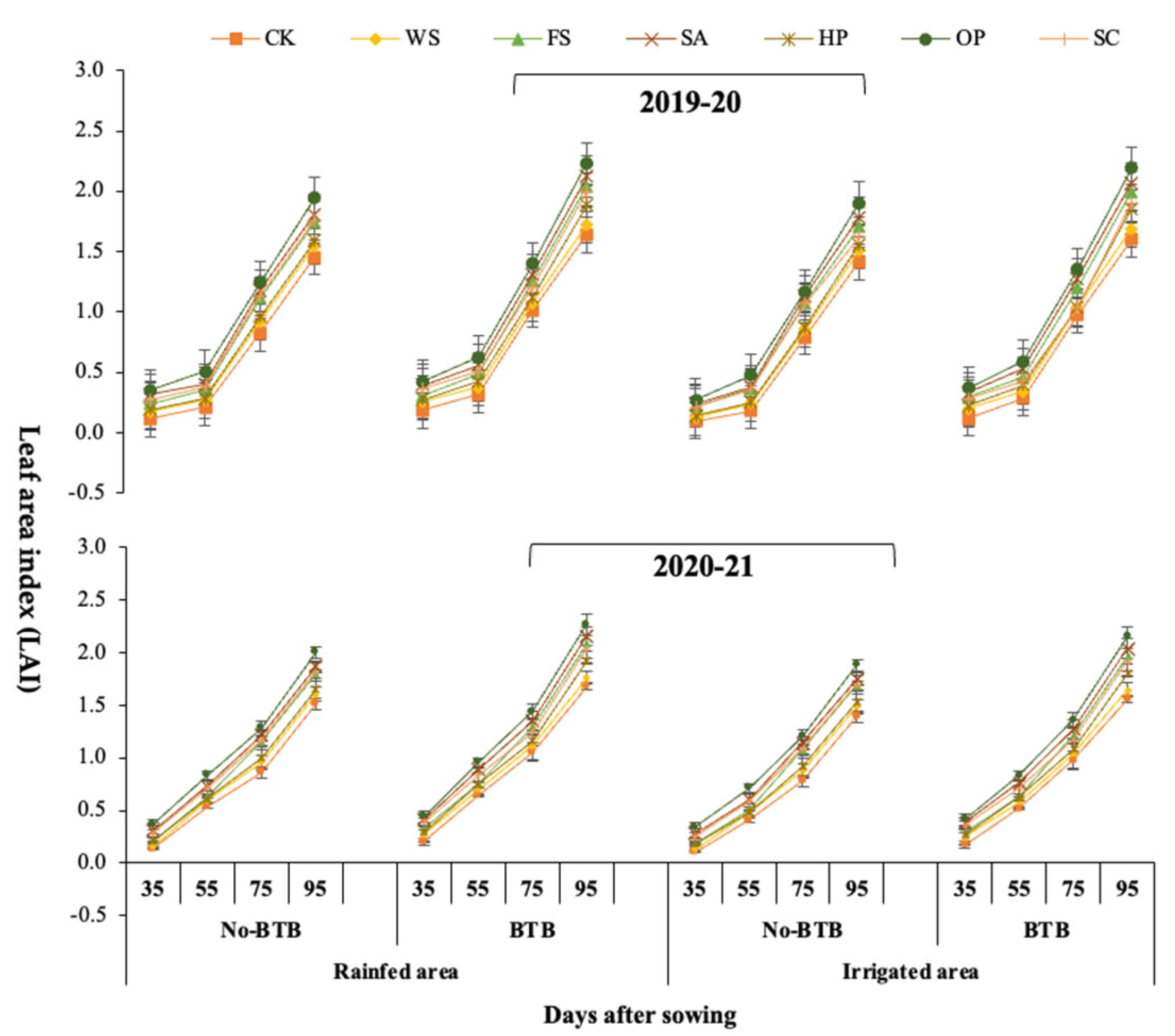
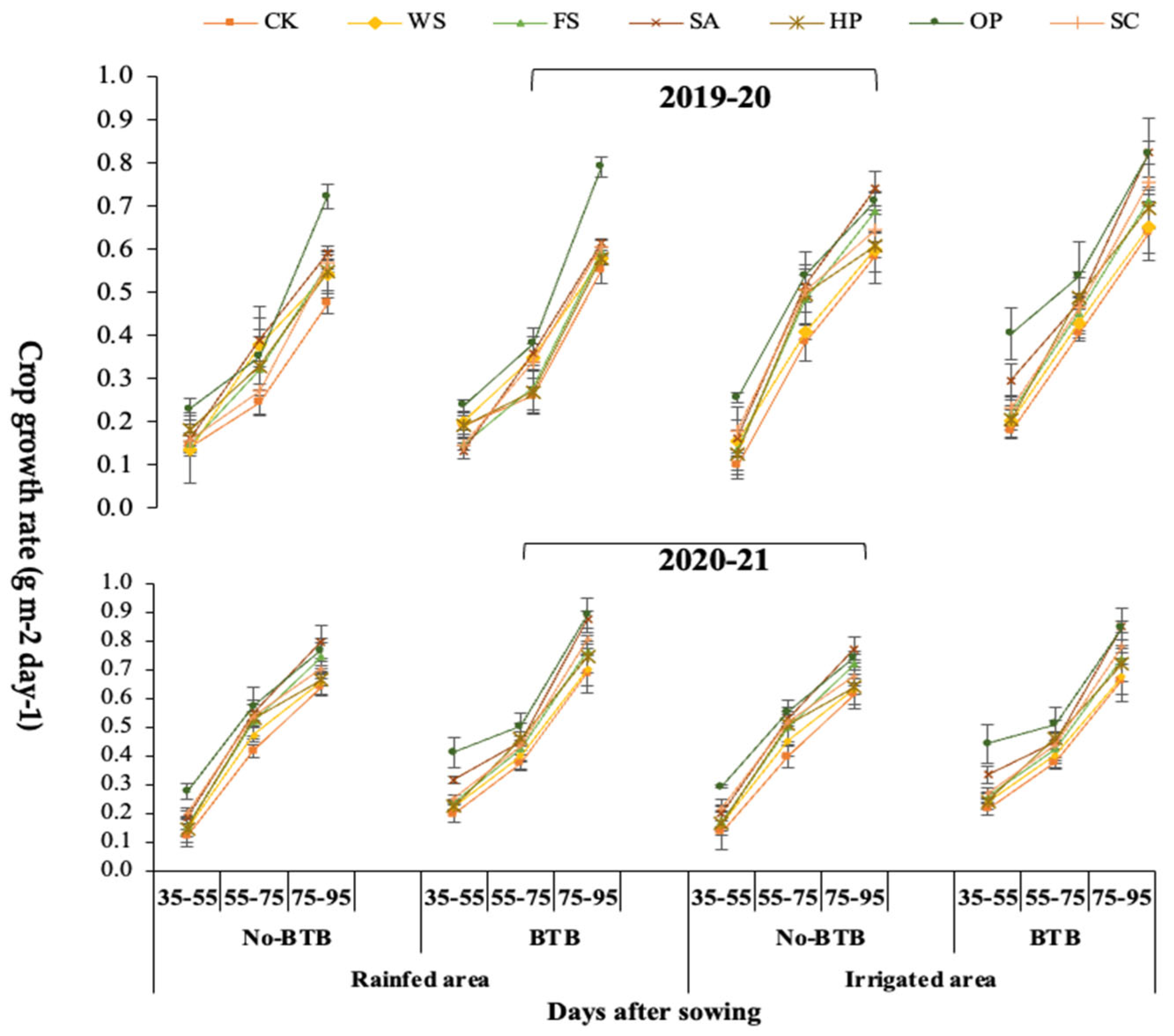
2.4.2. Allometric Traits
2.4.3. Yield and Related Traits
2.4.4. Grain Boron Analysis
2.5. Statistical and Economic Analysis
3. Results
3.1. Nodules’ Population
3.2. Allometric Traits
3.3. Yield and Related Traits
3.4. Economic Analysis
4. Discussion
5. Conclusions
Author Contributions
Funding
Institutional Review Board Statement
Informed Consent Statement
Data Availability Statement
Conflicts of Interest
References
- Kalsoom, M.; Rehman, F.U.; Shafique, T.; Junaid, S.; Khalid, N.; Adnan, M.; Zafar, I.; Tariq, M.A.; Raza, M.A.; Zahra, A. Biological importance of microbes in agriculture, food and pharmaceutical industry: A review. Innovare J. Life Sci. 2020, 8, 1–4. [Google Scholar] [CrossRef]
- Ghatas, M.; Khan, M.; Gorgey, A. Skeletal muscle stiffness as measured by magnetic resonance elastography after chronic spinal cord injury: A cross-sectional pilot study. Neural Regen. Res. 2021, 16, 2486. [Google Scholar] [CrossRef]
- Mekdad, A.A.A.; Rady, M.M. Response of Beta vulgaris L. to nitrogen and micronutrients in dry environment. Plant Soil Environ. 2016, 62, 23–29. [Google Scholar] [CrossRef] [Green Version]
- Nadeem, F.; Azhar, M.; Anwar-ul-Haq, M.; Sabir, M.; Samreen, T.; Tufail, A.; Awan, H.U.M.; Juan, W. Comparative Response of Two Rice (Oryza sativa L.) Cultivars to Applied Zinc and Manganese for Mitigation of Salt Stress. J. Soil Sci. Plant Nutr. 2020, 20, 2059–2072. [Google Scholar] [CrossRef]
- Zia, M.H.; Ahmad, R.; Khaliq, I.; Ahmad, A.; Irshad, M. Micronutrients status and management in orchards soils: Applied aspects. Soil Environ. 2006, 25, 6–16. [Google Scholar]
- Rashid, A.; Rafique, E. Boron deficiency diagnosis and management in field crops in calcareous soils of Pakistan: A mini review. Bor Derg. 2017, 2, 142–152. [Google Scholar]
- Goli, E.; Hiemstra, T.; Rahnemaie, R. Interaction of boron with humic acid and natural organic matter: Experiments and modeling. Chem. Geol. 2019, 515, 1–8. [Google Scholar] [CrossRef]
- Wu, X.; Riaz, M.; Yan, L.; Du, C.; Liu, Y.; Jiang, C. Boron Deficiency in Trifoliate Orange Induces Changes in Pectin Composition and Architecture of Components in Root Cell Walls. Front. Plant Sci. 2017, 8, 1882. [Google Scholar] [CrossRef] [Green Version]
- Vera, A.; Moreno, J.L.; García, C.; Morais, D.; Bastida, F. Boron in soil: The impacts on the biomass, composition and activity of the soil microbial community. Sci. Total Environ. 2019, 685, 564–573. [Google Scholar] [CrossRef]
- Souri, M.K.; Hatamian, M. Aminochelates in plant nutrition: A review. J. Plant Nutr. 2019, 42, 67–78. [Google Scholar] [CrossRef]
- Furlani, Â.M.C.; Carvalho, C.P.; de Freitas, J.G.; Verdial, M.F. Wheat cultivar tolerance to boron deficiency and toxicity in nutrient solution. Sci. Agric. 2003, 60, 359–370. [Google Scholar] [CrossRef]
- Tahir, M.; Tanveer, A.; Shah, T.H.; Fiaz, N.; Wasaya, A. Yield response of wheat (Triticum aestivum L.) to boron application at different growth stages. Pak. J. Life Soc. Sci 2009, 7, 39–42. [Google Scholar]
- Landi, M.; Margaritopoulou, T.; Papadakis, I.E.; Araniti, F. Boron toxicity in higher plants: An update. Planta 2019, 250, 1011–1032. [Google Scholar] [CrossRef] [Green Version]
- Landi, M.; Remorini, D.; Pardossi, A.; Guidi, L. Boron excess affects photosynthesis and antioxidant apparatus of greenhouse Cucurbita pepo and Cucumis sativus. J. Plant Res. 2013, 126, 775–786. [Google Scholar] [CrossRef]
- Shah, A.; Wu, X.; Ullah, A.; Fahad, S.; Muhammad, R.; Yan, L.; Jiang, C. Deficiency and toxicity of boron: Alterations in growth, oxidative damage and uptake by citrange orange plants. Ecotoxicol. Environ. Saf. 2017, 145, 575–582. [Google Scholar] [CrossRef]
- Papadakis, I.E.; Tsiantas, P.I.; Tsaniklidis, G.; Landi, M.; Psychoyou, M.; Fasseas, C. Changes in sugar metabolism associated to stem bark thickening partially assist young tissues of Eriobotrya japonica seedlings under boron stress. J. Plant Physiol. 2018, 231, 337–345. [Google Scholar] [CrossRef]
