Photochemical, Anatomical, and Growth Changes in Cassava Cultivars after Application of Post-Emergent Herbicides
Abstract
1. Introduction
2. Materials and Methods
3. Results
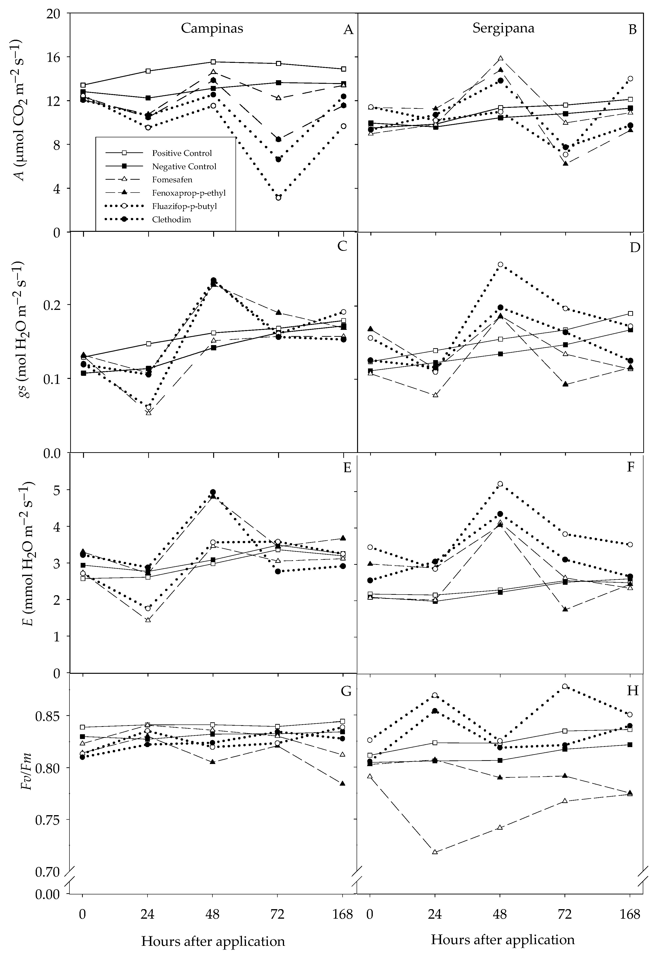
3.1. Physiological Parameters
3.2. Anatomical Parameters
3.3. Growth Parameters
4. Discussion
5. Conclusions
Supplementary Materials
Author Contributions
Funding
Institutional Review Board Statement
Informed Consent Statement
Data Availability Statement
Conflicts of Interest
References
- Narina, S.S.; Jasti, M.; Buyyarapu, R.; Bhattacharjee, R. Manihot. In Wild Crop Relatives: Genomic and Breeding Resources; Chittaranjan, K., Ed.; Springer: Berlin/Heidelberg, Germany, 2011; Volume 5, pp. 133–155. [Google Scholar]
- Leotard, G.; Duputié, A.; Kjellberg, F.; Douzery, E.J.; Debain, C.; Granville, J.J.; McKey, D. Phylogeography and the origin of cassava: New insights from the northern rim of the Amazonian basin. Mol. Phylogenet. Evol. 2009, 53, 329–334. [Google Scholar] [CrossRef]
- Herrera-Campo, B.V.; Hyman, G.; Belloti, A. Threats to cassava production: Known and potential geographic distribution of four key biotic constraints. Food Secur. 2011, 3, 329–345. [Google Scholar] [CrossRef]
- Tironi, L.F.; Uhlmann, L.O.; Streck, N.A.; Samboranha, F.K.; Freitas, C.P.O.; Silva, M.R. Performance of cassava cultivars in subtropical environment. Bragantia 2015, 74, 58–66. [Google Scholar] [CrossRef][Green Version]
- Cruz, J.L.; Coelho Filho, M.A.; Coelho, E.F.; Santos, A.A. Salinity reduces carbon assimilation and the harvest index of cassava plants (Manihot esculenta Crantz). Acta Sci. Agron. 2017, 39, 545–555. [Google Scholar] [CrossRef]
- Pereira, L.F.M.; Zanetti, S.; Silva, M.A. Water relations of cassava cultivated under water-deficit levels. Acta Physiol. Plant. 2018, 40, 13. [Google Scholar] [CrossRef]
- Santos, J.C.C.; Silva, D.M.R.; Amorim, D.J.; Rosa, V.R.; Santos, A.L.F.; Velini, E.D.; Carbonari, C.A.; Silva, M.A. Glyphosate hormesis attenuates water deficit stress in safflower (Carthamus tinctorius L.) by modulating physiological and biochemical mediators. Sci. Total Environ. 2022, 810, 152204. [Google Scholar] [CrossRef]
- Santos, J.C.C.; Silva, D.M.R.; Amorim, D.J.; Sab, M.P.; Silva, M.A. Glyphosate hormesis mitigates the effect of water deficit in safflower (Carthamus tinctorius L.). Pest Manag. Sci. 2021, 77, 6231. [Google Scholar] [CrossRef]
- Silva, D.V.; Santos, J.B.; Carvalho, F.P.; Ferreira, E.A.; França, A.C.; Fernandes, J.S.C.; Gandini, E.M.M.; Cunha, V.C. Selectivity of post-emergent herbicides for cassava crop. Planta Daninha 2012, 30, 835–841. [Google Scholar] [CrossRef]
