Potato Late Blight Severity and Epidemic Period Prediction Based on Vis/NIR Spectroscopy
Abstract
:1. Introduction
2. Materials and Methods
2.1. Leaf Samples
2.2. Data Acquisition and Division
2.2.1. Spectra Collection
2.2.2. Measurements of Physicochemical Values
2.2.3. Disease Classification
2.2.4. Datasets
2.3. Pre-treatment of Spectral Data
2.4. Dimensional Reduction in Spectral Data
2.4.1. Feature Extraction
2.4.2. Feature Selection
2.5. Partial Least Squares Regression
2.6. Machine Learning Algorithms
2.7. Double Factor Variance Analysis
3. Results and Discussion
3.1. Response of Spectral Reflectance and Physicochemical Values at Different Disease Stages
3.1.1. Analysis of Spectral Curve Characteristics
3.1.2. Analysis of the Changes in Physicochemical Values
3.2. Optimal Pre-Processing Method
3.2.1. Pre-Processing Method for Spectral Reflectance-Based Classification Models
3.2.2. Pre-Processing Methods for Predictive Models of Physicochemical Values
3.3. Effective Spectral Features
3.3.1. Wavelength Extraction
3.3.2. Wavelength Selection
3.4. Classification Performance
3.5. Epidemic Period Prediction Based on Physicochemical Values
4. Conclusions
- (1)
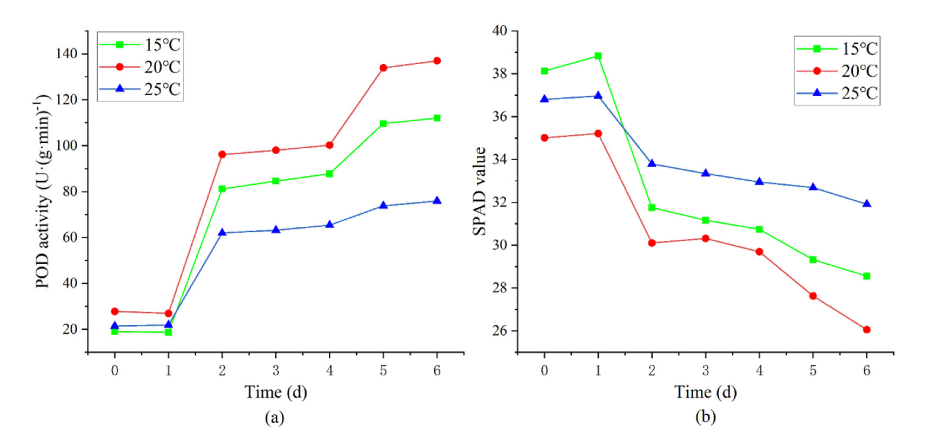
- The spectral reflectance and physicochemical values varied with the development of disease. The mean reflectance decreased, the POD activity decreased slightly and then increased significantly, and the SPAD value rose marginally and then declined continuously. It demonstrates that the changes in reflectance and physicochemical values can reflect the disease level.
- (2)
- For the reflectance-based classification model, it is most essential to choose the dimensional reduction method, followed by the classification method. In this case the established MF–LDA–SVM classification model had the best classification performance with an accuracy of 99%.
- (3)
- A high-performing prediction model is a prerequisite for classifying the severity of disease based on physicochemical values. MF for pre-treatment combined with Frog for wavelength selection improved the predictability of POD activity. SG for pre-treatment combined with CARS for wavelength selection led to much better prediction of SPAD values. The grading using GBDT based on the predicted physicochemical values was 95% accurate. In addition, there were significant differences in reflectance at sensitive wavelengths extremely relevant to both physicochemical values under different levels of disease stress. This indicates the feasibility of rapid non-destructive determination of physicochemical values based on Vis/NIR spectroscopy for potato late blight disease classification.
- (4)
- Temperature and time are important factors that influence the changes in physicochemical values. The Rp2 of the fitted regression models based on these two factors for POD activity and SPAD value were 0.997 and 0.961, respectively. The final prediction of epidemic period was achieved by combining regression and classification models based on physicochemical values with an accuracy of 88.5%.