- GOP. Economic Survey of Pakistan; Economic Advisory Wing: Islamabad, Pakistan, 2021. [Google Scholar]
- Gaur, P.M.; Tripathi, S.; Gowda, C.L.L.; Ranga Rao, G.V.; Sharma, H.C.; Pande, S.; Sharma, M. Chickpea Seed Production Manual; ICRISAT: Hyderabad, India, 2010. [Google Scholar]
- Sadeghzadeh, B. A review of zinc nutrition and plant breeding. J. Soil Sci. Plant Nutr. 2013, 13, 905–927. [Google Scholar] [CrossRef] [Green Version]
- Mehboob, N.; Hussain, M.; Minhas, W.A.; Yasir, T.A.; Naveed, M.; Farooq, S.; Alfarraj, S.; Zuan, A.T.K. Soil-applied boron combined with boron-tolerant bacteria (Bacillus sp. mn54) improve root proliferation and nodulation, yield and agronomic grain biofortification of chickpea (Cicer arietinum L.). Sustainability 2021, 13, 9811. [Google Scholar] [CrossRef]
- Fageria, N.K.; Filho, M.P.B.; Moreira, A.; Guimarães, C.M. Foliar Fertilization of Crop Plants. J. Plant Nutr. 2009, 32, 1044–1064. [Google Scholar] [CrossRef]
- Sarakhsi, H.S.; Yarnia, M.; Amirniya, R. Effect of nitrogen foliar application in different concentration and growth stage of corn (Hybrid 704). Adv. Environ. Biol. 2010, 291–299. [Google Scholar]
- Saleem, M.A.; Tahir, M.; Ahmad, T.; Tahir, M.N. Foliar application of boron improved the yield and quality of wheat (Triticum aestivum L.) in a calcareous field. Soil Environ. 2020, 39, 59–66. [Google Scholar] [CrossRef]
- Farooq, M.; Wahid, A.; Siddique, K.H.M. Micronutrient application through seed treatments: A review. J. Soil Sci. Plant Nutr. 2012, 12, 125–142. [Google Scholar] [CrossRef]
- Rehman, A.; Farooq, M. Zinc seed coating improves the growth, grain yield and grain biofortification of bread wheat. Acta Physiol. Plant. 2016, 38, 238. [Google Scholar] [CrossRef]
- Hussain, M.; Mehboob, N.; Naveed, M.; Shehzadi, K.; Yasir, T.A. Optimizing boron seed coating level and boron-tolerant bacteria for improving yield and biofortification of chickpea. J. Soil Sci. Plant Nutr. 2020, 20, 2471–2478. [Google Scholar] [CrossRef]
- Rehman, A.; Farooq, M.; Ahmad, R.; Basra, S.M.A. Seed priming with zinc improves the germination and early seedling growth of wheat. Seed Sci. Technol. 2015, 43, 262–268. [Google Scholar] [CrossRef]
- Mehboob, N.; Minhas, W.A.; Nawaz, A.; Shahzad, M.; Ahmad, F.; Hussain, M. Surface Drying after Seed Priming Improves the Stand Establishment and Productivity of Maize than Seed Re-Drying. Int. J. Agric. Biol. 2018, 20, 1283–1288. [Google Scholar]
- Farooq, M.; Hussain, M.; Imran, M.; Ahmad, I.; Atif, M.; Alghamdi, S.S. Improving the productivity and profitability of late sown chickpea by seed priming. Int. J. Plant Prod. 2019, 13, 129–139. [Google Scholar] [CrossRef]
- Farooq, M.; Gogoi, N.; Hussain, M.; Barthakur, S.; Paul, S.; Bharadwaj, N.; Migdadi, H.M.; Alghamdi, S.S.; Siddique, K.H.M. Effects, tolerance mechanisms and management of salt stress in grain legumes. Plant Physiol. Biochem. 2017, 118, 199–217. [Google Scholar] [CrossRef]
- Farooq, M.; Hussain, M.; Habib, M.M.; Khan, M.S.; Ahmad, I.; Farooq, S.; Siddique, K.H.M. Influence of seed priming techniques on grain yield and economic returns of bread wheat planted at different spacings. Crop Pasture Sci. 2020, 71, 725–738. [Google Scholar] [CrossRef]
- Mehboob, N.; Minhas, W.A.; Naeem, M.; Yasir, T.A.; Naveed, M.; Farooq, S.; Hussain, M. Seed priming with boron and. Crop Pasture Sci. 2022, 73, 494–502. [Google Scholar] [CrossRef]
- Khan, M.I.; Afzal, M.J.; Bashir, S.; Naveed, M.; Anum, S.; Cheema, S.A.; Wakeel, A.; Sanaullah, M.; Ali, M.H.; Chen, Z. Improving nutrient uptake, growth, yield and protein content in chickpea by the co-addition of phosphorus fertilizers, organic manures, and bacillus sp. Mn-54. Agronomy 2021, 11, 436. [Google Scholar] [CrossRef]
