Evaluation of the Equations to Predict Net Energy Requirement for Lactation in the Cattle Feeding System: Based on the Literature Database
Abstract
:1. Introduction
2. Materials and Methods
2.1. Construction of a Literature Database
2.2. Evaluation of Milk Energy Prediction Equations
2.3. Statistical Analysis
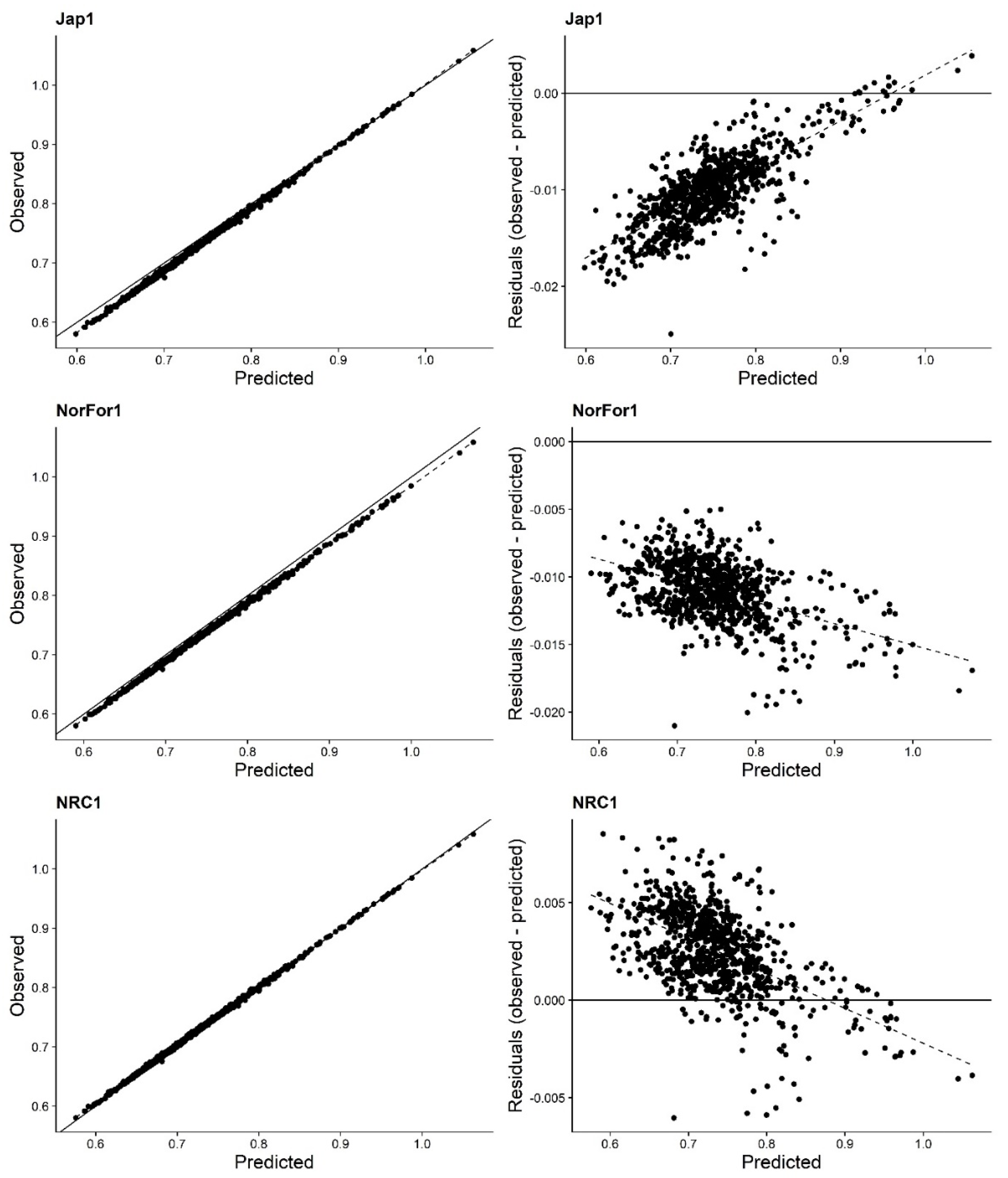
3. Results
4. Discussion
5. Conclusions
Supplementary Materials
Author Contributions
Funding
Institutional Review Board Statement
Data Availability Statement
Conflicts of Interest
References
- Eastridge, M.L. Energy in the New Dairy NRC; The Ohio State University: Columbus, OH, USA, 2002. [Google Scholar]
- Central Association of Livestock Industry. Japanese Feeding Standard for Dairy Cattle; Agriculture, Forestry and Fisheries Research Council Secretariat: Tokyo, Japan, 2017. [Google Scholar]
- Volden, H. NorFor-: The Nordic Feed Evaluation System; Springer Science & Business Media: Berlin/Heidelberg, Germany, 2011; Volume 30. [Google Scholar]
- Noziere, P.; Sauvant, D.; Delaby, L. INRA Feeding System for Ruminants; Wageningen Academic Publishers: Wageningen, The Netherlands, 2018. [Google Scholar]
- Fox, D.G.; Tedeschi, L.; Tylutki, T.; Russell, J.; Van Amburgh, M.; Chase, L.; Pell, A.; Overton, T. The Cornell Net Carbohydrate and Protein System model for evaluating herd nutrition and nutrient excretion. Anim. Feed. Sci. Technol. 2004, 112, 29–78. [Google Scholar] [CrossRef]
- NRC. Nutrient Requirements of Dairy Cattle: 2001; National Academies Press: Washington, DC, USA, 2001. [Google Scholar]
- Primary Industries Standing Committee. Nutrient Requirements of Domesticated Ruminants; CSIRO Publishing: Collingwood, Australia, 2007. [Google Scholar]
- Toledo-Alvarado, H.; Vazquez, A.I.; de Los Campos, G.; Tempelman, R.J.; Gabai, G.; Cecchinato, A.; Bittante, G. Changes in milk characteristics and fatty acid profile during the estrous cycle in dairy cows. J. Dairy Sci. 2018, 101, 9135–9153. [Google Scholar] [CrossRef] [PubMed]
- Moher, D.; Liberati, A.; Tetzlaff, J.; Altman, D.G.; Group, P. Preferred reporting items for systematic reviews and meta-analyses: The PRISMA statement. PLoS Med. 2009, 6, e1000097. [Google Scholar] [CrossRef] [PubMed] [Green Version]
- Tyrrell, H.; Reid, J. Prediction of the energy value of cow’s milk. J. Dairy Sci. 1965, 48, 1215–1223. [Google Scholar] [CrossRef]