- Santiago, A.D.; Cavalcante, M.H.B.; Braz, G.B.P.; Procopio, S.O. Efficacy and selectivity of herbicides applied in cassava pre-emergence. Rev. Caatinga 2018, 31, 640–650. [Google Scholar] [CrossRef]
- Biffe, D.F.; Constantin, J.; Oliveira, R.S., Jr.; Rios, F.A.; Franchini, L.H.M.; Gemelli, A.; Arantes, J.G.Z.; Raimondi, M.A.; Blainski, E. Evaluation of herbicides for two cassava cultivars. Planta Daninha 2010, 28, 807–816. [Google Scholar] [CrossRef][Green Version]
- Silva, D.V.; Silveira, H.M.; Ferreira, E.A.; Carvalho, F.P.; Castro Neto, M.D.; Silva, A.A. Physiological responses of cassava to application of the herbicides fluazifop-p-butil and fomesafen. Rev. Ceres 2014, 61, 178–183. [Google Scholar] [CrossRef][Green Version]
- Schwan-Stoffel, A.V.; Gavassoni, W.L.; Bacchi, L.M.A. The effect of herbicides on the germination of urediniospores of Phakopsora pachyrhizi Syd. & P. Syd. Arq. Inst. Biol. 2012, 79, 381–387. [Google Scholar]
- Silva, M.J. Manihot appanii (Euphorbiaceae s.s.). a new species from Brazil. and a key to the species with unlobed or very shortly lobed leaves. Syst. Bot. 2015, 40, 168–173. [Google Scholar] [CrossRef]
- Doupis, G.; Bosabalidis, A.M.; Patakas, A. Comparative effects of water deficit and enhanced UV-B radiation on photosynthetic capacity and leaf anatomy traits of two grapevines (Vitis vinifera L.) cultivars. Theor. Exp. Plant. Physiol. 2016, 28, 131–141. [Google Scholar] [CrossRef]
- Silva, M.J.; Inocencio, L.S.; Alonso, A.A. Manihot allemii sp. nov. (Euphorbiaceae s.s.) with entire and unlobed leaves from northern Brazil. with notes about foliar anatomy. Nordic J. Bot. 2016, 34, 134–140. [Google Scholar] [CrossRef]
- Gratani, L.; Varone, L.; Catoni, R. Relationship between net photosynthesis and leaf respiration in Mediterranean evergreen species. Photosynthetica 2008, 46, 567–573. [Google Scholar] [CrossRef]
- Herrera, A.; Escala, M.; Rengifo, E. Leaf anatomy changes related to physiological adaptations to flooding in Amazonian tree species. Braz. J. Plant Physiol. 2009, 21, 301–308. [Google Scholar] [CrossRef][Green Version]
- Pincelli-Souza, R.P.; Bortolheiro, F.P.A.P.; Carbonari, C.A.; Velini, E.D.; Silva, M.A. Hormetic effect of glyphosate persists during the entire growth period and increases sugarcane yield. Pest Manag. Sci. 2020, 76, 2388–2394. [Google Scholar] [CrossRef]
- Bianchini, E.; Corso, G.M. Effects of glyphosate on epicotyl anatomy. cotyledons. and limbus of primary leaves of Stizolobium aterrimum Piper et Tracy. Semin. Ciênc. Agrar. 1992, 13, 22–29. [Google Scholar]
- Silveira, H.M.; Ferreira, E.A.; Silva, D.V.; Neto, M.D.C.; Carvalho, F.P.; Santos, J.B.; Silva, A.A. Physiological characteristics of cassava cultivars after mesotrione application. Planta Daninha 2013, 31, 403–409. [Google Scholar] [CrossRef]