- Abubakar, M.; Naveed, M.; Ahmad, Z.; Cheema, S.A.; Khan, A.S.; Park, H.Y.; Kwon, C.H. Ameliorative Effect of Bacillus sp. MN-54 and Organic Amendments Combination on Maize Plants Growth and Physiology Under Chromium Toxicity. J. Agric. Sci. 2020, 12, 39. [Google Scholar] [CrossRef]
- Naveed, M.; Mitter, B.; Yousaf, S.; Pastar, M.; Afzal, M.; Sessitsch, A. The endophyte Enterobacter sp. FD17: A maize growth enhancer selected based on rigorous testing of plant beneficial traits and colonization characteristics. Biol. Fertil. soils 2014, 50, 249–262. [Google Scholar] [CrossRef]
- Yang, A.; Akhtar, S.S.; Iqbal, S.; Amjad, M.; Naveed, M.; Zahir, Z.A.; Jacobsen, S.-E. Enhancing salt tolerance in quinoa by halotolerant bacterial inoculation. Funct. Plant Biol. 2016, 43, 632. [Google Scholar] [CrossRef]
- Samreen, T.; Zahir, Z.A.; Naveed, M.; Asghar, M. Boron tolerant phosphorus solubilizing Bacillus spp. MN-54 improved canola growth in alkaline calcareous soils. Int. J. Agric. Biol. 2019, 21, 538–546. [Google Scholar] [CrossRef]
- Watson, D.J. Comparative physiological studies on the growth of field crops: I. Variation in net assimilation rate and leaf area between species and varieties, and within and between years. Ann. Bot. 1947, 11, 41–76. [Google Scholar] [CrossRef]
- Hunt, R. Plant Growth Analysis; Institute of Terrestrial Ecology: Penicuik, UK, 1982; Volume 4, ISBN 090428266X. [Google Scholar]
- Chapman, O.L. Spectrometric Identification of Organic Compounds. J. Am. Chem. Soc. 1963, 85, 3316. [Google Scholar] [CrossRef]
- Steel, R.; Torrei, J.; Dickey, D. Principles and Procedures of Statistics A Biometrical Approach; McGraw-Hill: New York, NY, USA, 1997. [Google Scholar]
- Shahzad, M.; Hussain, M.; Farooq, M.; Farooq, S.; Jabran, K.; Nawaz, A. Economic assessment of conventional and conservation tillage practices in different wheat-based cropping systems of Punjab, Pakistan. Environ. Sci. Pollut. Res. 2017, 24, 24634–24643. [Google Scholar] [CrossRef]
- Khanam, R.; Arefin, M.S.; Haque, M.A.; Islam, M.R.; Jahiruddin, M. Effects of magnesium, boron, and molybdenum on the growth, yield and protein content of chickpea and lentil. Progress. Agric. 2000, 11, 77–80. [Google Scholar]
- Farooq, M.; Atique-ur-Rehman; Aziz, T.; Habib, M. Boron nutripriming improves the germination and early seedling growth of rice (Oryza sativa L.). J. Plant Nutr. 2011, 34, 1507–1515. [Google Scholar] [CrossRef]
- Quddus, M.; Hossain, M.; Naser, H.; Naher, N.; Khatun, F. Response of chickpea varieties to boron application in calcareous and terrace soils of Bangladesh. Bangladesh J. Agric. Res. 2018, 43, 543–556. [Google Scholar] [CrossRef]
- Farooq, M.; Barsa, S.M.A.; Wahid, A. Priming of field-sown rice seed enhances germination, seedling establishment, allometry and yield. Plant Growth Regul. 2006, 49, 285–294. [Google Scholar] [CrossRef]
- Wimmer, M.A.; Lochnit, G.; Bassil, E.; Mühling, K.H.; Goldbach, H.E. Membrane-associated, boron-interacting proteins isolated by boronate affinity chromatography. Plant cell Physiol. 2009, 50, 1292–1304. [Google Scholar] [CrossRef] [Green Version]
- Flores, R.A.; da Silva, R.G.; da Cunha, P.P.; Damin, V.; Abdala, K. de O.; Arruda, E.M.; Rodrigues, R.A.; Maranhão, D.D.C. Economic viability of Phaseolus vulgaris (BRS Estilo) production in irrigated system in a function of application of leaf boron. Acta Agric. Scand. Sect. B Soil Plant Sci. 2017, 67, 697–704. [Google Scholar] [CrossRef]
- Yamori, W.; Kondo, E.; Sugiura, D.; Terashima, I.; Suzuki, Y.; Makino, A. Enhanced leaf photosynthesis as a target to increase grain yield: Insights from transgenic rice lines with variable Rieske FeS protein content in the cytochrome b6/f complex. Plant. Cell Environ. 2016, 39, 80–87. [Google Scholar] [CrossRef]
- Ali, J.; Revilleza, J.E.; Frangi, N.J.; Acero, B. Leaf area index and grain yield of elite green super rice under stress conditions. Philipp. J. Crop Sci. 2016, 42, 22–23. [Google Scholar]
- Zhao, D.; Oosterhuis, D.M. Cotton growth and physiological responses to boron deficiency. J. Plant Nutr. 2003, 26, 855–867. [Google Scholar] [CrossRef]