Author Contributions
Funding
Institutional Review Board Statement
Informed Consent Statement
Data Availability Statement
Conflicts of Interest
References
- Boivin, M.; Bourdeau, N.; Barnabé, S.; Desgagné-Penix, I. Sprout Suppressive Molecules Effective on Potato (Solanum tuberosum) Tubers during Storage: A Review. Am. J. Potato Res. 2020, 97, 451–463. [Google Scholar] [CrossRef]
- Zhang, H.; Xu, F.; Wu, Y.; Hu, H.-H.; Dai, X.-F. Progress of potato staple food research and industry development in China. J. Integr. Agric. 2017, 16, 2924–2932. [Google Scholar] [CrossRef]
- Majeed, A.; Muhammad, Z.; Ullah, Z.; Ullah, R.; Ahmad, H. Late Blight of Potato (Phytophthora infestans) I: Fungicides Application and Associated Challenges. Turk. J. Agric. Food Sci. Technol. 2017, 5, 261–266. [Google Scholar] [CrossRef] [Green Version]
- Perez, W.; Forbes, G.A. Potato Late Blight: Technical Manual; International Potato Center: Lima, Peru, 2010; Available online: http://www.cipotato.org/publications/pdf/005446.pdf (accessed on 28 April 2016).
- Campos, H.; Ortiz, O. The Potato Crop: Its Agricultural, Nutritional and Social Contribution to Humkanhkind; Springer: New York, NY, USA, 2020. [Google Scholar] [CrossRef] [Green Version]
- Khaled, A.Y.; Abd Aziz, S.; Bejo, S.K.; Nawi, N.M.; Seman, I.A.; Onwude, D.I. Early detection of diseases in plant tissue using spectroscopy—Applications and limitations. Appl. Spectrosc. Rev. 2017, 53, 36–64. [Google Scholar] [CrossRef]
- Ali, M.M.; Bachik, N.A.; Muhadi, N.; Yusof, T.N.T.; Gomes, C. Non-destructive techniques of detecting plant diseases: A review. Physiol. Mol. Plant Pathol. 2019, 108, 101426. [Google Scholar] [CrossRef]
- Zahir, S.A.D.M.; Omar, A.F.; Jamlos, M.F.; Azmi, M.A.M.; Muncan, J. A review of visible and near-infrared (Vis-NIR) spectroscopy application in plant stress detection. Sens. Actuators A Phys. 2022, 338, 113468. [Google Scholar] [CrossRef]
- Xie, Y.P.; Chen, F.N.; Zhang, J.C.; Zhou, B.; Wu, K.H. Study on monitoring of common diseases of crops based on hyper-spectral technology. Spectrosc. Spectr. Anal. 2018, 38, 2233–2240. [Google Scholar] [CrossRef]
- Mora-Romero, G.A.; Félix-Gastélum, R.; Bomberger, R.A.; Romero-Urías, C.; Tanaka, K. Common potato disease symptoms: Ambiguity of symptom-based identification of causal pathogens and value of on-site molecular diagnostics. J. Gen. Plant Pathol. 2022, 88, 89–104. [Google Scholar] [CrossRef]
- Zhang, D.R.; Fang, H.; He, Y. Research of crop disease based on visible/near infrared spectral image technology: A review. Spectrosc. Spectr. Anal. 2019, 39, 1748–1756. [Google Scholar] [CrossRef]
- Duarte-Carvajalino, J.M.; Alzate, D.F.; Ramirez, A.A.; Santa-Sepulveda, J.D.; Fajardo-Rojas, A.E.; Soto-Suárez, M. Evaluating Late Blight Severity in Potato Crops Using Unmanned Aerial Vehicles and Machine Learning Algorithms. Remote Sens. 2018, 10, 1513. [Google Scholar] [CrossRef] [Green Version]
- Rodríguez, J.; Lizarazo, I.; Prieto, F.; Angulo-Morales, V. Assessment of potato late blight from UAV-based multispectral imagery. Comput. Electron. Agric. 2021, 184, 1513. [Google Scholar] [CrossRef]