- Reichardt, K. Capacidade de campo. R. Bras. Ci. Solo. 1988, 12, 211–216. [Google Scholar]
- European Weed Research Council-EWRC. Report of the 3rd and 4th meetings of EWRC. Committee of Methods in Weed Research. Weed Res. 1964, 4, 88. [Google Scholar]
- Johansen, D.A. Plant Microtechnique; MacGraw-Hill: New York, NY, USA, 1940; p. 523. [Google Scholar]
- Ferreira, D.F. Sisvar: A Guide for its Bootstrap procedures in multiple comparisons. Ciênc. Agrotecnol. 2014, 38, 109–112. [Google Scholar] [CrossRef]
- EL-Sharkawy, M.A.; Cock, J.H.; Porto, M.C.M. Photosynthetic characteristics of cassava (Manihot esculenta Crantz). Rev. Bras. Fisiol. Veg. 1989, 1, 143–154. [Google Scholar]
- Kempenaar, C.; Lotz, L.A.P.; Snel, J.F.H.; Smutny, V.; Zhang, H.J. Preding herbicidal plant mortality photosynthesis meters. Weed Res. 2010, 5, 12–22. [Google Scholar]
- Vargas, L.; Silva, D.R.O.; Agostinetto, D.; Matallo, M.B.; Santos, F.M.; Almeida, S.D.B.; Chavarria, G.; Silva, D.F.P. Glyphosate influence on the physiological parameters of Conyza bonariensis biotypes. Planta Daninha 2014, 32, 151–159. [Google Scholar] [CrossRef][Green Version]
- Silva, D.V.; Santos, J.B.; Silveira, H.M.; Carvalho, F.P.; Castro Neto, M.D.; Ferreira, E.A.; Silva, A.A.; Cecon, P.R. Tolerance of cassava cultivars to herbicides fomesafen and fluazifop-p-butyl. Rev. Bras. Herb. 2011, 10, 219–231. [Google Scholar]
- Mihaljevic, I.; Lepedus, H.; Simic, D.; Vuletic, M.V.; Tomas, V.; Vukovic, D.; Dugalic, K.; Teklic, T.; Babojelic, M.S.; Zdunic, Z. Photochemical efficiency of photosystem II in two apple cultivars affected by elevated temperature and excesso light in vivo. S. Afr. J. Bot. 2020, 130, 316–326. [Google Scholar] [CrossRef]
- Silva, M.A.; Arantes, M.T.; Oliver, R.; Brunelli, M.C. Sugarcane tolerance to ratoon eradication with glyphosate determined by physiological responses. Planta Daninha 2014, 32, 207–214. [Google Scholar] [CrossRef][Green Version]
- Amarullah, I.D.; Yudono, P.; Dansunarminto, B.H. Photosynthetic activity of superior varieties and local cassava (Manihot esculenta Crantz). J. Agric. Sci. 2016, 8, 194–200. [Google Scholar] [CrossRef][Green Version]
- Aguiar, L.M.; Santos, J.B.; Costa, V.A.; Brito, L.A.; Ferreira, E.A.; Pereira, I.M.; Aspiazu, I. Herbicide tolerance and water use efficiency in forest species used in degraded areas recovery programs. Bosque 2016, 37, 493–500. [Google Scholar] [CrossRef]
- Figueiredo, P.A.M.; Ramos, S.B.; Viana, R.S.; Lisboa, L.A.M.; Heinrichs, R. Alterações morfoanatômicas foliares da cana-de-açúcar na fase de estabelecimento em condições de matocompetição. Planta Daninha 2013, 31, 777–784. [Google Scholar] [CrossRef]