- Bangarwa, S.K.; Norsworthy, J.K. Brassicaceae Cover-Crop Effects on Weed Management in Plasticulture Tomato. J. Crop Improv. 2014, 28, 145–158. [Google Scholar] [CrossRef]
- ur Rehman, H.; Iqbal, Q.; Farooq, M.; Wahid, A.; Afzal, I.; Basra, S.M.A. Sulphur application improves the growth, seed yield and oil quality of canola. Acta Physiol. Plant. 2013, 35, 2999–3006. [Google Scholar] [CrossRef]
- Ullah, A.; Farooq, M.; Hussain, M. Improving the productivity, profitability and grain quality of kabuli chickpea with co-application of zinc and endophyte bacteria Enterobacter sp. MN17. Arch. Agron. Soil Sci. 2020, 66, 897–912. [Google Scholar] [CrossRef]
- Dar, W.D. Macro-benefits from micronutrients for grey to green revolution in agriculture. In Proceedings of the IFA International Symposium on Micronutrients, New Delhi, India, 23–25 February 2004; pp. 1–13. [Google Scholar]
- Saxena, N.P.; Saxena, M.C.; Ruckenbauer, P.; Rana, R.S.; El-Fouly, M.M.; Shabana, R. Screening techniques and sources of tolerance to salinity and mineral nutrient imbalances in cool season food legumes. Euphytica 1993, 73, 85–93. [Google Scholar] [CrossRef]



| Soil Properties | 2019–2020 | 2020–2021 | ||
|---|---|---|---|---|
| Rainfed Area | Irrigated Area | Rainfed Area | Irrigated Area | |
| Soil texture | Sandy loam | Sandy loam | Sandy loam | Sandy loam |
| EC | 1.12 dS m−1 | 3.52 dS m−1 | 1.14 dS m−1 | 3.48 dS m−1 |
| pH | 7.35 | 8.00 | 7.50 | 8.20 |
| Saturation | 36.00% | 30.00% | 36.00% | 32.00% |
| Organic matter | 0.41% | 0.55% | 0.35% | 0.53% |
| Available phosphorous | 3.23 mg kg−1 | 5.43 mg kg−1 | 3.32 mg kg−1 | 4.92 mg kg−1 |
| Available potassium | 78 mg kg−1 | 132 mg kg−1 | 74 mg kg−1 | 134 mg kg−1 |
| Available nitrogen | 0.032% | 0.053% | 0.041% | 0.049% |
| Available boron | 0.32 mg kg−1 | 0.45 mg kg−1 | 0.35 mg kg−1 | 0.42 mg kg−1 |
| Variables | Y | S | B | I | Y × S | Y × B | Y × I | S × B | S × I | B × I | Y × S × B | Y × S × I | Y × B × I | S × B × I | Y × S × B × I |
|---|---|---|---|---|---|---|---|---|---|---|---|---|---|---|---|
| Nodule population | 0.0000 * | 0.0009 * | 0.0000 * | 0.0000 * | 0.0024 * | 0.0740 NS | 0.0248 * | 0.1118 NS | 0.0358 * | 0.1770 NS | 0.5980 NS | 0.2101 NS | 0.5498 NS | 0.9538 NS | 0.8909 NS |
| Number of pods per plant | 0.0000 * | 0.0000 * | 0.0000 * | 0.0000 * | 0.0084 * | 0.0448 * | 0.0040 * | 0.0000 * | 0.0019 * | 0.0001 * | 0.0448 * | 0.9040 NS | 0.9917 NS | 0.0000 * | 0.9917 NS |
| Number of grains per pod | 0.0000 * | 0.0000 * | 0.0000 * | 0.0000 * | 0.4902 NS | 0.6013 NS | 0.9738 NS | 0.6926 NS | 0.5763 NS | 0.1286 NS | 0.9422 NS | 0.9214 NS | 0.9499 NS | 0.9388 NS | 0.9769 NS |
| Number of grains per plant | 0.0000 * | 0.0000 * | 0.0000 * | 0.0000 * | 0.0000 * | 0.1407 NS | 0.7561 NS | 0.0001 * | 0.4804 NS | 0.0159 * | 0.0001 * | 0.2725 NS | 0.9262 NS | 0.0000 * | 0.7403 NS |
| 1000-grain weight (g) | 0.0000 * | 0.0000 * | 0.0000 * | 0.0000 * | 0.0000 * | 0.8217 NS | 0.4896 NS | 0.0000 * | 0.2835 NS | 0.0218 * | 0.8217 NS | 0.4896 NS | 0.8217 NS | 0.0000 * | 0.8217 NS |
| Grain yield (t ha−1) | 0.0000 * | 0.0000 * | 0.0000 * | 0.0000 * | 0.0000 * | 0.1392 NS | 0.0124 * | 0.0000 * | 0.0911 NS | 0.0006 * | 0.1392 NS | 0.9762 NS | 0.1392 NS | 0.0000 * | 0.1392 NS |
| Biological yield (t ha−1) | 0.0000 * | 0.0000 * | 0.0000 * | 0.0000 * | 0.0000 * | 0.8715 NS | 0.9936 NS | 0.0000 * | 0.0000 * | 0.0000 * | 0.8715 NS | 0.9936 NS | 0.9629 NS | 0.0000 * | 0.9629 NS |
| Harvest index (%) | 0.2466 NS | 0.0000 * | 0.0001 * | 0.0035 * | 0.0000 * | 0.2601 NS | 0.2476 NS | 0.0000 * | 0.0015 * | 0.0000 * | 0.6734 NS | 0.8382 NS | 0.9735 NS | 0.0000 * | 0.4769 NS |
| Grain B concentration (mg) | 0.0000 * | 0.0000 * | 0.0000 * | 0.0000 * | 0.0000 * | 0.0399 * | 0.0003 * | 0.1302 NS | 0.0091 * | 0.2548 NS | 0.6130 NS | 0.0801 NS | 0.2105 NS | 0.0001 * | 0.064 NS |