- Huang, T.; Li, X.-Y.; Xu, M.-L.; Jin, R.; Ku, J.; Xu, S.-M.; Wu, Z.-Z.; Huang, T.; Li, X.Y.; Xu, M.L.; et al. Non-destructive detection research for hollow heart of potato based on semi-transmission hyperspectral imaging and svm. Spectrosc. Spectr. Anal. 2015, 35, 198–202. [Google Scholar] [CrossRef]
- Griffel, L.; Delparte, D.; Edwards, J. Using Support Vector Machines classification to differentiate spectral signatures of potato plants infected with Potato Virus Y. Comput. Electron. Agric. 2018, 153, 318–324. [Google Scholar] [CrossRef]
- Atherton, D.; Watson, D.G.; Zhang, M.; Qin, Z.; Liu, X. Hyperspectral Spectroscopy for Detection of Early Blight (Alternaria solani) Disease in Potato (Solanum tuberosum) Plants at Two Different Growth Stages. In Proceedings of the ASABE Annual International Meeting, New Orleans, LA, USA, 26–29 July 2015. [Google Scholar] [CrossRef]
- Garhwal, A.S.; Pullanagari, R.R.; Li, M.; Reis, M.M.; Archer, R. Hyperspectral imaging for identification of Zebra Chip disease in potatoes. Biosyst. Eng. 2020, 197, 306–317. [Google Scholar] [CrossRef]
- Han, Y.F.; Cheng-xu, L.; Yuan, Y.W.; Yang, B.N.; Zhao, Q.L.; Cao, Y.F.; Yin, X.Q. PLS-Discriminant Analysis on Potato Blackheart Disease Based on VIS-NIR Transmission Spectroscopy. Spectrosc. Spectr. Anal. 2021, 41, 1213–1219. [Google Scholar] [CrossRef]
- Agarwal, A.; Gupta, S.D. Assessment of spinach seedling health status and chlorophyll content by multivariate data analysis and multiple linear regression of leaf image features. Comput. Electron. Agric. 2018, 152, 281–289. [Google Scholar] [CrossRef]
- Rakib, M.; Borhan, A.; Jawahir, A. The relationship between SPAD chlorophyll and disease severity index in Ganoderma-infected oil palm seedlings. J. Bangladesh Agric. Univ. 2019, 17, 355–358. [Google Scholar] [CrossRef] [Green Version]
- Minaeva, O.M.; Akimova, E.E.; Tereshchenko, N.N.; Zyubanova, T.I.; Apenysheva, M.V.; Kravets, A.V. Effect of Pseudomonas Bacteria on Peroxidase Activity in Wheat Plants when Infected with Bipolaris sorokiniana. Russ. J. Plant Physiol. 2018, 65, 717–725. [Google Scholar] [CrossRef]
- Ban, S.; Tian, M.; Chang, Q. Estimating the severity of apple mosaic disease with hyperspectral images. Int. J. Agric. Biol. Eng. 2019, 12, 148–153. [Google Scholar] [CrossRef]
- Li, Q.; Hu, Y. Kinetic models of peroxidase activity in potato leaves infected with late blight based on hyperspectral data. Int. J. Agric. Biol. Eng. 2019, 12, 160–165. [Google Scholar] [CrossRef] [Green Version]
- Kang, L.; Gao, R.; Kong, Q.M.; Jia, Y.J.; Shi, Y.B.; Su, Z.B. Estimation of SPAD VaIue of rice Ieaves based on hyperspectraI image (Agarwal and Dutta Gupta). J. Northeast Agric. Univ. 2020, 51, 89–96. [Google Scholar] [CrossRef]
- Kong, W.; Liu, F.; Zhang, C.; Bao, Y.; Yu, J.; He, Y. Fast detection of peroxidase (POD) activity in tomato leaves which infected with Botrytis cinerea using hyperspectral imaging. Spectrochim. Acta Part A Mol. Biomol. Spectrosc. 2014, 118, 498–502. [Google Scholar] [CrossRef] [PubMed]
- Cheng, F.; Zhao, Y.R.; Yu, K.Q.; Lou, B.G.; He, Y. Application of Hyper-Spectra for Detecting Peroxidase Content in Cucumber Leaves with Early Disease Stress. Spectrosc. Spectr. Anal. 2017, 37, 1861–1865. [Google Scholar] [CrossRef]