- Bibby, J. Prediction and Improved Estimation in Linear Models; Wiley: Berlin, Germany, 1977. [Google Scholar]
- Lawrence, I.; Lin, K. A concordance correlation coefficient to evaluate reproducibility. Biometrics 1989, 45, 255–268. [Google Scholar]
- Perrin, D.R. The calorific value of milk of different species. J. Dairy Res. 1958, 25, 215–220. [Google Scholar] [CrossRef]
- Crovetto, G.; Honing, Y.V.D. Prediction of the energy content of milk from Friesian and Jersey cows with normal and high fat concentration. Z. Tierphysiol. Tierernährung Futterm. 1984, 51, 88–97. [Google Scholar] [CrossRef]
- Sjaunja, L. A Nordic proposal for an energy-corrected milk (ECM) formula. In Proceedings of the 27th Session International Committee for Recording and Productivity of Milk Animals, Paris, France, 2–6 July 1990. [Google Scholar]
- Costa, A.; Lopez-Villalobos, N.; Sneddon, N.; Shalloo, L.; Franzoi, M.; De Marchi, M.; Penasa, M. Invited review: Milk lactose—Current status and future challenges in dairy cattle. J. Dairy Sci. 2019, 102, 5883–5898. [Google Scholar] [CrossRef] [PubMed]
- NASEM. Nutrient Requirements of Dairy Cattle, 8th ed.; The National Academies Press: Washington, DC, USA, 2021. [Google Scholar]
- Fox, P.F.; Uniacke-Lowe, T.; McSweeney, P.L.H.; O’Mahony, J.A. Dairy Chemistry and Biochemistry, 2nd ed.; Springer: London, UK, 2005. [Google Scholar]
- Lim, D.H.; Mayakrishnan, V.; Ki, K.S.; Kim, Y.; Kim, T.I. The effect of seasonal thermal stress on milk production and milk compositions of Korean Holstein and Jersey cows. Anim. Biosci. 2021, 34, 567–574. [Google Scholar]
- Gaines, W.L. The Energy Basis of Measuring Milk Yield in Dairy Cows; Illinois Agricultural Experiment Station: Urbana, IL, USA, 1928. [Google Scholar]
- Walker, G.; Dunshea, F.; Doyle, P. Effects of nutrition and management on the production and composition of milk fat and protein: A review. Aust. J. Agric. Res. 2004, 55, 1009–1028. [Google Scholar] [CrossRef]




| Variables | n | Mean | Median | Min | Max |
|---|---|---|---|---|---|
| No. of animals per treatment | 935 | 14.2 | 12.0 | 4.0 | 93.0 |
| Days in milk (day) | 892 | 138.7 | 143.0 | 9.5 | 357.0 |
| Days in pregnancy (day) | 4 | 86.0 | 86.0 | 86.0 | 86.0 |
| Parity number | 295 | 2.8 | 2.4 | 1.0 | 12.0 |
| Body weight (kg) | 935 | 637.6 | 645.8 | 374.1 | 804.9 |
| Average daily gain (kg/day) | 495 | 0.09 | 0.14 | −5.00 | 3.43 |
| Milk yield (kg/day) | 935 | 34.3 | 34.6 | 9.0 | 58.3 |