| Plant B concentration (mg) | 0.0000 * | 0.0000 * | 0.0000 * | 0.0000 * | 0.0000 * | 0.0615 NS | 0.0011 * | 0.0024 * | 0.0166 * | 0.3670 NS | 0.0003 * | 0.1120 NS | 0.0320 * | 0.7781 NS | 0.1054 NS |
| Nodule Population | Number of Pods per Plant | Number of Grains per Pod | Number of Grains per Plant | 1000-Grain Weight (g) | Grain Yield (t ha−1) | Biological Yield (t ha−1) | Harvest Index (%) | Grain B Concentration (mg) | Plant B Concentration (mg) | |
|---|---|---|---|---|---|---|---|---|---|---|
| Years | ||||||||||
| Y1 | 20.31 b | 31.94 b | 2.28 b | 75.48 b | 227.63 b | 2.41 b | 5.27 b | - | 40.24 b | 43.11 b |
| Y2 | 25.93 a | 34.31 a | 2.49 a | 95.84 a | 236.55 a | 2.60 a | 5.71 a | - | 48.39 a | 50.30 a |
| LSD 0.05 | 1.53 | 0.71 | 0.07 | 2.55 | 3.45 | 0.11 | 0.06 | - | 1.33 | 1.62 |
| Locations | ||||||||||
| S1 | 24.44 a | 34.36 a | 2.46 a | 94.94 a | 236.09 a | 2.46 b | 6.33 a | 39.17 b | 42.68 b | 48.82 a |
| S2 | 21.80 b | 31.89 b | 2.31 b | 76.38 b | 228.09 b | 2.55 a | 4.64 b | 54.88 a | 45.95 a | 44.60 b |
| LSD 0.05 | 1.54 | 0.75 | 0.10 | 2.87 | 4.21 | 0.07 | 0.12 | 0.54 | 1.76 | 2.13 |
| Bacterial inoculation | ||||||||||
| I1 | 26.21 a | 37.84 a | 2.54 a | 101.29 a | 239.24 a | 2.66 a | 5.80 a | 47.43 a | 47.81 a | 49.93 a |
| I2 | 20.02 b | 28.41 b | 2.23 b | 70.03 b | 224.94 b | 2.35 b | 5.18 b | 46.62 b | 40.82 b | 43.48 b |
| LSD 0.05 | 1.56 | 0.77 | 0.08 | 3.01 | 4.33 | 0.12 | 0.17 | 0.48 | 2.45 | 2.93 |
| Boron application methods | ||||||||||
| B1 | 15.38 e | 23.85 f | 1.90 e | 53.19 f | 216.28 g | 2.21 f | 4.73 e | 47.39 a | 20.37 e | 22.37 e |
| B2 | 15.71 e | 26.79 e | 2.07 d | 62.92 e | 223.04 e | 2.34 e | 4.99 d | 47.95 a | 19.95 e | 23.08 e |
| B3 | 23.25 c | 33.83 c | 2.51 b | 88.15 c | 235.33 c | 2.57 c | 5.57 c | 47.45 a | 69.80 a | 71.08 a |
| B4 | 29.46 b | 38.19 b | 2.63 b | 103.48 b | 243.89 b | 2.71 b | 5.96 b | 47.05 ab | 56.56 c | 59.00 c |
| B5 | 18.92 d | 29.94 d | 2.25 c | 73.81 d | 220.11 f | 2.35 e | 5.03 d | 47.52 a | 23.47 d | 26.88 d |
| B6 | 34.54 a | 45.51 a | 2.79 a | 129.78 a | 255.72 a | 2.88 a | 6.50 a | 46.25 bc | 63.49 b | 65.52 b |
| B7 | 24.58 c | 33.77 c | 2.55 b | 88.29 c | 230.26 d | 2.48 d | 5.62 c | 45.59 c | 56.56 c | 59.00 c |
| LSD 0.05 | 2.87 | 1.32 | 0.13 | 4.77 | 3.90 | 0.06 | 0.11 | 1.01 | 2.49 | 3.04 |
| Nodule Population | Number of Pods per Plant | Number of Grains per Plant | 1000-Grain Weight (g) | Grain Yield (t ha−1) | Biological Yield (t ha−1) | Harvest Index (%) | Grain B Concentration (mg) | Plant B Concentration (mg) | |
|---|---|---|---|---|---|---|---|---|---|
| Year × Location | |||||||||
| Y1S1 | 20.43 c | 32.86 b | 80.62 b | 230.09 b | 2.39 d | 6.01 b | 40.15 c | 40.36 c | 43.21 c |
| Y1S2 | 20.19 c | 31.02 c | 70.33 c | 225.18 c | 2.42 c | 4.53 d | 53.59 b | 40.12 c | 43.00 c |
| Y2S1 | 28.45 a | 35.86 a | 109.26 a | 242.09 a | 2.53 b | 6.66 a | 38.20 d | 44.99 b | 54.42 a |
| Y2S2 | 23.41 b | 32.77 b | 82.42 b | 231.00 b | 2.67 a | 4.76 c | 56.17 a | 51.78 a | 46.19 b |
| LSD 0.05 | 2.16 | 1.04 | 3.61 | 4.44 | 0.02 | 0.18 | 0.76 | 1.88 | 2.30 |
| Year × BTB inoculation | |||||||||
| Y1I1 | 24.29 b | 36.67 b | - | - | 2.55 b | - | - | 42.47 b | 44.96 b |
| Y1I2 | 16.33 c | 27.20 d | - | - | 2.26 d | - | - | 38.02 c | 41.25 c |
| Y2I1 | 28.14 a | 39.01 a | - | - | 2.77 a | - | - | 53.16 a | 54.91 a |
| Y2I2 | 23.71 b | 29.62 c | - | - | 2.44 c | - | - | 43.62 b | 45.70 b |
| LSD 0.05 | 2.18 | 1.09 | 0.19 | 2.91 | 2.54 | ||||
| Location × BTB inoculation | |||||||||
| S1I1 | 27.67 a | 39.64 a | - | - | - | 6.72 a | 39.14 c | 45.28 b | 53.04 a |
| S1I2 | 24.76 b | 29.07 c | - | - | - | 5.94 b | 39.21 c | 40.07 c | 44.59 bc |
| S2I1 | 21.21 c | 36.04 b | - | - | - | 4.88 c | 55.73 a | 50.34 a | 46.83 b |
| S2I2 | 18.83 d | 27.75 d | - | - | - | 4.41 d | 54.03 b | 41.56 c | 42.37 c |
| LSD 0.05 | 2.20 | 1.43 | 0.21 | 0.78 | 2.21 | 2.33 | |||
| Pods Plant−1 | Grains Plant−1 | 1000-Grain Weight (g) | Grain Yield (t ha−1) | Biological Yield (t ha−1) | Harvest Index (%) | Plant B Concentration (mg) | |