- Ribeiro, M.N.O.; Carvalho, S.P.; Pereira, F.J.; Castro, E.M. Leaf anatomy of the cassava as related to potential for tolerance to different environmental conditions. Rev. Ciênc. Agron. 2012, 43, 354–361. [Google Scholar] [CrossRef]
- Costa, N.V.; Martins, D.; Rodella, R.A.; Rodrigues-Costa, A.C.P. Anatomical leaf changes in Eichhornia crassipes due to herbicides application. Planta Daninha 2011, 29, 17–23. [Google Scholar] [CrossRef]
- Costa, N.V.; Martins, D.; Rodella, R.A.; Rodrigues-Costa, A.C.P. Anatomic leaf changes in Brachiaria subquadripara submitted to herbicide application. Planta Daninha 2012, 30, 253–261. [Google Scholar] [CrossRef][Green Version]
- Marques, R.P.; Rodella, R.A.; Martins, D. Characteristics of the leaf anatomy of Surinam grass and Alexandergrass related to sensitivity to herbicides. Planta Daninha 2012, 30, 809–816. [Google Scholar] [CrossRef]
- Castro, E.M.; Pereira, F.J.; Paiva, R. Histologia Vegetal: Estrutura e Função dos Órgãos Vegetativos; Universidade Federal de Lavras: Lavras, Brazil, 2009; p. 234. [Google Scholar]
- Pereira, L.F.M.; Santos, H.L.; Zanetti, S.; Brito, I.A.O.; Tozin, L.R.S.; Rodrigues, T.M.; Silva, M.A. Morphology, biochemistry, and yield of cassava as functions of growth stage and water regime. S. Afr. J. Bot. 2022, 149, 222–239. [Google Scholar] [CrossRef]
- Pereira, Z.V.; Meira, R.M.S.A.; Azevedo, A.A. Leaf morpho-anatomy of Palicourea longepedunculata Gardiner (Rubiaceae). Rev. Árvore 2003, 27, 759–767. [Google Scholar] [CrossRef]
- Bianchini, E.; Corso, G.M. Effects of 2.4-D on epicotyl anatomy. cotyledons and primary leaves of Stizolobium aterrimim Piper et Tracy. Semin. Ciênc. Agrár. 1992, 13, 13–21. [Google Scholar]
- Kramer, P.J.; Boyer, J.S. Water Relations of Plants and Soil; Academic Press: Cambridge, MA, USA, 1995; pp. 42–83. [Google Scholar]
- Miranda, L.D.A.P.; Vitória, A.P.; Funcha, L.S. Leaf phenology and water potential of five arboreal species in gallery and montane forests in the Chapada Diamantina; Bahia; Brazil. Environ. Exp. Bot. 2011, 70, 143–150. [Google Scholar] [CrossRef]
- Galvani, J.; Rizzardi, M.A.; Scheffer-Basso, S. Morphophysiological aspects of ryegrass biotypes (Lolium multiflorum) sensitive and resistant to glyphosate. Planta Daninha 2011, 29, 1107–1112. [Google Scholar] [CrossRef][Green Version]
- Barroso, A.A.M.; Galeano, E.; Albrecht, A.J.P.; Reis, F.C.; Victoria Filho, R. Does sourgrass leaf anatomy influence glyphosate resistance? Comun. Sci. 2015, 6, 445–453. [Google Scholar] [CrossRef]




| Campinas | ||||||||||