- Sha, W.; Razukas, A. Potato cultivars susceptibility to potato late blight (Phytopthtora infestans). Appl. Ecol. Environ. Res. 2008, 6, 95–106. [Google Scholar] [CrossRef]
- Nawar, S.; Mouazen, A.M. Optimal sample selection for measurement of soil organic carbon using on-line vis-NIR spectroscopy. Comput. Electron. Agric. 2018, 151, 469–477. [Google Scholar] [CrossRef]
- Pasquini, C. Near infrared spectroscopy: A mature analytical technique with new perspectives—A review. Anal. Chim. Acta 2018, 1026, 8–36. [Google Scholar] [CrossRef]
- Khulal, U.; Zhao, J.; Hu, W.; Chen, Q. Nondestructive quantifying total volatile basic nitrogen (TVB-N) content in chicken using hyperspectral imaging (HSI) technique combined with different data dimension reduction algorithms. Food Chem. 2016, 197 Pt B, 1191–1199. [Google Scholar] [CrossRef]
- Qi, Z.; Wu, X.; Yang, Y.; Wu, B.; Fu, H. Discrimination of the Red Jujube Varieties Using a Portable NIR Spectrometer and Fuzzy Improved Linear Discriminant Analysis. Foods 2022, 11, 763. [Google Scholar] [CrossRef]
- Zhu, H.; Chu, B.; Zhang, C.; Liu, F.; Jiang, L.; He, Y. Hyperspectral Imaging for Presymptomatic Detection of Tobacco Disease with Successive Projections Algorithm and Machine-learning Classifiers. Sci. Rep. 2017, 7, 4125. [Google Scholar] [CrossRef] [Green Version]
- Zhang, L.; Rao, Z.; Ji, H. NIR Hyperspectral Imaging Technology Combined with Multivariate Methods to Study the Residues of Different Concentrations of Omethoate on Wheat Grain Surface. Sensors 2019, 19, 3147. [Google Scholar] [CrossRef] [Green Version]
- Chen, J.; Li, G. Prediction of moisture content of wood using Modified Random Frog and Vis-NIR hyperspectral imaging. Infrared Phys. Technol. 2020, 105, 103225. [Google Scholar] [CrossRef]
- Li, J.; Wu, J.; Lin, J.; Li, C.; Lu, H.; Lin, C. Nondestructive Identification of Litchi Downy Blight at Different Stages Based on Spectroscopy Analysis. Agriculture 2022, 12, 402. [Google Scholar] [CrossRef]
- Ashie, A.; Lei, H.; Han, B.; Xiong, M.; Yan, H. Fast determination of three components in milk thistle extract with a hand-held NIR spectrometer and chemometrics tools. Infrared Phys. Technol. 2021, 113, 103629. [Google Scholar] [CrossRef]
- Wang, Y.; Guo, W.; Zhu, X.; Liu, Q. Effect of homogenisation on detection of milk protein content based on NIR diffuse reflectance spectroscopy. Int. J. Food Sci. Technol. 2019, 54, 387–395. [Google Scholar] [CrossRef]
- Bhadra, S.; Sagan, V.; Maimaitijiang, M.; Maimaitiyiming, M.; Newcomb, M.; Shakoor, N.; Mockler, T. Quantifying Leaf Chlorophyll Concentration of Sorghum from Hyperspectral Data Using Derivative Calculus and Machine Learning. Remote Sens. 2020, 12, 2082. [Google Scholar] [CrossRef]
- Zhang, D.; Yang, Y.; Chen, G.; Tian, X.; Wang, Z.; Fan, S.; Xin, Z. Nondestructive evaluation of soluble solids content in tomato with different stage by using Vis/NIR technology and multivariate algorithms. Spectrochim. Acta Part A Mol. Biomol. Spectrosc. 2021, 248, 119139. [Google Scholar] [CrossRef]