|---|---|---|---|---|---|---|---|
| Location × B application methods | |||||||
| S1B1 | 26.17 h | 66.82 i | 222.07 f | 2.13 j | 5.20 e | 41.04 c | 26.83 ef |
| S1B2 | 28.67 g | 76.10 h | 229.30 e | 2.24 i | 5.64 d | 39.71 cd | 26.94 de |
| S1B3 | 36.67 d | 99.77 d | 238.60 c | 2.53 e | 6.49 c | 39.08 d | 72.97 a |
| S1B4 | 39.83 c | 112.71 c | 249.60 b | 2.71 c | 6.99 b | 38.99 d | 58.99 c |
| S1B5 | 29.17 fg | 82.02 gh | 224.70 f | 2.32 h | 5.70 d | 40.88 c | 31.20 d |
| S1B6 | 47.00 a | 136.50 a | 260.80 a | 2.91 a | 7.80 a | 37.42 e | 65.84 b |
| S1B7 | 33.00 e | 90.66 ef | 227.55 e | 2.41 fg | 6.50 c | 37.09 e | 58.95 c |
| S2B1 | 21.53 i | 39.55 k | 210.49 h | 2.29 h | 4.25 h | 53.74 b | 17.91 h |
| S2B2 | 24.91 h | 49.73 j | 216.78 g | 2.45 f | 4.35 h | 56.19 a | 19.23 gh |
| S2B3 | 31.00 f | 76.54 h | 232.06 d | 2.60 d | 4.65 g | 55.82 a | 69.19 ab |
| S2B4 | 36.55 d | 94.24 de | 238.18 c | 2.71 c | 4.93 f | 55.11 ab | 59.00 c |
| S2B5 | 30.33 fg | 65.61 i | 215.53 g | 2.37 g | 4.37 h | 54.15 b | 22.57 fg |
| S2B6 | 44.02 b | 123.05 b | 250.65 b | 2.86 b | 5.21 e | 55.07 ab | 65.20 b |
| S2B7 | 34.53 e | 85.92 fg | 232.96 d | 2.56 de | 4.74 g | 54.08 b | 59.06 c |
| LSD 0.05 | 1.88 | 6.75 | 4.76 | 0.12 | 0.17 | 1.43 | 4.30 |
| BTB inoculation × B application methods | |||||||
| I1B1 | 27.03 i | 65.64 g | 223.24 g | 2.40 g | 4.91 h | 50.01 a | - |
| I1B2 | 30.33 g | 75.30 f | 229.64 f | 2.48 f | 5.16 g | 49.27 ab | - |
| I1B3 | 38.38 d | 102.73 d | 242.62 d | 2.73 c | 5.92 cd | 47.59 cde | - |
| I1B4 | 43.42 b | 118.60 b | 252.51 b | 2.84 b | 6.47 b | 45.29 fgh | - |
| I1B5 | 36.03 e | 93.61 e | 228.16 f | 2.52 f | 5.34 ef | 48.34 bcd | - |
| I1B6 | 50.26 a | 148.07 a | 263.09 a | 3.03 a | 7.01 a | 45.17 gh | - |
| I1B7 | 39.44 cd | 105.08 cd | 235.44 e | 2.63 d | 5.78 d | 46.35 efg | - |
| I2B1 | 20.67 k | 40.73 i | 209.33 j | 2.02 j | 4.55 j | 44.76 h | - |
| I2B2 | 23.24 j | 50.53 h | 216.44 h | 2.20 i | 4.82 hi | 46.63 ef | - |
| I2B3 | 29.29 gh | 73.58 f | 228.04 f | 2.40 g | 5.23 fg | 47.30 de | - |
| I2B4 | 32.97 f | 88.35 e | 235.27 e | 2.58 e | 5.45 e | 48.81 abc | - |
| I2B5 | 23.85 j | 54.01 h | 212.07 i | 2.17 i | 4.73 i | 46.69 ef | - |
| I2B6 | 40.76 c | 111.48 c | 248.36 c | 2.73 c | 6.00 c | 47.33 de | - |
| I2B7 | 28.09 hi | 71.50 fg | 225.07 g | 2.34 h | 5.46 e | 44.82 h | - |
| LSD 0.05 | 1.93 | 5.98 | 3.67 | 0.16 | 0.15 | 1.40 | |
| 2019–2020 | 2020–2021 | |||
|---|---|---|---|---|
| B Application Methods | Rainfed | Irrigated | Rainfed | Irrigated |
| Number of pods per plant | ||||
| Control (0.00) | 24.67 kl | 21.07 n | 27.67 ij | 22.00 mn |
| Water spray | 27.17 jk | 24.32 lm | 30.17 hi | 25.50 jkl |
| Foliar spray at 0.05% B | 35.17 fg | 30.66 h | 38.17 de | 31.33 h |
| Soil application | 38.33 de | 35.93 efg | 41.33 c | 37.17 ef |
| Hydropriming | 27.67 ij | 30.42 h | 30.67 h | 31.00 h |
| Osmopriming 0.001% B | 45.50 b | 39.98 cd | 48.50 a | 48.05 ab |
| Seed coating 1.5/kg seed | 31.50 h | 34.73 fg | 34.50 g | 34.33 g |
| LSD 0.05 | 9.55 | |||
| Number of grains per plant | ||||
| Control (0.00) | 45.38 no | 34.70 p | 88.27 ghi | 44.40 o |
| Water spray | 57.18 lm | 45.11 no | 95.02 efg | 54.35 mn |
| Foliar spray at 0.05% B | 88.28 ghi | 71.43 jk | 111.25 c | 81.65 hi |
| Soil application | 101.13 de | 87.67 ghi | 124.28 b | 100.82 de |
| Hydropriming | 65.05 kl | 64.27 kl | 98.98 def | 66.95 k |
| Osmopriming 0.001% B | 127.05 b | 107.88 cd | 145.95 a | 138.22 a |
| Seed coating 1.5/kg seed | 80.28 ij | 81.26 hi | 101.04 de | 90.58 fgh |
| LSD 0.05 | 10.12 | |||
| Plant B concentration | ||||
| Control (0.00) | 15.67 i | 17.66 hi | 38.00 g | 18.17 hi |
| Water spray | 19.45 hi | 19.26 hi | 34.43g | 19.19 hi |
| Foliar spray at 0.05% B | 71.91 ab | 65.92 bc | 74.02 a | 72.47 a |
| Soil application | 54.96 f | 56.53 ef | 63.03 cd | 61.48 cde |
| Hydropriming | 23.61 h | 22.73 h | 38.79 g | 22.41 h |