| Milk composition (%) | |||||
| Lactose | 935 | 4.73 | 4.75 | 3.69 | 5.31 |
| Fat | 935 | 3.97 | 3.91 | 2.29 | 6.90 |
| Crude protein | 935 | 3.27 | 3.23 | 2.63 | 4.67 |
| Dry matter intake (kg/d) | 935 | 22.6 | 22.7 | 11.2 | 32.0 |
| Forage intake (kg/d) | 904 | 12.4 | 12.2 | 4.3 | 22.0 |
| Dietary composition (%) | |||||
| Dry matter | 605 | 50.4 | 50.3 | 13.5 | 89.6 |
| Organic matter | 674 | 92.4 | 92.5 | 83.5 | 98.9 |
| Crude protein | 889 | 16.5 | 16.6 | 10.7 | 26.8 |
| Neutral detergent fiber | 900 | 33.3 | 32.6 | 20.2 | 60.8 |
| Fat | 589 | 3.83 | 3.70 | 1.64 | 8.90 |
| Ash | 674 | 7.63 | 7.50 | 1.10 | 16.5 |
| Starch | 603 | 23.2 | 23.9 | 0.2 | 38.2 |
| Dietary energy (Mcal/kg) | |||||
| Total digestible nutrients (%) | 40 | 71.0 | 72.0 | 60.2 | 78.4 |
| Gross energy | 206 | 4.37 | 4.40 | 3.94 | 4.37 |
| Digestible energy | 96 | 3.09 | 3.07 | 2.68 | 3.09 |
| Metabolizable energy | 147 | 2.73 | 2.73 | 2.39 | 2.73 |
| Parameters 1 | |||||
|---|---|---|---|---|---|
| Group 2 | System 3 | a | b | c | ε |
| Tyrrell and Reid 4 | 4.76 | 5.31 | 9.17 | −0.0258 | |
| Tier 1 | CSIRO | 3.94 | 5.86 | 9.11 | |
| Japan | 3.44 | 5.16 | 8.69 | 0.0707 | |
| NorFor | 3.98 | 5.78 | 9.16 | 0.0075 | |
| NRC | 3.95 | 5.47 | 9.29 | ||
| Tier 2 | INRA | 5.24 | 9.33 | 0.1915 | |
| NorFor | 5.78 | 9.16 | 0.1876 | ||
| NRC | 5.47 | 9.29 | 0.1920 | ||
| Tier 3 | CNCPS | 9.62 | 0.3512 | ||
| CSIRO | 10.90 | 0.2921 | |||
| Japan | 9.13 | 0.3678 | |||
| NRC | 9.69 | 0.3600 | |||
| Milk Energy 1 | Lactose | Milk Fat | Milk Protein | |
|---|---|---|---|---|
| Milk energy | 1.00 | |||
| Lactose | −0.06 | 1.00 | ||
| Milk fat | 0.98 | −0.17 | 1.00 | |
| Milk protein | 0.74 | −0.27 | 0.63 | 1.00 |
| Tier 1 1 | Tier 2 1 | Tier 3 1 | |||||||||
|---|---|---|---|---|---|---|---|---|---|---|---|
| Item 3 | CSIRO1 | Japan1 | NorFor1 | NRC1 | INRA1 | NorFor2 | NRC2 | CNCPS1 | CSIRO2 | Japan2 | NRC3 |
| Observed Mean | 0.74 | 0.74 | 0.74 | 0.74 | 0.74 | 0.74 | 0.74 | 0.74 | 0.74 | 0.74 | 0.74 |
| Predicted Mean | 0.74 | 0.75 | 0.75 | 0.73 | 0.73 | 0.74 | 0.74 | 0.73 | 0.73 | 0.73 | 0.74 |
| R 2 | 1.00 | 1.00 | 1.00 | 1.00 | 0.98 | 0.98 | 0.98 | 0.96 | 0.96 | 0.96 | 0.96 |
| RMSEP | 0.00 | 0.01 | 0.01 | 0.00 | 0.01 | 0.01 | 0.01 | 0.01 | 0.02 | 0.02 | 0.02 |
| RMSEP, % observed mean | 0.46 | 1.46 | 1.53 | 0.45 | 1.42 | 1.41 | 1.37 | 2.03 | 2.35 | 2.33 | 2.17 |
| Mean Bias, % RMSEP | 52.61 | 87.97 | 96.00 | 59.10 | 14.98 | 8.18 | 6.37 | 7.89 | 38.29 | 16.75 | 21.28 |