- Yang, X.; Liu, G.; He, J.; Kang, N.; Yuan, R.; Fan, N. Determination of sugar content in Lingwu jujube by NIR–hyperspectral imaging. J. Food Sci. 2021, 86, 1201–1214. [Google Scholar] [CrossRef]
- Chu, X.; Miao, P.; Zhang, K.; Wei, H.; Fu, H.; Liu, H.; Jiang, H.; Ma, Z. Green Banana Maturity Classification and Quality Evaluation Using Hyperspectral Imaging. Agriculture 2022, 12, 530. [Google Scholar] [CrossRef]
- Dutta, S.; Singh, S.K.; Panigrahy, S. Assessment of Late Blight Induced Diseased Potato Crops: A Case Study for West Bengal District Using Temporal AWiFS and MODIS Data. J. Indian Soc. Remote Sens. 2013, 42, 353–361. [Google Scholar] [CrossRef]
- El_Komy, M.H.; Saleh, A.A.; Ibrahim, Y.E.; Molan, Y.Y. Early production of reactive oxygen species coupled with an efficient antioxidant system play a role in potato resistance to late blight. Trop. Plant Pathol. 2020, 45, 44–55. [Google Scholar] [CrossRef]
- Maksimov, I.V.; Sorokan’, A.V.; Chereoanova, E.A.; Surina, O.B.; Troshina, N.B.; Yarullina, L.G. Effects of salicylic and jasmonic acids on the components of pro/antioxidant system in potato plants infected with late blight. Russ. J. Plant Physiol. 2011, 58, 299–306. [Google Scholar] [CrossRef]
- Kundu, R.; Dutta, D.; Nanda, M.K.; Chakrabarty, A. Near Real Time Monitoring of Potato Late Blight Disease Severity using Field Based Hyperspectral Observation. Smart Agric. Technol. 2021, 1, 100019. [Google Scholar] [CrossRef]
- Ray, S.S.; Jain, N.; Arora, R.K.; Chavan, S.; Panigrahy, S. Utility of Hyperspectral Data for Potato Late Blight Disease Detection. J. Indian Soc. Remote Sens. 2011, 39, 161–169. [Google Scholar] [CrossRef]










| Disease Level | Ratio (%) | Symptoms |
|---|---|---|
| Healthy (level 0) | 0 | No disease spots |
| Mild disease (level 1) | <10 | Small, light to dark green, irregularly shaped spots |
| Moderate disease (level 2) | 10~50 | Large dark brown lesions on the leaf surface |
| Severe disease (level 3) | >50 | White mold on the leaf surface when the environment is wet, or the whole leaf dries and shrinks when it is dry |
| Metric | Sets | Number | Range | Mean ± SD |
|---|---|---|---|---|
| POD activity /U (g min)−1 | Calibration | 180 | 17.23~138.43 | 73.27 ± 39.35 |
| Prediction | 90 | 17.33~138.03 | 71.63 ± 38.23 | |
| SPAD value | Calibration | 180 | 22.20~39.90 | 32.49 ± 3.74 |
| Prediction | 90 | 26.90~39.50 | 32.38 ± 3.32 |
| Methods | POD Activity | SPAD Value | ||||||||
|---|---|---|---|---|---|---|---|---|---|---|
| LVs | Rc2 | Rp2 | RMSEc | RMSEp | LVs | Rc2 | Rp2 | RMSEc | RMSEp | |
| None | 10 | 0.995 | 0.965 | 2.662 | 7.186 | 10 | 0.996 | 0.978 | 0.252 | 0.542 |
| Baseline | 10 | 0.995 | 0.957 | 2.776 | 7.973 | 11 | 0.997 | 0.973 | 0.209 | 0.583 |
| MC | 10 | 0.995 | 0.965 | 2.662 | 7.184 | 10 | 0.996 | 0.978 | 0.252 | 0.506 |
| MA | 12 | 0.997 | 0.962 | 2.178 | 7.465 | 11 | 0.995 | 0.980 | 0.261 | 0.520 |
| SG | 12 | 0.997 | 0.963 | 2.247 | 7.361 | 12 | 0.997 | 0.983 | 0.194 | 0.480 |
| MF | 11 | 0.997 | 0.968 | 2.159 | 6.929 | 11 | 0.997 | 0.977 | 0.201 | 0.550 |
| MSC | 9 | 0.951 | 0.893 | 8.689 | 13.067 | 9 | 0.961 | 0.873 | 0.753 | 1.291 |