| Treatments | *Midrib | |||||||||
| ADE [µm] | ADC [µm] | XY [µm2] | PH [µm2] | ABC [µm] | ABE [µm] | Total [µm] | ||||
| Positive Control | 20.75 a | 162.22 a | 1022.72 d | 624.71 a | 88.20 a | 17.68 ab | 1545.46 d | |||
| Negative Control | 15.97 b | 162.16 a | 976.57 d | 611.04 a | 85.93 a | 13.52 c | 1479.46 d | |||
| Fomesafen | 12.68 b | 104.82 c | 2272.26 a | 233.90 d | 44.19 c | 14.24 c | 3072.90 a | |||
| Fenoxaprop-p-ethyl | 12.08 b | 90.30 d | 2247.61 a | 225.30 d | 52.99 b | 13.00 c | 3027.02 a | |||
| Fluazifop-p-butyl | 21.43 a | 153.39 b | 1185.15 c | 380.75 c | 85.75 a | 18.21 a | 1844.50 c | |||
| Clethodim | 21.18 a | 153.56 b | 1332.07 b | 513.79 b | 49.48 bc | 15.15 bc | 2085.22 b | |||
| Treatments | *Mesophyll | |||||||||
| ADE [µm] | PP [µm] | SP [µm] | ABE [µm] | Total [µm] | ||||||
| Positive Control | 19.07 a | 82.37 a | 56.45 a | 16.99 b | 174.87 a | |||||
| Negative Control | 13.50 c | 80.25 a | 45.88 b | 17.75 b | 157.38 b | |||||
| Fomesafen | 11.74 c | 53.23 b | 36.17 b | 16.88 b | 118.01 c | |||||
| Fenoxaprop-p-ethyl | 13.56 bc | 54.12 b | 43.48 b | 18.62 b | 129.79 c | |||||
| Fluazifop-p-butyl | 16.96 a | 79.12 a | 61.93 a | 26.99 a | 185.00 a | |||||
| Clethodim | 16.62 ab | 83.98 a | 61.17 a | 17.59 b | 179.36 a | |||||
| Sergipana | ||||||||||
| Treatments | *Midrib | |||||||||
| ADE [µm] | ADC [µm] | XY [µm2] | PH [µm2] | ABC [µm] | ABE [µm] | Total [µm] | ||||
| Positive Control | 19.00 ab | 149.11 a | 2457.36 b | 656.54 c | 68.99 c | 16.90 ab | 3367.90 b | |||
| Negative Control | 15.72 c | 138.38 a | 2005.13 c | 642.52 c | 73.38 bc | 14.50 bc | 2889.65 c | |||
| Fomesafen | 15.31 c | 148.84 a | 897.74 e | 947.51 b | 44.11 d | 14.82 bc | 2017.91 d | |||
| Fenoxaprop-p-ethyl | 17.33 bc | 98.42 c | 1044.35 e | 980.33 a | 48.10 d | 11.30 d | 2250.26 d | |||
| Fluazifop-p-butyl | 21.71 a | 141.17 a | 1623.04 d | 356.12 d | 85.66 a | 14.30 c | 2241.99 d | |||
| Clethodim | 19.49 ab | 116.91 b | 2891.85 a | 653.10 c | 80.73 ab | 17.42 a | 3779.52 a | |||
| Treatments | *Mesophyll | |||||||||
| ADE [µm] | PP [µm] | SP [µm] | ABE [µm] | Total [µm] | ||||||
| Positive Control | 18.86 a | 91.23 a | 78.25 a | 21.54 abc | 209.88 a | |||||
| Negative Control | 17.07 ab | 86.85 a | 74.76 a | 16.56 c | 195.25 a | |||||
| Fomesafen | 15.66 b | 56.50 b | 50.00 bc | 22.50 ab | 144.66 c | |||||
| Fenoxaprop-p-ethyl | 14.50 b | 52.00 b | 43.25 c | 25.37 a | 135.12 c | |||||
| Fluazifop-p-butyl | 14.60 b | 86.44 a | 56.98 b | 18.07 bc | 176.09 b | |||||
| Clethodim | 19.59 a | 86.50 a | 73.45 a | 19.78 bc | 199.32 a | |||||
| Cultivars | ||||||||
| Campinas | Sergipana | Campinas | Sergipana | Campinas | Sergipana | Campinas | Sergipana | |