| Osmopriming 0.001% B | 60.09 cdef | 60.37 cdef | 71.59 ab | 70.04 ab |
| Seed coating 1.5/kg seed | 56.79 ef | 58.57 def | 61.10 cde | 59.55 def |
| LSD 0.05 | 6.09 | |||
| Rainfed | Irrigated | |||
|---|---|---|---|---|
| BTB | No BTB | BTB | No BTB | |
| Number of pods per plant | ||||
| Control (0.00) | 31.17 h | 21.17 mn | 22.90 lm | 20.17 n |
| Water spray | 34.83 g | 22.50 lmn | 25.83 jk | 23.98 kl |
| Foliar spray at 0.05% B | 42.17 bc | 31.17 h | 34.58 g | 27.41 ij |
| Soil application | 43.83 b | 35.83 fg | 43.00 b | 30.10 h |
| Hydropriming | 35.50 g | 22.83 lm | 36.55 efg | 24.87 jkl |
| Osmopriming 0.001% B | 50.83 a | 43.17 b | 49.68 a | 38.35 def |
| Seed coating 1.5/kg seed | 39.17 de | 26.83 ij | 39.72 cd | 29.35 hi |
| LSD 0.05 | 9.63 | |||
| Number of grains per plant | ||||
| Control (0.00) | 84.73 fg | 56.81 l | 48.92 kl | 32.55 m |
| Water spray | 93.78 ef | 89.87 jk | 58.42 jk | 42.65 l |
| Foliar spray at 0.05% B | 115.58 bc | 114.77 fg | 83.95 g | 63.20 ij |
| Soil application | 122.43 b | 84.50 bc | 102.98 de | 73.72 h |
| Hydropriming | 102.73 de | 145.41 fg | 61.30 ij | 46.72 l |
| Osmopriming 0.001% B | 150.73 a | 102.96 de | 122.27 b | 100.69 de |
| Seed coating 1.5/kg seed | 107.20 cd | 56.81 de | 74.12 h | 68.88 hi |
| LSD 0.05 | 9.55 | |||
| Plant B concentration | ||||
| Control (0.00) | 32.91 g | 20.76 hij | 20.53 hij | 15.29 j |
| Water spray | 32.57 g | 21.31 hij | 22.15 hi | 16.30 ij |
| Foliar spray at 0.05% B | 75.05 a | 70.88 ab | 71.12 ab | 67.26 bcd |
| Soil application | 63.78 cd | 54.20 f | 63.15 cd | 54.85 f |
| Hydropriming | 36.07 g | 26.33 h | 22.94 h | 22.20 hi |
| Osmopriming 0.001% B | 68.37 bc | 63.31 cd | 66.29 bcd | 64.11 cd |
| Seed coating 1.5/kg seed | 62.56 cde | 55.33 f | 61.58 de | 56.54 ef |
| LSD 0.05 | 6.21 | |||
| Treatments | Rainfed | Irrigated | Rainfed | Irrigated | ||||
| BTB | No BTB | BTB | No BTB | BTB | No BTB | BTB | No BTB | |
| 1000-Grain Weight (g) | Grain Yield (t ha−1) | |||||||
| Control (0.00) | 228.67 i | 215.47 m | 217.81 lm | 203.18 o | 2.25 k | 2.01 n | 2.55 h | 2.03 n |
| Water spray | 234.90 fg | 223.70 k | 224.38 jk | 209.18 n | 2.34 j | 2.13 m | 2.62 fg | 2.28 k |
| Foliar spray at 0.05% B | 245.73 d | 231.47 ghi | 239.51 e | 224.61 jk | 2.72 de | 2.35 j | 2.73 d | 2.46 i |
| Soil application | 258.43 bc | 240.77 e | 246.58 d | 229.78 hi | 2.84 c | 2.58 gh | 2.84 c | 2.59 gh |
| Hydropriming | 228.13 ij | 221.27 kl | 228.18 ij | 202.88 o | 2.48 i | 2.17 lm | 2.56 gh | 2.18 lm |
| Osmopriming 0.001% B | 266.77 a | 254.83 c | 259.41 b | 241.88 e | 3.07 a | 2.75 d | 3.00 b | 2.72 de |
| Seed coating 1.5/kg seed | 238.10 ef | 217.00 m | 232.78 gh | 233.15 gh | 2.59 gh | 2.23 kl | 2.67 ef | 2.45 i |
| LSD 0.05 | 5.12 | 0.06 | ||||||
| Biological yield (t ha−1) | Harvest index (%) | |||||||
| Control (0.00) | 5.48 gh | 4.92 i | 4.33 klm | 4.17 m | 41.09 hi | 40.99 hij | 58.93 a | 48.54 g |
| Water spray | 5.87 f | 5.41 gh | 4.46 jkl | 4.24 lm | 39.92 hijk | 39.49 hijk | 58.61 a | 53.76 def |
| Foliar spray at 0.05% B | 6.96 c | 6.03 ef | 4.88 i | 4.43 jkl | 39.17 ijkl | 38.99 jkl | 56.02 bc | 55.61 bcd |
| Soil application | 7.61 b | 6.37 d | 5.33 h | 4.54 jk | 37.34 lm | 40.63 hij | 53.24 ef | 56.99 ab |
| Hydropriming | 6.13 e | 5.27 h | 4.55 j | 4.18 m | 40.48 hijk | 41.29 h | 56.21 b | 52.09 f |
| Osmopriming 0.001% B | 8.46 a | 7.13 c | 5.55 g | 4.86 i | 36.28 mn | 38.56 kl | 54.06 cdef | 56.09 b |
| Seed coating 1.5/kg seed | 6.54 d | 6.47 d | 5.03 i | 4.45 jll | 39.68 hijk | 34.51 n | 53.03 f | 55.13 bcde |
| LSD 0.05 | 0.22 | 2.01 | ||||||
| Treatments | Rainfed Condition | Irrigated Condition | |||||||||||||||
|---|---|---|---|---|---|---|---|---|---|---|---|---|---|---|---|---|---|
| 2019–2020 | 2020–2021 | 2019–2020 | 2020–2021 | ||||||||||||||