| Slope Bias, % RMSEP | 7.34 | 7.34 | 0.86 | 12.58 | 6.62 | 7.73 | 8.65 | 12.28 | 2.51 | 22.75 | 9.06 |
| Random Bias, % RMSEP | 40.05 | 4.69 | 3.14 | 28.27 | 78.40 | 84.09 | 84.98 | 79.83 | 59.20 | 60.50 | 69.66 |
| Mean bias | 0.00 | −0.01 | −0.01 | 0.00 | 0.00 | 0.00 | 0.00 | 0.00 | 0.01 | 0.01 | −0.01 |
| p-value | <0.01 | <0.01 | <0.01 | <0.01 | <0.01 | <0.01 | <0.01 | <0.01 | <0.01 | <0.01 | <0.01 |
| Slope bias | −0.01 | 0.05 | −0.02 | −0.02 | −0.04 | −0.04 | −0.04 | 0.09 | −0.04 | 0.15 | 0.08 |
| p-value | <0.01 | <0.01 | <0.01 | <0.01 | <0.01 | <0.01 | <0.01 | <0.01 | <0.01 | <0.01 | <0.01 |
| CCC | 1.00 | 0.99 | 0.99 | 1.00 | 0.99 | 0.99 | 0.99 | 0.97 | 0.97 | 0.96 | 0.97 |
| Group 1 | |||||
|---|---|---|---|---|---|
| Component | Low | Medium | High | SEM | p-Value |
| Lactose | 4.74 | 4.72 | 4.68 | 0.036 | 0.05 |
| Protein | 3.13 | 3.42 | 3.94 | 0.038 | <0.01 |
| Fat | 3.58 | 4.34 | 5.86 | 0.059 | <0.01 |
Publisher’s Note: MDPI stays neutral with regard to jurisdictional claims in published maps and institutional affiliations. |
© 2022 by the authors. Licensee MDPI, Basel, Switzerland. This article is an open access article distributed under the terms and conditions of the Creative Commons Attribution (CC BY) license (https://creativecommons.org/licenses/by/4.0/).
Share and Cite
Jeon, S.; Kang, H.; Park, S.; Seo, S. Evaluation of the Equations to Predict Net Energy Requirement for Lactation in the Cattle Feeding System: Based on the Literature Database. Agriculture 2022, 12, 654. https://doi.org/10.3390/agriculture12050654
Jeon S, Kang H, Park S, Seo S. Evaluation of the Equations to Predict Net Energy Requirement for Lactation in the Cattle Feeding System: Based on the Literature Database. Agriculture. 2022; 12(5):654. https://doi.org/10.3390/agriculture12050654
Chicago/Turabian StyleJeon, Seoyoung, Hamin Kang, Seongmin Park, and Seongwon Seo. 2022. "Evaluation of the Equations to Predict Net Energy Requirement for Lactation in the Cattle Feeding System: Based on the Literature Database" Agriculture 12, no. 5: 654. https://doi.org/10.3390/agriculture12050654
APA StyleJeon, S., Kang, H., Park, S., & Seo, S. (2022). Evaluation of the Equations to Predict Net Energy Requirement for Lactation in the Cattle Feeding System: Based on the Literature Database. Agriculture, 12(5), 654. https://doi.org/10.3390/agriculture12050654