| Treatments | PL (cm) | SD (mm) | NL | LA (cm²) | ||||
| Positive Control | 13.00 a A | 7.67 a B | 5.77 a A | 3.17 a B | 21.33 a A | 21.00 a A | 1463.61 a A | 1039.23 a B |
| Negative Control | 9.00 b A | 6.00 ab B | 3.23 c A | 3.60 a A | 8.00 c B | 10.67 bc A | 316.81 de A | 314.03 c A |
| Fomesafen | 9.17 b A | 5.00 b B | 4.47 b A | 3.53 a B | 8.33 c A | 7.67 c A | 235.94 e A | 108.56 d B |
| Fenoxaprop-p-ethyl | 9.50 b A | 6.67 ab B | 3.23 c B | 4.17 a A | 16.00 b A | 11.67 b B | 360.97 cd A | 353.14 c A |
| Fluazifop-p-butyl | 11.67 a A | 7.66 a B | 4.90 ab A | 3.23 a B | 18.67 ab B | 21.67 a A | 1094.97 b A | 835.55 b B |
| Clethodim | 8.33 b A | 6.67 ab B | 4.23 bc A | 4.13 a A | 10.50 c A | 11.00 b A | 428.61 c A | 394.63 c A |
Publisher’s Note: MDPI stays neutral with regard to jurisdictional claims in published maps and institutional affiliations. |
© 2022 by the authors. Licensee MDPI, Basel, Switzerland. This article is an open access article distributed under the terms and conditions of the Creative Commons Attribution (CC BY) license (https://creativecommons.org/licenses/by/4.0/).
Share and Cite
dos Santos, J.C.C.; Costa, R.N.; Silva, D.M.R.; da Rocha, D.F.; dos Santos Silva, L.K.; da Silva, R.M.; de Almeida Silva, M.; da Silva Júnior Pavão, J.M.; Silva, J.V. Photochemical, Anatomical, and Growth Changes in Cassava Cultivars after Application of Post-Emergent Herbicides. Agriculture 2022, 12, 950. https://doi.org/10.3390/agriculture12070950
dos Santos JCC, Costa RN, Silva DMR, da Rocha DF, dos Santos Silva LK, da Silva RM, de Almeida Silva M, da Silva Júnior Pavão JM, Silva JV. Photochemical, Anatomical, and Growth Changes in Cassava Cultivars after Application of Post-Emergent Herbicides. Agriculture. 2022; 12(7):950. https://doi.org/10.3390/agriculture12070950
Chicago/Turabian Styledos Santos, Jania Claudia Camilo, Renato Nunes Costa, Dayane Mércia Ribeiro Silva, Dougllas Ferreira da Rocha, Lennon Klédson dos Santos Silva, Rudieli Machado da Silva, Marcelo de Almeida Silva, Jessé Marques da Silva Júnior Pavão, and José Vieira Silva. 2022. "Photochemical, Anatomical, and Growth Changes in Cassava Cultivars after Application of Post-Emergent Herbicides" Agriculture 12, no. 7: 950. https://doi.org/10.3390/agriculture12070950
APA Styledos Santos, J. C. C., Costa, R. N., Silva, D. M. R., da Rocha, D. F., dos Santos Silva, L. K., da Silva, R. M., de Almeida Silva, M., da Silva Júnior Pavão, J. M., & Silva, J. V. (2022). Photochemical, Anatomical, and Growth Changes in Cassava Cultivars after Application of Post-Emergent Herbicides. Agriculture, 12(7), 950. https://doi.org/10.3390/agriculture12070950