| Total Cost (USD ha−1) | Gross Income (USD ha−1) | Net Income (USD ha−1) | BCR % | Total Cost (USD ha−1) | Gross Income (USD ha−1) | Net Benefit (USD ha−1) | BCR% | Total Cost (USD ha−1) | Gross Income (USD ha−1) | Net Benefit (USD ha−1) | BCR% | Total Cost (USD ha−1) | Gross Income (USD ha−1) | Net Benefit (USD ha−1) | BCR% | ||
| No-BTB | Control (0.00) | 695.40 | 1696.1 | 1000.7 | 2.4 | 722.66 | 1801.1 | 1078.4 | 2.5 | 710.8 | 1661.3 | 950.5 | 2.3 | 746.5 | 1861.4 | 1114.9 | 2.5 |
| Water spray | 703.11 | 1799.1 | 1095.9 | 2.6 | 739.60 | 1903.4 | 1163.8 | 2.6 | 727.8 | 1878.8 | 1151.0 | 2.6 | 763.5 | 2078.8 | 1315.4 | 2.7 | |
| Foliar spray | 738.54 | 1987.5 | 1249.0 | 2.7 | 823.25 | 2091.9 | 1268.6 | 2.5 | 811.4 | 2041.2 | 1229.8 | 2.5 | 847.1 | 2241.2 | 1394.1 | 2.6 | |
| Soil application | 744.71 | 2194.8 | 1450.1 | 2.9 | 872.55 | 2299.2 | 1426.6 | 2.6 | 860.7 | 2148.4 | 1287.7 | 2.5 | 896.4 | 2348.5 | 1452.1 | 2.6 | |
| Hydropriming | 704.65 | 1835.3 | 1130.6 | 2.6 | 731.90 | 1939.7 | 1207.8 | 2.7 | 720.1 | 1791.8 | 1071.8 | 2.5 | 755.8 | 1991.9 | 1236.1 | 2.6 | |
| Osmopriming | 728.20 | 2336.3 | 1608.1 | 3.2 | 772.40 | 2440.7 | 1668.3 | 3.2 | 760.6 | 2267.3 | 1506.7 | 3.0 | 796.3 | 2467.4 | 1671.1 | 3.1 | |
| Seed coating | 703.11 | 1885.7 | 1182.6 | 2.7 | 780.11 | 1990.1 | 1210.0 | 2.6 | 768.3 | 2032.5 | 1264.2 | 2.6 | 804.0 | 2232.5 | 1428.5 | 2.8 | |
| BTB | Control (0.00) | 701.64 | 1902.0 | 1200.3 | 2.7 | 728.89 | 2006.4 | 1277.5 | 2.8 | 717.0 | 2102.0 | 1385.0 | 2.9 | 752.8 | 2336.9 | 1584.1 | 3.1 |
| Water spray | 709.34 | 1981.7 | 1272.4 | 2.8 | 745.84 | 2086.1 | 1340.3 | 2.8 | 734.0 | 2157.1 | 1423.1 | 2.9 | 769.7 | 2392.0 | 1622.3 | 3.1 | |
| Foliar spray | 744.78 | 2313.7 | 1568.9 | 3.1 | 829.48 | 2418.1 | 1588.6 | 2.9 | 817.6 | 2258.6 | 1441.0 | 2.8 | 853.4 | 2493.5 | 1640.1 | 2.9 | |
| Soil application | 750.94 | 2415.2 | 1664.2 | 3.2 | 878.78 | 2519.5 | 1640.8 | 2.9 | 866.9 | 2348.5 | 1481.5 | 2.7 | 902.7 | 2583.3 | 1680.7 | 2.9 | |
| Hydropriming | 710.88 | 2100.6 | 1389.7 | 3.0 | 738.14 | 2205.0 | 1466.8 | 3.0 | 726.3 | 2107.8 | 1381.5 | 2.9 | 762.0 | 2342.7 | 1580.7 | 3.1 | |
| Osmopriming | 734.44 | 2493.5 | 1759.0 | 3.4 | 778.64 | 2847.2 | 2068.5 | 3.7 | 766.8 | 2490.6 | 1723.8 | 3.2 | 802.5 | 2725.4 | 1922.9 | 3.4 | |
| Seed coating | 709.34 | 2199.2 | 1489.8 | 3.1 | 786.34 | 2303.5 | 1517.2 | 2.9 | 774.5 | 2200.6 | 1426.1 | 2.8 | 810.2 | 2435.5 | 1625.2 | 3.0 | |
Publisher’s Note: MDPI stays neutral with regard to jurisdictional claims in published maps and institutional affiliations. |
© 2022 by the authors. Licensee MDPI, Basel, Switzerland. This article is an open access article distributed under the terms and conditions of the Creative Commons Attribution (CC BY) license (https://creativecommons.org/licenses/by/4.0/).
Share and Cite
Mehboob, N.; Yasir, T.A.; Hussain, S.; Farooq, S.; Naveed, M.; Hussain, M. Osmopriming Combined with Boron-Tolerant Bacteria (Bacillus sp. MN54) Improved the Productivity of Desi Chickpea under Rainfed and Irrigated Conditions. Agriculture 2022, 12, 1269. https://doi.org/10.3390/agriculture12081269
Mehboob N, Yasir TA, Hussain S, Farooq S, Naveed M, Hussain M. Osmopriming Combined with Boron-Tolerant Bacteria (Bacillus sp. MN54) Improved the Productivity of Desi Chickpea under Rainfed and Irrigated Conditions. Agriculture. 2022; 12(8):1269. https://doi.org/10.3390/agriculture12081269
Chicago/Turabian StyleMehboob, Noman, Tauqeer Ahmad Yasir, Shahid Hussain, Shahid Farooq, Muhammad Naveed, and Mubshar Hussain. 2022. "Osmopriming Combined with Boron-Tolerant Bacteria (Bacillus sp. MN54) Improved the Productivity of Desi Chickpea under Rainfed and Irrigated Conditions" Agriculture 12, no. 8: 1269. https://doi.org/10.3390/agriculture12081269
APA StyleMehboob, N., Yasir, T. A., Hussain, S., Farooq, S., Naveed, M., & Hussain, M. (2022). Osmopriming Combined with Boron-Tolerant Bacteria (Bacillus sp. MN54) Improved the Productivity of Desi Chickpea under Rainfed and Irrigated Conditions. Agriculture, 12(8), 1269. https://doi.org/10.3390/agriculture12081269