| SNV | 10 | 0.975 | 0.901 | 6.269 | 12.352 | 9 | 0.972 | 0.883 | 0.635 | 1.173 |
| Methods | POD Activity | SPAD Value | ||||||||
|---|---|---|---|---|---|---|---|---|---|---|
| N | Rc2 | Rp2 | RMSEc | RMSEp | N | Rc2 | Rp2 | RMSEc | RMSEp | |
| None | 1793 | 0.997 | 0.968 | 2.159 | 6.929 | 1793 | 0.997 | 0.983 | 0.194 | 0.480 |
| CARS | 140 | 0.997 | 0.989 | 2.319 | 3.943 | 131 | 0.997 | 0.995 | 0.226 | 0.254 |
| Frog | 227 | 0.999 | 0.995 | 1.497 | 2.811 | 248 | 0.996 | 0.995 | 0.246 | 0.254 |
| UVE | 857 | 0.997 | 0.970 | 2.153 | 6.734 | 999 | 0.999 | 0.984 | 0.127 | 0.542 |
| RF | 479 | 0.998 | 0.972 | 1.642 | 6.581 | 507 | 0.997 | 0.972 | 0.202 | 0.577 |
| Model | Reflectance-Based | Physicochemical Values-Based | |||||||
|---|---|---|---|---|---|---|---|---|---|
| POD | SPAD | ||||||||
| Method | Pretreatment | MF | MF | SG | |||||
| Reduction | LDA | Frog | CARS | ||||||
| Classification | SVM | GBDT | |||||||
| level 0 | level 1 | level 2 | level 3 | level 0 | level 1 | level 2 | level 3 | ||
| Metric | P(%) | 100 | 98 | 100 | 100 | 89 | 96 | 99 | 95 |
| R(%) | 100 | 100 | 100 | 92 | 89 | 97 | 97 | 95 | |
| ACC(%) | 99 | 95 | |||||||
| Temp (°C) | Time (d) | Level | Temp (°C) | Time (d) | Level | Temp (°C) | Time (d) | Level |
|---|---|---|---|---|---|---|---|---|
| 15 | 0 | 0 | 20 | 0 | 0 | 25 | 0 | 0 |
| 15 | 1 | 1 | 20 | 1 | 1 | 25 | 1 | 1 |
| 15 | 2 | 1 | 20 | 2 | 1 | 25 | 2 | 1 |
| 15 | 3 | 1 | 20 | 3 | 1 | 25 | 3 | 1 |
| 15 | 4 | 1 | 20 | 4 | 2 | 25 | 4 | 2 |
| 15 | 5 | 2 | 20 | 5 | 2 | 25 | 5 | 2 |
| 15 | 6 | 3 | 20 | 6 | 3 | 25 | 6 | 3 |
| Methods | POD Activity | SPAD Value | ||||||
|---|---|---|---|---|---|---|---|---|
| Rc2 | Rp2 | RMSEc | RMSEp | Rc2 | Rp2 | RMSEc | RMSEp | |
| DT | 0.998 | 0.997 | 1.764 | 2.286 | 0.963 | 0.961 | 0.693 | 0.704 |
| KNN | 0.998 | 0.997 | 1.764 | 2.287 | 0.963 | 0.961 | 0.693 | 0.704 |
| SVM | 0.997 | 0.996 | 1.850 | 2.382 | 0.959 | 0.958 | 0.725 | 0.732 |
Publisher’s Note: MDPI stays neutral with regard to jurisdictional claims in published maps and institutional affiliations. |
© 2022 by the authors. Licensee MDPI, Basel, Switzerland. This article is an open access article distributed under the terms and conditions of the Creative Commons Attribution (CC BY) license (https://creativecommons.org/licenses/by/4.0/).
Share and Cite
Hou, B.; Hu, Y.; Zhang, P.; Hou, L. Potato Late Blight Severity and Epidemic Period Prediction Based on Vis/NIR Spectroscopy. Agriculture 2022, 12, 897. https://doi.org/10.3390/agriculture12070897
Hou B, Hu Y, Zhang P, Hou L. Potato Late Blight Severity and Epidemic Period Prediction Based on Vis/NIR Spectroscopy. Agriculture. 2022; 12(7):897. https://doi.org/10.3390/agriculture12070897
Chicago/Turabian StyleHou, Bingru, Yaohua Hu, Peng Zhang, and Lixia Hou. 2022. "Potato Late Blight Severity and Epidemic Period Prediction Based on Vis/NIR Spectroscopy" Agriculture 12, no. 7: 897. https://doi.org/10.3390/agriculture12070897
APA StyleHou, B., Hu, Y., Zhang, P., & Hou, L. (2022). Potato Late Blight Severity and Epidemic Period Prediction Based on Vis/NIR Spectroscopy. Agriculture, 12(7), 897. https://doi.org/10.3390/agriculture12070897

